Artículos científicos
El método alternativo de la evaluación de calidad de los resultados del intercámbio de gases en los motores de combustión interna
The alternative method of the estimate of the quality of gas–exchange processes in the internal–combustion engine
El método alternativo de la evaluación de calidad de los resultados del intercámbio de gases en los motores de combustión interna
Revista INGENIERÍA UC, vol. 25, núm. 1, 2018
Universidad de Carabobo
Recepción: 01 Noviembre 2017
Aprobación: 30 Marzo 2018
Resumen: El trabajo está dedicado a las ventajas de la evaluación de la calidad de los resultados del intercambio de gases por medio de fracciones en volumen de los componentes de la mezcla de servicio que se compone del aire, combustible, gases residuales y los de recirculación. La característica principal de llenado de los cilindros de un motor de pistón –el coeficiente de llenado ηv– describe no el relleno mismo, sino su reducción por la causa de resistencia hidráulica y el calentamiento de los gases. El coeficiente de llenado ηv ignora la influencia sobre el llenado del tipo de combustible usado, coeficiente del exceso del aire y grado de recirculación. Además, es principalmente imposible determinar el valor numérico del coeficiente ηv que corresponde al relleno completo del volumen total del cilindro con la mezcla fresca. La fracción de la mezcla fresca da una indicación del grado de relleno del volumen total del cilindro. El uso de las fracciones de la mezcla de servicio en los programas aplicados modernos para el cálculo de los motores de CI de pistón puede reducir el tiempo del cálculo por causa de disminución de la cantidad de variables.
Palabras clave: proceso de admisión, coeficiente de llenado, coeficiente de los gases residuales, carga fresca, tipo del combustible, composición de la mezcla de servicio.
Abstract: - The work presents the advantages of the utilization of the volumetric ratios of the components in the air–fuel– residual gases–mixture for the thermal calculation of internal-combustion engine. The principal characteristic of the loading of the engines of IC –the volumetric efficiency ηv– describes not the loading proper, but its reduction as a result of the hydraulic resistance and heating of the fresh charge. The volumetric efficiency ηv ignores the influence on the loading of the used combustibles type, excess-air coefficient and level of recirculation. In addition, it is in principle impossible to determine a numerical value of the volumetric efficiency corresponding with the full filling of cylinders by fresh charge. Volumetric fraction of fresh charge offers scope for the judgment about the state of filling by it of the total cylinder's volume. The use as a base of the component's fractions of the working mixture in modern application programs of engine's calculation could reduce the calculation's time by reducing of the number of variables.
Keywords: gas-exchange process, volumetric efficiency, coefficient of residual gases, fresh charge, fuel mode, composition of the air-fuel-residual gases-mixture.
1. Introducción
Unas de las nociones más importantes de la Teoría de los Motores de Combustión Interna (MCI) son el coeficiente de llenado o rendimiento volumétrico (ηv) y el de los gases residuales (γr ) [1, 2, 3]. Esos coeficientes se utilizan exclusivamente para la evaluación de los procesos del intercambio de gases en los MCI, pero procesos mencionados pueden ser evaluados más fácil y claramente mediante a la noción termodinámica de volumen parcial o reducido. Así, el coeficiente de llenado ηv se distingue, por ejemplo, por insuficiencias siguientes [4]:
Su valor puede ser diferente dependiendo de los parámetros de la carga fresca en la entrada en el cilindro, cuando la masa de la carga fresca es constante.
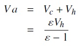
En el caso de un volumen de trabajo de cilindro Vh (el volumen circunscrito por el pistón durante su desplazamiento entre el punto muerto superior y el inferior) idéntico y con relaciones de compresión ε diferentes (por causa de volumen de la cámara de combustión Vc diferente) al mismo valor de ηv le corresponde una composición diferente de la mezcla de servicio que consta del aire, combustible, gases residuales y los de recirculación.
no existen ecuaciones universales de ηv que se tomen en cuenta el tipo del combustible utilizado o el uso de recirculación de los gases de escape.
En el caso de iguales volúmenes de trabajo de cilindro Vh y de masas de la carga fresca, la presión media indicada (pi) del ciclo tiene que depender de la relación de compresión ε (pero en las fórmulas que se utilizan actualmente para evaluar la presión media indicada pi la relación de compresión ε está presente solamente en una forma indirecta). Tal dependencia es sobre todo importante del punto de vista de didáctica para el examen del funcionamiento de los motores con la relación de compresión ε variable. Se sabe también que la magnitud de la presión media pi depende del tipo de combustible utilizado, lo que no se toma en consideración en las ecuaciones existentes.
A pesar de que el proceso de admisión resulta a causa del desplazamiento del pistón desde el punto muerto superior (PMS) hacía el inferior (PMI), no sería oportuno evaluar el llenado basándose solo en el volumen de trabajo Vh, pues que al final de la fase de admisión la carga fresca llena el volumen total Va. Por lo tanto, la potencia del MCI se determina por el grado de llenado por la carga fresca del volumen total (no el de trabajo) en el final de la fase de admisión.
No se puede indicar el valor máximo del coeficiente ηv, que hay que tratar de alcanzar para el logro del llenado “ideal” y de la potencia máxima; es imposible evaluar por ηv las reservas del relleno.
Es notorio que la dosificación del combustible hay que realizarla partiendo del grado de turbulencia, de la composición de la mezcla de servicio y de la cantidad del oxidante que se encuentra en el cilindro. Con este motivo es más conveniente evaluar el llenado por las magnitudes asociadas con el llenado másico y con la composición de mezcla de servicio – no por medio del coeficiente ηv.
En base a lo anterior, tiene sentido encontrar un cierto coeficiente o una magnitud adimensional, la que estima adecuadamente el llenado másico y la composición de la mezcla de servicio y también permite reflejar la dependencia de la presión pi respecto a la relación de compresión ε.
2. La parte principal
Para la evaluación de la calidad del proceso de admisión es razonable comparar la cantidad de los kmoles de la carga fresca que entra en el cilindro con la cantidad de los kmoles de la mezcla de servicio que se encuentra en el volumen total Va. Es decir, es más apropiado evaluar los resultados del intercambio de gases por la composición de la mezcla que se constituye en el transcurso del proceso de admisión.
Esto es especialmente útil en relación con el hecho de que las fracciones molares son iguales a las en volumen. Por esa causa es más claramente y fácil ilustrar visual y gráficamente todas las conclusiones teóricas y deducciones matemáticas. Así mismo es más apropiado juzgar la calidad de barrido del cilindro de los gases residuales por la fracción de gases residuales (GR) en la mezcla de servicio, no utilizando en este caso el coeficiente de gases residuales γr (que representa la relación entre número de kmoles de los gases residuales (GR) y de carga fresca).
El uso de las fracciones con el fin de evaluar la calidad de los procesos de intercambio de gases facilita también el cálculo de tales magnitudes como masa molecular aparente µ y la constante específica R de la mezcla de servicio que se constituye en el cilindro. Eso facilita la realización de los cálculos que se basen en la ecuación de estado (de Clapeyron).
Se puede imaginar el volumen de la mezcla de servicio ubicado por encima del pistón que se encuentra en el punto muerto inferior (PMI) como la suma de los volúmenes de la carga fresca (CF) y de los GR (Figura1).

En la Figura1 se utilizan siguientes notaciones de volúmenes:
Vair – del aire;
Vcomb – de combustible;
Vr – de los gases residuales;
VR – de los gases de recirculación;
Vms = Vair + Vcomb – de la mezcla inflamable;
Vc f= Vair + Vcomb + VR – de la carga fresca;
Vms = Vair + Vcomb + Vr + VR – de la mezcla de servicio;
Vh es la cilindrada de trabajo.
El volumen total del cilindro es igual al volumen de la mezcla de servicio, es decir Va = Vms.
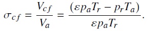
Suponiendo que en el volumen total del cilindro Va es igual a la unidad, la fracción de cada componente de la mezcla de servicio será numéricamente igual a su volumen parcial, lo que permite visualizar muy fácil los resultados de intercambio. De hecho, la fracción en volumen de los GR en este caso será igual a Vr . Así, permite analizar e ilustrar claramente la calidad de los procesos de intercambio de gases, ya que – como se puede ver en la Figura 1 – la disminución de la fracción de los GR σr en la mezcla de servicio significa unívocamente el crecimiento correspondiente de la fracción σc f de la carga fresca, y viceversa. Por lo tanto, perfecto sería tal intercambio de gases, en el resultado de cual al comienzo de la fase de compresión la carga fresca llene enteramente como el volumen de trabajo Vh, tanto el volumen de la cámara de combustión Vc, es decir – cuando σc f = 1, y en el volumen total del cilindro Va no se queden los gases residuales.
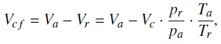
Las ecuaciones de cálculo puedan ser deducidas, si se utilizan las expresiones de termodinámica conocidas. Como se deduce de la Figura 1, el volumen de la mezcla de servicio (el volumen total Va) es igual a la suma de los volúmenes parciales de CF y GR [5, 6, 7, 8]

donde Vc f es es el volumen parcial de la mezcla fresca que se compone del aire, combustible y de los gases de recirculación. Por lo tanto, en el caso general (cuando se utilizaran combustibles gaseosos y la recirculación de los gases de escape) la última ecuación se escribe por la Ecuación (1) (ver [8, 9])
(1)donde Vair es el volumen parcial del aire,
Vcomb– el de combustible y
VR–el de los gases de recirculación, cuyo valor relativo en la carga fresca se determina por el grado de recirculación R´c Rc.
Ese último es igual a la razón de la cantidad de los kmoles de los gases de recirculación MR y la cantidad de kmoles de la mezcla fresca, es decir



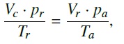
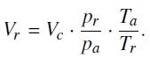
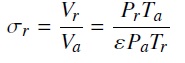
El volumen de los GR a parámetros del punto “a” del diagrama indicado en la Figura 2 puede ser determinado de la proporción

y de ahí podemos escribir

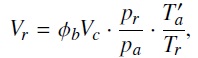
Al tomar en consideración la diferencia entre la cantidad real de gases residuales y la calculada, tenemos

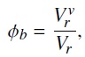
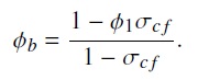
donde ϕb es coeficiente de barrido que es igual a la razón de la cantidad de los GR verdadera y la calculada, es decir

Aquí pr y Tr son, respectivamente, la presión y temperatura dentro del cilindro al final del tiempo del escape y Vc el volumen de la cámara de combustión.
En este caso el volumen de la carga fresca está determinada como

de donde queda deducida la Ecuación (2)
(2)Para determinar las fracciones del aire, combustible y de los gases de recirculación encontremos los volúmenes parciales de todos los componentes de la mezcla de servicio.
El volumen parcial del combustible puede ser expresado a través de Vaire como

donde
α =
es el coeficiente de exceso de aire,
Gcomb los gastos por hora de combustible,
Gair los gastos por hora del aire,
l0 la relación estequiométrica en [kg del aire/kg del combustible] y
L0 =
la
relación estequiométrica en [kmol del aire/kg del combustible].
Donde,

y

después de las trasformaciones correspondientes obtendremos la Ecuación (3)
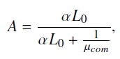
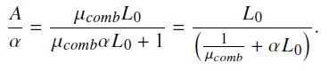
(3)El valor inverso del paréntesis de la Ecuación (3) es denominado como “el coeficiente de desplazamiento” (del aire)[8, 9] y designado por A en la Ecuación (4)
(4)Al representar la Ecuación (4) como

podemos deducir que el coeficiente de desplazamiento es igual a la razón de la cantidad de kmoles del aire y la de la mezcla inflamable que se compone del aire y combustible.
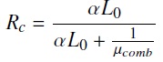
Mediante la noción del coeficiente A, dada en [9, 10], puede volver a escribirse Rc

De aquí se desprende que a la cantidad de los kmoles MR iguales la magnitud del grado Rc depende del tipo de combustible (de su masa molecular µcomb y del valor L0).
Al multiplicar el numerador y denominador de esa ecuación por el volumen de un kmol a los parámetros del punto “a” del diagrama indicado, obtendremos la fórmula que determina el grado de recirculación a través de correspondientes volúmenes parciales

de ahí

Al introducir en la Ecuación (1) los valores correspondientes, expresados a través de Vair, obtendremos

o

y finalmente por los resultados en [8] se obtiene la Ecuación (5)
(5)De ahí se deduce que hacia el cilindro fluye menos aire, cuando se utiliza recirculación (Rc ≠ 0) y cuando se utilizan los combustibles “ligeros” gaseosos con la masa molecular pequeña y los valores numéricos del coeficiente A considerablemente distintos del uno. La Figura 3 ilustra la relación entre el coeficiente de exceso del aire α, el tipo de combustible y el coeficiente de desplazamiento A. Se puede ver, que cuando se utiliza un combustible gaseoso ligero, el coeficiente de desplazamiento A y, por consiguiente, el volumen parcial del aire en la mezcla de servicio que rellena el cilindro, se reducen. Lo mismo pasa también en el caso de enriquecimiento de la mezcla inflamable, cuando el coeficiente de exceso del aire α se disminuye. Empeoramiento mencionado del relleno es bien conocido de la experiencia cotidiana [11, 12, 13].

A partir de la definición que el coeficiente de los gases residuales γr es la razón de cantidades de kmoles de la GR en las de la carga fresca, tendremos

y por lo tanto,

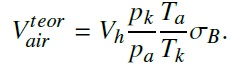
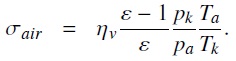
El grado de perfección del proceso de admisión tradicionalmente se evalúa por el coeficiente de llenado o rendimiento volumétrico ηv que es la razón entre la cantidad de CF que se encuentra en el cilindro al inicio de la compresión real (cuando se cierran las válvulas de admisión) y la cantidad virtual de carga fresca que teóricamente podría llenar la cilindrada Vh a las condiciones de admisión. Pero a parámetros del punto “a” del diagrama indicado la cilindrada Vh sería igual a

Por eso, a partir de la Ecuación (5), obtendremos

finalmente de los resultados en [9, 14] da la Ecuación (6)
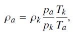
(6)Aquí pk y Tk son parámetros de la CF a condiciones de admisión.
Utilizando el concepto de “volumen parcial” para analizar los resultados de intercambio de gases en un motor de pistón de gas dedujéramos ecuaciones universales para determinar el coeficiente de llenado y el de gases residuales. El uso de ellos permite evaluar la calidad de los procesos de intercambio de gases en cualquier motor de combustión interna de cuatro tiempos – los de Diesel, de gasolina o gas, con o sin recirculación. Además, las fórmulas son útiles para analizar la influencia de factores diferentes en los resultados del intercambio de gases.
Para motores que funcionan con combustible líquido en ausencia de recirculación el coeficiente de llenado se determina por

La misma fórmula se puede ser deducida a partir de la Ecuación (2). Distinguiéndose estructuralmente, esta fórmula da al calcular los mismos resultados que las dependencias que se muestran en [1, 2].
Dividiendo las magnitudes de los volúmenes parciales de los componentes de la mezcla de servicio en el volumen total Va (que es igual al volumen de la mezcla de servicio) hallemos las fracciones correspondientes en volumen de los GR y de la CF [9, 15] se obtienen las ecuaciones (7) y (8)
(7) y
(8)Tomando en cuenta el barrido del cilindro y un llenado adicional obtendremos las Ecuaciones (9), (10) y (11) para la determinación de las fracciones de los GR y de la CF
(9)
(10) o

Mediante la Ecuación (5), la fracción del aire puede ser determinada mediante la Ecuación (12)

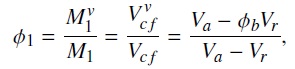
aquí ϕ1 y ϕs son, respectivamente, los coeficientes de recarga y de barrido [2], que compensan la ignorancia de los verdaderos valores de las temperaturas y presiones de la CF y los GR en los puntos “a” y “r” del diagrama indicado.
En diferencia a los coeficientes ηv y γr , la noción de fracciones de componentes se utiliza no solamente en la teoría de los motores de CI, sino en todas las esferas de ciencia y técnica.
Como puede verse en la Figura 1, la caída de la fracción de GR como resultado de la purga de los gases de escape conduce a un aumento de la fracción σc f de carga fresca, o, viceversa, un aumento de la fracción de la CF como resultado de una recarga (relleno adicional) en el periodo de demora en cerrar la válvula de admisión tiene el efecto de reducción de la fracción de GR.
En realidad, el coeficiente ϕ1 caracteriza no el mismo proceso de relleno adicional en el periodo de demora en cerrar la válvula de admisión, sino una variación común de relleno como resultado de procesos en el período de traslapo de válvulas (apertura simultánea de las válvulas de admisión y de escape) y durante el movimiento del pistón desde el PMI y hasta el instante de cierre de las válvulas de admisión.
El coeficiente ϕ1 no distingue la influencia sobre el llenado de los efectos de admisión adicional y soplado, pero sólo evalúa el cambio en la cantidad de la CF que entró en el cilindro en comparación con la cantidad calculada. En este caso,

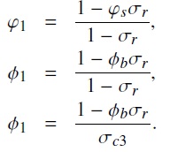
donde M1v y M1 son conformemente las cantidades de kmoles de la carga fresca calculada y la real. El coeficiente de barrido ϕbes igual a razón

Después de división en Va obtendremos

Teniendo en cuenta que σrv= ϕbσr , se puede escribir

Esta fórmula también puede ser presente en la forma siguiente

Por lo tanto, podremos concluir que estos coeficientes están interrelacionados y por eso no pueden ser fijados arbitrariamente [9].
A diferencia del coeficiente de llenado ηv la fracción de la carga fresca σc f no depende de los parámetros del aire en la entrada en el motor y por lo tanto es vinculada unívocamente con el llenado de masa (mientras que el coeficiente de llenado según las magnitudes de pk y Tk puede tener valores diferentes a la misma cantidad de la carga fresca que entra en el cilindro). Con todo eso para la determinación analítica de la fracción de la carga fresca es suficiente saber solamente el grado de compresión del motor y los parámetros termodinámicos del cuerpo de trabajo a los puntos “a” y “r” del diagrama indicador.
Por lo visto la tradición del uso del coeficiente de llenado se explica en esencia con la simplicidad de su determinación por los datos experimentales y con la comodidad de representación por ese coeficiente de la presión media indicada y la efectiva. Pero hay que tener en cuenta que la mezcla de la carga fresca y de los gases residuales que se compone en el cilindro ocupa el volumen total Va del cilindro (a pesar de que el pistón durante su marcha desde el PMS hacía el PMI desocupa y circunscriba el volumen de trabajo Vh). En ese caso el valor de la presión media indicada se determina solamente por la fracción de la carga fresca o del aire que se encuentra en el volumen total.
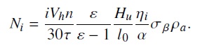
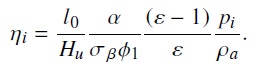
El valor de la presión media pi indicada puede ser expresada fácilmente por la fracción σair en la CF. En efecto:

donde
Gciclocomb es la cantidad de combustible que se consume en el cilindro durante un ciclo,
Hu es el poder calorífico del combustible,
ηi es rendimiento indicado y
ρa es la densidad del aire a parámetros del punto “a” del diagrama indicado.
En conclusión, la ecuación toma el aspecto de la Ecuación (13) [9, 16]
(13)Mediante la ecuación de reducción

obtengamos la Ecuación (14)
(14)La Ecuación (14) da posibilidad de analizar también la dependencia de los datos de potencia de motor de los parámetros de la carga a la entrada en el cilindro, lo mismo que la dependencia de esos datos de la relación de comprensión ε.
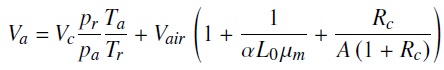
Al sustituir σair por su valor en la Ecuacion (12) obtenemos finalmente la Ecuación (15)[16]
(15)Esa ecuación permite tomar en consideración la dependencia de la presión media indicador del tipo de combustible (a través de factor A) y del grado de recirculación Rc. Como el uso de combustibles gaseosos tanto el de la recirculación de los gases de escape llevan a disminución de presión media indicador pi. De eso modo la Ecuación (15) es muy cómoda para tareas didácticas.
De la Ecuación (15) se deduce también que el valor de pi depende de la razón A/α, que caracteriza el grado de efectividad de la regulación cuantitativa. El significado físico de esta relación puede determinarse de la igualdad

Por lo tanto, la razón A/α es equivalente a relación del número de kmoles de aire teóricamente necesaria para la combustión completa de 1 kg de combustible, en el número de kmoles de una mezcla combustible que se compone de 1 kg de combustible y del aire que se utiliza realmente para su combustión.
El numerador y el denominador de última ecuación se distinguen más, cuando se utiliza un combustible “ligero” y el coeficiente de exceso de aire α se disminuye. Pero, como puede verse en la Figura 3, cuando se usan combustibles gaseosos, coeficiente de desplazamiento A es mucho menos de uno, que es la consecuencia del aumento del número de kmoles de combustible 1/µcomb en mezcla combustible. Por eso cambio de la razón A/α en el caso de enriquecimiento (cuando se disminuye también el coeficiente α) no está tan grande (véase la Figura 4), como en caso del uso de gasolina.

En concordancia con la Ecuación (15) eso significa la influencia no tan considerable del enriquecimiento de mezcla sobre los datos de poder de un motor de gas.
A diferencia de la ecuación que se cita habitualmente en los manuales [1, 2]

las Ecuaciones (13), (14) y (15) en forma explícita demuestran dependencia de los datos de potencia de un motor de la relación de compresión ε y de la fracción del aire en la mezcla de servicio (que depende a su vez del tipo del combustible usado).
Al tomar en consideración la ecuación

para determinación de la potencia indicador, podemos escribir

Como el gasto específico indicado de combustible es la razón

para un solo ciclo, esa ecuación puede ser escrita como

donde Lies el trabajo indicado de un ciclo. Pero

y en ese caso

de donde

Al sustituir pi [Pa] su valor en [MPa]
(16)De la Ecuación 16 se desprende que la magnitud de gi depende de la relación de compresión ε. Además, como la fracción del aire σair es directamente proporcional al producto A(1-Rc), se puede deducir que el gasto específico indicado de combustible debe bajarse cuando se disminuya ese producto. Es decir, en el caso de mantener sin cambios el valor de pi el uso del combustible más “ligero” y el grado de recirculación más grande tienen la consecuencia de aumentar la eficiencia del motor.
De la Ecuación 13 obtendremos

Mediante la ecuación

puede ser reescrita

finalmente
(17)De la Ecuación 17 se desprende que el rendimiento indicado depende del tipo de combustible (de la magnitud de su masa molecular µcomb) y se aumenta en caso del uso de combustibles gaseosos más ligeros.
El interés en motores de CI con expansión continuada se determina por su mayor eficiencia en comparación con la de los motores convencionales [11, 12, 13, 17, 18]. Como muestra [17], el uso de fracciones de componentes de la mezcla de servicio simplifica el análisis de índices y del cálculo de los motores que funcionan, en particular, según el ciclo de Miller/Atkinson. De esta manera, por ejemplo, el rendimiento indicado del ciclo de un motor con la expansión continuada está determinado por la ecuación [16]

Esta ecuación demuestra que rendimiento indicado crece, cuando disminuye el producto
σairϕ1σairϕ1σairϕ1σairϕ1 como el resultado σairϕ1 de demora en cerrar la válvula de admisión.
La relación entre las magnitudes de ηv y σc f se puede ser determinada desde la ecuación

donde en el denominador se halla el volumen de la carga fresca que podría encontrarse teóricamente en el volumen de trabajo a parámetros de medio ambiente, pero reducido a los parámetros del punto “a” del diagrama indicador. Por eso

de donde son deducidas las Ecuaciones (18) y (19)
(18)
(19) Las Ecuaciones (18) y (19) dan posibilidad expresar el coeficiente de llenado por medio de la fracción σair y viceversa – expresar σair por medio del ηv.
Las computaciones de la presión media indicada realizadas según la Ecuación (15) dieron los mismos resultados que las efectuadas por medio de la fórmula tradicional
, en la cual la presión pi se determina como una función del coeficiente de llenado que toma en cuenta las magnitudes de A y R'c, .
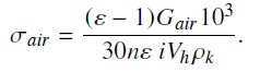
El cálculo de la fracción del aire por medio de los valores obtenidos experimentalmente del gasto real del aire también no debe de provocar algunas dificultades, pues que

donde Gair es la masa auténtica del aire que fluye hacia el cilindro de un MCI, y la magnitud que está en el denominador es masa del aire que podría encontrarse en el volumen total del cilindro a parámetros de la entrada en el cilindro o – en ausencia de sobrealimentación – a los de medio ambiente.
De ese modo el cálculo de la fracción del aire puede ser efectuado por la ecuación

donde
ρk es la densidad del aire a parámetros de la entrada en el cilindro,
Gair – el consumo verdadero del aire por hora,
n – frecuencia de rotación del cigüeñal y
iVa es el volumen total de todos los “i” cilindros de motor.
Tomando en consideración que

y la Ecuación (20)
(20)se deduce finalmente

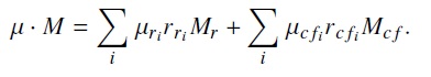
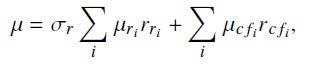
Se puede constatar que la evaluación de los procesos de intercambio de gases por medio de fracciones en volumen de componentes de la mezcla de servicio simplifica considerablemente muchos cálculos termodinámicos. Así por medio de esas fracciones se puede determinar fácilmente la masa molecular aparente o media de la mezcla.
En efecto

o

Aquí µi y Mi son conformemente las masas moleculares y las cantidades de moles de componentes de la mezcla. Pero en el caso, cuando sea conocida, por ejemplo, la composición de los gases residuales (y los de recirculación), la cantidad de los kmoles de cualquier componente se determina como el producto de su fracción en volumen ri por la cantidad total de moles de los productos de combustión, es decir

donde Mr es la cantidad total de los kmoles de gases residuales. En ese caso obtendremos [9, 15]

Al tomar en cuenta que las fracciones molares son iguales a las en volumen, después de la división por la cantidad de moles de la mezcla de servicio, es deducida la Ecuación (21)
(21)donde σr y σc f están determinados por las Ecuaciones (9) y (10).
En este caso la constante específica R de la mezcla de servicio puede ser determinada por la ecuación

3. Conclusiones
Como se deduce del análisis efectuado lo siguiente.
El uso de la metodología propuesta da posibilidad de tomar en consideración la influencia del tipo del combustible y de recirculación de los gases de escape en resultados de procesos del intercambio de gases y – respectivamente – en los datos de potencia de motor, los económicos y ecológicos (conforme a los resultados en [9, 10, 19].
En diferencia a los coeficientes ηv y γr la noción de fracciones de componentes se utiliza no solamente en la teoría de los motores de CI de pistón, sino en todas las esferas de ciencia y técnica
Las fracciones en volumen no solamente evalúan los resultados de intercambio de gases, sino también caracterizan la composición de la mezcla de servicio, lo que simplifica la determinación de todos sus parámetros termodinámicos.
Los valores de las fracciones de los componentes son directamente proporcionales al llenado en masa

donde ρi es la densidad de componente correspondiente a parámetros del punto “a” del diagrama.
Como la mayoría de los coeficientes adimensionales, incluso los de rendimiento, cualquiera fracción en volumen es limitada por la magnitud máxima que es igual a uno. El caso de la σcfmax = 1 corresponde al llenado ideal, cuando la mezcla de servicio no contenga los gases remanentes y se compone solamente de la carga fresca. (En el caso de ηv = 1 no se toma en consideración el volumen de la cámara de combustión que puede contener alguna cantidad de los gases residuales. Es posible también que en el caso de ηv = 1 una parte de carga fresca se pierda en el transcurso del periodo de traslapo de válvulas (durante apertura simultánea de las válvulas de admisión y de escape).
Las ecuaciones deducidas demuestran la dependencia de características indicadas de motor del tipo del combustible usado y del grado de recirculación.
La evaluación de la calidad de llenado por medio de las fracciones de la mezcla fresca y los gases remanentes es clara y cómoda didácticamente, pues que entre las fracciones y cantidades de la CF y los GR en el cilindro existe la dependencia univoca (la que ausente entre ηv y ηr )

y

El uso en los cálculos de los procesos de llenado de las fracciones en volumen de la carga fresca y de los gases residuales da posibilidad de determinar la masa molecular aparente y constante específica de la mezcla de servicio incluso en el caso de la utilización de la recirculación de los gases de escape.
El uso de las fracciones de la mezcla de servicio en los programas aplicados modernos para el cálculo de los motores de CI de pistón puede reducir el tiempo del cálculo por causa de disminución de la cantidad de variables.
4. Referencias
[1] V. N. Lukanin. Internal Combustion engines. MIR Publishers, 2 edition, 1990.
[2] M.S Jóvaj. Motores de automóvil. Editorial MIR, 1982.
[3] Volkmar Küntscher. Krafnfahrzeugmotoren. VEB Verlag Technik, Berlin, 1989.
[4] B.A. Sharoglasov and V.A. Povaljaev. Calculated estimate of the admission quality with the incoming charge of the piston engine cylinders at the designing stage. Bulletin Of The South Ural State University. Series Mechanical engineering, (23):20–24, 2008.
[5] A.P. Baskakov. Termotecnia. Editorial MIR, 1985.
[6] Leonid M. Matyukhin and Benigno Vargas. El análisis termodinámico de los procesos de intercambio de los gases en los motores de combustión interna. Revista Tecnología–hoy: Facultad de Ingeniería Mecánica, Universidad Tecnológica de Panamá, 4:22–24, 2000.
[7] Leonid M. Matyukhin. The alternative of the volumetric efficiency. In Collected articles “Engine 2007”, pages 80–85. Moscow, 2007.
[8] Leonid M. Matyukhin. Evaluation of results for the gas exchange processes by the use of volumetric ratios of air-fuel- residual gases-mixture. In Science and Education, Materials of the VIII international research and practice conference, pages 337–345, Waldkraiburg–Munich–Germany, 2015. Vela–Verlag.
[9] Leonid M. Matyukhin. Analysis of filling and thermal calculation of the ICE on the basis of the working mixture. LAP LAMBERT Academic, Saarbrücken, 2011.
[10] Leonid M. Matyukhin. The estimation of an engine filing and indicator factors. AutoGas Filling Complex + Alternative fuel, 1(61):15–18, 2012.
[11] G.G. Ter-mkrtichyan, A.M. Saikin, K.E. Karpukhin, A.S. Terenchenko, and Yu.G. Ter-mkrtichyan. Diesel-to-natural gas engine conversion with lower compression ratio. Pollution Research. Enviro Media, 36(3):678–683, 2017.
[12] G.G. Ter-Mkrtichyan. Engine with quantitative throttles power regulation. Avtomobil’naya promyshlennost’ (Automotive industry), (3):4–12, 2014.
[13] Ter-Mkrtichyan G.G. Engines featuring extended expansion phase. Dvigatelestroyeniye (Engine building), (5):3–9, 2015.
[14] Leonid M. Matyukhin. The universal formula of the delivery ratio for conventional four stroke engines calculation of internal–combustion engines for the 4–stroke internal combustion engine. Bulletin of MADI (STU), 3(22):39–43, 2011.
[15] Leonid M. Matyukhin. The utilization of the volumetric ratios of the components in the air-fuel-residual gases-mixture for the thermal calculation of internal-combustion engine. Bulletin of MADI, 1(8):46–51, 2007.
[16] Leonid M. Matyukhin. Indicated measures of the –combustion engines. Bulletin of MADI (STU), 4(27):26..29, 2011.
[17] L. Matiukhin and G. Ter-Mkrtichyan. Thermodynamic fundamentals of the engine operational cycle with a shortened intake ore compression based on working mixture analysis. Works of NAMI: Coll. of Sci. Art., (263):35–44, 2015.
[18] G.G. Ter-Mkrtichyan. Engines with modified operating cycle and overexpansion. Works of NAMI: Coll. of Sci. Art., (259):59–71, 2014.
[19] Leonid M. Matyukhin. The analysis of the gas exchange and calculation of the composition of the air-fuel-residual gases-mixture in the gas engines. Bulletin of MADI (STU), 4(11):5–7, 2007.
Notas de autor
dvs@madi.ru
Enlace alternativo
http://servicio.bc.uc.edu.ve/ingenieria/revista/v25n1/art04.pdf (pdf)