Estado del arte. Avances recientes en el diseño de nanoemulsiones: conceptos y tendencias sobre nanocosmeticos
Review. Recent advances in nanoemulsions design: concepts and trends across nanocosmetics
Estado del arte. Avances recientes en el diseño de nanoemulsiones: conceptos y tendencias sobre nanocosmeticos
Revista INGENIERÍA UC, vol. 27, núm. 3, pp. 249-272, 2020
Universidad de Carabobo
Recepción: 28 Agosto 2020
Aprobación: 26 Noviembre 2020
Resumen: - La industria cosmética ha experimentado un auge en los últimos años como uno de los mercados que tiene un enorme potencial de crecimiento. Los productos cosméticos que contienen nanoemulsiones (NE), como portadores de compuestos activos, pueden moverse a través del estrato córneo, promoviendo la liberación de activos hacia la dermis. Los ingredientes activos lipofílicos que presentan mayor interés en el cuidado de la piel son: la vitamina E, el licopeno, carotenoides, los polifenoles, o coenzima Q-10 o simplemente las fragancias no alcohólicas. El pequeño tamaño de las gotas de la fase dispersa es otro factor que confiere características fisicoquímicas y biológicas importantes. Impide la floculación y la coalescencia de las nanoemulsiones, y los movimientos brownianos son suficientes para superar la sedimentación de las gotas por gravedad. Además, el tamaño reducido de las gotas también proporciona una mejor deposición sobre la piel y penetración, lo que permite una entrega eficiente de ingredientes activos en comparación con los vehículos convencionales. En esta revisión se destacan algunas contribuciones científicos-tecnológicas importantes, se presenta una revisión documental sobre los métodos de elaboración de nanoemulsiones, tanto de alta energía como de baja energía, así como los avances y desarrollos resaltantes sobre nanocosméticos.
Palabras clave: nanoemulsiones, PIT (Por sus siglas en inglés, temperatura de inversión de fase), PIC (Por sus siglas en inglés, composición de inversión de fase), administración transdérmica, emulsión espontánea.
Abstract: - The cosmetic industry has boomed in recent years as one of the markets with enormous growth potential. Cosmetic products that contain nanoemulsions, as carriers of active compounds, can move through the stratum corneum, promoting the release of active ingredients into the dermis. The lipophilic active ingredients that are most interesting in skin care are: vitamin E, lycopene, carotenoids, polyphenols, or coenzyme Q-10 or simply non-alcoholic fragrances. The small size of the dispersed phase droplets is another important factor that confers important physicochemical and biological characteristics. It prevents flocculation and coalescence of nanoemulsions, and the Brownian movements are sufficient to overcome the sedimentation of the droplets by gravity. Additionally, the reduced droplet size also provides better skin deposition and penetration of nanoemulsions, enabling efficient delivery of active ingredients compared to conventional vehicles. This review highlights some of the most important scientific-technological contributions, a documentary review on the methods of making nanoemulsions, both high energy and low energy, their advances and outstanding developments in the area currently.
Keywords: nanoemulsions, PIT, PIC, dermal delivery, transdermal delivery, spontaneous emulsion.
1. Introducción
Las nanoemulsiones son un sistema prometedor para el uso cosmético debido a varias ventajas sobre otras tecnologías (como emulsiones, liposomas y microemulsiones, espumas, geles, dispersiones, etc.), incluida la facilidad de fabricación, tamaños de partículas controlables, alta estabilidad cinética y niveles de tensioactivos relativamente bajos [1, 2, 3]. La eficacia de los productos cosméticos depende de sus propiedades de textura y de su capacidad para transportar ingredientes activos y funcionales. Los componentes lipofílicos, hidrofílicos y anfifílicos se pueden incorporar fácilmente en las nanoemulsiones porque contienen aceite, agua y regiones interfaciales de gran área. La aplicación tópica de nanoemulsiones en la piel proporciona una formación uniforme de una película lipídica delgada, lo que permite un mayor rendimiento y biodisponibilidad [4].
Las nanoemulsiones (gotas de tamaño submicrométrico), también referidas como mini emulsiones [5, 6], son sistemas atractivos para uso en la industria cosmética, farmacéutica, alimentaria y otras, debido a sus propiedades tales como su baja cantidad de surfactante, falta de toxicidad o características irritantes, baja viscosidad, buena apariencia y versatilidad de formulación como espumas, cremas, líquidos y aerosoles.
Las nanoemulsiones son una clase de emulsiones con un tamaño de gota entre 20 y 500 nm [7]. Sus gotas están estabilizadas por surfactantes. Sus propiedades dependen no solo de las condiciones termodinámicas, sino también de los métodos de preparación y el orden de adición de los componentes [8, 9]. Los diferentes rangos de tamaño para las nanoemulsiones encontradas en la literatura, se establecen, generalmente, según criterios basados en propiedades ópticas, ya que no hay un cambio drástico en las propiedades fisicoquímicas cuando el tamaño de las gotas de la emulsión disminuye de micrómetros a la escala de nanómetros [10].
2. Generalidades de las emulsiones
2.1. Estabilidad de las emulsiones
Las emulsiones en general, incluyendo las nanoemulsiones, presentan inestabilidad termodinámica debido al hecho de que la energía libre ∆Gf asociada con su formación es mayor que cero. Este cambio de energía libre se debe principalmente al aumento del contacto entre los dos líquidos inmiscibles:
∆G f = ∆Aγ, donde ∆A es el incremento del área interfacial y γ es la tensión interfacial. Por lo tanto, el área interfacial tiene una tendencia a disminuir espontáneamente, favoreciendo así la floculación y coalescencia de las gotas. Por otro lado, una vez formadas, las nanoemulsiones tienden a tener muy buena estabilidad cinética, porque su pequeño tamaño de gota reduce la tasa de separación gravitacional y la agregación de gotas [11].
Aunque las nanoemulsiones son estables a la sedimentación o la formación de crema (el movimiento browniano supera la gravedad debido al tamaño pequeño), pueden experimentar floculación, coalescencia y/o maduración de Ostwald, este último es el principal proceso de descomposición de las nanoemulsiones [12, 13].
La maduración de Ostwald consiste en la difusión de moléculas de la fase dispersa desde pequeñas a grandes gotas, a través de la fase continua, como consecuencia de sus diferentes presiones de Laplace. Sin embargo, con la selección apropiada de componentes del sistema, composición y método de preparación, se pueden lograr nanoemulsiones con alta estabilidad cinética. Las nanoemulsiones, al ser emulsiones (sistemas termodinámicamente inestables), requieren un aporte de energía para su formación, que puede ser externa (métodos de dispersión o de alta energía) o interna (métodos de condensación o de baja energía) [14].
Las nanoemulsiones son sistemas particularmente atractivos para su aplicación en cuidado personal y cosméticos así como en el cuidado de la salud debido a las siguientes ventajas [15]:
El tamaño de gota muy pequeño causa una gran reducción en la fuerza de gravedad y el movimiento browniano puede ser suficiente para superar la gravedad. Esto significa que no se produce cremosidad ni sedimentación durante el almacenamiento
El pequeño tamaño de gota también evita cualquier floculación de las gotas y esto permite que el sistema permanezca disperso sin separación de las fases.
El pequeño tamaño de las gotas también evita su fusión, ya que estas gotas son no deformables y, por lo tanto, se evitan las fluctuaciones de la superficie. Además, el espesor significativo de la película de tensioactivo (en relación con el radio de la gota) evita el adelgazamiento o la interrupción de la película líquida entre las gotas.
Las nanoemulsiones son adecuadas para la administración eficiente de ingredientes activos a través de la piel. La gran superficie del sistema de emulsión permite una rápida penetración de los activos.
La naturaleza transparente del sistema, su fluidez (a concentraciones razonables de aceite), así como la ausencia de espesantes, pueden darles un carácter estético agradable y sensación en la piel.
A diferencia de las microemulsiones (que requieren una alta concentración de tensioactivo, generalmente en la región del 20 % m/m o más), las nanoemulsiones se pueden preparar utilizando concentraciones razonables de tensioactivo. Para una nanoemulsión de 20 % m/m aceite en agua (O/W) en inglés Oil in Water, puede ser suficiente una concentración de surfactante en la región de 5 a 10 % m/m.
El pequeño tamaño de las gotas les permite depositarse uniformemente sobre sustratos; la humectación, la dispersión y la penetración también pueden mejorarse debido a la baja tensión superficial de todo el sistema y la baja tensión interfacial de las gotas (O/W).
Las nanoemulsiones pueden ser empleadas en la encapsulación de fragancias, al ser incorporadas en productos de cuidado personal, para su posterior liberación durante la aplicación del producto utilizado. Esto también podría aplicarse en la formulación de perfumes sin alcohol.
Las nanoemulsiones se pueden aplicar como sustitutos de los liposomas y las vesículas (que son mucho menos estables) y en algunos casos es posible construir fases cristalinas líquidas lamelares alrededor de las gotas de nanoemulsión.
Estas características mencionadas, tamaño de gota extremadamente pequeño, baja cantidad de surfactante, baja toxicidad y viscosidad, las hacen atractivas y una excelente opción para aumentar la efectividad dérmica y transdérmica, debido a la transferencia rápida de principios activos a través de la piel, de los ingredientes activos utilizados en la industria cosmética y cosmeceutica.
Cuando hablamos de cosméticos nos referimos a los artículos destinados a ser frotados, vertidos, rociados, introducidos o aplicados al cuerpo humano para limpiar, embellecer, promover el atractivo o alterar la apariencia. Por ejemplo, humectantes para la piel, perfumes, barras de labios, esmaltes de uñas, preparaciones de maquillaje facial y para ojos, champús limpiadores, ondas permanentes, tintes para el cabello y desodorantes, así como cualquier sustancia destinada a ser utilizada como componente del producto cosmético. Así lo define la Ley Federal de Alimentos, Medicamentos y Cosméticos (Ley FD&C) [16].
En este artículo, además de las nanoemulsiones en cosméticos, también se incluyen los productos cosmecéuticos, los cuales fueron definidos por Kligman como, una clase de productos con acción intermedia entre productos cosméticos y productos farmacéuticos. Por lo tanto, los cosmecéuticos no son una clase restringida al adorno, sino como productos tópicos que promueven cambios tanto estructurales como funcionales en la piel, las membranas mucosas y sus uniones sin reclamo terapéutico, pero con posible acción preventiva [16, 17].
2.2. Diferencia entre nanoemulsión y microemulsión
Cuando se habla sobre nanoemulsionación, es importante aclarar una confusión que a menudo se puede presentar entre lo que son las nanoemulsiones y microemulsiones [11].
Tanto las microemulsiones como las nanoemulsiones son sistemas coloidales que resultan de la dispersión de dos líquidos inmiscibles, y el sistema disperso formado presenta gotas finas con tamaños por debajo de 100 y 200 nm, respectivamente [18, 19]. Pero ambas poseen el mismo aspecto macroscópico (transparente o translúcido) [20] (Figura 1). En algunos casos, la estructura y morfología de las microemulsiones puede ser muy cercana a las nanoemulsiones, es decir, cuando se trata de microemulsiones aceite en agua (O/W) o agua en aceite (W/O) en forma de micelas esféricas hinchadas, como las describió Schulman y colaboradores [21].

Schulman y colaboradores [21] también encontraron que las principales características de las microemulsiones en comparación con las soluciones micelares no sólo eran la hinchazón excesiva y la baja curvatura (asociada con la baja tensión), sino también la presencia de una estructura de interconexión entre las gotas. Al intentar diluir estos sistemas, encontraron que la estructura de la microemulsion se ve ampliamente afectada, perdiendo así sus características originales, mientras que en las nanoemulsiones no hay una afectación en el tamaño de las gotas, ni en la distribución del tamaño de estas [22, 23, 24].
Una diferencia importante entre las microemulsiones y las nanoemulsiones, es su estabilidad termodinámica. Como casi todos los sistemas emulsionados, existen en un estado termodinámico metaestable, en lugar de en el estado con la energía libre más baja. Sin embargo, debido al pequeño tamaño de las gotas (que reduce la separación gravitacional y la agregación de las gotas), el proceso principal que induce su desestabilización es la maduración de Ostwald. Este factor da como resultado la estabilidad de las nanoemulsiones durante meses e incluso más si los aditivos específicos (inhibidores de la maduración) ralentizan la transferencia de aceite entre gotas. Por otro lado, las microemulsiones son sistemas estables desde un punto de vista termodinámico. Se forman como resultado del equilibrio entre aceite, agua y tensioactivos, es decir, se mezclan todas las fases de manera homogénea, sea cual sea el orden de introducción, y la mezcla se sella y se pone a temperatura constante hasta alcanzar el equilibrio [11].
Ambos sistemas poseen distinta cantidad de tensioactivo. Generalmente las microemulsiones poseen un contenido de surfactante superior al 20 %, lo que permite su formación espontánea [20], mientras que las nanoemulsiones están constituidas por una menor cantidad de tensioactivos (entre el 3 % y el 10 %) [25].
3. Fabricación de nanoemulsiones
Desarrollar productos seguros, estables, eficientes y atractivos, con un beneficio de costo óptimo para los consumidores, siempre es un desafío para la industria cosmética. Los aspectos de seguridad y medioambientales, la productividad y la calidad deben considerarse muy temprano en el proceso de desarrollo de nuevos productos [4].
Las nanoemulsiones ofrecen una gran versatilidad, incluida la selección del proceso de fabricación y la selección de compuestos, como tensioactivos, lípidos e ingredientes activos [26].
La selección de un proceso apropiado para un sistema en particular depende de la capacidad de ampliación (facilidad de escalar a un nivel industrial de mayor capacidad de producción), reproducibilidad y optimización del tiempo de fabricación.
La elección del método más apropiado depende principalmente de la composición del sistema y / o los requisitos de ampliación [4].
3.1. Métodos de alta energía
Se puede utilizar una amplia gama de métodos de emulsión para producir nanoemulsiones, la homogenización de alto flujo (es decir, alta energía) proporciona una ruta simple para formar gotas a nanoescala en las que la cizalladura aplicada externamente y / o el flujo elongacional superan las tensiones viscosas internas e internas para romper las gotas más grandes en gotas más pequeñas, los ejemplos incluyen homogeneización microfluídica a alta presión [27] y emulsionación ultrasónica [28].
En la homogeneización a alta presión, la presión de operación es de hasta 150 MPa para producir nanoemulsiones con gotas de menor tamaño. Este método tiene la ventaja de una fácil escalabilidad en la producción industrial [16, 29].
La técnica de emulsionación de membrana directa, en la cual se emplean membranas de vidrio poroso Shirasu® estándar, se usa para preparar nanoemulsiones con un tamaño uniforme. En este método, la fase dispersa es forzada a través de la membrana hacia la fase continua [16, 30].
La emulsionación ultrasónica, también conocida como emulsión acústica, es un método de alta energía que utiliza ondas de sonido en una frecuencia superior a 20 kHz. Este método da como resultado nanoemulsiones con bajo tamaño y baja polidispersidad, además de ser rápido [16].
La microfluidización es un método de homogeneización de alta energía que es aplicable en las operaciones de la industria, debido al control flexible del tamaño de gota de la emulsión, que proporciona, y a su capacidad de producir emulsiones finas a partir de una amplia diversidad de materiales como vitaminas, lípidos bioactivos, drogas, antioxidantes y sabores [27].
En la industria cosmética se utilizan varios dispositivos de homogeneización industriales de alta presión diferentes como: GEA Niro-Soavi Spa (GEA Niro-Soavi Spa, Parma, Italia) de L’Oreal [31, 32] O Boticario [33] y Microfluidizador de Microfluidics Corp. (Newton, Massachusetts, Estados Unidos) por Shiseido [34].
3.1.1. Proceso y componentes para la formación de nanoemulsiones a alta energía
La fabricación de nanoemulsiones generalmente se realiza en dos pasos y, a veces, en tres pasos, con un paso de dilución adicional para aumentar la productividad o funcionalizar el producto.
La Figura 2 muestra que el primer paso para preparar una nanoemulsión O/W mediante un método de alta energía es preparar una macroemulsión O/W, que generalmente se logra mezclando aceite, agua y surfactante en un sistema de agitación por lotes simple, usando una herramienta de corte clásica (por ejemplo, un rotor o mezclador), para un período de tiempo suficiente [4].
En el segundo paso, la macroemulsión se convierte en una nanoemulsión. A través de un homogeneizador, una bomba de alta presión empuja la macroemulsión a través de un espacio estrecho (la altura del espacio es del orden de unas pocas micras), donde las gotas grandes se rompen en gotas más pequeñas, cuando se someten a un esfuerzo de cizallamiento y alargamiento extremo. El proceso de homogeneización se repite típicamente varias veces (denominado número de pasadas) hasta que el tamaño de la gota se vuelve constante. En un ultrasonicador, las ondas de choque de alta energía crean turbulencia (debido a la cavitación) que rompe las gotas, hasta que el tamaño de las mismas se vuelve constante [35, 36, 37, 38, 39].
![Descripción general del método de alta energía para preparar nanoemulsión O/W. La alta energía, como la homogeneización a alta presión (HPH) y la ultrasonicación, rompen las gotas de microemulsión en gotas más pequeñas. Modificado de [35]](../70767026003_gf4.png)
3.1.2. Parámetros de formulación
Aceites: se puede usar una gran variedad de aceites en cosméticos dependiendo de los beneficios específicos: emoliencia y sensación de riqueza, solubilización activa y biodisponibilidad, desmaquillante, volatilidad, sensación de luz, brillo, etc. Algunos de los aceites utilizados para preparar nanoemulsiones cosméticas son: aceite de aguacate, miristato de isopropilo, isododecano, isohexadecano, vaselina, etc. [4].
Polioles: los polioles son ingredientes clásicos en cosmética, donde se usan como humectantes, potenciadores de la penetración para ingredientes activos, solventes, etc. También pueden verse como colaboradores de formulación para reducir el tamaño de las gotas y la transparencia del producto formulado durante el proceso de homogeneización [4].
Un ejemplo de la acción de los polioles se evidencia en el dipropilenglicol. Este poliol ejerce un impacto positivo sobre la transparencia de la nanoemulsión: ocurre una disminución en la diferencia del índice de refracción entre la fase oleosa y acuosa. Se presenta un aumento en la viscosidad de la fase acuosa de 1,8 cP en una formulación sin dipropilenglicol a 4,0 cP con dipropilenglicol al 10 % [4].
Tensoactivos: en cosméticos, se puede usar una amplia variedad de tensoactivos para obtener nanoemulsiones a través de la homogenización.
Éstos incluyen (a) tensioactivos no iónicos clásicos tales como alcoholes grasos etoxilados o ácidos grasos, ésteres grasos de sacarosa, poliglucósidos de alquilo y ésteres de poliglicerol; (b) oligómeros anfifílicos; y (c) mezclas de alcoholes grasos y tensioactivos o fosfolípidos [4].
Estos métodos de alta energía tienen una serie de ventajas que los han llevado a ser ampliamente utilizados en procesos industriales, como su versatilidad y alto rendimiento y ofrece a los formuladores la oportunidad de crear productos nuevos y atractivos que respondan a los requisitos técnicos, toxicológicos y ambientales de los productos cosméticos (Tabla 1). Sin embargo, los métodos de alta energía también tienen una serie de limitaciones: (i) El proceso generalmente implica varios pasos, que incluyen la dispersión, la premezcla y la homogeneización; (ii) existen necesidades de alta energía; (iii) existe un riesgo potencial de degradación o desnaturalización de moléculas frágiles en la formulación; y (iv) existen altos costos asociados con la compra, mantenimiento y operación del equipo. En consecuencia, ha habido interés en métodos de emulsión alternativos, como los métodos de baja energía, que permiten la formulación de nanoemulsiones muy pequeñas y monodispersas sin necesidad de ningún equipo especializado [4, 11].

3.2. Métodos de baja energía
Los métodos de emulsionación de baja energía, hacen uso de la energía química interna del sistema, a menudo son más eficientes energéticamente ya que solo se necesita agitación simple, y generalmente permiten producir un tamaño de gota más pequeño que los métodos de alta energía [48]. Sin embargo, dependiendo del sistema y las variables de composición, se pueden lograr tamaños de gota similares por ambos tipos de métodos [49].
La formación de nanoemulsión desencadenada por la rápida difusión de las moléculas de surfactante y/o solvente desde la fase dispersa a la fase continua sin que implique un cambio en la curvatura espontánea del surfactante se conoce como “autoemulsionación” [10].
Cuando se producen cambios en la curvatura espontánea del surfactante durante el proceso de emulsionación de negativo a positivo (para obtener emulsiones O/W) o viceversa (para emulsiones W/O), se designan como métodos de “inversión de fase”. Estos se clasifican como métodos de temperatura de inversión de fase (en inglés, Phase Inversion Temperature, PIT) y composición de inversión de fase (en inglés, Phase Inversion Composition PIC) si la emulsión se desencadena por un cambio en la temperatura o la composición, respectivamente [10].
3.2.1. Formación de nanoemulsión por métodos de autoemulsionación
La emulsión se crea como resultado de una mezcla de dos líquidos a temperatura ambiente. Uno es una fase acuosa pura, el otro es una mezcla de aceite, surfactante y un solvente miscible en agua. El método de autoemulsionación o emulsión espontánea hace uso de la energía química liberada debido a un proceso de dilución con la fase continua, sin que se produzca ninguna transición de fase (sin cambio en la curvatura espontánea del tensioactivo) en el sistema durante la emulsión [10, 50].
La emulsionación espontánea se produce por diferentes mecanismos que parecen verse afectados por la composición del sistema, las características fisicoquímicas y el protocolo de emulsionación (es decir, la forma en que se añaden los componentes y cómo se modifican las propiedades termodinámicas del sistema). En primer lugar se propusieron tres posibles mecanismos principales: dos de ellos implicaban la rotura mecánica de la interfase debida, en un caso, a la intensidad de la turbulencia interfacial y, en el otro, a la existencia de valores negativos de tensión interfacial. El criterio de tensión interfacial negativa es una simplificación excesiva porque otros factores además de la tensión (por ejemplo, fuerzas eléctricas en capas dobles) pueden influir significativamente en la estabilidad cuando la tensión es baja (menos de aproximadamente 1 mN/m). Por tanto, este segundo mecanismo se describe mejor como inestabilidad mecánica de las interfaces de baja tensión. El tercer mecanismo fue llamado “difusión y varado” y es completamente diferente de los dos anteriores porque involucra una inestabilidad química en lugar de mecánica. La idea básica en este caso es que las regiones de sobresaturación local son producidas por el proceso de difusión y las gotitas de emulsión se forman debido a la transformación de fase en estas regiones. La sobresaturación cerca de una interfaz también puede promover su ruptura por un mecanismo de inestabilidad química distinto, pero estrechamente relacionado [51].
Por lo tanto, al diluir una microemulsión o una mezcla de disolvente, tensioactivo y / o cosurfactante, se produce la difusión de los componentes miscibles en agua, desde la fase orgánica, hacia la fase acuosa, lo que induce una gran turbulencia en la interfase agua / aceite, lo que resulta en un aumento dramático del área interfacial, dando lugar al estado de emulsión metaestable, haciendo que se formen gotas nanoescaladas (nanoemulsiones O/W) [10, 52].
Según el tipo de nanopartícula requerida, la formulación también puede incluir componentes adicionales tales como tensioactivos, monómeros, polímeros, macromoléculas y / u otros ingredientes activos. Aunque estas adiciones pueden causar una ligera interferencia con el proceso, los mecanismos a nivel general permanecerán sin cambios [50, 52].
La formación de nanoemulsiones por autoemulsionación, a través de la dilución de microemulsiones O/W empleando un alcohol como cosurfactante, es debido a la difusión del alcohol en la interfase de las gotas, hacia el agua tras el proceso de dilución [10].
Como consecuencia, la microemulsión, ahora es termodinámicamente inestable, ya que la concentración de tensioactivo no es lo suficientemente alta, como para mantener la tensión interfacial muy baja requerida (γ <10−2 N • m-1) para la estabilidad termodinámica, convirtiéndose en una nanoemulsión (Figura 3) [10].
![Representación esquemática del mecanismo propuesto para la autoemulsionación por dilución de una microemulsión O/W: por dilución con agua, el cosurfactante difunde de la interfase aceite / agua a la fase acuosa. Modificado de [10]](../70767026003_gf5.png)
Las nanoemulsiones también se pueden formar mediante la dilución de agregados tensioactivos distintos de las microemulsiones. De hecho, la formación de nanoemulsiones O/W por dilución directa a partir de una fase cristalina líquida cúbica con estructura (Pm3n), en sistemas mixtos de tensioactivos no iónicos / iónicos [49, 53]. Estas fases cristalinas Pm3n, es un tipo de estructura micelar basada en agregados micelares discretos [54].
Durante la dilución, las micelas que se empaquetaron en la red cúbica se separan, interrumpiendo la estructura cúbica, y al mismo tiempo una parte del tensioactivo que estabilizaba la interfase puede migrar a la fase acuosa en el seno del líquido, desestabilizando una parte de la interfase, dando pie a la formación de las gotas finales de nanoemulsión (Figura 4). Vale la pena señalar que no se produce ningún cambio en la curvatura espontánea del tensioactivo durante la etapa de dilución [10].
![Representación esquemática del mecanismo propuesto para la formación de nanoemulsiones O/W por dilución directa a partir de una fase cristalina líquida cúbica con estructura Pm3n, en sistemas mixtos de tensioactivos no iónicos / iónicos. Modificado de [10]](../70767026003_gf6.png)
Se obtienen nanoemulsiones con un tamaño de gotas pequeño, independientemente de la composición de la microemulsión y el procedimiento de dilución utilizado. Adicionalmente, no se presentan cambios en la curvatura del surfactante durante el proceso.
El procedimiento de dilución empleado por Solé y colaboradores [55] mostró que se pueden obtener nanoemulsiones, por dilución de microemulsiones de aceite en agua (O/W) y agua en aceite (W/O). Además, tanto la velocidad de adición como el orden de adición de la microemulsion o del agua, producen nanoemulsiones.
A partir de microemulsiones O/W, se obtienen nanoemulsiones con diámetros de gota de 20 nm, independientemente de la composición de microemulsión y el procedimiento de dilución utilizado. A partir de microemulsiones W/O, las nanoemulsiones sólo se obtienen si las condiciones de emulsionación permiten alcanzar el equilibrio en un dominio de microemulsión O/W durante el proceso [55].
Pereira y col [56], evaluaron una metodología que plantea ser una herramienta útil y sencilla para la evaluación del desempeño de la emulsionación espontánea. La metodología de la gota permite la evaluación de sistemas surfactante-aceite-agua, en procesos de emulsionación espontánea que resultan en desempeños que van desde muy bueno hasta malo, con medianas de tamaño de gota 2,3 µm con 28,7 µm, respectivamente.
El procedimiento consiste en colocar con una pipeta Pasteur una gota de aceite en contacto con una gota de la fase acuosa. En el aceite se mezclan los surfactantes y alcoholes en diferentes proporciones de acuerdo con cada sistema. La clasificación de cada sistema fue realizada a través de la inspección visual, empleando las palabras: muy bueno, bueno, regular . malo, para calificar el proceso de emulsionación observado.
Para el sistema clasificado muy bueno, al colocar en contacto las gotas de ambas fases, se observó la aparición de un color blanquecino, a veces observándose, un movimiento persistente. En el sistema clasificado bueno, cuando transcurren 10 segundos de ocurrir el contacto entre las gotas de ambas fases, se observó la aparición del color blanquecino, la cual persistió por 10 min. En algunos casos puede observarse o no, movimiento en las gotas. El caso regular, mostró cierta evidencia de emulsión, mediante un color ligeramente blanquecino, después del contacto intergota, transcurrido 1 minuto o más. En este caso no hay movimiento en las gotas. El sistema clasificado malo mostró muy poca o ninguna evidencia de emulsionación espontanea. Los sistemas fueron observados por un microscopio óptico acoplado con una cámara digital (equipo marca MOTIC) [56].
Este método representa un ahorro en reactivos y proporciona la información adecuada y previa sobre la emulsionación del sistema que se desea estudiar.
3.2.2. Formación de nanoemulsión por métodos de inversión de fases
Estos métodos hacen uso de la energía química liberada por las transiciones de fase durante el proceso de emulsionación. Estas transiciones de fase a menudo, implican la inversión de la curvatura de la película de surfactante de positiva a negativa o viceversa. Se ha demostrado que las transiciones de estructuras que tienen una película de surfactante con una curvatura cero, (como la fase cristal líquido lamelar o microemulsion bicontinua) juegan un papel importante en la formación de las nanoemulsiones [57, 58]. La fase laminar o lamelar (Lα) consiste en bicapas de moléculas de una sustancia anfifílica separadas entre sí por capas de agua. Esta fase líquida cristalina se caracteriza por su relativa fluidez, a pesar de poseer una elevada proporción de tensioactivo [54]. La microemulsión bicontinua es una partición bicontinua en la que cada subvolumen se llena con una composición o fase distinta, no necesariamente uniforme. Las estructuras bicontinuas pueden estar presentes en fases mesomórficas, similares a cristales líquidos, consideradas como dispersiones de esferas, cilindros o láminas [59].
3.2.3. Método de la temperatura de inversión de fase (PIT)
El método PIT, introducido por Shinoda y Saito [60], se basa en los cambios en la curvatura espontánea del tensioactivo inducidos por la temperatura.
El método PIT solo se puede aplicar a los tensioactivos sensibles a los cambios de temperatura, es decir, los tensioactivos no iónicos de tipo polioxietileno en los que los cambios de temperatura inducen un cambio en la hidratación de las cadenas de poli (oxietileno) y por consiguiente el cambio de su curvatura [10, 60].
El aceite, el agua y los tensioactivos no iónicos se mezclan todos a temperatura ambiente y se agitan ligeramente. A continuación, la mezcla se calienta gradualmente, como resultado la solubilidad del tensioactivo cambia progresivamente de la fase acuosa a la oleosa. Por encima de la temperatura de inversión de fase, el tensioactivo se solubiliza completamente en aceite y, por lo tanto, la mezcla sufre una inversión de fase, desde una emulsión de aceite en agua (O/W) hasta una emulsión de agua en aceite (W/O) [50, 61].
Estas diferentes estructuras pueden ser fases esféricas, tubulares o de disco, láminas o esponjas y presentan una estabilidad que solo depende de los cambios variables termodinámicos como temperatura, composición y dilución. Las nanoemulsiones se generan instantáneamente realizando una transformación irreversible: un enfriamiento rápido o una dilución repentina con agua fría, a este sistema mantenido en la PIT o más alto que el mismo [50].
En cuanto al mecanismo de formación, se cree ampliamente que las gotas a escala nanométrica se originan a partir de plantillas nanométricas: Las microemulsiones PIT. Estos últimos simplemente se rompen por el rápido enfriamiento y/o dilución, “congelando” la red de microemulsiones en forma de nanoemulsiones.
Básicamente, las nanoemulsiones se generan cuando el equilibrio de fase correspondiente es un sistema Winsor III o IV, relacionado a la cantidad de tensioactivo [50].
Este mecanismo, ilustrado en la Figura 5, se puede describir de la siguiente manera: debajo de la PIT, la Figura 5a, se forma una macroemulsión lechosa y la mayoría de los tensioactivos no iónicos se solubilizan en la fase acuosa, de acuerdo con un coeficiente de partición del tensioactivo desplazado hacia la solubilidad en agua [49, 50].
![Diagrama del mecanismo de generación de nanoemulsiones utilizando el método PIT. El sistema agua / tensioactivo no iónico / aceite sufre una inversión de fase [50]](../70767026003_gf7.png)
A medida que aumenta la temperatura de la mezcla, Figura 5b, estos anfífilos no iónicos se vuelven hidrofóbicos gradualmente, haciendo que migren dentro de la fase oleosa. Luego, dado que las cantidades de tensioactivo son del mismo orden de magnitud que las del aceite, aumenta la fracción de volumen de la fase dispersa. Además, la curvatura interfacial y la tensión interfacial se reducen, dando lugar a condiciones propicias para el establecimiento de microemulsiones Winsor III o Winsor IV en equilibrio, como se muestra en la Figura 5c, [20, 62, 63, 64, 65].
La temperatura que marca la frontera entre las emulsiones O/W y W/O se llama temperatura de inversión de fase (PIT), la cual está intrínsecamente cerca del punto de turbidez, pero posiblemente cambia según la naturaleza del aceite (para lo cual la solubilidad del surfactante en el aceite puede variar) [11].
Finalmente, cuando la temperatura se incrementa por encima de la PIT, el sistema sufre una inversión de fase y el agua se dispersa en la mezcla de aceite más surfactante (los surfactantes son lipofílicos a esta temperatura). En este punto, después del enfriamiento rápido, se crean nanoemulsiones. Este último paso simplemente recrea las condiciones de emulsionación del procedimiento de emulsión espontánea. El sistema se configura muy rápidamente a una temperatura que cambia drásticamente los coeficientes de partición del tensioactivo, haciéndolos completamente hidrófilos. Como resultado, los anfifílicos se mueven espontáneamente del aceite a la fase acuosa, tal como ocurre en la emulsión espontánea. Finalmente, como se muestra en la Figura 5d, se generan nanoemulsiones, debido únicamente a este desplazamiento de materiales hidrofílicos.
La proporción de aceite y tensioactivo solo influye en el tamaño de la nanoemulsión. Puede significar que el mismo mecanismo, estrechamente relacionado con la proporción de aceite tensioactivo, gobierna ambos procesos. Se deduce que los conceptos involucrados en el procedimiento PIT pueden de hecho ser los mismos que los involucrados en la emulsionación espontánea, basados en la rápida difusión de una especie desde la fase oleosa a la acuosa [50].
En la formulación de nanofarmacéutica o cosmética, los métodos de baja energía parecen ser preferidos como un medio para encapsular fármacos frágiles o termosensibles (Tabla 2). Hasta la fecha, estos métodos se clasificaron en diferentes métodos gobernados por diferentes mecanismos.

Este estudio indica que, finalmente, todos estos métodos de baja energía, incluido el método PIT, siguen un mecanismo único y universal controlado por un rápido desplazamiento de los tensioactivos de la fase oleosa a la acuosa, este fenómeno da lugar a nanoemulsionación espontánea [50].
3.2.4. Papel de los surfactantes no iónicos polietoxilados sobre los métodos de emulsionación transitorios
Los métodos de emulsionación de baja energía se basan casi exclusivamente en el uso de surfactantes para los cuales la cabeza polar es una cadena de poli etilenglicol (PEG y tensioactivos PEGilados), que son una forma particular de surfactantes no iónico. Se han utilizado en los métodos de temperatura de inversión de fase (PIT), emulsionación espontánea y sistema de administración de fármacos autoemulsionantes, pero su comportamiento global y su papel en estos procesos de emulsionación siguen un mecanismo universal [11].
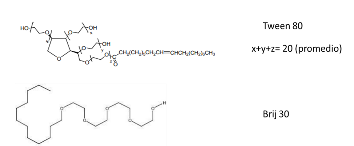
Típicamente utilizados en la formación de nanoemulsiones por emulsionación de baja energía son, son el Triolato de sorbitano con 20 moles de polioxietileno (Tween 85) empleado en nanoemulsiones cosméticas y farmacéuticas [66, 67]. El monooleato de polioxietilensorbitano (Tween 80) empleado en nanoemulsiones cosméticas, alimenticias [68, 69, 70]. PEG-4 dodecil éter (Brij 30) [71], estos se observan en la Figura 6.
![Algunos surfactantes no iónicos empleados en la emulsionación transicional [72, 73]](../70767026003_gf8.png)
Todos estos tensioactivos tienen un número relativamente alto de unidades de etilenglicol, o longitud de la cadena PEG, con valores en un rango de tamaño comparable (15-35 por cadena lipídica). Además, todos estos tensioactivos tienen valores de balance hidrofílico-lipofílico (HLB) alrededor de 13-15, que está relacionado con los tamaños relativos de la cabeza polar y la cadena no polar. Las cadenas de PEG más cortas o mucho más largas inducirán una pérdida de solubilidad en agua o actividad superficial, respectivamente [11].
En general, la solubilidad de los tensioactivos etoxilados es inducida, no sólo por las interacciones entre la cadena de PEG y el agua a través de la formación de puentes de hidrógeno, en el seno del agua [74, 75], pero también por la conformación de la cadena PEG que puede crear un momento dipolar localizado (en la conformación cis), la cual mejora las interacciones dipolo-dipolo con el agua [76] y por lo tanto su solubilidad. La solubilidad de los tensioactivos no iónicos se determina principalmente por las interacciones entre los grupos etoxilados y el agua, y se modifica por el tamaño de los grupos fluctuante (no es una interacción fija). Tales asociaciones se forman por la estructuración de las moléculas de agua, asociadas por enlaces de hidrógeno que envuelve las cabezas polares etoxiladas. Esto se ve afectado en gran medida por los cambios de temperatura, disminuyendo fuertemente la solubilidad con el calentamiento, porque la excitación térmica de las moléculas de agua reduce sus interacciones con los grupos de óxido de etileno [11].
Estas interacciones, son responsables del fenómeno llamado punto de enturbiamiento o punto de nube, también de la separación del tensioactivo no iónico de la mezcla, dando lugar a una fase rica en tensioactivo en equilibrio con una fase acuosa con concentración de tensioactivo próxima a la CMC. Además, son responsables del fenómeno de la inversión de fase de una emulsión [11].
Si el uso de tensioactivos no iónicos suele ser necesario para obtener una emulsión de baja energía, la elección de la fase de aceite también es muy importante para el éxito del proceso. Los métodos de emulsión de transición utilizados para producir nanoemulsiones se basan en cambios en las interacciones relativas de los tensioactivos PEGilados con las fases de aceite y agua y particularmente en la posibilidad de modificar estas interacciones usando variables termodinámicas [11].
3.2.5. Método de composición de inversión de fase (PIC)
En el método PIC, las transiciones de fase son inducidas por cambios en la composición durante la emulsionación, a temperatura constante representada esquemáticamente en la Figura 7. En consecuencia, se puede aplicar a tensioactivos que no sean de tipo etoxilado.
![Representación esquemática de la formación de nanoemulsiones por el método PIC [10]](../70767026003_gf9.png)
Para el método PIC, al igual que para el PIT, es común encontrar las transiciones de fase (fases cristalinas líquidas laminares o microemulsiones bicontinuas) durante el proceso de emulsión que conduce a la formación de nanoemulsiones, lo que implica que se rigen por los mismos mecanismos [10].
El procedimiento para obtener nanoemulsiones por el método PIC consiste en agregar progresivamente uno de los componentes (agua o aceite) sobre una mezcla de los otros dos componentes (surfactante de aceite o surfactante de agua, respectivamente [77, 78].
Se considera que el método PIC tiene un mayor potencial para una producción a gran escala que el PIT porque es experimentalmente más fácil agregar un componente a un gran volumen de emulsión que producir un cambio repentino de temperatura. Además, también se prefiere el método PIC cuando se trata de componentes con problemas de estabilidad de temperatura. Además, como se discutió anteriormente, este método no está restringido a los tensioactivos de tipo POE [10].
El sistema inicial, generalmente, es una microemulsión de agua en aceite, cuando se agrega agua progresivamente a la fase oleosa para formar una nanoemulsión O/W. A medida que aumenta la fracción de volumen de agua, el grado de hidratación de las cadenas POE del tensioactivo aumenta progresivamente, y la curvatura espontánea del tensioactivo cambia de negativo a cero. Alrededor de esta composición de transición, las propiedades tensioactivas hidrofílicas-lipofílicas están equilibradas, como a la temperatura HLB. En consecuencia, se forman estructuras bicontinuas o lamelares. Cuando se excede la composición de transición, las estructuras con curvatura cero se separan en pequeñas gotas directas (O/W) metaestables que aún contienen el aceite, y tienen un diámetro muy pequeño, lo que implica una curvatura positiva muy alta de la capa tensioactiva [10].
En cosmética, las nanoemulsiones se pueden obtener mediante procesos de alta o baja energía (respectivamente, entrada de energía externa e interna) [4].
4. Concepto de variable de formulación generalizada: SAD y HLD
Cuando se formula una emulsión se tiene una gran cantidad de variables a tomar en cuenta. Todas las propiedades de la emulsión, como por ejemplo, el tamaño de gota son influenciados por estas variables de formulación. Desde finales de los años 70 se logró desarrollar un concepto generalizado de formulación llamado desviación hidrofilica-lipofilica (SAD) o su expresión adimensional, desviación hidrofilica-lipofilica (HLD) [83]. Este concepto fue desarrollado en base al barrido unidimensional de sistemas surfactante-aceite-agua, donde se cambia una sola variable mientras que las otras se mantienen constantes. El concepto del HLD corrige de alguna manera y toma en cuenta las deficiencias de las teorías del HLB y el PIT, y las relaciones de Winsor. Es una ecuación que relaciona las variables más importantes de formulación de un sistema SOW, tales como la salinidad de la fase acuosa, la fase aceite, los alcoholes, la temperatura, presión y estructura del surfactante. Ha sido empleado para formular emulsiones y microemulsiones, para romper emulsiones, para caracterizar surfactantes, fases aceites, modular tamaño de gota en emulsiones, entre otras aplicaciones. La ecuación del HLD resulta en una suma algebraica de las relaciones energéticas de los diferentes variables de formulación, y se expresa según la ecuación (1).
(1)Esta expresión corresponde para los surfactantes no iónicos del tipo etoxilado. Donde S es la salinidad de la fase acuosa (S expresa el porcentaje en peso de cloruro de sodio), ACN es el número de átomos de carbono del alcano, como una medida de la lipofilicidad de la fase aceite, φ(A) es una función del tipo y concentración de alcohol y . la temperatura en °C. La constante k depende del grupo hidrofílico del surfactante y aT es un coeficiente de temperatura. Donde α depende del grupo lipofílico del grupo surfactante, EON es el número de grupo de óxidos de etileno por molécula surfactante y φ(A) depende de la concentración y naturaleza del alcohol. El parámetro b depende del tipo de electrolito; k y CT son constantes.
Una aplicación importante es el uso de este concepto para remediar suelos contaminados con petróleo. Pérez y colaboradores hicieron formulación que mostró el 90 % del desempeño en la solubilización de petróleo que estaba impregnado en un suelo de la zona de Yaracal, Edo. Falcón, Venezuela. El barrido de salinidad empleado fue calculado para tomar en cuenta la fase aceite a remover y así lograr minimizar el uso de solventes orgánicos [84].
5. Diversas nanotecnologías cosméticas
La piel humana es el órgano más grande del cuerpo, compuesto por distintas capas, proporcionando, como función principal, una protección al cuerpo de los daños ambientales [1].
La aplicación cosmética se produce principalmente en la superficie de la piel y, por tanto, la eficacia clínica del producto se basa a menudo en la difusión de las sustancias activas a través de la capa de la epidermis. La principal barrera para la penetración de sustancias a través de la piel es el estrato córneo, la capa más externa de la epidermis, que está en contacto directo con el medio ambiente [16].
Partiendo de la capa más externa de la piel, el estrato córneo (SC) de la epidermis está formado por un conjunto de células queratinizadas y anucleadas dispuestas planas unas contra otras. Estas células se recogen en 10 - 20 capas de células rodeadas de material lipídico extracelular. (Figura 8) Esto confiere a la superficie cutánea una importante característica estructural y organizativa, así como una propiedad hidrofóbica, siendo estos los factores clave para su función protectora y, también, para el control selectivo de la permeabilidad cutánea. Debido a estas características, algunas sustancias apenas penetran a través de la piel por difusión pasiva en cantidades suficientes para alcanzar niveles terapéuticos [16, 85, 86].

Hay varias vías posibles para que las moléculas penetren a través de la barrera cutánea y, en general, se consideran tres vías principales. En primer lugar, la vía intercelular más conocida se produce por difusión molecular a través de capas de lípidos entre la interfase de los corneocitos. En segundo lugar, la vía folicular con su densa red de capilares sanguíneos también actúa como un “reservorio” del componente activo. En tercer lugar, la vía transcelular que implica el transporte molecular directamente a través de los corneocitos y las capas de lípidos [4, 87, 86].
Debido a estas características, algunas sustancias apenas penetran a través de la piel por difusión pasiva en cantidades suficientes para alcanzar niveles terapéuticos. En este contexto, la nanotecnología es fundamental en el desarrollo de estrategias que permitirían una mayor penetración de activos por vía transepidérmica, como las nanoemulsiones [16].
5.1. Otras nanotecnologías aplicadas en cosméticos
Además de las nanoemulsiones, hay otro tipo de nanosistemas empleados en el campo cosmético, como nanoesferas, nanocápsulas, nanopartículas de lípidos sólidos (SLNP), liposomas, ciclodextrinas y micelas Cada uno de ellos presenta peculiaridades que son importantes conocer (Figura 9) [87, 88].
![Diagrama de algunas nanotecnologías aplicadas en cosméticos. Modificado de Dutta 2020 [89] y Dhawan 2020 [90]](../70767026003_gf11.png)
5.1.1. Ciclodextrinas
Las ciclodextrinas (CD), también conocidas como cicloamilosas, cicloamilosas, o γ-dextrina de Schardinger [91], son oligosacáridos cíclicos de origen natural, obtenidos de fuentes renovables, compuestos por unidades de D-(+)-glucopiranosa unidas por enlaces α-1,4 [16].
Existen naturalmente tres tipos de CD: α, β y γ donde las cavidades están formadas por 6, 7 y 8 unidades de glucopiranosa, respectivamente. Estos tipos de CD se obtienen a partir de la degradación enzimática del almidón por la acción de la glicosiltransferasa bacteriana [92, 93].
La forma es similar a los conos, donde la capa externa es hidrófila debido a los grupos hidroxílicos guiados en este sentido y la cavidad interna está estructurada por los enlaces carbonos y éteres de los residuos de glucosa que confieren una alta hidrofobicidad. Debido a esta conformación, los CD son solubles en agua y pueden unirse selectivamente a las diferentes sustancias activas. (Moléculas orgánicas, inorgánicas o biológicas) en la cavidad [94, 95].
Se han desarrollado formulaciones cosméticas basada en CD para el rejuveneciemiento de la piel y para aumentar la solubilidad y la actividad biológica de algunos compuestos. La formulación cosmética para el rejuvenecimiento de la piel basada en CD fue desarrollada por Gnain en 2008 [96]. La formulación puede albergar ácido ascórbico (vitamina C), que posee un activo antioxidante que protege la piel de los rayos ultravioleta.
En la formulación para aumentar la solubilidad y la actividad biológica se ha empleado retinol, ubiquinona y un agente que contiene nitrógeno (biotina o carnitina). Esta formulación es capaz de proteger la piel contra factores ambientales (extrínsecos), como la luz ultravioleta, el ozono, el humo del cigarrillo y otros, mejorando los daños y el envejecimiento de la piel. Otra ventaja es la reducción de líneas finas y arrugas, además de mejorar la elasticidad de la piel [16, 97].
Las micelas son “partículas” dispersas en agua, con un tamaño que varía de 10 a 100 nm y compuestas por fosfolípidos o preparadas a partir de polímeros sintéticos anfífilos. La parte hidrófila generalmente está compuesta por unidades de óxido de polietileno y su parte hidrófoba está compuesta por aminoácidos [98].
La forma esférica es el tipo de micela más utilizado. Sin embargo, son posibles varias morfologías dependiendo de las características del copolímero, por lo que puede ocurrir una transición entre micelas y vesículas [99, 100].
La estructura micelar permite la incorporación de sustancias de baja solubilidad en su núcleo hidrófobo, mejorando así su estabilidad y biodisponibilidad. Además, su capa externa tiene un papel importante en el comportamiento in vivo debido a su estabilización estérica y su capacidad para interactuar con las células. Las micelas poliméricas (son micelas formadas por surfactantes poliméricos), también facilitan el transporte de fármacos a través de la endocitosis [101].
Además, debido al pequeño tamaño, las micelas mejoran la penetración de las sustancias en las capas más profundas de la piel en los sistemas tópicos. Por tanto, se han introducido diferentes usos de las micelas en la aplicación cosmética. Algunas empresas reconocidas en el campo cosmético, como Garnier, L’Oreal, Avène, La Roche-Posay, entre otros han empleado esta tecnología en sus productos. Este producto, conocido como agua micelar, es empleado para eliminar el maquillaje y las impurezas de la piel [16].
5.1.2. Nanocapsulas
Las nanocápsulas son sistemas que pueden caracterizarse como nanovesículas porque están compuestas por una matriz polimérica, que forma su capa, y un núcleo aceitoso conectado con tensioactivos, que pueden ser más hidrófilos o más lipófilos. Las sustancias activas a incorporar en este sistema pueden ser sólidas o líquidas [102, 103, 104].
Los polímeros utilizados para la síntesis de nanocápsulas pueden ser de diversos orígenes, como natural, sintético o semisintético. Los más utilizados son el ácido poliláctico, ácido poliglicólico, PLGA (poli (ácido láctico-co-glicólico)), derivados de celulosa como hidroxipropilmetilcelulosa, quitosano, etc. [105, 106].
El tamaño obtenido durante la síntesis está directamente relacionado con el proceso y con los materiales utilizados, como el tipo de polímero, la cantidad de tensioactivo y el grado de hidro / lipofilicidad del mismo. Teniendo en cuenta el proceso, la interferencia debe atribuirse a la velocidad de agitación, el tipo de disolvente utilizado para solubilizar el polímero, etc [107, 108]. Las nanocápsulas son una especie de nanopartículas que se han aplicado en formulaciones cosméticas y dermocosméticas para actuar como reservorio de liberación prolongada de principios activos, protegerlos de procesos oxidativos, reducir olores desagradables, entre otros [103].
Se han desarrollado nanocápsulas como sistema de portador de vitamina A en formulación emulsionada con fines antienvejecimiento [109]. Estas nanocápsulas actuaron como un sistema reservorio liberando vitamina A con acción prolongada. También se desarrollaron una nanocápsula de γ-ácido poliglutámico / quitosanos que contenía esencia de jazmín [16]. Estas nanocapsulas mostraron una liberación sostenida de la esencia a temperatura ambiente.
5.1.3. Nanoesferas
Las nanoesferas son nanopartículas que, que tienen un tamaño inferior a 1 µm (1000 nm), son sistemas matriciales que están formados por una matriz polimérica, que puede contener un polímero o una mezcla del mismo para obtener diferentes propiedades, donde se incorpora o adsorbe la sustancia activa. Por tanto, no se emplea ningún componente oleoso en su composición [102, 110, 111].
Este tipo de nanopartículas se puede utilizar en la industria cosmética con el propósito de liberación prolongada de sustancias activas que brindan beneficios a la piel, como las vitaminas, o para prolongar la liberación de fragancias [112].
5.1.4. Nanopartículas de lípidos sólidos
Las nanopartículas lipídicas sólidas (NSL) son sistemas formados a partir de lípidos sólidos [103, 110], que presentan diámetros menores a 1 µm (1000 nm). Entre sus principales características se encuentran la estabilidad física, la protección de sustancias inestables, el control de la liberación de la sustancia activa y la capacidad de formación de película en la piel [88, 103, 113, 114]. Por tanto, los SLNP son una alternativa importante para mejorar la eficacia de los productos cosméticos.
Estos tipos de nanopartículas se utilizan para la incorporación de sustancias lipofílicas, incluso cuando se requiere un vehículo a base de agua. Esta aplicación también puede ser útil cuando el objetivo es incorporar filtros solares y químicos lábiles, aquellos que se disuelven por medios químicos o físicos al contacto con la piel, protegiéndolas de la degradación y favoreciendo la liberación controlada [88, 103, 110, 113, 115]. En comparación con sistemas como micelas y liposomas, los LNS presentan desventajas que pueden afectar la estabilidad del sistema, como la dificultad para mantener la encapsulación activa e inestabilidad física durante la administración en el período de almacenamiento [103].
5.1.5. Liposomas
Los liposomas y las nanocápsulas son sistemas de depósito. Son vesículas esféricas que pueden estar compuestas por una membrana fosfolipídica que tiene en su interior un núcleo acuoso [88, 103, 110, 114].
Los liposomas pueden contener una o más membranas; de esta manera se clasifican en unilaminares o multilaminares, con un diámetro de partícula de 20 a 3500 nm. Los liposomas con una sola membrana y con un pequeño compartimento acuoso se denominan pequeños liposomas unilaminares, y su diámetro varía entre 20 y 50 nm. Sin embargo, cuando la cavidad acuosa es grande, las vesículas obtenidas varían de 200 a 1000 nm. Los liposomas multilaminares son aquellos en los que existen varias bicapas lipídicas y espacios acuosos entre ellos; este hecho provoca el aumento de diámetro y la estructura varía de 400 a 3500 nm [116]. Se agrega colesterol a la preparación para aumentar la estabilidad y mantener la sustancia atrapada dentro de las vesículas durante un período de tiempo más prolongado.
Las aplicaciones de los liposomas se han expandido a campos variados, especialmente a los cosméticos, donde ha sido reconocido como uno de los sistemas de administración de cosméticos más utilizados. Su composición estructural permite el atrapamiento de los fármacos hidrófilos y lipófilos en el núcleo acuoso y la porción no polar de la membrana bicapa, respectivamente [90].
Los liposomas cosméticos se pueden dividir en diferentes formas dependiendo de la composición y el propósito de uso.
Transferosomas.
Son liposomas ultra deformables, biocompatibles, biodegradables y altamente eficientes. Su tamaño varía de 200 a 300 nm. Penetran a través de la piel por vías transcelulares e intracelulares. Compuestas por fosfolípidos, colesterol y un activador de bordes, es decir, tensioactivos como el colato de sodio [117].
Niosomas
También conocidas como vesículas de tensioactivos no iónicos. Están compuestas de colesterol y tensioactivos no iónicos, como Spans, Tweens y Brij generalmente pertenecen a la clase de alquil o dialquil poliglicerol éter. Según la estructura, pueden clasificarse además, como pequeñas vesículas unilamelares (25-500 nm de diámetro), vesículas multilaminares (0,5-10 µm de diámetro) o grandes vesículas unilamelares (0,1-1 µm de diámetro) [118].
Novasomas
Es una técnica de encapsulación innovadora con varias ventajas como alta capacidad de carga, estética mejorada, estabilidad, rendimiento, rentable, irritación reducida y fácil de escalar. Estos son liposomas modificados o una variación de niosomas. Son vesículas no fosfolipídicas. Su tamaño puede oscilar entre 0,1 y 1 µm [119].
Marinosomas
Elaborado con extractos de lípidos marinos. Estos extractos son ricos en ácidos grasos poliinsaturados omega-3 como el ácido eicosapentaenóico y el ácido docosahexaenóico. Las enzimas presentes en la epidermis metabolizan estos lípidos y los convierten en los metabolitos que tienen propiedades antiinflamatorias y antiproliferativas. Por tanto, los marinosomas se pueden utilizar para tratar problemas inflamatorios de la piel [117].
Fitosomas
Usados para mejorar la biodisponibilidad de los extractos herbales o de los componentes activos herbales aislados, se introdujo un nuevo concepto de fitosomas. Es una mezcla compleja de fosfolípidos generalmente lecitina y extractos activos naturales como flavonoides, glucósidos y terpenoides [120].
Nanosomas
Son pequeños liposomas con vesículas de rango nanométrico. Elaborado con fosfatidilcolina pura [121].
Glicerosomas
Estos son una forma modificada de liposomas que contienen glicerol además de fosfolípidos. Tienen un alto potencial para ser utilizados en cosméticos para proporcionar compuestos activos debido a su alto rendimiento, propiedades curativas y de embellecimiento [122].
Esfingosomas
Sistemas vesiculares lipídicos que consisten en un núcleo acuoso encerrado por una bicapa lipídica membrana. Los esfingolípidos sintéticos o naturales constituyen la bicapa lipídica [123].
6. Perspectivas a futuro
El consumo de mercado de productos cosméticos se está acelerando. OrbisResearch.com informó que el mercado mundial de productos cosméticos se valoró en $ 532,43 mil millones en 2017, y se espera que crezca a $ 805,61 mil millones para 2023 [124].
Hoy en día, existe una demanda significativa de productos innovadores en el mercado cosmético mundial. Los clientes buscan y prefieren los nuevos productos de alta eficacia y con la tendencia a lo natural, por ello los fabricantes de cosméticos y los productores de materias primas están cada vez más abiertos al uso de ingredientes naturales en los cosméticos y al uso de ingredientes y métodos de preparación respetuosos con el medio ambiente.
Se podrían obtener innumerables ventajas empleando nanosistemas en cosmética, incluida la preferencia de los consumidores potenciales, lo que sugiere que la nanotecnología es sinónimo de productos de buena calidad.
Esto puede verse como una oportunidad para nuevos desarrollos en las ciencias de sistemas dispersos y para llegar a otros mercados en un período en el que los consumidores con conciencia social son una nueva fuerza impulsora detrás del mercado de los cosméticos.
7. Referencias
[1] R. Ribeiro, S. Barreto, E. Ostrosky, P. Da Rocha-Filho, L. Veríssimo, and M. Ferrari, “Production and characterization of cosmetic nanoemulsions containing Opuntia ficusindica (L.) mill extract as moisturizing agent,” Molecules, vol. 20, no. 2, pp. 2492–2509, 2015.
[2] F. Silva, E. Ricci-Junior, and C. Mansur, “Nanoemulsions containing octyl methoxycinnamate and solid particles of TiO2: preparation, characterization and in vitro ealuation of the solar protection factor,” Drug Development and Industrial Pharmacy, vol. 39, pp. 1378–1388, 2013.
[3] S. Samson, M. Basri, H. Masoumi, E. Malek, and R. Karjiban, “An artificial neural network based analysis of factors controlling particle size in a virgin coconut oil-based nanoemulsión system containing copper peptide,” PLoS ONE, vol. 11, no. 7, pp. 1–15, 2016.
[4] O. Sonneville-Aubrun, M. Yukuyama, and A. Pizzino, Nanoemulsions: Formulation, Applications, and Characterization, 1st ed. Academic Press, 2018, ch. Application of Nanoemulsions in Cosmetics, pp. 345–375.
[5] M. El-Aasser, C. Lack, Y. Choi, T. Min, J. Vanderhoff, and F. Fowkes, “Interfacial aspects of miniemulsions and miniemulsion polymers,” Colloids and Surfaces, vol. 12, pp. 79–97, 1984.
[6] D. Qi, Z. Cao, and U. Ziener, “Recent advances in the preparation of hybrid nanoparticles in miniemulsions,” Advances in Colloid and Interface Science, vol. 211, pp. 47–62, 2014.
[7] S. Manickam, K. Sivakumar, and C. Heng Pang, “Investigations on the Generation of Oil-in-Water (O/W) Nanoemulsions through the Combination of Ultrasound and Microchannel,” Ultrasonics Sonochemistry, vol. 69, p. 105258, 2020.
[8] T. Forster, Surfactant Science Series. New York: Marcel Dekker, 1997, vol. 68, ch. Surfactants in cosmetics.
[9] A. Forgiarini, J. Esquena, C. González, and C. Solans, “Studies of the relation between phase behavior and emulsification methods with nanoemulsion formation,” in Trends in Colloid and Interface Science XIV. Progress in Colloid and Polymer Science, V. Buckin, Ed. Berlin, Heidelberg: Springer, 2000, vol. 115.
[10] C. Solans and I. Solé, “Nano-emulsions: Formation by low-energy methods,” Current Opinion in Colloid & Interface Science, vol. 17, no. 5, pp. 246–254, 2012.
[11] N. Anton, S. Akram, and T. Vandamme, Nanoemulsions: Formulation, Applications, and Characterization, 1st ed. Academic Press, 2018, ch. Transitional Nanoemulsification Methods, pp. 77–110.
[12] P. Taylor and R. H. Ottewill, “The formation and ageing rates of oil-in-water miniemulsions,” Colloids and Surfaces A: Physicochemical and Engineering Aspects, vol. 88, no. 2–3, pp. 303–316, 1994.
[13] P. Taylor, “Ostwald ripening in emulsions,” Advances in Colloid and Interface Science, vol. 75, no. 2, pp. 107–163, 1998.
[14] C. Solans and M. J. García-Celma, Cosmetic Science and Technology: Theoretical Principles and Applications, 1st ed. Amsterdam: Elsevier, 2017, ch. Microemulsiones y nano emulsiones para aplicaciones cosméticas, pp. 507–518.
[15] T. Tadros, Applied Surfactants: Principles and Applications. Weinheim, Germany: WILEY-VCH Verlag GmbH & Co, 2005.
[16] B. Chiari-Andréo, M. Almeida-Cincotto, J. Oshiro, C. Yamada-Taniguchi, L. Chiavacci, and V. L. Borges-Isaac, Nanoparticles in Pharmacotherapy, 1st ed. Elsevier, 2019, ch. Nanoparticles for cosmetic use and its application, pp. 113–146.
[17] K. Lintner, C. Mas-Chamberlin, P. Mondon, O. Peschard, and L. Lamy, “Cosmeceuticals and active ingredients,” Clinics in Dermatology, vol. 27, no. 5, pp. 461–468, 2009.
[18] Y. Maphosa and V. A. Jideani, Science and Technology Behind Nanoemulsions, 1st ed. London: IntechOpen, 2018, ch. Factors affecting the stability of emulsions stabilised by biopolymers, pp. 65–81.
[19] L. Lopes, “Overcoming the Cutaneous Barrier with Microemulsions,” Pharmaceutics, vol. 6, no. 1, pp. 52–77, 2014.
[20] A. Faria-Silva, A. Costa, A. Ascenso, H. Ribeiro, J. Marto, L. Gonçalves, and S. Simões, Nanocosmetics Fundamentals, Applications and Toxicity, 1st ed. Elsevier, 2020, ch. Nanoemulsions for cosmetic products, pp. 59–77.
[21] J. Schulman, W. Stoeckenius, and L. Prince, “Mechanism of Formation and Structure of Micro Emulsions by Electron Microscopy,” The Journal of Physical Chemistry, vol. 63, no. 10, pp. 1677–1680, 1959.
[22] N. Anton and T. Vandamme, “Nano-emulsions and micro-emulsions: clarifications of the critical differences,” Pharmaceutical Research, vol. 28, pp. 978–985, 2011.
[23] C. Nastiti, T. Ponto, E. Abd, J. Grice, H. Benson, and M. Roberts, “Topical Nano and Microemulsions for Skin Delivery,” Pharmaceutics, vol. 9, no. 4, pp. 1–25, 2017.
[24] G. Broze, Surfactant Science Series, 1st ed. New York: Marcel Dekker, 1999, ch. Handbook of Detergents - Part A: Properties, pp. 253–302.
[25] K. Bouchemal, S. Briançon, E. Perrier, and H. Fessi, “Nano-emulsion formulation using spontaneous emulsification: solvent, oil and surfactant optimization,” International Journal of Pharmaceutics, vol. 280, no. 1–2, pp. 241–251, 2004.
[26] S. Jafari, P. Paximada, I. Mandala, E. Assadpour, and M. Mehrnia, Nanoencapsulation Technologies for the Food and Nutraceutical Industries, 1st ed. Academic Press, 2017, ch. Encapsulation by nanoemulsiones, pp. 36–73.
[27] F. Villalobos-Castillejos, G. Granillo-Guerrero, D. Leyva-Daniel, L. Alamilla-Beltrán, G. Gutiérrez-López, A. Monroy- Villagrana, and S. Mahdi Jafari, Nanoemulsion. Formulation, Applications, and Characterization, 1st ed. Academic Press, 2018, ch. Fabrication of Nanoemulsions by Microfluidization, pp. 207–232.
[28] S. Gharibzahedi and S. Jafari, Nanoemulsions Formulation, Applications, and Characterization. Academic Press, 2018, ch. Fabrication of Nanoemulsions by Ultrasonication, pp. 233–285.
[29] L. Lee and I. Norton, “Comparing droplet breakup for a high-pressure valve homogenizer and a microfluidizer for the potential production of food-grade nanoemulsiones,” Journal of Food Engineering, vol. 114, no. 2, pp. 158–163, 2013.
[30] D. Oh, P. Balakrishnan, Y. Oh, D. Kim, C. Yong, and H. Choi, “Effect of process parameters on nanoemulsion droplet size and distribution in SPG membrane emulsification,” International Journal Pharmaceutics, vol. 404, no. 1–2, pp. 191–197, 2011.
[31] A. Ribier, J. Simonnet, and J. Michelet, “Dermatologic or Cosmetic Composition Made Up by an Oil-in-Water Emulsion Based on Oily Globules Coated With a Lamellar Liquid Crystal Coating,” French, Paris European Patent EP 0 641 557 B1, 1995.
[32] A. Ribier, J. Simonnet, and S. Legret, “Transparent Nanoemulsion Less Than 100 nm Based on Fluid Non-Ionic Amphiphilic Lipids and Use in Cosmetics or in Dermopharmaceuticals,” U.S. US Patent 5,753,241, 1998.
[33] R. Knapik, M. Rocha dos Santos, C. Praes, and L. Lima de Oliveira, “Characterizing nanoemulsions prepared by high pressure homogenization under various emulsifying conditions,” Cosmetics Toiletries, vol. 125, pp. 72–78, 2010.
[34] T. Okamoto, S. Tomomasa, and H. Nakajima, “Preparation and Thermal Properties of Fatty Alcohol/Surfactant/Oil/Water Nanoemulsions and Their Cosmetic Applications,” Journal of Oleo Science, vol. 65, no. 1, pp. 27–36, 2016.
[35] A. Gupta, H. Eral, T. Hatton, and P. Doyle, “Nanoemulsions: formation, properties and applications,” Soft Matter, vol. 12, no. 11, pp. 2826–2841, 2016.
[36] J. Floury, J. Bellettre, J. Legrand, and A. Desrumaux, “Analysis of a new type of high pressure homogeniser. A study of the flow pattern,” Chemical Engineering Science, vol. 59, no. 4, pp. 843–853, 2004.
[37] T. Mason, S. Graves, J. Wilking, and M. Lin, “Extreme emulsification: formation and structure of nanoemulsiones,” Condensed Matter Physics, vol. 9, no. 1, pp. 193–199, 2006.
[38] K. Meleson, S. Graves, and T. Mason, “Formation of Concentrated Nanoemulsions by Extreme Shear,” Soft Materials, vol. 2, no. 2–3, pp. 109–123, 2004.
[39] T. Delmas, H. Piraux, A. C. Couffin, I. Texier, F. Vinet, P. Poulin, M. E. Cates, and J. Bibette, “How To Prepare and Stabilize Very Small Nanoemulsions,” Langmuir, vol. 27, no. 5, pp. 1683–1692, 2011.
[40] J. Edelson and R. Nicolosi, “Botulinum Nanoemulsions,” U.S. U.S. Patent US 2014/0 099 342 A1, 2016.
[41] J. Edelson and T. Kotyla, “Peptide nanoparticles and uses therefor,” U.S. U.S. Patent US 9.486.409 B2, 2016.
[42] S. Barreto, M. Maia, A. Benicá, H. de Assis, V. Leite-Silva, P. da Rocha-Filho, and M. Ferrari, “Evaluation of in vitro and in vivo safety of the by-product of Agave sisalana as a new cosmetic raw material: Development and clinical evaluation of a nanoemulsion to improve skin moisturizing,” Industrial Crops and Products, vol. 108, pp. 470–479, 2017.
[43] E. El-Leithy, A. Makky, A. Khattab, and D. Hussein, “Optimization of nutraceutical coenzyme Q10 nanoemulsion with improved skin permeability and anti-wrinkle efficiency,” Drug Development and Industrial Pharmacy, vol. 44, no. 2, pp. 316–328, 2017.
[44] M. Mansur, C. Campos, A. Vermelho, J. Nobrega, L. da Cunha Boldrini, L. Balottin, and E. dos Santos, “Photoprotective nanoemulsions containing microbial carotenoids and buriti oil: Efficacy and safety study,” Arabian Journal of Chemistry, vol. 13, no. 8, pp. 6741–6752, 2020.
[45] F. Nigro, C. Cerqueir, A. Rossi, V. Cardoso, A. Vermelho, E. Ricci-Júnior, and C. Mansur, “Development, characterization and in vitro toxicity evaluation of nanoemulsion-loaded hydrogel based on copaiba oil and coenzyme Q10,” Colloids and Surfaces A: Physicochemical and Engineering Aspects, vol. 585, p. 124132, 2019.
[46] K. Tou, K. Rehman, W. Ishak, and M. Zulfakar, “Influence of omega fatty acids on skin permeation of a coenzyme Q10 nanoemulsion cream formulation: characterization, in silico and ex vivo determination,” Drug Development and Industrial Pharmacy, vol. 45, pp. 1451–1458, 2019.
[47] B. Brownlow, V. Nagaraj, A. Nayel, M. Joshi, and T. Elbayoumi, “Development and In Vitro Evaluation of Vitamin E-Enriched Nanoemulsion Vehicles Loaded with Genistein for Chemoprevention Against UVB-Induced Skin,” Damage Journal of Pharmaceutical Sciences, vol. 104, pp. 3510–3523, 2015.
[48] I. Solè, A. Maestro, C. González, C. Solans, and J. Gutiérrez, “Optimization of nano-emulsion preparation by low-energy methods in an ionic surfactant system,” Langmuir, vol. 22, no. 20, pp. 8326–8332, 2006.
[49] Y. Yang, C. Marshall-Breton, M. Leser, A. Sher, and D. McClements, “Fabrication of ultrafine edible emulsions: Comparison of high-energy and low-energy homogenization methods,” Food Hydrocolloids, vol. 29, no. 2, pp. 398–406, 2012.
[50] N. Anton and T. Vandamme, “The universality of low-energy nano-emulsification,” International Journal of Pharmaceutics, vol. 377, no. 1–2, pp. 142–147, 2009.
[51] J. López-Montilla, P. Herrera-Morales, S. Pandey, and D. Shah, “Spontaneous Emulsification: Mechanisms, Physicochemical Aspects, Modeling, and Applications,” Journal of Dispersion Science and Technology, vol. 23, no. 1–3, pp. 219–268, 2002.
[52] C. Miller, “Spontaneous Emulsification Produced by Diffusion – A Review,” Colloids and Surfaces, vol. 29, no. 1, pp. 89–102, 1988.
[53] I. Solè, A. Maestro, C. González, C. Solans, and J. Gutiérrez, “Influence of the phase behavior on the properties of ionic nanoemulsions prepared by the phase inversion composition method,” Journal of Colloid and Interface Science, vol. 327, no. 2, pp. 433–439, 2008.
[54] R. Pasquali, C. Bregni, and R. Serrao, “Características e identificación de los cristales líquidos liotrópicos,” Revista Mexicana de Ciencias Farmacéuticas, vol. 37, no. 2, pp. 38–53, 2006.
[55] I. Solè, C. Solans, A. Maestro, C. González, and J. Gutiérrez, “Study of nano-emulsion formation by dilution of microemulsions,” Journal of Colloid and Interface Science, vol. 376, no. 1, pp. 133–139, 2012.
[56] J. Pereira, A. García, S. Ceballos, J. López-Montilla, A. Muñoz, and V. Coronel, “Una metodología alternativa para evaluar la producción espontanea de emulsiones,” Faraute, vol. 7, no. 2, pp. 38–42, 2012.
[57] D. Morales, J. Gutiérrez, M. García-Celma, and Y. Solans, “A Study of the Relation between Bicontinuous Microemulsions and Oil/Water Nano-emulsion Formation,” Langmuir, vol. 19, no. 18, pp. 7196–7200, 2003.
[58] A. Forgiarini, J. Esquena, C. González, and C. Solans, “Formation of Nano-emulsions by Low-Energy Emulsification Methods at Constant Temperature,” Langmuir, vol. 17, no. 7, pp. 2076–2083, 2001.
[59] L. Scriven, “Equilibrium bicontinuous structure,” Nature, vol. 263, pp. 123–125, 1976.
[60] K. Shinoda and H. Saito, “The effect of temperature on the phase equilibria and the types of dispersions of the ternary system composed of water, cyclohexane, and nonionic surfactant,” Journal of Colloid and Interface Science, vol. 26, no. 1, pp. 70–74, 1968.
[61] N. Anton, J. Benoit, and P. Saulnier, “Design and production of nanoparticles formulated from nano-emulsion templates–A review,” Journal of Controlled Release, vol. 128, no. 3, pp. 185–199, 2008.
[62] T. Forster, W. von Rybinski, and A. Wadle, “Influence of microemulsion phases on the preparation of fine-disperse emulsions,” Advances in Colloid and Interface Science, vol. 58, no. 2–3, pp. 119–149, 1995.
[63] J. L. Salager, A. Forgiarini, L. Márquez, A. Peña, A. Pizzino, M. Rodriguez, and M. Rondón-González, “Using emulsion inversion in industrial processes,” Advances in Colloid and Interface Science, vol. 108–109, pp. 259–272, 2004.
[64] P. Izquierdo, J. Esquena, T. Tadros, J. Dederen, J. Feng, M. García-Delma, N. Azemar, and C. Solans, “Phase behavior and nano-emulsion formation by the phase inversion temperature method,” Langmuir, vol. 20, no. 16, pp. 6594–6598, 2004.
[65] C. Solans, P. Izquierdo, J. Nolla, N. Azemar, and M. J. Garcia-Celma, “Nanoemulsions,” Current Opinion in Colloid & Interface Science, vol. 10, no. 3–4, pp. 102–110, 2005.
[66] Z. Yang, W. Wang, G. Wang, and X. Tai, “Optimization of low-energy Pickering nanoemulsion stabilized with montmorillonite and nonionic surfactants,” Colloids and Surfaces A: Physicochemical and Engineering Aspects, vol. 585, p. 124098, 2019.
[67] N. Zadymova, M. Tao, and M. Poteshnova, “Tween 85 Oil-in-Water Nanoemulsions with Incorporated Chlorhexidine Base,” Colloid Journal, vol. 80, pp. 158–166, 2018.
[68] Q. Meng, P. Long, J. Zhou, C. Ho, X. Zou, B. Chen, and L. Zhang, “Improved absorption of β-carotene by encapsulation in an oil-in-water nanoemulsion containing tea polyphenols in the aqueous phase,” Food Research International, vol. 116, pp. 731–736, 2019.
[69] Y. J. Jo, H. Karbstein, and U. van der Schaaf, “Collagen peptide-loaded W1/O single emulsions and W1/O/W2 double emulsions: Influence of collagen peptide and salt concentration, dispersed phase fraction and type of hydrophilic emulsifier on droplet stability and encapsulation efficiency,” Food & Function, vol. 10, no. 6, pp. 3312–3323, 2019.
[70] R. Harwansh, P. Mukherjee, A. Kar, S. Bahadur, N. Al-Dhabi, and V. Duraipandiyan, “Enhancement of photoprotection potential of catechin loaded nanoemulsion gel against UVA induced oxidative stress,” Journal of Photochemistry and Photobiology B: Biology, vol. 160, pp. 318–329, 2016.
[71] W. C. Lu, D. W. Huang, C. C. Wang, C. H. Yeh, J. C. Tsai, Y. T. Huang, and P. H. Li, “Preparation, characterization, and antimicrobial activity of nanoemulsions incorporating citral essential oil,” Journal of Food and Drug Analysis, vol. 26, no. 1, pp. 82–89, 2018.
[72] A. Sahu, J. Mishra, and A. Mishra, “Introducing Tween-Curcumin Niosomes: Preparation, Characterization and Microenvironment study,” Soft Matter, vol. 16, no. 7, pp. 1779–1791, 2020.
[73] A. Kakuste, M. Borse, and G. Sonawane, “Polyacrylic acid and polyacrylamide as cloud point modifier for Brij-30 in alcoholic aqueous solution,” Journal of Dispersion Science and Technology, vol. 38, no. 7, pp. 334–338, 2017.
[74] R. Goldstein, “On the theory of lower critical solution points in hydrogen-bonded mixtures,” The Journal of Chemical Physics, vol. 80, no. 10, pp. 5340–5341, 1984.
[75] S. Wartewig, I. Alig, W. D. Hergeth, J. Lange, I. Lochmann, and T. Scherzed, “Spectroscopic investigations on aqueous solution of poly(oxyethylene)-poly(oxypropylene)-poly(oxyethylene) triblockcopolymers,” Journal of Molecular Structure, vol. 219, pp. 365–370, 1990.
[76] G. Karlstroem, “A new model for upper and lower critical solution temperatures in poly (ethylene oxide) solutions,” The Journal of Physical Chemistry, vol. 89, pp. 4962–4964, 1985.
[77] A. Machado, D. Lundberg, A. Ribeiro, F. Veiga, B. Lindman, M. Miguel, and U. Olsson, “Preparation of Calcium Alginate Nanoparticles Using Water-in-Oil (W/O) Nanoemulsions,” Langmuir, vol. 28, no. 9, pp. 4131–4141, 2012.
[78] N. Sadurní, C. Solans, N. Azemar, and M. García-Celma, “Studies on the formation of O/W nano-emulsions, by low-energy emulsification methods, suitable for pharmaceutical applications,” European Journal of Pharmaceutical Sciences, vol. 26, no. 5, pp. 438–445, 2005.
[79] R. Su, L. Yang, Y. Wang, S. Yu, Y. Guo, J. Deng, and X. Jin, “Formulation, development, and optimization of a novel octyldodecanol-based nanoemulsion for transdermal delivery of ceramide IIIB,” International Journal of Nanomedicine, vol. 12, pp. 5203–5221, 2017.
[80] P. Rocha-Filho, M. Ferrari, M. Maruno, O. Souza, and V. Gumiero, “In Vitro and In Vivo Evaluation of Nanoemulsion Containing Vegetable Extracts,” Cosmetics, vol. 4, no. 32, 2017.
[81] M. Dario, M. Santos, A. Viana, E. Arêas, N. Bou-Chacra, M. Oliveira, and M. Velasco, “A high loaded cationic nanoemulsion for quercetin delivery obtained by sub-PIT method,” Colloids and Surfaces A: Physicochemical and Engineering Aspects, vol. 489, pp. 256–264, 2016.
[82] T. Pereira, C. Guerreiro, M. Maruno, M. Ferrari, and P. Rocha-Filho, “Exotic Vegetable Oils for Cosmetic O/W Nanoemulsions: In Vivo Evaluation,” Molecules, vol. 21, no. 3, p. 248, 2016.
[83] J. Salager, R. Antón, J. Bullón, A. Forgiarini, and R. Marquez, “How to Use the Normalized Hydrophilic-Lipophilic Deviation (HLDN) Concept for the Formulation of Equilibrated and Emulsified Surfactant-Oil-Water Systems for Cosmetics and Pharmaceutical Products,” Cosmetics, vol. 7, no. 3, p. 57, 2020.
[84] V. Perez, M. Sanchez, V. Coronel, J. Pereira, and R. Alvarez, “Uso de microemulsiones en la limpieza de suelos contaminados con crudo,” Revista Ingeniería UC, vol. 19, no. 2, pp. 61–68, 2012.
[85] T. Hirao, Cosmetic Science and Technology: Theoretical Principles and Applications, 1st ed. Elsevier, 2017, ch. Structure and Function of Skin From a Cosmetic Aspect, pp. 673–683.
[86] A. Machado, P. Lopes, C. Raffier, I. Haridass, M. Roberts, J. Grice, and V. Leite-Silva, Cosmetic Science and Technology: Theoretical Principles and Applications, 1st ed. Elsevier, 2017, ch. Skin Penetration, pp. 741–755.
[87] D. Morrow, P. McCarron, A. Woolfson, and R. Donnelly, “Innovative strategies for enhancing topical and transdermal drug delivery,” The Open Drug Delivery Journal, vol. 1, pp. 36–59, 2007.
[88] A. Mihranyan, N. Ferraz, and M. Stromme, “Current status and future prospects of nanotechnology in cosmetics,” Progress in Materials Science, vol. 57, no. 5, pp. 875–910, 2012.
[89] S. Dutta, S. Sivakamasundari, J. Moses, and A. Chinnaswamy, Nanoengineering in the Beverage Industry, 1st ed. Elsevier, 2020, ch. Nanoencapsulation of Green Tea Polyphenols, pp. 229–261.
[90] S. Dhawan, P. Sharma, and S. Nanda, Nanocosmetics Fundamentals, Applications and Toxicity, 1st ed. ElSevier, 2020, ch. Cosmetic nanoformulations and their intended use, pp. 141–169.
[91] S. Ghosh, A. Badruddoza, M. Uddin, and K. Hidajat, “Adsorption of chiral aromatic amino acids onto carboxymethyl- β-cyclodextrin bonded Fe3O4/SiO2 core–shell nanoparticles,” Journal of Colloid and Interface Science, vol. 354, no. 2, pp. 483–492, 2011.
[92] L. Barreto and M. Cunha, “Cyclodextrin: important pharmaceutical functional excipient,” Latin American Journal of Pharmacy, vol. 27, no. 4, pp. 629–636, 2008.
[93] A. Rasheed, C. Kumar, and V. Sravanthi, “Cyclodextrins as drug carrier molecule: a review,” Scientia Pharmaceutica, vol. 76, no. 4, pp. 567–598, 2008.
[94] D. Alvarez-Dorta, E. León, A. Kennedy, A. Martín, I. Pérez-Martín, and E. Suárez, “Easy Access to Modified Cyclodextrins by an Intramolecular Radical Approach,” Angewandte Chemie International Edition, vol. 54, pp. 3674–3678, 2015.
[95] Y. Guo, S. Guo, J. Li, E. Wang, and S. Dong, “Cyclodextrin–graphene hybrid nanosheets as enhanced sensing platform for ultrasensitive determination of carbendazim,” Talanta, vol. 84, no. 1, pp. 60–64, 2011.
[96] J. Gnaim, “Cyclodextrin containing polymers and uses thereof,” U.S. Patent US20 080 275 139A1, 2008.
[97] H. D. Max, T. D. Raschke, and R. D. Schimpf, “Skin care compositions with retinoids, ubiquinones, and biotin or carnitine,” German European Patent EP1 449 514A1, 2004.
[98] M. Adams, A. Lavasanifar, and G. Kwon, “Amphiphilic block copolymers for drug delivery,” Journal of Pharmaceutical Sciences, vol. 92, no. 7, pp. 1343–1355, 2003.
[99] A. Choucair and A. Eisenberg, “Control of amphiphilic block copolymer morphologies using solution conditions,” The European Physical Journal E, vol. 10, pp. 37–44, 2003.
[100] L. Zhang, K. Yu, and A. Eisenberg, “Ion-Induced Morphological Changes in “Crew-Cut” Aggregates of Amphiphilic Block Copolymers,” Science, vol. 272, no. 5269, pp. 1777–1779, 1996.
[101] K. Yoncheva, P. Calleja, M. Agüeros, P. Petrov, I. Miladinova, C. Tsvetanov, and J. Irache, “Stabilized micelles as delivery vehicles for paclitaxel,” International Journal of Pharmaceutics, vol. 436, no. 1-2, pp. 258–264, 2012.
[102] A. Bizerra and V. Silva, “Sistemas de Liberação Controlada: Mecanismos e aplicações,” Revista Saúde e Medio Ambiente–RESMA, vol. 3, no. 2, pp. 1–12, 2016.
[103] R. Daudt, J. Emanuelli, I. Kulkap-Guerreiro, A. Pohlmann, and S. Guterres, “A nanotecnologia como estratégia para o desenvolvimento de cosméticos,” Ciência e Cultura, vol. 65, no. 3, p. 2831, 2013.
[104] J. Devissaguet and H. Fessi, “Process for the preparation of dispersible colloidal system of a substance in the form of nanocapsules,” France Patent Application Patent US5 049 322A, 1991.
[105] O. Pillai and R. Panchagnula, “Polymers in drug delivery,” Current Opinion in Chemical Biology, vol. 5, no. 4, pp.447–451, 2001.
[106] S. Schaffazick, S. Guterres, L. Freitas, and A. Pohlmann, “Caracterización y estabilidad físico-química de sistemas poliméricos nanoparticulados para administración de fármacos,” Química Nova, vol. 26, no. 5, pp. 726–737, 2003.
[107] D. Moinard-Chécot, Y. Chevalier, S. Briançon, L. Beney, and H. Fessi, “Mechanism of nanocapsules formation by the emulsion–diffusion process,” Journal of Colloid and Interface Science, vol. 317, no. 2, pp. 458–468, 2008.
[108] A. Esmaeili, B. Saremnia, A. Koohian, and S. Rezazadeh, “Mechanism of nanocapsules of Matricaria recutita L. extract formation by the emulsion diffusion process,” Superlattices and Microstructures, vol. 50, no. 4, pp. 340–349, 2011.
[109] I. Kaur and I. Agrawal, “Nanotechnology: A New Paradigm in Cosmeceuticals,” Recent Patents on Drug Delivery & Formulation, vol. 1, no. 2, pp. 171–182, 2007.
[110] P. Dos Santos, P. Miyashiro, and V. Da silva, “A Nanotecnologia Em Formulacão Cosmética,” Master’s thesis, Centro Universitário das Faculdades Metropolitanas Unidas, 2015.
[111] P. Morganti, “Use and potential of nanotechnology in cosmetic dermatology,” Clinical, Cosmetic and Investigational Dermatology, vol. 3, pp. 5–13, 2010.
[112] T. Tree-Udom, S. Wanichwecharungruang, J. Seemork, and S. Arayachukeat, “Fragrant chitosan nanospheres: controlled release systems with physical and chemical barriers,” Carbohydrate Polymers, vol. 86, no. 4, pp. 1602–1609, 2011.
[113] A. Garud, S. Deepti, and N. Garud, “Solid lipid nanoparticles (SLN): method, characterization and applications,” International Current Pharmaceutical Journal, vol. 1, no. 11, pp. 384–393, 2012.
[114] I. Sarathchandiran, “A review on nanotechnology in solid lipid nanoparticles,” International Journal of Pharmaceutical Development & Technology, vol. 2, no. 1, pp. 45–61, 2012.
[115] X. Wu and R. H. Guy, “Applications of nanoparticles in topical drug delivery and in cosmetics,” Journal of Drug Delivery Science and Technology, vol. 19, no. 6, pp. 371–384, 2009.
[116] M. R. Mozafari, “Liposomes: an overview of manufacturing techniques,” Cellular & Molecular Biology Letters, vol. 10, no. 4, pp. 711–719, 2005.
[117] T. Reva, A. Vaseem, S. Satyaprakash, and J. Md.Khalid, “Liposomes: the novel approach in cosmaceuticals,” World Journal of Pharmacy and Pharmaceutical Sciences, vol. 4, no. 6, pp. 1616–1640, 2015.
[118] S. Kurapati, “The current role of nanomaterials in cosmetics,” Journal of Chemical and Pharmaceutical Research, vol. 8, no. 5, pp. 906–914, 2016.
[119] A. Singh, R. Malviya, and P. Sharma, “Novasome—a breakthrough in pharmaceutical technology a review article,” Advances in Biological Research, vol. 5, no. 4, pp. 184–189, 2011.
[120] N. Karimi, B. Ghanbarzadeh, H. Hamishehkar, F. Keyvani, A. Pezeshki, and M. Gholian, “Phytosome and liposome: the beneficial encapsulation systems in drug delivery and food application,” Journal Applied Food Biotechnology, vol. 2, no. 3, pp. 17–26, 2015.
[121] M. Nounou, L. El-Khordagui, N. Khalafallah, and S. Khalil, “Liposomal Formulation for Dermal and Transdermal Drug Delivery: Past, Present and Future,” Recent Patents on Drug Delivery & Formulation, vol. 2, no. 1, pp. 9–18, 2008.
[122] P. Ganesan and D. Choi, “Current application of phytocompound-based nanocosmeceuticals for beauty and skin therapy,” International Journal of Nanomedicine, vol. 11, pp. 1987–2007, 2016.
[123] K. Fathima, N. Antony, A. Paul, and S. Nair, “Sphingosome vescicular system,” International Journal of Pharmaceutical Sciences Review and Research, vol. 41, no. 1, pp. 208–213, 2016.
[124] T. Nguyen and S. Rajendran, Nanocosmetics Fundamentals, Applications and Toxicity, 1st ed. Elsevier, 2020, ch. Current commercial nanocosmetic products, pp. 445–453.
Enlace alternativo
http://servicio.bc.uc.edu.ve/ingenieria/revista/v27n3/art01.pdf (pdf)
https://www.revistas.uc.edu.ve/index.php/revinguc/article/view/147 (html)