Recepción: 01 Junio 2015
Aprobación: 01 Marzo 2016
Resumen: El análisis de las redes de fluido constituye una de las situaciones de estudio de mayor importancia e impacto desde el punto de vista de ingeniería, en donde se involucran secuencias de cálculos iterativos que suelen tener cierto grado de complejidad. En este sentido, se desarrolló un software que permite en primer lugar obtener el sistema de ecuaciones correspondiente a una red de distribución de fluido a partir de su respectivo dibujo en Diseño Asistido por Computadora, CAD por sus siglas en inglés y la solución correspondiente, empleando el método teórico lineal para obtener el caudal que circula por cada tubería. Este método muestra una convergencia muy rápida y presenta una gran ventaja sobre otros métodos de cálculo, como Hardy-Cross y Newton, ya que no requiere la inicialización de caudal para cada tubería. La red se dibuja en CAD mediante líneas, y el software se encarga de formar automáticamente el sistema de ecuaciones inicial, conformada por las ecuaciones de continuidad en los nodos y de balance de energía en los lazos, permitiendo que el usuario suministre las características del fluido y de las tuberías. La red suministrada puede ser modificada en el dibujo y el programa calcula la nueva distribución de caudal.
Palabras clave: software, fluido, redes de tuberías, método teórico lineal, CAD.
Abstract: Analysis of fluid networks constitutes a case of study of greater importance and impact from the point of view of engineering, in which are involved sequences of iterative calculations which usually have some complexity. In this sense, it was developed a software to obtain the system of equations corresponding to a network of distribution of fluid from its respective drawing into Computer Aided Design (CAD) and the corresponding solution, using the linear theoretical method to obtain the flow that circulates through each pipe. This method shows a very rapid convergence and presents a great advantage over other methods of calculation, such as Hardy-Cross and Newton, since it does not require initialization of flow for each pipe. The network is drawn in CAD using lines, and the software is responsible to form automatically the system of equations, formed by the equations of continuity on nodes and balance of energy in loops, allowing user to supply characteristics of the fluid and pipe. The supplied network may be modified in the drawing and the program calculates the new distribution of flow.
Keywords: software, fluid, pipe networks, linear theory method, CAD.
1. Introducción.
En las redes de distribución de fluido resulta necesario evaluar las condiciones de operación tanto en una red nueva, así como en otras en las que se hagan modificaciones, tales como cambio de accesorios, válvulas o extensiones de los tramos de tubería, teniendo como premisa que la red puede presentar diversas disposiciones o arreglos según las conexiones con accesorios tipo ‘Y’, ‘T’ y cruz entre otros; los cuales permiten dirigir el fluido a un lugar determinado y con condiciones particulares de disponibilidad y caudal; además de tener en cuenta que, con el paso del tiempo, se produce el envejecimiento de las tuberías y obstrucciones que afectan su funcionamiento y que en muchos casos obliga a modificar la red, agregando o eliminando tramos de tuberías y accesorios. En tal sentido, frente al carácter, sí se quiere dinámico, de este tipo de sistemas, se plantea la necesidad de efectuar con frecuencia los cálculos pertinentes para determinar el caudal de fluido que circula por cada tubería, de esta manera, con la intención de permitir que ese proceso de evaluación sea realizado de una forma más sencilla y expedita, se ha desarrollado un software tomando como punto de partida el fluido circulante, las características de las tuberías y los caudales externos a la red.
El programa diseñ ado, analiza e interpreta la red dibujada en un archivo de dibujo asistido por computadora (CAD), el cual se utiliza am- pliamente en el mundo con fines de edición de dibujos y combina la digitalización de la red con la programación de rutinas para la detección, análisis y el cálculo de la red de fluidos a través del mó dulo de programación con Visual Basic Aplication (VBA) en AutoCAD 2015. Lo cual constituye un valor agregado con respecto a otros programas como EPANET y EpaCAD, en los que se desarrollan elaboradas ventanas para la introducción de datos de la red o graficadores particulares para dibujarla.
Así, el trabajo se centra en el desarrollo de un programa que permite obtener el sistema de ecuaciones de una red de fluido cerrada previamente dibujada en CAD, y su solución mediante el método teó rico lineal que tiene entre sus ventajas, la forma más sencilla de realizar el cálculo iterativo, que consiste en utilizar los caudales obtenidos en la resolución del sistema linealizado de ecuaciones en una iteración para calcular los nuevos coeficientes que se utilizarán en la iteración siguiente [1].
Un subprograma para reconocer los nodos y los tramos en una red cerrada dibujada en base a líneas en un archivo de dibujo en CAD.
El subprograma para el ordenamiento y enumeración de los nodos y lazos de la red.
Un subprograma para crear la matriz de coeficientes del sistema de ecuaciones de la red, conformada por las ecuaciones de continuidad en los nodos y de balance de energía en los lazos de dicha red.
Un subprograma para aplicar el método teórico lineal debido a que este método no requiere la suposición previa de caudales en cada tramo.
2. Marco teórico
El uso de las aplicaciones CAD es muy extenso tanto a pequeña como a gran escala, el diseño de casas, edificios, conjuntos residenciales e inclusive poblaciones se puede digitalizar y tener disponible para la implementación de aplicaciones como la desarrollada en este estudio, inclusive se pueden obtener de otras aplicaciones como Google Earth las distribuciones geográficas necesarias para la elaboración de la red de fluido [2].
Las aplicaciones como Mathcad pueden ser utilizadas para implementar métodos de resolución de sistemas de tuberías abiertas como estrategia didáctica en el aprendizaje del tema, lo cual adicionalmente agiliza el procedimiento de análisis hidráulico. Similarmente se han desarrollado software tanto comerciales (WaterCAD, AFT Fathom, CivilCAD, Cadpipe, entre otros) como de investigación (EpaCAD, EPANET y otros de universidades e institutos) que permiten por un lado dibujar la red, convertirla a un fichero interpretable por algún simulador, o simular dinámicamente el comportamiento hidráulico, siendo estos elementos los claves que son tomados en consideración para su aplicación de manera integrada en el diseño del software [3].
2.1. Algoritmo de Búsqueda en Profundidad
La idea general detrás de una búsqueda en profundidad comienza fijando como nodo actual al nodo de inicio combinándolo con una pila vacía en la cual se irá guardando los nodos visitados. En cada paso se toma como nodo actual a un nodo adyacente o vecino que no esté en la pila y se insertará en la misma. Al llegar a un nodo sin nodos adyacentes que no estén en la pila, se volverá al nodo anterior que se encuentra ubicado en la cima de la pila. Si se alcanza el nodo destino, se tendrá una solución posible en la pila, además puede operarse como si éste fuera un nodo infructuoso a fin de realizar una búsqueda exhaustiva que ofrezca la solución óptima, o todas las soluciones posibles (cuando esto es necesario) [4]. En el programa desarrollado, el retroceso se logra usando una lista que almacena los vértices iniciales de futuros caminos posibles. También se realiza una búsqueda que indica el estado actual de cualquier vértice, de modo que ningún vértice sea procesado más de una vez.
2.2. Microsoft Visual Basic para Aplicaciones (VBA).
Desde el punto de vista de programación, se combinan dos paradigmas refiriéndose en primer lugar a programación estructurada para el diseño de las subrutinas de cálculo y su posterior ejecución secuencial y el paradigma de programación orientada a objetos que permite el manejo de los atributos y propiedades de cada componente de la red de fluidos dibujada en CAD y utiliza conceptos como la abstracción de datos, la encapsulación de la información, la herencia y el polimorfismo [5]. En lo referente a la programación orientada a objetos, se controla a través de manejo de eventos, donde el usuario realiza acciones sobre dichos objetos. Segú n el objeto y la acción de que se trate se ejecutará la rutina asociada. Las aplicaciones contienen una colección de bloques de instrucciones a los que se denomina procedimientos, que se pueden agrupar en módulos [6].
Gracias al entorno de desarrollo integrado (Integrated Development Environment, IDE), VBA permite desarrollar aplicaciones con gran rapidez, controlando, desde la propia etapa de diseño, el ambiente de las diversas ventanas del programa.
Además, Visual Basic es un lenguaje muy fácil de aprender y utilizar.
La programación con VBA en AutoCAD viene definida por tres elementos esenciales. El primero de ellos es AutoCAD, que dispone de un extenso conjunto de objetos entre los que se incluyen entidades, datos y comandos de AutoCAD. AutoCAD es una aplicación de arquitectura abierta con varios niveles de interfaz. Para utilizar VBA de manera eficaz, es recomendable estar familiarizado con la programación en AutoCAD.
El segundo elemento es la interfaz AutoCAD ActiveX Automation, que intercambia mensajes (establece una comunicación) con los objetos de AutoCAD. La programación en VBA re- quiere comprender los fundamentos de ActiveX Automation. El tercer elemento que define la programación en este entorno es VBA. Incluye su propio conjunto de objetos, palabras clave, constantes, etc., que proporcionan el flujo de programación y funciones de control, limpieza y ejecución. AutoCAD VBA incluye un sistema de ayuda propio de Microsoft para AutoCAD VBA.
Los programas, macros y proyectos de VBA se almacenan en un archivo independiente con la extensión .dvb, debido a esto un proyecto de VBA puede operar sobre diferentes dibujos de AutoCAD durante una sesión de este programa. Para cargar un proyecto de VBA debe utilizar el comando VBACARGAR. Una vez cargado, sus módulos y macros estarán disponibles en el cuadro de diálogo Macros. Para ejecutar el módulo VBA debe utilizar el comando VBAEJECUTAR.
2.3. Redes de Tuberías.
Las redes de tuberías pueden ser abiertas, cerradas y mixtas; y son sistemas de distribución de fluidos que están constituidos por tramos de tuberías, puntos de toma y descarga de fluido [7]. Un tramo es una tubería que une dos nodos, un nodo es un punto de confluencia de las tuberías o de empalme con tanques externos, y un lazo es el conjunto de tramos que forman un circuito cerrado.
Cuando los sistemas se hacen complejos, la solución de la red mediante gráficas es muy complicada, por lo tanto se recurre a buscar una solución numérica computacional. Para evaluar una red de tuberías, se debe garantizar que se cumplan las ecuaciones de conservación de la masa en cada uno de los nodos de la red y la ecuación de conservación de la energía en cada uno de los circuitos de esta.
La búsqueda en profundidad permite en gran parte resolver el problema de distribución de fluidos, su objetivo principal en este programa consiste en determinar la conexión entre los nodos (punto de confluencia de las tuberías) y buscar los diferentes caminos para la conformación de lazos. Esto facilita la aplicación de las ecuaciones de continuidad en los nodos y las ecuaciones de balance de energía en los lazos de la red de distribución. En la red de distribución de fluido (Figura 1) se establece un sentido de recorrido del lazo de forma horaria, y según este sentido, la pérdida en la tubería se considera negativa cuando el caudal recorre el circuito en el mismo sentido y positivo en caso contrario.

En una red de tuberías cerrada que presenta “N” tuberías, con “J” nodos y “L” lazos se debe cumplir la ecuación (1).
(1)donde:
N: Cantidad de ecuaciones independientes del sistema.
(J - 1): Cantidad de ecuaciones de continuidad independientes, las cuales son lineales en Q (caudal).
L: Cantidad de lazos necesarios para completar el sistema de ecuaciones.
En las redes de fluidos se cumplen dos leyes similares a las de Kirchoff para sistemas eléctricos, las cuales son [8]:
Ambas leyes se cumplen bajo el supuesto de que las variables no dependen del tiempo (estado estacionario).
Para cada nodo de la red se debe cumplir la ecuación (2).
(2)donde:
Qexterno: Caudal externo a la red en el nodo, [m3/h].
Qientra: Caudales que entran al nodo, [m3/h].
Qisale: Caudales que salen del nodo, [m3/h].
Existen L ecuaciones independientes de balance de energía en cada lazo, las cuales en general no son lineales en Q.
Para un lazo en particular se cumple la ecuación (3).
(3)donde:
i: Número identificador de la tubería.
h: Pérdida por fricción en la tubería, [m].
k: Coeficiente de fricción de la tubería, adimensional.
Q: Caudal que circula en la tubería [m3/h].
n: exponente que depende del modelo utilizado para evaluar hi (el modelo de Darcy [9] utilizan = 2).
Al plantear las relaciones mencionadas se crea un sistema de ecuaciones, en el que se puede observar que el número de ecuaciones disponibles coincide con el número de incógnitas (caudal por cada tramo). En redes de flujo complejas, el número de ecuaciones resultante puede ser grande, por lo que la solución simultánea amerita generalmente el uso de un computador.
2.4. Pérdidas por fricción en tuberías.
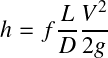
El modelo básico para el cálculo de pérdida por
fricción en las tuberías es el de Darcy-Weisbach y se expresa en la ecuación (4).
(4)donde:
h: Pérdida de carga [m].
f : Coeficiente de fricción de la tubería, adimensional.
L: Longitud de la tubería [m].
D: Díametro interno de la tubería [m].
V2/2g: Altura de velocidad [m].
g: Aceleración de gravedad 9,81m/s2.
2.5. Coeficiente de fricción.
La determinación del coeficiente de fricción dependerá del régimen de flujo existente. Así, para el régimen laminar que implica un número de Reynolds menor o igual a 2000 (Re≤2000), en tuberías circulares lisas o rugosas y para cualquier fluido incompresible, se tiene un comportamiento como el mostrado en la ecuación (5), desarrollado por Hagen-Poiseuille [9, 10, 11, 12].
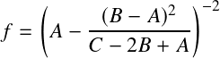
(5)En el caso de régimen turbulento (Re > 2000), se emplea la aproximación de Steffenson, expresada mediante la ecuación (6).
(6)Siendo el comportamiento de los parámetros A, B y C, los que se muestran en las ecuaciones (7), (8) y (9) respectivamente, estimado el número de Reynolds según la ecuación (10).
(7)
(8)
(9)
(10)donde:
Re: Número de Reynolds, adimensional.
Q: Caudal [m3/h].
ρ: Densidad [g/cm3].
ν: Viscosidad cinemática [cP].
D: Diámetro interno de la tubería [mm].
ε: Rugosidad relativa [mm].
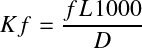
Con el valor del factor de fricción (f), se determina el coeficiente de fricción (Kf) de la tubería como se indica en la ecuación (11).
(11)(11)
donde:
f : Factor de fricción, adimensional.
L: Longitud de la tubería [m].
D: Diámetro interno de la tubería [mm].
2.6. Método Teórico Lineal.
Este método fue desarrollado por D. J. Woody y C. O. A. Charles, y se basa en la linealización de las ecuaciones de energía en cada una de las tuberías de la red con el fin de resolver simultáneamente las ecuaciones de la conservación de masa en los nodos y de energía en los circuitos, para determinar el caudal en cada tubería, el método ofrece dos ventajas importantes [7, 13]:
No requiere suponer una distribución inicial de caudales en cada tramo.
Converge rápidamente a la solución en pocas iteraciones.
La base del método consiste en la transformación lineal de las ecuaciones de pérdida como lo muestra la ecuación (12).
(12)donde:
ki’ = (kiQi(i-1)n-1) [adimensional]
Qi(i-1): Caudal tentativo que circula en el tramo ‘i’ para la iteración ‘(i-1)’ en [m3/h]
La solución se obtiene cuando Qi(i-1) se aproxima a Qi de acuerdo a algún criterio de error preestablecido.
La convergencia hacia la solución se realiza mediante un proceso iterativo que se inicia haciendo ki’=ki. Esto equivale a fijar un caudal unitario de cada uno de los tramos; es decir, Qi(0) = 1.
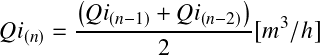
Para evitar la oscilación en torno a la solución final, se recomienda que después de resolver dos iteraciones consecutivas: Qi(n-1) y Qi(n-2), se proceda a obtener un caudal promedio para la iteración ‘n’ (Qi(n)) como lo presenta la ecuación (13).
(13)3. Metodología.
A continuación se exponen las instrucciones ejecutadas en cada una de las etapas del proceso de obtención del sistema de ecuaciones lineal a partir del dibujo de una red de fluidos en CAD y la resolución que permite determinar los caudales que circulan por cada tramo de la red.
3.1. Aspectos computacionales para la detección de objetos en AutoCADr mediante VBApplication.
La codificación en Visual Basic Application (VBA) para AutoCAD 2015 permite recorrer en el archivo de dibujo activo todos los objetos que contiene, esto se puede hacer mediante la implementación de un ciclo [14] como se muestra en la Figura 2.


En este trabajo se necesita detectar cuales objetos son líneas mediante la condición que se muestra en la Figura 3.
Se puede obtener de cada una de estas líneas las coordenadas de los extremos con la instrucción de la Figura4.

Estas coordenadas se deben almacenar en variables de tipo Variant, las cuales se manejan posteriormente como un vector de tal manera que si se almacena un punto inicial mediante la instrucción a=entry.startPoint, la abscisa se obtiene con a(0) y la ordenada con a(1). Adicionalmente, se pueden obtener otros datos como la longitud de la línea y su identificador mediante los métodos entry.Length y entry.Handle.
3.2. Datos de entrada.
Los datos de entrada corresponden a todas aquellas variables necesarias provenientes del archivo de dibujo, fluido, tuberías y nodos para resolver la red de fluido. En esta aplicación los datos de entrada son captados en diferentes pestañas: Fluidos, Tuberías y Caudales Externos:
Se carga el programa VBA para AutoCAD y se ejecuta.
Al cargar el programa, del dibujo se obtiene automáticamente el número de nodos y de tuberías, de las cuales se deduce la cantidad de lazos.
En la Figura 7 se tiene las propiedades del fluido (pestaña Fluido), densidad [g/cm3] y viscosidad cinemática [cP].
En la Figura 10 se tiene los datos de las tuberías (pestaña Tuberías), en la cual se introduce el valor del coeficiente de fricción directamente o el diámetro interno [m] y la rugosidad, la longitud se obtiene del dibujo.
En la Figura 12 (pestaña Caudales Externos), se ingresa el caudal externo [m3/h] y su respectivo número del nodo.
3.3. Detección de nodos.
A partir del archivo de dibujo previamente elaborado, se procede a analizar la red de fluido mediante un programa en VBA para AutoCAD.
En primer lugar se obtienen las coordenadas de los puntos extremos (nodos) de todas las líneas dibujadas (tramos) en el dibujo activo, adicionalmente se guarda en el arreglo de datos de las tuberías su longitud, en caso de necesitarse para calcular el coeficiente de la tubería. Las coordenadas de los nodos son almacenadas en dos listas las cuales contienen por separado la abscisa y la ordenada, sin repetirse. Adicionalmente se almacenan en una lista los manejadores (handle) de cada una de las líneas encontradas.
Una vez que se obtienen las coordenadas de todos los nodos, dicha cantidad de elementos representa la cantidad de nodos de la red de fluido y la cantidad de elementos en la lista de manejadores es la cantidad de tramos, con estos dos datos se calcula, mediante la ecuación (1), la cantidad de lazos necesarios para crear el sistema de ecuaciones para la solución de la red.
En el caso de estudio, en el cual no existe restricción con respecto al sentido de flujo, una tubería puede presentar dos sentidos de flujo, por ejemplo entre los nodos 1 y 2 de una tubería, el fluido puede circular de 1 a 2 o viceversa, esto conlleva a realizar todos las combinaciones posibles para obtener los caminos de los lazos. Para efectos de la asignación inicial del sentido de flujo, éste depende del punto inicial y del punto final almacenado en la base de datos del dibujo.
3.4. Ordenamiento de los nodos y tramos.
Los nodos se ordenan de acuerdo a las listas de coordenadas, primeramente se ordena la lista de abscisas y luego las ordenadas utilizando el método de ordenamiento quicksort debido al volumen de datos que deben organizarse [15] recibiendo como parámetros: el arreglo a ordenar, la posición inicial, final y la columna de los elementos a ordenar, el orden se realiza en forma ascendente por lo tanto las coordenadas se ordenan de izquierda a derecha y de abajo hacia arriba. Luego de ordenar las listas de coordenadas se procede a escribir el número de cada nodo en el archivo de dibujo. El ordenamiento de tramos se realiza recorriendo la lista de abscisa y se busca en la lista de líneas; una vez encontrada se almacena en otra lista en el orden en que se encuentran, esto asegura que el orden de enumeración sea de izquierda a derecha y en lo posible de abajo hacia arriba y finalmente se escribe el número a cada tramo en el archivo de dibujo.
3.5. Detección de los posibles lazos mediante una búsqueda en profundidad.
Inicialmente, se listan en un arreglo bidimensional los nodos conectados al nodo inicial (Figura 5).

El arreglo inicial tiene una cantidad de filas igual a la cantidad de tramos denotados por la unión del nodo inicial y el nodo final, dicho arreglo se incrementa en la unidad a medida que se consigan los caminos posibles para formar un lazo, los caminos que no forman un lazo son descartados. En el arreglo inicial, cada fila corresponde a los nodos adyacentes al nodo inicial del lazo, seguidamente se toma el nodo ubicado en la primera fila, segunda columna correspondiente al primer nodo adyacente, para determinar los diferentes caminos a partir de este tramo y que puedan formar un lazo.
El nodo seleccionado representa el punto de inicio de la búsqueda en profundidad, el mismo se busca en el arreglo de conexiones de nodo, si se encuentra entonces es un nodo tentativo a formar un camino. El nodo tentativo se busca en el camino ya recorrido, sí no es encontrado, se agrega una fila y una columna a la matriz y se copia el nodo tentativo en esta última fila y última columna creada en este instante. En las celdas anteriores se escriben los nodos recorridos para formar el nuevo camino. Finalmente se pasa a la siguiente fila y así sucesivamente hasta que se generen todos los caminos posibles (Figura 5), que representa los datos de la red en la discusión de resultados de la Figura 9.
3.6. Generación de lazos.
La siguiente etapa es buscar los lazos definitivos que formarán parte del sistema de ecuaciones, para ello se busca en la matriz de caminos posible, aquellos que cumplan las siguientes condiciones de lazo:
El camino tiene 4 nodos o más.
El camino inicia y finaliza en el mismo nodo (lazo cerrado).
El camino recorre la menor cantidad de tramos posibles.
Para cada camino se cuentan los nodos que contiene y se verifica que el último nodo corresponda con el nodo final requerido. Al encontrar un camino que forme un lazo, se busca en los caminos restantes cual tiene el mismo recorrido y se procede a descartarlo, de manera similar el resto de los caminos se revisan hasta obtener la cantidad de lazos necesarios para formar el sistema de ecuaciones.
3.7. Creación del sistema de ecuaciones.
Los valores del coeficiente de resistencia para cada tubería se introducen como datos por teclado en la pestaña Tuberías del programa (Figura 10), con éstos se crea el sistema inicial de ecuaciones; los valores de los caudales externos también se introducen a través de la interfaz. El sistema de ecuaciones está conformado por (J-1) ecuaciones de continuidad en los nodos y (L) ecuaciones de balance de energía en los lazos.
El sistema de ecuaciones se forma aplicando la ley de nodos y la ley de lazos, primeramente se busca en la lista de nodos la dirección de flujo en cada nodo, si el flujo sale del nodo se escribe - 1 en el arreglo en la celda correspondiente a la posición en la que se encuentre en la lista, y en caso contrario si entra el flujo al nodo se escribe +1 en dicha posición (Figura 13).
Posteriormente aplicando la ley de lazos se escriben los valores del coeficiente de fricción del tramo respectivo, para ello se recorre la matriz de lazos y adicionalmente se ubica el índice del tramo respectivo lo que va a permitir el acceso a la lista de coeficientes, si el flujo en el tramo tiene el mismo sentido del recorrido del lazo entonces es negativo de lo contrario es positivo.
Para la aplicación del método téorico lineal se requiere la solución del sistema de ecuaciones hasta que se cumpla con el criterio de error establecido. Los valores obtenidos como resultado de la resolución del sistema de ecuaciones final [16], representa el caudal que circula por cada tramo, se debe tomar en cuenta que si algún valor es negativo, significa que la dirección de flujo es en sentido contrario al supuesto inicialmente.
3.8. Resultados.
Los caudales obtenidos en este programa son escritos en el archivo de dibujo en una capa denominada Caudales mediante la instrucción de la Figura 6.

La ubicación del texto es lo más cercano a cada una de las líneas correspondientes a las tuberías de la red para tener una mejor visibilidad del comportamiento de esta. En el caso de ejecutar nuevamente la aplicación con valores diferentes, para evitar sobrescribir los resultados, se debe proceder a borrar previamente los caudales y direcciones de flujo determinadas en el cálculo anterior, procediéndose de igual manera sí se desea modificar la red, eliminando o agregando otras líneas.
4. Presentación, análisis y discusión de resultados.
Ejemplo 1. Procedimiento de cálculo.
La secuencia de introducción de datos, su procesamiento e impresión de resultados, se desarrolla de la siguiente manera.
Inicialmente, se digitaliza en CAD la red de fluidos mediante el comando Line, es necesario que las uniones de las líneas que conforman los nodos sean precisas ya que el programa no válida la conectividad entre los mismos, esto traería como consecuencia que se asigne un nodo adicional conformando una red errónea. Luego de terminar el dibujo de la red de fluidos, se carga la aplicación seleccionando en la pestaña Administración, el botón Cargar aplicación, mostrándose una ventana de exploración de archivo que permite seleccionar la aplicación a ejecutar, en este caso SimulaciondeRedesdeFluido. dvb, pulsando el botón Cargar y luego Cerrar.
Seguidamente, se selecciona en la misma pestaña de Administración el botón Editor de Visual Basic y se ejecuta la aplicación cargada pulsando el botón Ejecutar o la tecla F5, en la pantalla aparece la ventana de la aplicación con las pestañas: Fluido, Nodos, Tramos, Tuberías, Lazos, Caudales Externos y Solución.
En la pestaña Fluido, se ingresan la densidad en g/cm3 y la viscosidad absoluta en cP del fluido que circula por la red escribiendo el valor en las respectivas cajas de texto. En la Figura 7, se visualiza a la izquierda el archivo de dibujo con la red de fluidos representada con líneas y a la derecha, la ventana para la introducción de los datos correspondientes.

Figura 7: Datos del fluido de la red.
En la pestaña Nodos de la Figura 8 se realizan los procedimientos de: detección de los nodos, ordenamiento de las coordenadas de los nodos y la escritura del número del nodo en el dibujo. Así, la Figura 8 muestra una red de fluido que consta de 5 tuberías con coeficientes de fricción de K1=2, K2=5, K3=1, K4=4, K5=1; los 4 nodos con sus respectivos caudales externos y 2 lazos, siendo cada procedimiento como se describe a continuación.

Al pulsar el botón DetectarNodos, la aplicación extrae de la red dibujada, los identificadores (Handle) de los objetos como línea, las coordenadas de sus extremos (nodos) sin repetirlos y la longitud de cada línea la cual se almacena en una matriz denominada matTuberias. Por lo tanto, con estos datos el sistema obtiene y muestra por pantalla la cantidad de tramos, nodos y por ende la cantidad de lazos disponibles para crear el sistema de ecuaciones de la red de fluidos.
Luego, mediante el botón Ordenar Coordenadas de los Nodos, se ordenan las coordenadas de los nodos con el fin de visualizar de izquierda a derecha y de abajo hacia arriba la secuencia de la numeración de dichos nodos y con esto tener una mejor visualización de la red y ubicar fácilmente cualquier nodo. El botón Escribir el Número de los Nodos crea una capa de nombre Nodos y escribe el número entre paréntesis cerca de las coordenadas de dicho nodo según el orden asignado a cada uno de ellos en la red.
En la pestaña Tramos, mediante el botón Ordenar Tramos se correlaciona el orden de los tramos con el ordenamiento realizado de los nodos y posteriormente con el botón Escribir el número de los Tramos, se escribe en el dibujo el número dentro de corchetes que identifica cada tubería de la red y una flecha que indica la dirección supuesta del flujo (Figura 9).

La pestaña Tuberías, recibe los datos de cada una de ellas. Es posible introducir directamente el factor de fricción o suministrar el diámetro interno de la tubería y la rugosidad para determinar en conjunto con la longitud, el factor de fricción de cada una (Figura 10).

Los lazos se definen en la pestaña Lazos mediante el botón Buscar Camino con un recorrido en profundidad, de tal manera de obtener todas las trayectorias posibles que forman un lazo cerrado en la red. Finalmente con el botón Lazos definitivos, se definen los lazos necesarios y suficientes para completar las ecuaciones requeridas para completar el sistema de ecuaciones representativo de la red de fluidos (Figura 11). Para la red en el centro de la ventana se presenta la lista de adyacencia de los nodos y la cantidad posible de caminos encontrados en total 16.

La pestaña Caudales Externos solicita los datos referentes al caudal suministrado o extraído en cada uno de los nodos de la red (Figura 12).

En la pestaña Solución, finalmente con el botón Llenar el Sist. Ec. se crea la matriz mediante la obtención de los coeficientes del sistema de la red conformada por las ecuaciones de continuidad en los nodos y de balance de energía en los lazos. Así, en la Tabla 1 se muestra la matriz resultante con los valores obtenidos a través de las respectivas ecuaciones tanto en los nodos como en los lazos de acuerdo al siguiente ejemplo:
El botón Resolver (Figura 13), invoca el método teórico lineal utilizando el método de Gauss- Jordan [16] para resolver el sistema de ecuaciones lineal de la red y el botón Escribir Caudales, escribe el valor de los caudales en el dibujo obtenidos como resultado de la solución final del sistema de ecuaciones .

En la ventana del programa se presenta, como parte del proceso de resolución de la red, el sistema de ecuaciones lineal inicial y seguidamente los caudales calculados que se obtienen en cada iteración, en la siguiente lista se muestra el resultado final obtenido y la cantidad de iteraciones realizadas según el valor de tolerancia previamente establecido entre los respectivos caudales de cada tramo específico. Una vez calculados los caudales finales mediante el botón Escribir Caudales se puede actualizar el dibujo utilizando la capa Caudales, con los valores correspondientes a cada tramo o tubería ubicando la información por encima de la línea que representa el mismo, el número del tramo se escribe entre corchetes y al lado se escribe el valor del caudal calculado en las mismas unidades de trabajo utilizadas para el caudal externo.
En consecuencia, si se requiere de un análisis particular, se pueden modificar los parámetros correspondientes al fluido, las tuberías o la conformación de la red en el dibujo y calcular los nuevos caudales correspondientes a cada tramo. Esto permite analizar la influencia de los elementos que intervienen en la red sobre la distribución de los caudales finales.
Ejemplo 2. Ampliación de una red
El análisis de la red se realiza partiendo de la técnica de programación mediante una búsqueda en profundidad. En primer lugar se necesita conocer cuál es el conjunto de conexiones existentes entre las tuberías que conforman la red; por ejemplo, en una red sencilla de tres tuberías tal como se muestra en la Figura 14, se tiene el flujo externo en los nodos 1, 2 y 3 con valores de 100, -30 y -70 [m3/h] respectivamente, el valor positivo indica que el flujo entra a la red y el valor negativo que sale de la misma.
A partir del dibujo de la red inicial (Figura 14), el programa audita la base de datos del archivo de dibujo, determinando las coordenadas del punto de inicio y fin de las líneas, estos van a representar los nodos de la red; y los segmentos de línea representan las tuberías. El sentido en que fue dibujada cada línea define el sentido de flujo supuesto en ese tramo (Tabla 2).

En el programa se identifica y enumera las tuberías de izquierda a derecha y de abajo hacia arriba, utilizando como dato principal las coordenadas del punto de inicio o final, cualquiera de los dos que este más a la izquierda. De manera similar, se identifican y enumeran los nodos, conformados por el conjunto de uniones entre las líneas; es decir, donde coinciden puntos extremos de las líneas. Las características del fluido y de cada una de las tuberías deben ingresarse a través de la interfaz de la aplicación.
Los valores del coeficiente de pérdida para las tuberías del ejemplo 2 son: K1 = 1, K2 = 2, K3 = 1; estos valores se introducen en el software en la pestaña Tuberías.
Por último, una vez que el programa determina la topología de la red, crea una matriz cuyo contenido son los coeficientes de las ecuaciones de continuidad en los nodos y de balance de energía en los lazos, finalmente resuelve los sistemas de ecuaciones necesarios mediante la aplicación del método teórico lineal; el resultado de este procedimiento permite obtener el valor del caudal de cada tubería de la red, quedando reflejados dichos en la Figura 15(a) para cada tubería para cada tubería.

El archivo de dibujo puede ser editable, si no se cuenta con el archivo original; basta con borrar el texto de la enumeración de los tramos, de los nodos y el valor de caudal de las capas de dibujo respectivas, hasta tener solamente el conjunto de líneas que conforman la red, luego de modificar la red o los datos de la misma se pueden calcular los nuevos valores mediante el procedimiento descrito en la metodología. Por ejemplo, si se amplía la red anterior, se logran obtener resultados como los mostrados en la Figura 15(b).
En resumen el programa detecta de un dibujo en AutoCAD que representa una red de fluido cerrada, los elementos necesarios para conformar el sistema de ecuaciones lineal que representa la red y calcular con el método teórico lineal los caudales en todos los tramos. Los coeficientes de las ecuaciones de continuidad en los nodos y de balance de energía en los lazos se almacenan en una matriz como resultado del reconocimiento de las líneas en el dibujo y la secuencia como están conectadas, además de la introducción de los datos del fluido y de las tuberías. Todos los datos suministrados pueden ser modificados e inclusive el diseño de la red y obtener los nuevos resultados producto de dichas modificaciones. En cuanto al sentido de flujo de los caudales finales, un valor negativo indica que el fluido recorre en dirección contraria a la supuesta inicialmente.
5. Conclusiones.
El programa diseñado detecta los nodos y los tramos de una red cerrada dibujada en base a las coordenadas rectangulares de las líneas dibujadas en un archivo de CAD. Por medio de la estructura de dicho archivo crea un orden para la mejor visualización de los nodos y tramos de la red. Permitiendo que se pueda trabajar en conjunto con aplicaciones actuales como Google Earth para la obtención de datos geográficos de lugares y se dibuje la red a partir de dicha información.
El software desarrollado facilita el análisis de la red, realizando modificaciones de valores a los datos del fluido, de la tubería, de la topología de la red y de los caudales externos, permitiendo de esta manera poder realizar de manera didáctica un estudio más rápido y detallado de la red dibujada.
El programa es una propuesta de apoyo en la resolución de redes de fluidos malladas mediante el método de la teoría lineal, que muestra cada etapa de resolución de la red de fluido con la intención de presentar de manera intuitiva todos los pasos para la compresión y análisis en el estudio del tema.
Mediante el subprograma del método de Gauss- Jordan para sistemas de ecuaciones, se resuelven los sistemas de ecuaciones lineales de la red conformada por las ecuaciones de continuidad en los nodos y de balance de energía en los lazos, con lo cual se dispone de una herramienta para su aplicación en la resolución de ejercicios.
En este trabajo no se incluye el estudio de acercamiento entre nodos de diferentes tramos debido a que AutoCAD ofrece herramientas de precisión para la unión de líneas en la edición del dibujo; sin embargo, se plantea su inclusión para trabajos futuros que verifiquen la correcta confor- mación de una red de fluidos, adicionalmente se sugiere agregar la resolución de redes de fluido abiertas y la incorporación de bombas, tanques y accesorios a la red. Igualmente en futuras investigaciones se debe evaluar el comportamiento de la herramienta en lo referente al manejo de caudales con magnitudes extremas, con respecto al valor de la tolerancia de cálculo utilizada para la estimación y convergencia de toda la red.
Para finalizar, el programa selecciona de las ecuaciones de lazo, los caminos de menor recorrido, en trabajos futuros se continuará con el análisis de la selección de diferentes caminos para evaluar la rapidez y la exactitud en la resolución de la red.
Referencias
[1] R. Pérez. Dimensionamiento óptimo de redes de distribución de agua en redes ramificadas considerando los elementos de regulación. Tesis de Doctorado, Universidad Politécnica de Valencia, España, 1993.
[2] AutoCAD 2015 Autodesk. AutoCAD 2015: Complete Guide to What’s New. Autodesk, Inc., USA, 2015.
[3] José Gamboa, J. García y R. Méndez. Desarrollo de un método para la solución de sistemas de tuberías abiertas. Ingeniería, 8(3):7–14, 2004.
[4] Jesica Rivero. Búsqueda rápida de caminos en grafos de alta cardinalidad estáticos y dinámicos. Tesis de Doctorado, Departamento de Informática, Universidad Carlos III de Madrid, Leganés, España, 2011.
[5] J. Valls y D. Camacho. Programación estructurada y algoritmos en Pascal. Pearson Educación, Madrid, España, 2004.
[6] Autodesk. AutoCAD 2010. Manual de personalizaci ón. Autodesk, Inc., California, EEUU, 2009.
[7] Diana Santiváñez. Desarrollo de un software para cálculos hidráulicos de redes de tuberías con fluidos monofásicos. Trabajo Especial de Grado, Universidad Simón Bolívar, Caracas, Venezuela, 2013.
[8] Denis Montalbán. Respuesta transitoria del flujo al cierre de una válvula en una red de tuberías un enfoque numérico y experimental. Tesís de Maestría, Universidad Central de Venezuela, Caracas, Venezuela, 2004.
[9] Yunus Cengel y J. Cimbala. Mecánica de fluidos: fundamentos y aplicaciones. McGraw-Hill, cuarta edición, 2012.
[10] Bruce Munson, A. Rothmayer, T. Okiishi, and W. Huebsch. Fundamentals of fluid mechanics. Wiley, 6th edition, 2009.
[11] R. Mott. Mecánica de fluidos. Pearson Educación, México, sexta edición, 2006.
[12] R. Giles, J. Evett y C. Liu. Mecánica de los fluidos e hidráulica. McGraw Hill, México, tercera edición, 1994.
[13] J. Saldarriaga. Hidráulicas de tuberías. McGraw Hill Interamericana, S. A., Colombia, 1998.
[14] L. Ambrosius. AutoCAD Platform Customization: User Interface, AutoLISP, VBA, and Beyond. Wiley, Indianapolis, 2015.
[15] L. Joyanes y I. Zahonero. Estructura de datos en Java. McGraw-Hill, Interamericana de Españá, S. A. U., España, 2008.
[16] Steven Chapra y R. Canale. Métodos numéricos para ingenieros. McGraw-Hill Interamericana Editores, S.A. de C.V., México, sexta edición, 2011.
Enlace alternativo
http://servicio.bc.uc.edu.ve/ingenieria/revista/v23n1/art02.pdf (pdf)