Estado del arte
Estado del arte: Quitosano, un biomaterial versátil. Estado del Arte desde su obtención a sus múltiples aplicaciones
Review: Chitosan, a versatil biomaterial. State of the art from its obtaining to its multiple applications
Estado del arte: Quitosano, un biomaterial versátil. Estado del Arte desde su obtención a sus múltiples aplicaciones
Revista INGENIERÍA UC, vol. 27, núm. 2, pp. 118-135, 2020
Universidad de Carabobo
Recepción: 26 Mayo 2020
Aprobación: 23 Julio 2020
Resumen: Desde hace décadas, la ciencia estudia una potencial macromolécula lineal de polisacárido conocido como Quitosano, compuesto por unidades moleculares de β-(1→ 4) D-glucosamina y N-acetil-D-glucosamina. Es bien conocido el detalle de su obtención a partir de la Quitina, compuesto que resulta ser el segundo biopolímero más abundante en la naturaleza luego de la celulosa. El Quitosano es de gran interés para la ciencia, debido a su alta solubilidad en agua y facilidad para derivatizarse, dada la presencia de numerosos grupos funcionales aminos e hidroxilos en su estructura polimérica, lo cual permite diversas modificaciones sobre su estructura que dan paso a incursionar en múltiples aplicaciones, incluso poco exploradas. Diversos campos de investigación como la biomedicina, farmacosmética, agricultura, industria y alimentos se mantienen activos en la generación de conocimientos basados en sus derivados y las múltiples aplicaciones que ofrecen.
Palabras clave: quitosano, quitina, polisacárido, derivados, aplicaciones.
Abstract: For decades, science studies a linear potential polysaccharide macromolecule known as Chitosan composed of β-(1→4) D-glucosamine and N-acetyl- D-glucosamine. It´s well known the origin from Chitin, which turns out to be the second most abundant biopolymer in nature after cellulose. Chitosan is of great interest for science due its high solubility in water and ease to derivatization because numerous amines and hidroxil functional groups are present in the polymeric structure, which allows several modifications on its structure that give way to dabble in multiple applications, even little explored. Many fields of science such as biomedical, pharma&cosmetic, agricultural, industry and foods, remain active in generating knowledges based on its derivatives and its multiple applications.
Keywords: chitosan, chitin, polysaccharide, derivatives, applications.
1. Introducción
Uno de los más grandes intereses de la ciencia actual, se centra en la búsqueda de biomateriales que permitan liberar los mercados del uso de moléculas derivadas de fuentes petroquímicas, promotoras de compuestos orgánicos volátiles (C.O.V) u otros químicos con alta toxicidad residual. Sustancias como la epiclorhidrina, toluen-di-isocianato (TDI), formaldehído, etc., afectan en gran magnitud tanto a la salud como al medioambiente. Al contrario, la molécula de Quitina representa una fuente natural, libre de toxicidad, con alta actividad química y biológica.
La Quitina, es el segundo biopolímero más abundante en la naturaleza y su aparición inició con el químico francés Henri Braconott en 1811 quien extrajo una sustancia del hongo Agaricus volvaceus, insoluble en medio alcalino, a la que llamó “Fungina”. Odler en 1823, descubrió una sustancia similar en la cutícula de un insecto (escarabajo) a la cual nombró por primera vez como Quitina del griego “ χιτών”que significa “Chiton” o “envoltura”. Stadler más tarde, en 1859 la describió como un carbohidrato y Ledderhose 1876 como una glucosamina [1]. Gracias a los trabajos de Fräenkel & Kelly en 1901 [2], se identificó que la Quitina estaba constituida por unidades monoméricas de glucosamina acetilada enlazadas. Seguidamente, estos autores propusieron por primera vez que la Quitina se trataba de un polisacárido lineal.
Una segunda era en la investigación, se centró en su estructura con Berlese en 1909 [1], y la tercera era, con Morgulis et al (1916) [3], quienes debatieron sobre la complejidad de la molécula y su contenido de nitrógeno; para luego proponer una estructura química que finalmente fue confirmada y aceptada con el trabajo realizado por Meyer & Pankow 1935 [4]. Estos últimos autores, emplearon la técnica de difracción RX, para elucidar la molécula que luego denominaron α-Quitina. En 1950, Lotmar y Picken, compararon este estudio con el isómero β-Quitina empleando la misma técnica [5].
La Quitina es físicamente un compuesto blanco, duro e inelástico, y es un componente estructural de los exoesqueletos de artrópodos como cangrejos, camarones, langostas y moluscos (calamares, ostras, sepias, cefalópodos). También es extraído de las paredes celulares de los hongos, así como se encuentra en la matriz extracelular de una variedad de invertebrados incluidos insectos, poríferas (esponjas) [6], platelmintos y nemátodos, acompañada principalmente de carbonato de calcio y proteínas en la mayoría de estos organismos [1].
Siendo la Celulosa el polímero más abundante en la naturaleza, resulta químicamente interesante la similitud estructural con la Quitina, cuya diferencia radica básicamente en los grupos acetamidos presentes en el carbono C2 y que reemplazan grupos -OH en la molécula de Celulosa [7, 8], como puede observarse en la Figura 1.
![Estructuras Químicas [7]](../70764230002_gf2.png)
Dado que las fibras de la Quitina se asocian unas a otras, la molécula adopta tres posibles organizaciones cristalinas que se muestran en la Figura 2.
![Estructuras Cristalinas de la Quitina [1]](../70764230002_gf3.png)
a) Ordenamiento antiparalelo (α): presente en la mayor cantidad de artrópodos, siendo la más abundante, estable, altamente cristalina (80 %) y presenta los más fuertes enlaces intermoleculares. Se encuentra en superficies duras o rígidas [4, 7, 9, 10].
b) Ordenamiento paralelo (β): encontrado mayoritariamente en calamares, gusanos gigantes e insectos.
Resulta más reactiva, semicristalina, más soluble y con débiles fuerzas intermoleculares; además puede hincharse y convertirse en la forma α por ser metaestable y es capaz de biosintetizarse en condiciones específicas [5, 7, 11, 12].
c) Ordenamiento asimétrico (γ): es el menos común, y además se ha asociado como una distorsión de las organizaciones α y β [13]; aunque también se ha reportado su presencia en capullos de insectos (escarabajos) y en paredes celulares de hongos [1, 7, 14].
Las dos estructuras alomórficas β y γ, se consideran flexibles y más hidratadas que la α-Quitina.
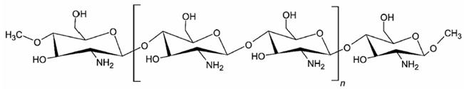
El Quitosano es obtenido a partir de una reacción en medio básico de la Quitina, conocida como N-Deacetilación. La molécula resultante es producto de la conversión de más del 60 % de los grupos amidos presentes en la Quitina, por lo que se incrementan los grupos aminos ( – NH2). Su estructura, ilustrada en la Figura 3, cuyo nombre químico es poli [β–(1–4)–2–amino–2–desoxi–D–glucopiranosa], puede contener entre 6-9 % de nitrógeno y variados pesos moleculares promedios, purezas y propiedades fisicoquímicas como color, solubilidad, viscosidad, reactividad y cristalinidad. Por tal motivo, es de gran importancia el proceso experimental para deacetilar la Quitina, ya que ello define las aplicaciones finales y el mecanismo de acción de su derivado [15].
![Estructura química de la molécula de Quitosano [16]](../70764230002_gf4.png)
El Quitosano resulta un polisacárido catiónico lineal de la familia aminoglucopirano, y de igual forma que la Quitina, es biorenovable, biocompatible, biodegradable, no tóxico, no irritante y además mantiene las mismas estructuras cristalinas α, β, γ [1]. Estas dos moléculas no son únicas, ya que pueden variar en sus valores de masa molecular y grados de deacetilación promedio o grupos aminos libres, lo cual determina su calidad y el uso de estos polímeros.
El Quitosano es un copolímero insoluble a pH neutro y básico debido a sus enlaces intra e intermoleculares formados por puentes de hidrógeno. Su forma cristalina y grupos amino protonables ( – NH3+), permiten que sea soluble en soluciones acuosas ácidas, ya que se incrementa la polaridad y las repulsiones electrostáticas, lo que facilita la formación de asociaciones interpoliméricas [17].
La composición del Quitosano está distribuida de forma aleatoria entre unidades moleculares de β-(1→4) D-glucosamina y N-acetil- D-glucosamina [1]. Este compuesto demuestra mayor versatilidad que la celulosa para reacciones químicas, debido a las posibles sustituciones en los sitios activos aminos ubicados en la posición C2, y a varios grupos hidroxilos también disponibles.
Se han hecho muchos esfuerzos científicos por mejorar su solubilidad en solventes orgánicos convencionales [8, 18], además de explorar sus propiedades funcionales y potenciarlas a través de la preparación de derivados, aplicando reacciones químicas de sustitución, elongación de cadenas o despolimerizaciones (químicas, físicas o enzimáticas) [19].
Los derivados del Quitosano están siendo reportados constantemente en la literatura científica, enriqueciendo y multiplicando las aplicaciones potenciales. Diversas industrias buscan innovar a través del uso de materiales ecológicos y potentes activos químicos como este biopelímero que es posible funcionalizarlo desde muy bajas concentraciones.
Algunas aplicaciones para estos derivados, incluyen: la preservación de alimentos, biotecnología, suplementos dietéticos, antihongos y antibacteriales; fabricación de cosméticos, antioxidantes, fabricación de películas para empaques, nanofibras para la industria textil.
La biomedicina ha desarrollado la dosificación controlada de medicamentos, antitumorales, suturante de heridas, etc [20, 21, 22].
En la agricultura son útiles como recubrimiento de semillas, alimentos para animales, agentes floculantes, entre otras [23, 24, 25].
La industria papelera los emplea como bioadhesivos, aditivos en la fabricación del papel, etc [26, 27, 28]
Otras especialidades han desarrollado su uso como nanoparticulas poliméricas, nanocompuestos, microesferas, hidrogeles, biosensores y muchas más [29, 30, 31, 32, 33, 34].
Este trabajo representa una revisión actualizada del estado del arte de relevantes trabajos de investigación sobre la molécula del Quitosano, considerando los métodos de extracción, así como su caracterización molecular empleando diversas técnicas. Adicionalmente se menciona la preparación de los derivados más comunes, y un resumen de sus aplicaciones científicas e industriales dentro del amplio espectro de conocimientos que continuamente son generados y compartidos en la literatura.
2. Proceso de obtención del Quitosano
2.1. Extracción de Quitina
La producción global de Quitina como el primer biopolímero más abundante en el ecosistema marino, se ha estimado recientemente en 200 billones de toneladas métricas anuales [35].
La fuente de Quitina más conocida, deriva del procesamiento de desechos de cutículas de los exoesqueletos de artrópodos invertebrados, como son los caparazones, tendones y capullos de los crustáceos (camarones y cangrejos principalmente, además de langostas). En ellos se encuentra una red compleja de Quitina (15-40) % (principalmente α-Quitina), unida a proteínas (20-40) %, y sobre la cual se esparce carbonato de calcio (20-60) % para rigidizar las estructuras.
Adicionalmente están presentes los lípidos remanentes de músculos, así como pigmentos tipo carotenoides, y otras sales metálicas como componentes minoritarios.
En cuanto a β y γ-Quitina, la composición de carbonatos se reduce a <5 % y <0,2 % respectivamente [7], mientras que la cantidad de proteínas resulta más elevada con respecto a la molécula α-Quitina. La Tabla 1 muestra un resumen comparativo, en la cual se describen detalladamente los contenidos de minerales y proteínas de acuerdo a la biomasa.
Otras fuentes de extracción de Quitina que también han sido exploradas desde hace muchos años, incluyen: insectos [14, 36], moluscos (calamares) [37, 38], algas coralinas y verdes [39], capullos de anélidos (gusanos), levaduras y varios tipos de micelias (hongos) [40, 41], y más recientemente, se encuentran las esponjas marinas [6], resultando opciones con procesos de extracción más ecológicos, pero con la desventaja principal de ofrecer bajos rendimientos.
Dado el gran interés actual por emplear este material en diversos campos de la ciencia, la literatura de la última década reporta como se han estado explorando más fuentes de Quitina, no estacionales (como es el caso de los crustáceos), a través de corales negros, lofóforos [36], nuevas especies de arácnidos [42] y grillos [43].
Más recientemente, han sido reportados trabajos sobre prácticas modernas para el tratamiento de los desechos de mariscos y moluscos: cabezas, colas, conchas, esqueletos, piel, escamas, etc. Estos productos generarían enormes cantidades de Quitina, gelatinas, ácidos grasos, proteínas, minerales, colágenos y seguramente otras moléculas no explotadas. La desventaja radica en que aún no se cuenta con metodologías que estandaricen las extracciones de estos desechos a niveles industrial [16]. La disposición actual de estos desechos es la incineración, rellenos sanitarios, devolver al mar o esperar descomposición natural. Procedimientos inadecuados, generan implicaciones negativas al medioambiente, ecosistemas y salud del ser humano, de allí que exista el interés de continuar investigando al respecto [16, 44, 45]. De hecho, ya existe interés por explotar estos desechos como futuros biocombustibles [35].
La etapa de extracción de la Quitina representa la más crucial, debido a que los parámetros y condiciones del método aplicado regulan las características principales de la Quitina pura, tales como: su peso molecular, grado de N-acetilación, pureza, índice de polidispersidad, viscosidad, color, etc., las cuales influencian directamente en los campos de aplicación final. Varios procesos son descritos en la literatura para extraer Quitina, y todos se basan en la desproteinización y desmineralización de la biomasa que la contiene.
Dos ramas de la ciencia están involucradas: La Biotecnología y los Procesos Químicos. Ambos descritos detalladamente en la Figura 4.
![Procesos de extracción de Quitina [23]](../70764230002_gf5.png)
2.1.1. Proceso biológico (Biotecnología)
Referido a una opción ecológica “verde” que está ganando atención por la aplicación de enzimas y microorganismos para recuperar Quitina a partir de desechos de artrópodos. Este proceso ofrece una manipulación simple y de muy alta reproducibilidad, pero se encuentra aún poco explorada por lo que su aplicación industrial aún no brinda sus primeros frutos.
Las dos etapas más comunes, que describen este proceso Biotecnológico son:
a) Desproteinización enzimática: se emplean enzimas proteolíticas crudas o purificadas, como la proteasa, derivada de plantas, animales y bacterias, (estas últimas las más comunes). Este método resulta de menor eficiencia que el proceso químico, es costoso y un 5-10 % de las proteínas queda remanente en la Quitina extraída, por lo que requiere en ocasiones combinar con un tratamiento químico con NaOH para incrementar la pureza.
La fracción líquida obtenida contiene proteínas, minerales y carotenos, que luego puede emplearse en la preparación de suplementos alimenticios y en fórmulas de comidas para animales [16, 46].
b) Desmineralización por Fermentación: es la etapa complementaria; resulta más sencilla y de menor costo, y emplea cepas microbiológicas seleccionadas por fermentación (con y sin ácido láctico), para que ocurra la desmineralización del carbonato de calcio presente en la biomasa [47, 48].
2.1.2. Proceso químico
Es conocido como el proceso más tradicional e industrializado para extraer la Quitina, principalmente de la biomasa derivada de crustáceos. Consiste en tres etapas:
a) Desproteinización: Es la etapa más crítica del proceso, donde se emplea NaOH en un rango de concentración (0,125 - 2,5)M, temperaturas variables hasta alcanzar los 100 ºC y el tiempo de tratamiento varía de pocos minutos hasta alcanzar 2 a 3 días, dependiendo de la fuente específica de la biomasa.
El objetivo de esta etapa es romper los enlaces químicos existentes entre las proteínas y la Quitina, pero de acuerdo a las condiciones específicas del proceso, podrían permanecer proteínas remanentes, lo cual afectaría su calidad y limitaría sus aplicaciones (principalmente biomédicas). Adicionalmente puede ocurrir una deacetilación parcial de la Quitina, así como una hidrólisis que reduciría finalmente su peso molecular [7, 49].
Algunos autores han recomendado realizar este procedimiento más de una vez, pero empleando concentraciones bajas de NaOH, con la finalidad de proteger la estructura nativa de la Quitina, además del rendimiento y el grado de N-acetilación [50]. Por otro lado, se han realizado estudios con otros reactivos básicos como Na2CO3, NaHCO3, KOH, K2CO3, Ca(OH)2, Na3PO4, Na2SO3, Ca(HSO3)2, Na2S, etc., pero el más efectivo ha resultado ser el NaOH [49].
b) Desmineralización: consiste en la remoción de minerales, principalmente carbonato de calcio, a través de un tratamiento ácido. Es posible emplear ácidos orgánicos e inorgánicos como: HCl, HNO3, H2SO4, CH3COOH, entre otros. El HCl es el más común, y es diluido a concentraciones variables entre 0,275 M a 2 M. La reacción se completa en máximo 48 horas, dependiendo de la biomasa, y requiere de una temperatura no mayor a 100 ºC [51].
El proceso ocurre de forma rápida y se genera la transformación del carbonato de calcio en sales solubles y gas CO2 como se demuestra en la ecuación (1), el cual genera una espuma que a nivel industrial requiere ser tratada con antiespumantes siliconados [51].
(1)Debido a esta generación de espuma, es que se realiza comúnmente el proceso de desproteinización seguido de la desmineralización. Otros autores también han recomendado realizar los procesos en orden invertido, incluyendo el antiespumante, con el fin de garantizar el colapso de la espuma desde el inicio, ya que consideran que de esta forma, las siliconas añadidas resultan ser más efectivas. Bajo este procedimiento, se generaría una Quitina de mayor calidad y más alto rendimiento[52].
c) Decoloración y Post-tratamiento: En esta última etapa, la Quitina extraída es blanqueada a través de un tratamiento donde se emplea una solución al 15 % v/v de NaClO/HCl en una relación sólido/solvente de 1:10 (p/v) a temperatura ambiente por 15 min. Posteriormente se lava con agua destilada y se seca a 80 ºC por 12 horas para extraer los pigmentos carotenoides [53]. También puede realizarse un tratamiento oxidativo suave empleando H2O2 o KMnO4, o realizar extracciones con solventes como: acetona, etanol y/o cloroformo. Al finalizar esta etapa, pudiera ser necesario aplicar un post-tratamiento como: neutralización, secado y/o molienda [39].
Estudios comparativos entre los procesos biológicos y químicos han sido reportados por algunos autores, concluyendo que un método mixto incrementa la calidad y el rendimiento. Adicionalmente, se eleva el grado de acetilación de la Quitina, se reduce al mínimo el contenido de proteínas y resulta una alternativa de menor costo y eco-amigable con respecto al proceso químico practicado actualmente con fines comerciales [54, 55].
2.1.3. Procesos “Green”: las nuevas tendencias
Recientes investigaciones apuntan a técnicas más especializadas, que involucran el uso de equipos de alta tecnología que permitirían reducir los tiempos de extracción, aumentar la eficiencia, seguridad del proceso, rendimientos de la reacción, y además, ser más ecológicas, dada la reducción de uso de solventes ácidos y alcalinos.
Algunas de estas técnicas se encuentran detalladas en la literatura actual y se basan en extracciones asistidas: vía irradiación microondas, aplicación de campo eléctrico pulsado, ultrasonido, alta presión, fluidos supercríticos, filtración por membranas, etc., con las cuales se experimenta la recuperación de los desechos procedentes de la industrialización de la comida de productos del mar [45, 56].
2.2. Derivatización de Quitina a Quitosano.
A partir de la Quitina extraída, se obtiene su principal derivado (Quitosano), el cual es un polisacárido compuesto por unidades deacetiladas y acetiladas de N-glucosamina unidas por enlaces β-1,4 a grupos glicosídicos.
La derivatización se realiza como una conversión parcial de grupos acetamidos que producen iones acetato y grupos aminos con un pKa~6.3, lo que implica que a bajos valores de pH, pueden protonarse y ganar una densidad de carga positiva.
El Quitosano resultante posee una mayor reactividad, menor cristalinidad y solubilidad en medio ácido a pH<6, entre otras propiedades. El grado de deacetilación (DA) es una relación entre las unidades de glucosamina y N-acetil glucosamina presentes, e influencia directamente sobre las propiedades tanto físicoquímicas (fuerza a la rotura, solubilidad, área superficial, viscosidad, porosidad, conductividad y flexibilidad), como biológicas: (biodegradabilidad, biocompatibilidad, adsorción, antioxidante, etc.), las cuales se ven influenciadas por las condiciones en las que ocurre el proceso de transformación [16].
La Quitina es modificada bajo el proceso de N-deacetilación, que ocurre cuando la molécula es sometida a una reacción de hidrólisis en medio fuertemente alcalino empleando soluciones acuosas de NaOH o KOH entre 30-50 % p/v. La Figura 5 describe las condiciones específicas del proceso industrial más común para modificar la molécula de la Quitina, con el cual se obtendría el rendimiento más alto posible del Quitosano.
![Proceso de transformación de la Quitina a Quitosano [16]](../70764230002_gf8.png)
El proceso químico se lleva a cabo como una reacción de sustitución nucleofílica de dos pasos: El primer paso de este mecanismo, consiste en la adición nucleofílica de un grupo hidroxilo sobre un grupo carbonilo de la función amido, desarrollándose cargas iónicas, las cuales se ven favorecidas por el alto valor de la constante dieléctrica del solvente. De allí que se prefiera el NaOH (80,1 en agua) vs KOH (25,3 en EtOH, y 41,4 en etilenglicol) [50].
En el segundo paso, se forma una amina cuando se desprende el ácido acético formado y se estabiliza la molécula.
La Figura 6 muestra el mecanismo químico a través del cual ocurren las rupturas y formación de enlaces químicos covalentes que generan el cambio de funcionalidad de la molécula de Quitina.
![Proceso de N-Deacetilación – Reacción de sustitución nucleofílica de 2 pasos [39]](../70764230002_gf9.png)
El proceso de N-Deacetilación de la Quitina tiene su origen en dos procedimientos tradicionales que han sido considerados como guías dentro de la literatura y se basan en los experimentos diseñados por Broussignac y Kurita, que además han sido comparados en estudios de procesos de deacetilación específica sobre α y β- Quitina [50].
A nivel industrial, se conocen dos metodologías que pueden ser aplicadas sobre la Quitina sólida con un grado de acetilación entre 45-50 %.
a) Método Homogéneo: se lleva a cabo en dos pasos y a baja temperatura. En el primer paso la Quitina se solubiliza en una solución al 10 % p/v de NaOH por 70 horas (pre-hinchamiento) a temperatura ambiente (paso 1); y seguidamente se deja en contacto con álcali a una concentración mayor al 13% p/v por un período de 12 a 24 horas y en un rango de temperatura entre 25 a 40 °C (paso 2).
b) Método heterogéneo: ocurre en un solo paso, partiendo de Quitina sólida. La concentración de álcali es más elevada (40-50 % p/v) al igual que las temperaturas de reacción (100-160 °C). Bajo estas condiciones, se modifican principalmente las zonas amorfas de la estructura, de allí que el proceso resulte llamado “heterogéneo” [39].
La variación del tiempo de reacción, temperatura exacta del proceso y la calidad del tratamiento aplicado, son cruciales para garantizar el rendimiento, pureza, propiedades físico-químicas y mecánicas, peso molecular, grado de deacetilación (DA) deseado e incluso el color del Quitosano final obtenido [7]. En algunos casos, la reacción de deacetilación se lleva a cabo en presencia de Tiofenol o NaBH4 como agentes reductores, o bajo atmósfera de nitrógeno para evitar una degradación de la cadena del biopolímero [50].
El Quitosano resultante es insoluble en solventes orgánicos y agua, sin embargo, resulta soluble en soluciones ácidas, dada la presencia de los grupos aminos protonables. Los ácidos comúnmente empleados son orgánicos, como: fórmico, acético, láctico, pirúvico y oxálico, mientras que los ácidos minerales recomendados son únicamente HCl y HNO3[7].
El método heterogéneo ha resultado ser el más idóneo para realizar esta transformación en escala industrial [16]. Ambas opciones, se describen en la Figura 7.

c) Métodos mixtos: Combinaciones del método químico con otras fuentes de irradiación como microondas, han sido recientemente publicados, y sus resultados han sido comparados con el uso de autoclave, demostrando que se puede obtener mayor cristalinidad, viscosidad, alto peso molecular y grado de deacetilación (DA) usando calentamiento microondas, con el cual además se reduce un proceso de horas a pocos minutos [57].
Mientras que combinando con irradiación ultrasonido de alta intensidad, se logró incrementar el rendimiento, propiedades mecánicas y grado de deacetilación desde 77,9 % a 95 % DA, sólo modificando el tiempo de exposición desde ciclos con períodos intermitentes de 30 min a exposición continua por 50 min. Sin embargo, se observó severa despolimerización y cambios en la estructura cristalina de Quitosano, por lo que se requiere de más estudios para su completo entendimiento y modulación empleando esta técnica [58, 59]
En algunos casos, se realiza la despolimerización controlada del Quitosano para generar moléculas de menor peso molecular las cuales tienen mejor solubilidad en agua y son requeridas por la biomedicina y agricultura dadas sus actividades antimicrobiales principalmente. Este proceso se realiza bajo método enzimático empleando la enzima quitinasa, la cual es capaz de hidrolizar la Quitina generando los llamados quito-oligosacáridos. El empleo de otras enzimas, pueden incluso modificar la actividad antimicrobiana del Quitosano, por ejemplo, se ha demostrado que al emplear la enzima chitinase, el Quitosano despolimerizado inhibe fuertemente bacterias Gram negativas, mientras que al usar enzimas lysozime, su acción cambia hacia bacterias Gram positivas [60].
También se ha reportado que la despolimerización puede ocurrir bajo procesos químicos y físicos (incluso asistidos por ultrasonido) [60, 61, 23, 62].
Otro hallazgo interesante resulta la extracción directa de Quitosano mediante procesos de fermentación en estado sólido o líquido empleando especies de hongos como L.edodes, de la cual se obtienen grados de deacetilación entre 70-90 % DA con pesos moleculares de 1 a 2 × 105 DA.
El Quitosano extraído de hongos, tiene la ventaja de ser muy homogéneo en tamaño de partícula, y tener un efecto antibacterial. Esta última propiedad, ha sido aprovechada en procedimientos de limpieza de aguas, producción textil y fabricación de cerveza. Además, en el campo de la biomedicina, se emplea para el tratamiento de heridas.
Recientemente, el quitosano extraído de la especie Arpegillus niger, ha sido aprobado en Europa como un aditivo para la conservación de alimentos [23].
La Quitina resulta ser el componente principal de la pared celular de los hongos, y forma un complejo con la molécula β-Glucan a través de puentes de hidrógeno. El proceso de transformación a Quitosano, resulta mucho más simple porque no requiere tratamientos agresivos para la remoción de minerales. Por otro lado, el hongo como materia prima para obtener Quitosano, ofrece la ventaja de no ser un producto estacional sino muy abundante en diferentes regiones [40, 24].
De los procesos industriales actuales, se deriva el valor comercial del Quitosano, el cual depende de la fuente (biomasa), pureza, grado de deacetilación (DA), peso molecular y viscosidad intrínseca, entre otras características, las cuales establecen su valor en el mercado. La Tabla 2 muestra datos reales y actualizados sobre las características y el valor comercial del Quitosano α, β,γ, de alta pureza:

3. Caracterización molecular del Quitosano
El Quitosano puede ser caracterizado por numerosas técnicas y métodos analíticos que definen sus propiedades, características fisicoquímicas y morfológicas. Bajo estos métodos, numerosos autores han validado su estructura molecular, distanciamiento entre las cadenas poliméricas, organización de sus fibras y su cristalinidad (polimorfismo), así como han identificado su red de puentes de hidrógeno y demás grupos funcionales.
Los estudios desarrollados previamente, permitieron revelar como ocurre el hinchamiento en medio acuoso, los cambios de solubilidad y reactividad del Quitosano [49].
Por otro lado, se ha reportado que es posible obtener diferentes resultados experimentales empleando metodologías basadas en distintos principios, por lo tanto, a modo comparativo, siempre se considerará el método de caracterización aplicado [63].
En 1978 Hepburn y Chandler, definieron la Quitina como una molécula viscoelástica, con rigidez, resistencia y extensibilidad que varía de acuerdo a cada estructura isomórfica α, β, γ [64]. Debido a ello, ganó interés el estudio de las propiedades mecánicas de su derivado Quitosano, las cuales hoy en día se destacan en diversos campos de aplicación.
El grado de deacetilación (DA) y el peso molecular, son las características más críticas en la definición de la funcionalidad del Quitosano. Dependen en gran medida de la cantidad de residuos poliméricos presentes, luego de la reacción de deacetilación. En particular, el peso molecular tiene una influencia directa en la viscosidad intrínseca del producto en medio acuoso.
La pureza, se relacionada con el contenido de cenizas. La ausencia de bacterias, grado de polimerización, contenido de metales pesados, humedad, cristalinidad y polidispersidad, son otras características claves para definir interacciones con sistemas biológicos. Todas estas deben reportarse cuando el Quitosano se destina hacia aplicaciones de consumo humano, biomedicina, biofarmacéutica y agricultura, principalmente. Para aplicaciones industriales varias de estas características son reportadas sólo a petición del consumidor directo [63].
Las técnicas comúnmente aplicadas para realizar análisis fisicoquímicos del Quitosano y sus derivados, son: Difracción RX, Microscopía Electrónica de Barrido (MEB o SEM), Espectroscopía Infrarroja (FTIR) y Espectroscopía UV-Visible, Cristalografía, Titulación Potenciométrica, Gravimetría, Análisis Termo Gravimétrico (DTG o TGA), Calorimetría de Barrido Diferencial (DSC), Color bajo escala CIELAB, Polarimetría [5, 6, 7, 8, 11, 65, 66, 67, 68].
Más recientemente, otras técnicas más avanzadas, consideran en profundidad el análisis estructural de la molécula de Quitosano, más allá de los fisicoquímicos. Dada la influencia que tiene el proceso de deacetilación parcial o completo del Quitosano, y la presencia de agregados o residuos de grupos acetilos no dispersos completamente en solución acuosa, los resultados reportados varían al aplicar diferentes técnicas. Por esta razón, se recurre a la deacetilación completa de la molécula para aumentar la precisión de los estudios conformacionales [69]. Algunas de las más estudiadas son: Resonancia Magnética Nuclear (RMN), Cromatografía por Permeación de Gel (GPC) [67], Ecuación de Mark-Houwink (relaciona la viscosidad intrínseca con el peso molecular) [70].
Además, la Cromatografía de Exclusión por Tamaños con Detección Múltiple (SEC-MALS), empleada para el análisis conformacional del Quitosano en solución acuosa [67, 69, 71]. Por otro lado, el Modelaje Molecular, establece las características confromacionales entre los enlaces moleculares a través de cálculos y algoritmos [67, 72, 81].
La técnica de Microscopía de Fuerza Atómica (AFM), evidencia cambios morfológicos, y el Aparato de Fuerza Superficial (SFA), es empleado para evaluar interacciones cohesivas en películas conformadas por Quitosano [73, 74, 75].
Para generar despolimerizaciones forzadas del Quitosano y estudiar los efectos en pesos moleculares vs propiedades, se han empleado últimamente la Irradiación Electrónica e-beam (EBI) [76], Gamma [77], Microondas [78], UV [79, 80]. Todas estas técnicas modernas soportan y amplían la caracterización molecular avanzada de la molécula del Quitosano.
3.1. Características estructurales y físico-químicas
A continuación, un resumen de las principales características que pueden ser determinadas bajo diferentes técnicas analíticas básicas y avanzadas que definen la funcionalidad y el análisis estructural de la molécula del Quitosano [5, 6, 7, 8, 11, 65, 66, 67, 70, 72, 81, 73, 74, 76, 77, 78, 79, 80, 75, 71]:
a) Grado de Deacetilación (DA):
Espectroscopía Infrarroja.
Espectrofotometría UV – Primera derivada
Resonancia Magnética Nuclear 1HRMN y 13CRMN
Titulación Conductimétrica
Titulación Potenciométrica
Calorimetría Diferencial de Barrido (DSC)
b) Distribución de Peso Molecular Mw y/o Peso Molecular Promedio
Viscosimetría
Cromatografía de Permeación de Gel (GPC) Ecuación Mark – Houwink
Cromatografía SEC – MALS
c) Cristalinidad
Difracción de Rayos X
d) Contenido de Humedad
Análisis gravimétrico
e) Contenido de Cenizas
Análisis gravimétrico
f) Caracterización conformacional
Modelaje molecular
g) Cambios morfológicos
AFM
h) Interacciones Cohesivas
SFA
i) Despolimerización
Irradiación Electrónica e-beam, gamma, microondas, UV
4. Derivatización del Quitosano
Numerosas modificaciones pueden ser realizadas hoy en día sobre la molécula del Quitosano para diversificar sus aplicaciones finales, este proceso, conocido como Derivatización, se lleva a cabo por reacciones de sustitución química, elongación de cadenas o despolimerizaciones [19, 35]. Un resumen de estas reacciones químicas se describe en la Figura 8.
Una gran cantidad de trabajos de investigación han sido publicados en la reciente década, reportando reacciones de injerto (grafting): catiónicas, enzimáticas, vía radicales libres o asistidas por radiación. Además, reacciones de copolimerización a través de monómeros, sobre el Quitosano [82, 20, 17], o sobre la Quitina en polvo [83].
También se resaltan reacciones de modificación de grupos funcionales, que incluyen procesos como la formación de derivados aniónicos y anfotéricos del Quitosano N,O- sustituidos bajo carboximetilación [17].
![Reacciones de derivatización típicas sobre la molécula de Quitosano [17]](../70764230002_gf11.png)
Otros procesos se conocen como: crosslinking o entrecruzamiento químico [80, 82], tiolación, sulfatación (N,O- mono y di-sustituidos), amino-alquilación o metilación y N-acilación. La cuaternización, produce betaínas-quitosanos, a partir de glicina betaína. La oxidación ocurre como N,O- hidroxialquilación (con etil, propil y glicol como los grupos más comunes). Por otro lado, reacciones de hidroxiarilación originan aductos entre el Quitosano y el fenol, bajo una reacción oxidativa enzimática [7, 20, 29, 84, 85, 17].
Además, otras reacciones de mucha importancia son las despolimerizaciones, las cuales ocurren vía hidrólisis, y generan una nueva clase de compuestos derivados denominados Oligosacáridos tipo D-Glucosaminas [8, 60, 61, 23, 29, 25, 62].
Las reacciones de Despolimerización ocurren bajo diversos mecanismos:
a) Físicos: cuando son asistidas por irradiación ultrasonido o microondas.
b) Químicos: vía ácida o radicales libres.
c) Enzimáticos: empleando chitinasa, lipasa, o proteasa.
Recientemente son reportados con mucho interés las relevantes funcionalizaciones iminas, conocidas como quitosanos-bases de Schiff que se emplean ampliamente como grupos protectores para modificaciones sobre el grupo funcional -OH [7, 86, 87].
Otros aportes relevantes a las reacciones de derivatización se basan en procesos químicos de aminación reductiva, a través del cual es posible modificar el Quitosano con carbohidratos (uniéndolo a moléculas de azúcares D, L- como: glucosa, galactosa, lactosa, etc.) [7, 17].
Adicionalmente, este proceso permite modular el carácter hidrofóbico del Quitosano, introduciendo cadenas alquílicas de diferentes longitudes, siguiendo una reacción de N-alquilación [7, 18, 78, 21], lo que deriva en polímeros anfífilos con solubilidad ajustable y propiedades fisicoquímicas diferenciadas.
5. Aplicaciones de los derivados del Quitosano
Las aplicaciones de los biopolímeros Quitina y Quitosano en diferentes campos, se han diversificado a través de la derivatización funcional del Quitosano, lo cual ha permitido desarrollar nuevos y mejores materiales para explorar y explotar al máximo su potencial, especialmente si pueden ser obtenidos siguiendo rutas cada vez más ecoamigables y sustentables que garanticen su participación permanente en cada vez más aplicaciones científicas e industriales.
Ciertamente el Quitosano tiene la ventaja sobre la Quitina de ser más polar y disolverse en medio acuoso ácido (pKa 6.3) por disminuir las repulsiones electrostáticas que le permiten comportarse como un polielectrolito, pero sus derivados, han abierto la posibilidad de modificar esta característica, y ahora, en muchos casos, es posible su solubilización en medios neutros o alcalinos, debido a su capacidad de asociación electrostática con biopolímeros aniónicos y polímeros sintéticos [17].
Esta nueva y relevante característica, permite formar películas [88, 89], hidrogeles [30], membranas [90, 33, 91], además puede formar complejos con óxidos metálicos, celulosa y CMC, entre otros [75]. También se han obtenido micro y nanopartículas, nanofibras [79, 31, 32, 92, 33, 93] y microesferas [91, 34].
Entre otras propiedades, se destacan las características bioadhesivas de los derivados del Quitosano [15, 94, 95, 96], así como su aplicación como un aditivo en el proceso húmedo de fabricación de papel [26, 97, 27].
El siguiente resumen presenta interesantes aplicaciones científicas e industriales, que han sido publicadas en distintos campos de aplicación, describiendo la versatilidad del Quitosano y sus derivados.
5.1. Aplicaciones Científicas. [44, 23, 20, 17, 31, 94, 26, 97, 27, 89, 24, 28, 98, 99, 93, 25]
a) Alimentos y Bebidas. Preservante natural de alimentos, fabricación de películas protectoras de empaques de alimentos, clarificante y deacificante de frutas y bebidas, agente espesante y estabilizador, ingrediente nutricional, agente antioxidante, extensión de vida útil de alimentos.
b) Agricultura. Bactericidas sintéticos, retención de nutrientes en el suelo, mejora de la calidad y rendimiento de los cultivos, alimento animal.
c) Industrial (Papelera, Adhesivos). Adsorción de iones metálicos, recubrimiento de barrera sobre papel y cartón, aditivo para fabricar papel, adhesivo para papel y cartón, agente deodorizante.
d) Medio ambiente: Tratamiento de aguas de la industria textil. Tratamiento de aguas (floculante, adsorbente de tintas). Remoción de mercurio en solución y selectivo para remover metales pesados por técnicas de adsorción.
5.2. Aplicaciones Industriales. [8,23, 63, 20, 29, 17, 21, 22, 24, 25]
a) Biotecnología, Biomedicina, Farmacéutica, Cosmética, Bionanotecnología. Terapia de cáncer, transporte de material genético y medicamentos a través de membranas, microcápsulas y microesferas, transporte morfogenético de huesos antihipertensivo, hipocolesterolémico hipolipidémico, inmunoestimulante, antioxidante, antimicrobiano, antialérgico, anticoagulante, antihongos, cicatrización de heridas, bio-imágenes, ingeniería de tejidos, huesos y piel (regeneración), excipiente en formulaciones de medicamentos, preparación de nano-biodispositivos como nano-cápsulas de carbón, grafito, tungsteno, etc.
b) Fotografía. Formador de complejos de plata y películas. Previene difusión de tintas.
c) Odontología. Cementos endodónticos, nanobiomateriales de uso dental, implantes orales, Cremas dentales, etc.
d) Cosmética. Ingrediente suavizante en fórmulas para el cabello, agentes espesantes, efecto antiestático.
e) Oftalmología. Fabricación de lentes de contacto y bandas oculares.
6. Conclusiones
Durante décadas se ha estudiado la molécula de Quitosano con especial interés en conocer su estructura, morfología, características fisicoquímicas y propiedades funcionales. Todas estas han sido publicadas de forma constante a la comunidad científica, alimentando cada vez más el interés por emplear este abundante polisacárido incluso en aplicaciones nunca antes exploradas.
Ya en actualidad, son incontables los trabajos reportados en los cuales se explota el alto potencial biotecnológico de esta molécula y sus derivados. Es tan versátil, que hasta puede ingerirse, curar directamente heridas abiertas, además, un derivado de Quitosano, puede aplicarse sobre alimentos, en cremas y shampoos de uso cosmético, así como ser empleado en diversos campos industriales, como tratamiento de aguas residuales, extracción de metales pesados, entre muchos otros usos.
El Quitosano y sus derivados, tienen una gran ventaja asociada a sus múltiples morfologías, incluyendo: formación de fibras, películas, hidrogeles, membranas, nanopartículas y micropartículas, con muchas propiedades funcionales y bioactividades. Es por ello que todos los esfuerzos que se continúen realizando por mejorar sus técnicas de extracción y reducir los contaminantes químicos residuales, estandarizando nuevas metodologías menos agresivas al medioambiente, y en sí, protegiendo la estructura molecular nativa de este biopolímero, estarán directamente relacionadas con la mejora de los rendimientos y la garantía de la calidad.
Por otro lado, todos estos aportes contribuirán con la reducción de los precios actuales de estos productos en el mercado. Como consecuencia, estarán cada vez más accesibles para ser considerados dentro del desarrollo de más proyectos. Además, esto sería un impulso para transportar las aplicaciones que hoy se han manejado sólo como investigaciones a escala de laboratorio, hacia procesos industrializados que generen un valor comercial que esté al alcance de todos los consumidores finales.
7. Referencias
[1] B. Moussian, “Targeting Chitin-containing Organisms,” in Advances in Experimental Medicine and Biology, Q. Yang and T. Fukamizo, Eds. Singapore: Springer, 2019, vol. 1142.
[2] S. Fränkel and A. Kelly, “Beiträge zur Constitution des Chitins,” Monatshefte für Chemie , vol. 23, pp. 123–132, 1901.
[3] S. Morgulis, “The chemical constitution of chitin,” Science, vol. 44, no. 1146, pp. 866–867, 1916.
[4] K. H. Meyer and G. W. Pankow, “Sur la constitution et la structure de la chitine,” Helvetica, vol. 18, pp. 589–598, 1935.
[5] W. Lotmar and L. Picken, “A new crystallographic modification of chitin and its distribution,” Experientia, vol. 6, pp. 58–59, 1950.
[6] H. Ehrlich, M. Maldonado, K. D. Spindler, C. Eckert, T. Hanke, R. Born, C. Goebel, P. Simon, S. Heinemann, and H. Worch, “First Evidence of Chitin as a Component of the Skeletal Fibers of Marine Sponges.Part I. Verongidae Demospongia: Porifera),” Journal of Experimental Zoology, vol. 308, no. B, pp. 347–356, 2007.
[7] K. Kurita, “Chitin and Chitosan: Functional Biopolymers from Marine Crustaceans,” Marine Biotechnology, vol. 8, pp. 203–226, 2006.
[8] P. Dutta, M. Ravikumar, and J. Dutta, “Chitin and chitosan for versatile applications,” Journal of Macromolecular Science, Part C: Polymer Reviews, vol. 42, no. 3, pp. 307–354, 2002.
[9] D. Carlström, “The cristal structure of chitin (Poly-N-acetyl-D-Glucosamine),” Journal of Biophysics and Biochem Cytol,, vol. 3, no. 5, pp. 669–683, 1957.
[10] R. Minke and J. Blackwell, “The Structure of α Chitin,” Journal of Molecular Biology, vol. 120, no. 2, pp. 167–181, 1978.
[11] H. N. Cuong, N. C. Minh, N. Van Hoa, and T. S. Trung, “Preparation and characterization of high purity β-chitin from squid pens ( Loligo chenisis ),” International Journal of Biological Macromolecules, 2016.
[12] N. E. Dweltz, “The structure of chitin,” Biochimica et Biophysica Acta, vol. 44, pp. 416–435, 1961.
[13] K. M. Rudall and W. Kenchington, “The chitin system,” Biological Reviews, vol. 48, pp. 597–633, 1973.
[14] K. M. Rudall, “The Chitin/Protein Complexes of Insect Cuticles,” Advances in Insect Physiology, vol. 1, pp. 257–313, 1963.
[15] N. Mati-Baouche, P. Elchinger, H. Baynast, G. Pierre, C. Delattre, and P. Michaud, “Chitosan as an adhesive,” European Polymer Journal, vol. 60, pp. 198–212, 2014.
[16] M. Yadav, P. Goswami, K. Paritosh, M. Kumar, N. Pareek, and V. Vivekanand, “Seafood waste: a source for preparation of commercially employable chitin/chitosan materials,” Bioresources and Bioprocessing, vol. 6, no. 8, pp. 1–20, 2019.
[17] C. G. Boeriu and L. A. M. van den Broek, “Chemical and Enzymatic Modification of Chitosan to Produce New Functional Materials with Improved Properties,” in Chitin and Chitosan: Properties and Applications, 1st ed., L. A. M. van den Broek and C. G. Boeriu, Eds. John Wiley & Sons Ltd., 2019, ch. 10.
[18] J. Desbrieres, “Autoassociative natural polymer derivatives: the alkylchitosans. Rheological behaviour and temperature stability,” Polymer, vol. 45, no. 10, pp. 3285–3295, 2004.
[19] K. V. Harish and R. N. Tharanathan, “Chitin/chitosan: modifications and their unlimited application potential an overview,” Trends in Food Science & Technology, vol. 18, no. 3, pp. 117–131, 2007.
[20] N. M. Alves and J. F. Manoa, “Chitosan derivatives obtained by chemical modifications for biomedical and environmental applications,” International Journal of Biological Macromolecules, vol. 43, no. 5, pp. 401–414, 2008.
[21] M. S. R. Rajoka, L. Zhao, H. M. Mehwish, Y. Wu, and S. Mahmood, “Chitosan and its derivatives: synthesis, biotechnological applications, and future challenges,” Applied Microbiology and Biotechnology, vol. 103, pp. 1557–1571, 2019.
[22] E. I. Rabea, M. E. T. Badawy, C. V. Stevens, G. Smagghe, and W. Steurbaut, “Chitosan as Antimicrobial Agent: Applications and Mode of Action,” Biomacromolecules, vol. 4, no. 6, pp. 1457–1465, 2003.
[23] T. Philibert, B. H. Lee, and N. Fabien, “Current Status and New Perspectives on Chitin and Chitosan as Functional Biopolymers,” Applied Biochemistry and Biotechnology, vol. 181, pp. 1314–1337, 2017.
[24] R. N. Tharanathan and F. S. Kittur, “Chitin-The Undisputed Biomolecule of Great Potential,” Critical Reviews in Food Science and Nutrition, vol. 43, no. 1, pp. 61–87, 2003.
[25] G. Crini, “Historical Landmarks in the Discovery of Chitin,” in Sustainable Agriculture Reviews 35. Sustainable Agriculture Reviews, 1st ed., G. Crini and E. Lichtfouse, Eds. Springer, Cham, 2019, vol. 35.
[26] R. Nicu, E. Bobu, and J. Desbrieres, “Chitosan as cationic polyelectrolyte in wet-end papermaking systems,” Cellulose Chemistry and Technology, vol. 45, no. 1–2, pp. 105–111, 2011.
[27] S. Habibie, M. Hamzah, M. Anggaravidya, and E. Kalembang, “The effect of chitosan on physical and mechanical properties of paper,” Journal of Chemical Engeeniering ans materials Science, vol. 7, no. 1, pp. 1-10, 2016
[28] D. I. Hefft, “Effects of Chitosan Coated Paperboard Trays on the Botrytis cinerea Formation and Sensory Quality of Bilberries (Vaccinium myrtillus L.) and Redcurrants (Ribes rubrum L.),” International Journal of Fruit Science, vol. 18, no. 3, pp. 300–306, 2018.
[29] M. N. V. Ravi Kumar, R. A. A. Muzzarelli, C. Muzzarelli, H. Sashiwa, and A. J. Domb, “Chitosan Chemistry and Pharmaceutical Perspectives,” Chemical Reviews, vol. 104, no. 12, pp. 6017–6084, 2004.
[30] N. Bhattarai, J. Gunn, and M. Zhang, “Chitosan based hydrogels for controlled, localized drug delivery,” Advanced Drug Delivery Reviews, vol. 62, no. 1, pp. 83–99, 2010.
[31] M. S. Thomas, R. R. Koshy, S. K. Mary, S. Thomas, and L. A. Pothan, “Starch, Chitin and Chitosan Based Composites and Nanocomposites,” in Springer Briefs in Molecular Science. Biobased Polymers, 1st ed. Springer, 2019.
[32] M. Zhengxin, A. Garrido-Maestu, and K. C. Jeong, “Application, mode of action, and in vivo activity of chitosan and its micro and nanoparticles as antimicrobial agents: A review,” Carbohydrate Polymers, vol. 176, pp. 257–265, 2017.
[33] D. Yang, L. Li, B. Chen, S. Shi, J. Nie, and G. Ma, “Functionalized chitosan electrospun nanofiber membranes for heavy-metal removal,” Polymer, vol. 163, pp. 74–85, 2019.
[34] A. K. d. S. Pereira, D. T. Reis, K. M. Barbosa, G. N. Scheidt, L. S. da Costa, and L. S. S. Santos, “Antibacterial effects and ibuprofen release potential using chitosan microspheres loaded with silver nanoparticles,” Carbohydrate Research, vol. 488, p. 107891, 2020.
[35] X. Chen and N. Yan, Conversion of Chitin to Nitrogen-containing Chemicals, 1st ed. Wiley-VCH Verlag GmbH & Co. KGaA., 2020, ch. 14.
[36] K. Kramer and D. Koga, “Mini review-Insect Chitin Physcal State, Synthesis, Degradation and Metabolic Regulation,” Insect Biochemistry, vol. 16, no. 6, pp. 851–877, 1986.
[37] N. Subhapradha, P. Ramasamy, V. Shanmugam, P. Madeswaran, A. Srinivasan, and A. Shanmugam, “Physicochemical characterisation of β-chitosan from Sepioteuthis lessoniana gladius,” FoodChemistry, vol. 141, no. 2, pp. 907–913, 2013.
[38] G. Chaussard and A. Domard, “New Aspects of the Extraction of Chitin from Squid Pens,” Biomacromolecules, vol. 5, no. 2, pp. 559–564, 2004.
[39] L. Bastiaens, L. Soetemans, E. D’Hondt, and K. Elst, Chitin and Chitosan: Properties and Applications, 1st ed., L. A. M. van den Broek and C. G. Boeriu, Eds. John Wiley & Sons Ltd., 2020.
[40] G. S. Dhillon, S. Kaur, S. K. Brar, and M. Verma, “Green synthesis approach: extraction of chitosan from fungus mycelia,” Journal Critical Reviews in Biotechnology, vol. 33, no. 4, pp. 379–403, 2013.
[41] M. Jones, M. Kujundzic, S. John, and A. Bismarck, “Crab vs. Mushroom: A Review of Crustacean and Fungal Chitin in Wound Treatment,” Marine Drugs, vol. 18, no. 1, pp. 1–23, 2020.
[42] M. Kaya, O. Seyyar, T. Baran, S. Erdogan, and M. Kar, “A physicochemical characterization of fully acetylated chitin structure isolated from two spider species: With new surface morphology,” International Journal of Biological Macromolecules, vol. 65, pp. 553–558, 2014.
[43] E. B. Ibitoye, I. H. Lokman, M. N. M. Hezmee, Y. M. Goh, A. B. Z. Zuki, and A. A. Jimoh, “Extraction and physicochemical characterization of chitin and chitosan isolated from house cricket,” Biomedical Materials, vol. 13, no. 2, pp. 1–18, 2018.
[44] K. De la Caba, P. Guerrero, T. S. Trung, M. Cruz-Romero, J. P. Kerry, J. Fluhr, M. Maurer, F. Kruijssen, A. Albalat, S. Bunting, S. Burt, D. Little, and R. Newton, “From seafood waste to active seafood packaging: An emerging opportunity of the circular economy,” Journal of Cleaner Production, vol. 208, pp. 86–98, 2019.
[45] S. F. Bruno, F. J. A. A. Ekorongb, S. S. Karkal, M. S. B. Cathrine, and T. G. Kudre, “Green and innovative techniques for recovery of valuable compounds from seafood by-products and discards: A review,” Trends in Food Science & Technology, vol. 85, pp. 10–22, 2019.
[46] M. S. Rao, J. Muñoz, and W. F. Stevens, “Critical factors in chitin production by fermentation of shrimp biowaste,” Applied Microbiology and Biotechnology, vol. 54, pp. 808–813, 2000.
[47] W. Arbia, L. Arbia, L. Adour, and A. Amrane, “Chitin Extraction from Crustacean Shells Using Biological Methods – A Review,” Food Technology and Biotechnology, vol. 51, no. 1, pp. 12–25, 2013.
[48] W. J. Jung, G. H. Jo, J. H. Kuk, Y. J. Kim, K. T. Oh, and R. D. Park, “Production of chitin from red crab shell waste by successive fermentation with Lactobacillus paracasei KCTC-3074 and Serratia marcescens FS-3,” Carbohydrate Polymers, vol. 68, no. 4, pp. 746–750, 2007.
[49] I. Younes and M. Rinaudo, “Chitin and Chitosan Preparation from Marine Sources. Structure, Properties and Applications,” Marine Drugs, vol. 13, no. 3, pp. 1133–1174, 2015.
[50] A. Tolaimate, J. Desbrieres, M. Rhazi, and A. Alagui, “Contribution to the preparation of chitins and chitosans with controlled physico-chemical properties,” Polymer, vol. 44, pp. 7939–7952, 2003.
[51] A. Percot, C. Viton, and A. Domard, “Optimization of Chitin Extraction from Shrimp Shells,” Biomacromolecules, vol. 4, no. 1, pp. 12–18, 2003.
[52] H. K. No and E. Y. Hur, “Control of Foam Formation by Antifoam during Demineralization of Crustacean Shell in Preparation of Chitin,” Journal of Agricultural and Food Chemistry, vol. 46, no. 9, pp. 3844–3846, 1998.
[53] N. Acosta, C. Jiménez, V. Borau, and A. Heras, “Extraction and Characterization of chitin from crustaceans,” Biomass and Bioenergy, vol. 5, no. 2, pp. 145–153, 1993.
[54] A. Khanafari, R. Marandi, and S. Sanatei, “Recovery of chitin and chitosan from shrimp waste by chemical and microbial methods,” Iranian Journal of Environmental Health Science and Engineering, vol. 5, no. 1, pp. 19–24, 2008.
[55] M. N. Marzieh, F. Zahra, E. Tahereh, and K. N. Sara, “Comparison of the physicochemical and structural characteristics of enzymatic produced chitin and commercial chitin,” International Journal of Biological Macromolecules, vol. 139, pp.
[56] T. G. Kudre, N. Bhaskar, and P. Z. Sakhare, “Optimization and characterization of biodiesel production from rohu (Lbeo rohita) processing waste,” Renewable Energy, vol. 113, pp. 1408–1418, 2017.
[57] A. Alishahi, A. Mirvaghef, M. R. Tehrani, H. Farahmand, S. A. Shojaosadati, F. A. Dorkoosh, and M. Z. Elsabee, “Enhancement and Characterization of Chitosan Extraction from the Wastes of Shrimp Packaging Plants,” Journal of Polymers and the Environment, vol. 19, pp. 776–783, 2011.
[58] W. G. Birolli, J. A. d. Delezuk, and S. P. Campana-Filho, “Ultrasound-assisted conversion of alpha-chitin into chitosan,” Applied Acoustics, vol. 103 Part B, pp. 239–242, 2015.
[59] A. Fiamingo, J. A. d. Delezuk, S. Trombotto, L. David, and S. Campana-Filho, “Extensively deacetylated high molecular weight chitosan from the multistep ultrasound-assisted deacetylation of beta-chitin,” Ultrasonics Sonochemistry, vol. 32, pp. 79–85, 2016.
[60] J. Jung and Y. Zhao, “Characteristics of deacetylation and depolymerization of β-chitin from jumbo squid (Dosidicus gigas) pens,” Carbohydrate Research, vol. 346, no. 13, pp. 1876–1884, 2011.
[61] S. B. Lin, Y. C. Lin, and H. H. Chen, “Low molecular weight chitosan prepared with the aid of cellulase, lysozyme and chitinase: Characterisation and antibacterial activity,” Food Chemistry, vol. 116, no. 1, pp. 47–53, 2009.
[62] G. Cui, J. Guo, Y. Zhang, Q. Zhao, S. Fu, T. Han, S. Zhang, and Y. Wu, “Chitosan Oligosaccharide Derivatives as Green Corrosion Inhibitors for P110 Steel in a Carbon-dioxide-saturated Chloride Solution,” Carbohydrate Polymers, vol. 203, pp. 386–395, 2018.
[63] I. Aranaz, M. Mengíbar, R. Harris, I. Paños, B. Miralles, N. Acosta, G. Galed, and A. Heras, “Functional Characterization of Chitin and Chitosan,” Current Chemical Biology, vol. 3, no. 2, pp. 203–230, 2009.
[64] H. R. Hepburn and H. D. Chandler, “Tensile mechanical properties and transconformational changes of chitin,” in Proceedings of the 1st International Conference on Chitin and Chitosan, vol. 78, M.I.T. Massachusetts, 1978, pp. 124–143.
[65] J. Brugnerotto, J. Lizardi, F. M. Goycoolea, W. Argüelles-Monal, J. Desbrières, and M. Rinaudo, “An infrared investigation in relation with chitin and chitosan characterization,” Polymer, vol. 42, pp. 3569–3580, 2001.
[66] G. L. Clark and A. F. Smith, “X Ray Difraction Studies of Chitin, Chitosan and Derivates,” The Journal of Physical Chemistry, vol. 40, no. 7, pp. 863–879, 1936.
[67] J. Brugnerotto, J. Desbrières, L. Heux, K. Mazeau, and M. Rinaudo, “Overview on structural characterization of chitosan molecules in relation with their behavior in solution,” Macromolecular Symposia, vol. 168, no. 1, pp. 1–20, 2001.
[68] C. A. Ramírez Barragán, E. Delgado Fornué, and J. A. Andrade Ortega, “Determinación del grado de desacetilación de quitosana mediante titulación potenciométrica, FTIR y Raman,” Journal Coloquio de Investigación Multidisciplinaria, vol. 4, no. 1, pp. 769–776, 2016.
[69] M. Yanagisawa, Y. Kato, Y. Yoshida, and A. Isogai, “SEC-MALS study on aggregates of chitosan molecules in aqueous solvents: Influence of residual N-acetyl groups,” Carbohydrate Polymers, vol. 66, no. 2, pp. 192–198, 2006.
[70] W. Wang, S. Bo, S. Li, and W. Qin, “Determination of the Mark-Houwink equation for chitosans with different degrees of deacetylation,” International Journal of Biological Macromolecules, vol. 13, no. 5, pp. 281–285, 1991.
[71] R. G. Beri, J. Walker, E. T. Reese, and J. E. Rollings, “Characterization of chitosans via coupled size-exclusion chromatography and multiple-angle laser light-scattering technique,” Carbohydrate Research, vol. 238, pp. 11–26, 1993.
[72] K. Suknuntha, V. Tantishaiyakul, V. Vao-Soongnern, Y. Espidel, and T. Cosgrove, “Molecular Modeling Simulation and Experimental Measurements to Characterize Chitosan and Poly(vinyl pyrrolidone) Blend Interactions,” Journal of Polymer Science: Part B: Polymer Physics, vol. 46B, pp. 1258–1264, 2008.
[73] S. Brown, B. Moudgil, Y. Rabinovich, V. Anthony, and M. Kamal, “Materials and methods for identifiying biointeractive nanostructures and/or nanoparticles.” United States Patent Patent US 7.908.908 B2, 2011.
[74] L. Xiang, L. Gong, J. Zhang, L. Zhang, W. Hu, W. Wang, Q. Lu, and H. Zeng, “Probing Molecular Interactions of PEGylated Chitosan in Aqueous Solutions Using Surface Forces Apparatus,” Physical Chemistry Chemical Physics, vol. 21, no. 37, pp. 20 571–20 581, 2019.
[75] N. Nordgren, P. Eronen, M. Österberg, J. Laine, and M. W. Rutland, “Mediation of the Nanotribological Properties of Cellulose by Chitosan Adsorption,” Biomacromolecules, , vol. 10, no. 3, pp. 645–650, 2009.
[76] S. H. Jo, C. Choi, and S. K. Choi, “Depolymerization of α- & β-Chitosan by e-Beam Irradiation,” Journal of Biosciences and Medicines, vol. 7, no. 10, pp. 72–83, 2019.
[77] D. Tahtat, M. Mahlous, S. Benamer, A. N. Khodja, and S. L. Youcef, “Effect of molecular weight on radiation chemical degradation yield of chain scission of γ-irradiated chitosan in solid state andin aqueous solution,” Radiation Physics and Chemistry, vol. 81, no. 6, pp. 659–665, 2012.
[78] C. Petit, S. Reynaud, and J. Desbrieres, “Amphiphilic derivatives of chitosan using microwave irradiation. Toward an eco-friendly process to chitosan derivatives,” Carbohydrate Polymers, vol. 116, pp. 26–33, 2015.
[79] L. Zhang, X. Zhu, H. Sun, G. Chi, J. Xu, and Y. Sun, “Control synthesis of magnetic Fe3O4-chitosan nanoparticles under UV irradiation in aqueous system,” Current Applied Physics, vol. 10, no. 3, pp. 828–833, 2009.
[80] D. Alonso, M. Gimeno, R. Olayo, H. Vázquez-Torres, J. D. Sepúlveda-Sánchez, and K. Shirai, “Cross-linking chitosan into UV-irradiated cellulose fibers for the preparation of antimicrobial-finished textiles,” Carbohydrate Polymers, vol. 77, no. 3, pp. 536–543, 2009.
[81] B. Prathab and T. M. Aminabhavi, “Atomistic Simulations to Compute Surface Properties of Poly(N-vinyl-2-pyrrolidone) (PVP) and Blends of PVP/Chitosan,” Langmuir, vol. 23, no. 10, pp. 5439–5444, 2007.
[82] M. J. Zohuriaan-Mehr, “Advances in Chitin and Chitosan Modification through Graft Copolymerization: A Comprehensive Review,” Iranian Polymer Journal, vol. 14, no. 3, pp. 235–265, 2005.
[83] K. Kurita, M. Kawata, Y. Koyama, and S. I. Nishimura, “Graft copolymerization of vinyl monomers onto chitin with cerium (IV) ion,” Journal of Applied Polymer Science, vol. 42, no. 11, pp. 2885–2891, 1991.
[84] M. N. V. Ravi Kumar, “A review of chitin and chitosan applications,” Reactive & Functional Polymers, vol. 46, no. 1, pp. 1–27, 2000.
[85] J. Huang, Z. H. Cheng, H. H. Xie, J. Y. Gong, J. Lou, Q. Ge, Y. J. Wang, Y. F. Wu, S. W. Liu, P. L. Sun, and J. W. Mao, “Effect of quaternization degree on physiochemical and biological activities of chitosan from squid pens,” International Journal of Biological Macromolecules, vol. 70, pp. 545–550, 2014.
[86] R. Antony, T. Arun, and S. T. D. Manickam, “A review on applications of chitosan-based Schiff bases,” International Journal of Biological Macromolecules, vol. 129, pp. 615–633, 2019.
[87] L. Wei, W. Tan, G. Wang, Q. Li, F. Dong, and Z. Guo, “The antioxidant and antifungal activity of chitosan derivatives bearing Schiff bases and quaternary ammonium salts,” Carbohydrate Polymers, vol. 226, p. 115256, 2019.
[88] B. Lepoittevin, T. Elzein, D. Dragoe, A. Bejjani, F. Lemée, J. Levillain, P. Bazin, P. Roger, and I. Dez, “Hydrophobization of chitosan films by surface grafting with fluorinated polymer brushes,” Carbohydrate Polymers, vol. 205, pp. 1–30, 2018.
[89] H. Wang, J. Qian, and F. Ding, “Emerging Chitosan Based Films for Food Packaging Applications,” Journal of Agricultural Food Chemistry, vol. 66, no. 2, pp. 395–413, 2018.
[90] W. Y. Cheah, P. L. Show, I. S. Ng, G. Y. Lin, C. Y. Chiu, and Y. K. Chang, “Antibacterial activity of quaternized chitosan modified nanofiber membrane,” International Journal of Biological Macromolecules, vol. 126, pp. 569–577, 2019.
[91] W. Zhang, Q. Li, Q. Mao, and G. He, “Cross-linked chitosan microspheres: An efficient and eco-friendly adsorbent for iodide removal from waste water,” Carbohydrate Polymers, vol. 209, pp. 215–222, 2019.
[92] J. D. Schiffman and C. L. Schauer, “Cross-Linking Chitosan Nanofibers,” Biomacromolecules, vol. 8, no. 2, pp. 594–601, 2007.
[93] K. Chi and J. M. Catchmark, “Improved eco-friendly barrier materials based on crystalline nanocellulose/chitosan/carboxymethyl cellulose polyelectrolyte complexes,” Food Hydrocolloids, vol. 80, pp. 195–205, 2018.
[94] X. Ji, L. Bin, Y. Bingnan, and G. Minghui, “Preparation and characterizations of a chitosan-based medium-density fiberboard adhesive with high bonding strength and water resistance,” Carbohydrate Polymers, vol. 176, pp. 273–280, 2017.
[95] A. K. Patel, J. D. Mathias, and P. Michaud, “Polysaccharides as Adhesives: A Critical Review,” Reviews of Adhesion and Adhesives, vol. 1, no. 3, pp. 312–345, 2013.
[96] N. Mati-Baouche, C. Delattre, H. de Baynast, M. Grédiac, J. D. Mathias, A. V. Ursu, J. Desbrières, and P. Michaud, “Molecules Alkyl-Chitosan-Based Adhesive: Water Resistance Improvement,” Molecules, vol. 24, no. 10, pp. 1–12, 2019.
[97] K. Khwaldia, E. Arab-Tehrany, and S. Desobry, “Biopolymer Coatings on Paper Packaging Materials,” Comprehensive Reviews in Food Science and Food Safety, vol. 9, no. 1, pp. 82–91, 2010.
[98] G. Crini, “Non conventional low cost adsorbents for dye removal: A review,” Bioresource Technology, vol. 97, no. 9, pp. 1061–1085, 2006.
[99] M. B. Kasiri, “Application of chitosan derivatives as promising adsorbents for treatment of textile wastewater. The Impact and Prospects of Green Chemistry for Textile Technology,” in The Textile Institute Book Series, 1st ed. Woodhead Publishing, 2019, ch. 14 - Application of chitosan derivatives as promising adsorbents for treatment of textile wastewater.
Enlace alternativo
http://servicio.bc.uc.edu.ve/ingenieria/revista/v27n2/art01.pdf (pdf)