Artículos científicos
Análisis de la variación del coeficiente de rugosidad de Manning con respecto a la pendiente del canal en tubería de PVC de 315 mm de diámetro
Analysis of the manning roughness coefficient variation in regard to the channel slope of 315 mm diameter PVC
Análisis de la variación del coeficiente de rugosidad de Manning con respecto a la pendiente del canal en tubería de PVC de 315 mm de diámetro
Revista INGENIERÍA UC, vol. 25, núm. 1, 2018
Universidad de Carabobo
Recepción: 01 Diciembre 2017
Aprobación: 28 Febrero 2018
Resumen: El coeficiente de rugosidad de Manning es un índice el cual determina la resistencia de un flujo en un canal, es por esto, y por la posibilidad de calcular este coeficiente que se pretende determinar la influencia de la pendiente de un canal en el coeficiente de rugosidad de Manning. Dicho estudio se realizará en una tubería de PVC bajo un modelo físico ya construido que permite su estimación en función de los parámetros más importantes de la ecuación de Manning. Se realizaron los ensayos en la una tubería de 315 mm de diámetro, fabricada por la empresa Tubrica en donde se hicieron circular 8 caudales entre 6 lt/s y 27 lt/s y a su vez se calibraron 11 tipos de pendientes entre 18,7500‰ y 12,8125‰ para cada caudal. Tomando en cuenta los ensayos realizados en la investigación, se obtuvo un valor de coeficiente Manning de 0,0098 con una eficiencia del 82,16 %. Con este valor obtenido y las gráficas realizadas queda demostrado que la pendiente del canal no ocasiona una influencia en el coeficiente de Manning.
Palabras clave: coeficiente de rugosidad de Manning, ecuación de Manning, PVC.
Abstract: - The Manning roughness coefficient is an index which determines the resistance of a flow in a channel, because of this and the possibility of calculating this coefficient that this study intends to determine the influence of the slope of a channel on the Manning roughness coefficient. The study will be carried out in a PVC pipeline under an already constructed physical model that allows its estimation according to the most important parameters of the Manning equation. The tests were carried out on a 315 mm diameter pipe, manufactured by Tubrica, where 8 flows between 0.006 m3/s and 0.027 m3/s were flown and at the same time 11 types of slopes between 18.7500‰ and 12.8125‰ were calibrated for each flow. According the tests carried out in this research, a Manning coefficient value of 0.0098 was obtained with an efficiency of 82.16 %. With this value and the graphs made, it is demonstrated that the slope of the channel does not cause an influence on the Manning coefficient.
Keywords: Manning roughness coefficient, Manning equation, PVC.
1. Introducción
Por razones de proyecto, se considera primordial el poder garantizar que los materiales utilizados en obra trabajen lo más eficientemente posible, que cumplan con la norma respectiva para cada país y a su vez que se garanticen menores costos en obra. Para esto, se deben realizar una serie de ensayos con la ayuda de los avances tecnológicos en donde se estudien materiales innovadores, como lo son en la presente investigación las tuberías de PVC, las cuales brindan una serie de beneficios a nivel constructivo y logran una ventaja en obra por su rápida ejecución.
El propósito del estudio consistió en determinar si es necesario la adición de otros factores que se ven influenciados en la ecuación del coeficiente de Manning, aparte de los expuestos por Chow (2004) [1], debido a que estudios anteriores dejan como incertidumbre si la pendiente puede ser uno de estos factores que afecte al coeficiente de rugosidad de Manning.
Es un hecho que la Norma Venezolana [2] debe ser actualizada, para que de esta manera se pueda regir con valores de coeficiente de rugosidad de Manning cada vez más adaptados y actualizados a los ensayos realizados. Es por esto y por la razón planteada anteriormente que se desarrolla esta investigación la cual se encuentra constituida con la manera descrita a continuación.
2. Metodologia
2.1. Identificación de pendientes en las que se pueda ensayar la tubería
Esta fase consta de la identificación de pendientes a las que se pueda ensayar la tubería, por no poseer un sistema especializado para esto se decidió realizar en el modelo físico construido por Carrillo y Duque (2016) [3] ver Figura 1, dicho modelo se aplica al canal utilizado para la práctica de vertedero triangular del laboratorio Elías Sánchez Díaz de la Universidad de Carabobo y está constituido por: la tubería en estudio, un banco piezométrico de 20 mangueras, 7 listones de madera en el que se reposa la tubería para así regular su pendiente, una tolva que recoge todo el caudal saliente del vertedero y un pequeño gavión.

Para determinar el rango de pendientes se debe verificar la altura máxima que permite la tolva con el vertedero triangular.
2.2. Ensayos a la tubería de PVC
La segunda fase comprende el ensayo de la tubería de PVC de 315 mm de diámetro, utilizando el procedimiento descrito por Carillo y Duque (2016), en el que se recolectan los datos de alturas de agua tanto en el medidor de punta del vertedero triangular como en cada uno de los piezómetros del banco cuando circulaba agua o no en la tubería.
2.3. Determinación del coeficiente de rugosidad de Manning de la tubería de PVC
Una vez realizadas las mediciones en los ensayos, se inicia la tercera fase de la investigación, en la cual primero se calculan las variables caudal, pendiente y elementos geométricos para canal circular de cada ensayo, luego se procede a calcular los coeficientes utilizando la ecuación de Manning, en donde se utilizará la pendiente física para calcular los coeficientes teóricos y la pendiente de la línea de energía para calcular los coeficientes experimentales, y por último se procede a realizar el cálculo de los coeficientes de Manning óptimos para cada pendiente con el método del error cuadrático medio (ECM). Una vez obtenidos estos números de Manning óptimos se realizan dos promedios uno aritmético y otro ponderado, el valor obtenido será el coeficiente de rugosidad de Manning de la tubería de PVC.
2.4. Determinación de la influencia de la pendiente del canal con el coeficiente de rugosidad de Manning en tubería de PVC
Por último, la cuarta fase comprenderá la determinación de la influencia de la pendiente del canal con el coeficiente de Manning obtenido en la fase anterior. Para ello se desarrollaran las siguientes actividades:
A su vez los resultados obtenidos pueden ser verificados o comparados con la normativa legal que este rigiendo los coeficientes de rugosidad de Manning de las tuberías de las características estudiadas.
3. Resultados de la investigación
3.1. Identificación de pendientes en las que se pueda ensayar la tubería
Se realiza el montaje del modelo construido por Carrillo y Duque, para verificar cuales son los valores de pendiente que se pueden analizar en el equipo existente, tomando en cuenta que se realizarán las mayores pendientes posibles.
La variación de la pendiente experimental será medida a partir de las alturas del banco piezométrico. Para este procedimiento se instalaron las mangueras del banco piezométrico en los puntos ya existentes por la parte inferior de la tubería y se asegura que no presente pérdidas.
La variación de la pendiente física del modelo se ajustará con listones de madera de pino acoplados al tope del canal con el uso de unas barras roscadas, arandelas y tuercas, que al ser graduadas se podrá ajustar el modelo a la pendiente que se quiera estudiar. La tolva nos dará el tope de pendiente máxima y el mínimo será la menor pendiente posible a estudiar.
Una vez realizado el correcto montaje del modelo y considerando que las perforaciones no presentan variaciones ya que es la misma tubería, se utilizaran las mismas distancias entre los piezómetros presentados en la Tabla 1.

Una vez terminado el montaje del modelo físico se procedió a colocar los listones de madera apoyados lo más cerca posible del canal del vertedero rectangular para así obtener la altura mínima posible en el modelo antes mostrado.
Por otra parte, se midió la diferencia de altura entre la cresta y la boca de entrada de la tolva, en donde se obtuvo como valor de cuatro (4) cm de altura, es por esta razón que se decidió bajar a 0,25 cm en los primeros dos (2) cm tomando un total de nueve (9) pendientes y en el siguiente centímetro a cada 0.5 cm dando como resultado dos (2) pendientes más, obteniendo un total de once (11) pendientes a evaluar para ésta investigación.
3.2. Ensayos a la tubería de PVC
El ensayo de la tubería se realizó a distintas pendientes, para esto se tomó como referencia las alturas a las que se subió la tubería explicadas en la sección 3.1 y en cada una de las pendientes se procedió a circular un total de ocho (8) caudales.
Una vez colocada la tubería en la altura respectiva se procedió a tomar las lecturas en cada uno de los diecinueve (19) puntos del banco piezométrico cuando no circulaba agua en la misma.
Para que los caudales fuesen prácticamente los mismos en cada pendiente a ensayar, se decidió controlarlos con las vueltas que se le daba a la válvula. Finalmente se tomó como máximo diez (10) vueltas y a partir de ahí reducir una (1) vuelta por cada medición, teniendo como caudal menor una apertura de tres (3) vueltas de la válvula del vertedero triangular, lo cual resulta el total previamente establecido de ocho (8) caudales por pendiente en estudio.
Al abrir la válvula se esperaba un tiempo de 5 minutos para que el flujo se estabilizara y una vez estabilizado el flujo, se tomó la altura de agua en el medidor de punta y se recolectaron los datos de las alturas piezométricas medidas en el banco piezométrico. Durante las mediciones se tomó la decisión de descartar los valores de los piezómetros 1, 2, 3 y 4, debido a que se encontraban en zonas donde se presume que el flujo se encontraba en un régimen turbulento, y los piezómetros 7 y 18 se descartaron debido a que las mangueras piezométricas estaban presentando posibles fallas por la presencia de burbujas o alguna suciedad interna. Todos los datos recolectados de alturas piezométricas fueron tabulados a medida que se realizó cada ensayo.
3.3. Determinación del coeficiente de rugosidad de Manning de la tubería de PVC
Esta fase comprende todo el procedimiento de cálculo que se llevó a cabo para la posterior determinación del coeficiente de rugosidad de Manning en la tubería de PVC de 315 mm de diámetro fabricada por la empresa TUBRICA.
3.3.1. Cálculo de pendiente, caudal y elementos geométricos
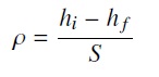
A partir de las lecturas tomadas en cada uno de los puntos del banco piezométrico cuando no circulaba agua, se procede a calcular la pendiente con la ecuación (1) utilizando el primer piezómetro (5) y el último (19) con su separación respectiva, de esta manera se obtuvo así el valor de la pendiente física de la tubería

Teniendo el valor del medidor de punta con el caudal estabilizado y las características geométricas del vertedero triangular se procede a calcular el caudal para vertederos con la ecuación (2).

Por último se calculan los elementos geométricos y las velocidades de flujo con las ecuaciones para canales circulares en cada piezómetro.




3.3.2. Cálculo del coeficiente de Manning teórico
Este cálculo se realiza por cada sección de la tubería representada por cada piezómetro, donde se utiliza las condiciones experimentales (caudal y tirante de agua) y la pendiente física del ensayo. La Tabla 2 presenta los valores de n teóricos obtenidos para la condición de caudal y pendiente dada.

3.3.3. Cálculo del coeficiente n de Manning experimental
Este cálculo se realiza por cada tramo de la tubería limitada entre dos secciones, partiendo del análisis de un flujo gradualmente variado, donde se utiliza las condiciones experimentales (caudal y tirante de agua) y la pendiente de la línea de energía del flujo del tramo. Como se trata de un flujo gradualmente variado las pendientes de la línea de energía en cada tramo varían irregularmente a lo largo de la tubería, por lo que se procede a calcular la línea de tendencia que se adapte mejor a los puntos de energía y la pendiente de esta línea de tendencia se toma como la pendiente para todos los tramos, tal como se presenta en la Figura 2.

Una vez corregido este valor obtenemos así los valores promedios contenidos en la Tabla 3.

3.3.4. Cálculo de los coeficientes de Manning óptimos
Posteriormente, se calcularon los indicadores de ajuste para cada prueba y se realizó la generación de las curvas (n, ECM) y obtención del coeficiente n de Manning óptimo. Donde se graficó, para cada condición de caudal, el error cuadrático medio ECM y el coeficiente n de Manning promedio experimental, se trazó la curva más probable y el punto cuyo ECM sea menor, se tomará como el valor del coeficiente de rugosidad de Manning óptimo de la pendiente, dicho procedimiento se puede observar en la Figura 3 para la condición de pendiente 18,75000‰.

La Tabla 4 presenta los coeficientes de Manning óptimos de cada una de las pendientes en estudio.

A través de un promedio de los valores óptimos del coeficiente n de Manning de la tubería para cada condición de caudal determinamos el coeficiente de rugosidad de Manning final: η = 0, 0098.
3.4. Análisis de los resultados obtenidos del coeficiente de rugosidad de Manning
Para determinar si la pendiente tiene una influencia directa en el coeficiente de Manning de la tubería procedemos a analizar los datos obtenidos en el objetivo anterior.
En primer lugar, debemos analizar como varían los coeficientes de Manning óptimos en las pendientes estudiadas, donde se puede observar que los valores nunca salen del rango entre 0,008 y 0,012, y no tienen una tendencia de aumentar o disminuir uniformemente. Por esto procedemos a presentar estos valores en la Figura 4, donde se decide calcular la línea de tendencia y se puede apreciar así que su pendiente es muy cercana a 0‰ y al valor determinado en los promedios del objetivo anterior.

Las Figuras 5 y 6 reflejan una serie de rectas de tendencia para todos los valores de profundidad del flujo y perímetro mojado con respecto al coeficiente de rugosidad de Manning n para cada condición de pendiente. En dichas gráficas se observa como a medida que el caudal aumenta, la profundidad del flujo y el perímetro mojado aumentan y por ende los valores del coeficiente de rugosidad de Manning también aumentan.


En ninguno de los libros consultados se observa que la pendiente del canal genere una variación en el coeficiente de Manning de la tubería, sin embargo la variación del caudal y por ende la profundidad del flujo y el perímetro mojado, si son factores que afectan al coeficiente de rugosidad de Manning, cosa que concuerda con las Figuras 5 y 6, y lo dicho por Bolinaga (2007) [4], en donde afirma que a medida que se ha ido ampliando la aplicación de la fórmula de Manning, se han incorporado un conjunto de factores que afectan el valor de n, como los mencionados por Chow (2004) que incluyen al caudal y otros factores; sin embargo dicho factor puede variar con la profundidad del flujo.
A modo de ejemplo y corroborando lo dicho anteriormente, se puede observar como en la Figura 5 para un valor de profundidad de flujo (h) de 0,05 metros, se nota como para la línea de tendencia de la pendiente 18,7500‰ (color lima) el valor de coeficiente de Manning es de 0,0103, en la pendiente 17,1875‰ (color rojo) el valor de coeficiente de Manning aumenta a 0,0111, y en la pendiente 16,8750‰ (color morado) el valor de coeficiente de Manning disminuye a 0,009.
4. Conclusiones
Realizado el montaje del modelo físico de Duque y Carrillo (2016) y una vez ensayada la tubería de PVC de 315 mm de diámetro de la empresa Tubrica bajo las condiciones de pendiente y caudal definidas se presentan las siguientes conclusiones:
En función de todos los datos recolectados y del procedimiento de cálculo descrito, se determinaron los coeficientes de rugosidad de Manning óptimos de la tubería y se obtuvo un coeficiente de rugosidad de Manning n promedio de 0,0098 para la tubería de PVC ensayada, calculado con una eficiencia del 82,16 %. De todos los ensayos realizados se puede definir que el rango de variación de los coeficientes va desde 0,00853 hasta 0,01361.
El número de Manning varia en relación al perímetro mojado y por ende a la profundidad del flujo, sin embargo, al determinar el valor del coeficiente de rugosidad de Manning bajo el patrón del error cuadrático medio para un determinado número de ensayos, se toma el valor de aquel que cometa, en promedio, el menor error en la estimación ya sea por defecto o por exceso. Con lo dicho anteriormente, y con los valores de coeficientes obtenidos para cada pendiente, se obtiene un valor con tendencia a una constante.
El presente estudio realizado para pendientes entre 18,7500‰ y 12,8125‰, pudo demostrar que la pendiente no es una variable que afecte al coeficiente de rugosidad de Manning de la tubería.
Reconocimiento
Este artículo fue seleccionado por la Escuela de Ingeniería Civil de la Facultad de Ingeniería de la Universidad de Carabobo, como uno de los mejores Trabajos Especiales de Grado del año 2017.
5. Referencias
[1] Ven Te Chow. Hidráulica de canales abiertos. McGraw-Hill, Colombia, 2004.
[2] República de Venezuela. Normas generales para el proyecto de alcantarillados. Gaceta Oficial de la República de Venezuela, 5.318 Extraordinario, 1999.
[3] Luis A. Carrillo G. and Sandra C. Duque L. Evaluación del coeficiente de rugosidad de Manning en tubería de PVC para drenaje urbano de 315mm de diámetro, fabricada por la empresa Tubrica. Trabajo Especial de Grado, Departamento de Ingeniería Ambiental, Escuela de Ingeniería Civil, Facultad De Ingeniería, Universidad de Carabobo, Venezuela, 2016.
[4] J. J. Bolinaga. Mecánica Elemental de los Fluidos. Universidad Católica Andrés Bello, Caracas, 2007.
Notas de autor
maryelvi@gmail.com
Enlace alternativo
http://servicio.bc.uc.edu.ve/ingenieria/revista/v25n1/art05.pdf (pdf)