Modelo de estimación del coeficiente de rugosidad de Manning en función de la granulometría en el río Santa, sector Recuay–Carhuaz, Áncash, Perú
Estimation model of the Manning roughness coefficient as a function of granulometry in the Santa River, Recuay–Carhuaz sector, Áncash, Perú
Modelo de estimación del coeficiente de rugosidad de Manning en función de la granulometría en el río Santa, sector Recuay–Carhuaz, Áncash, Perú
Revista INGENIERÍA UC, vol. 27, núm. 3, pp. 328-342, 2020
Universidad de Carabobo
Recepción: 26 Agosto 2020
Aprobación: 27 Octubre 2020
Resumen: Dado a que la ecuación de Manning es uno de los métodos de aplicación más utilizados para determinar el caudal en ríos no aforados, se llevó a cabo una investigación para establecer un modelo para determinar el coeficiente de rugosidad (n), en un sector montañoso del río Santa en el departamento de Ancash, Perú. Lo novedoso del modelo está en su simplicidad ya que solo usa como variable de entrada el diámetro efectivo (di), del material de río obtenido del análisis de granulometría. Se utilizaron tres procedimientos de estimación, medición de velocidades, ecuación de Manning y modelo de Cowan y para el análisis, modelos de correlación y regresión lineal y no lineal; la bondad de ajuste se efectuó con la prueba t de Student. Los resultados se validaron con mediciones de campo de las características hidráulicas del tramo en ocho puntos de muestreo y análisis granulométrico de las muestras de material de fondo. El modelo de mejor ajuste para la estimación del coeficiente de rugosidad de Manning es el potencial, siendo su expresión matemática n = 0,0429(d10 )0,1371 con un coeficiente de determinación de R2 = 0,956.
Palabras clave: coeficiente de rugosidad, diámetro efectivo, granulometría, Ecuación de Manning, hidráulica fluvial.
Abstract: Given that the Manning equation is one of the most used application methods to determine the flow in ungauged rivers, an investigation was carried out to establish a model to determine the Roughness coefficcient (n), in a mountainous sector of the river Santa in the department of Ancash, Peru. The novelty of the model is its simplicity since it only uses the effective diameter (di), of the river material obtained from the granulometric analysis as an input variable. Three estimation procedures were used, speed measurement, Manning’s equation and Cowan’s model, and for the analysis, linear and non-linear correlation and regression models; goodness of fit was performed by the Student test, t. The results were validated with field measurements of the hydraulic characteristics of the section at eight sampling points and granulometric analysis of the bed material samples. The best fit model for estimating the Manning roughness coefficient is the potential model, being its mathematical expression n = 0,0429(d10 )0,1371 with a determination coefficient of R2 = 0,956.
Keywords: roughness coefficient, effective diameter, granulometry, Manning’s equation, fluvial hydraulics.
1. Introducción
En los países en vías de desarrollo, como es el caso del Perú, las estaciones de monitoreo de las variables hidrometeorológicas están en un estado incipiente de desarrollo por lo que no siempre se disponen de registros de caudales; sin embargo, esa información es necesaria para el estudio del régimen hidrométrico y el diseño de las estructuras hidráulicas para el aprovechamiento del agua.
Bajo las condiciones expuestas se suelen usar procedimientos indirectos desarrollados para zonas carentes de información. La ecuación de Manning permite determinar el caudal en ríos no aforados en base a los parámetros hidráulicos radio hidráulico, pendiente hidráulica y área hidráulica; siendo la dificultad la determinación del coeficiente de rugosidad n de Manning, el mismo que expresa la resistencia del cauce al escurrimiento del flujo.
En el Perú no existen investigaciones para la estimación directa de n en los ríos; para los estudios hidráulicos se suele adoptar valores establecidos en condiciones similares en otros países con la desventaja que las similitudes son relativas, arrojando resultados generales de rangos muy imprecisos, especialmente para ríos de características muy particulares, como es el caso de los ríos andinos del país, típicos ríos de montaña con presencia de sedimentos gruesos y pendientes elevadas.
Por lo expuesto, se ha llevado a cabo la presente investigación con el objeto de establecer un modelo de estimación del coeficiente de rugosidad de Manning en función de la granulometría en sitios no aforados del río Santa en el sector montañoso Recuay–Carhuaz. Lo novedoso del modelo está en su sencillez ya que facilita la determinación de dicho coeficiente solo en función de la granulometría del cauce.
2. Revisión de la literatura
Existen muchos estudios realizados para obtener el coeficiente de rugosidad que aplican una serie de métodos y/o fórmulas empíricas.
Investigaciones como la de: Osío [1] indica que se estimó el coeficiente de rugosidad de Manning utilizando las funciones de distribución de velocidades mediante aforo y que el valor de n puede determinarse en función del diámetro medio de las partículas del material de cauce, Fernández [2] menciona que se calcula el n de Manning por diferentes métodos plasmados en la literatura y se realiza un análisis de los mismos, Burgos [3] indica que se logró obtener el n de Manning mediante una ecuación potencial que está en función del diámetro representativo del lecho de río y Pastora [4] desarrolla la evaluación de la ecuación de Manning en un flujo de corriente natural mediante registro de aforos y determina un coeficiente promedio para época seca y lluviosa. Existen otros métodos de estimación, Colmenárez [5], usa modelos digitales de rugosidad topográfica, obtenidos a partir de modelos LIDAR y GPS, y Guzmán [6] utiliza valores de caudales que se comparan de manera espacial y temporal. En todos ellos los valores obtenidos se adaptan a las condiciones en las que se llevó a cabo la investigación, y al criterio del investigador.
Para el estudio de la estimación del coeficiente de rugosidad de Manning cuyos resultados se presentan aquí, se usaron cuatro procedimientos hidráulicos generales: medición de la velocidad; medición de la rugosidad; procedimiento de la fórmula de Manning; y Cowan; con el objeto de entender mejor el proceso seguido, a continuación, se describe la base teórica utilizada en la investigación.
2.1. Distribución de velocidades en flujo turbulento
Para la aplicación de los métodos de medición de velocidad y medición de rugosidad, Osío [1] indica que para Prandtl, la capa límite turbulenta en el sentido de que la longitud de mezcla (l), es proporcional a la profundidad del flujo (y), la fuerza cortante (τ), es constante e igual al esfuerzo cortante unitario (τ0), según se muestran en las ecuaciones (1) y (2).
(1)
(2)Donde:
Vf : velocidad de fricción, [ m/s ]
g: gravedad, [m/s2 ]
R: radio hidráulico, [ m ]
S: pendiente hidráulica, [ m/m ]
τ0: fricción unitaria en la capa límite, [ kg·m/s ]
y0: altura de rugosidad igual a k/30 para superficies rugosas, [ m ]
k : altura de rugosidad, [ m ]
ρ: densidad del fluido, [ kg/m3]
V : velocidad del agua, [ m/s ]
υ: viscosidad cinemática, [ m2/s]
y: profundidad de sección [ m ]
De acuerdo con Chow [7], la ecuación (2) se conoce como la Ley Universal de Distribución de Velocidades de Prandtl – Von Karman, que viene a ser una función logarítmica.
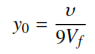
Para superficies lisas, la constante y0 queda expresada por la ecuación (3).
(3)De donde se obtiene la ecuación (4).
(4)En superficies rugosas, se encuentra que la constante y0 depende de la altura de la rugosidad, ésta se indica en la ecuación (5).
(5)donde, la constante m es igual aproximadamente a 1/30. Sustituyendo y simplificando para superficies rugosas, se obtiene la ecuación (6).
(6)dada como la distribución de velocidades en flujos turbulentos sobre superficies rugosas. La altura de rugosidad, k , corresponde al diámetro medio de los granos de arena utilizado por Nikuradse, Chow [7].
Mediante el desarrollo de ecuaciones teóricas para flujo uniforme French [8], al comparar la ecuación de Chezy con la ecuación de Manning se obtiene la ecuación (7).
(7)Además, Rocha [9], indica que para conductos rugosos se tiene la ecuación (8).
(8)donde, C es el coeficiente de Chezy, m1/2/s.
Siguiendo el análisis de Chow [7] para la interpretación teórica del coeficiente de rugosidad, la relación entre el n de Manning y el valor teórico de la rugosidad del canal para superficies rugosas, al eliminar el valor de C de Chezy de las ecuaciones (7) y (8), se obtiene el n de Manning descrita por la ecuación (9).
(9)donde:
(10)De las ecuaciones (9) y (10), se deduce que el valor de k está dado por la ecuación (11).
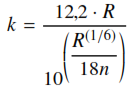
(11)donde, k es conocido como la altura efectiva de las irregularidades formados por los elementos de rugosidad.
Las investigaciones realizadas sobre el tema indican que para un amplio rango de R/k , la variación en φ (R/k ) es pequeña, y ésta, puede suponerse constante e igual a un valor promedio. Es así que, la ecuación (9) queda determinado en función de la potencia de la altura de rugosidad (k ), [7].
Según la distribución teórica de velocidades en canales rugosos, se ha desarrollado los métodos de medición de velocidades y medición de rugosidad, [7]. Asimismo, se pueden usar dos métodos adicionales que se describen a continuación para obtener n de Manning.
2.2. Método de medición de la velocidad
De la ecuación (6), el coeficiente n de Manning puede determinarse por medio de mediciones de velocidades a 2/10 de y, desde el espejo de agua (V0,2), dado por la ecuación (12).
(12)Asimismo, a 8/10 de y, (V0,8), expresado por la ecuación (13).
(13)Eliminando V en las ecuaciones (12) y (13), sustituyendo x = V0,2 / V0,8, simplificando y resolviendo se obtiene la ecuación (14).
(14)Donde, y representa la profundidad en la sección considerada en metros.
2.3. Método de la medición de la rugosidad
En este método se supone que la ecuación (10) para la función φ(R/k ) es aceptable. Luego, el valor de n puede determinarse mediante la ecuación (9) conocido la altura de rugosidad, k .
2.4. Método de la fórmula de Manning
Conocidos los parámetros involucrados en dicha fórmula, en el punto de interés, se despeja la fórmula de Manning para obtener el valor de n, que viene a estar dado por la ecuación (15).
(15)Donde, A, es el área hidráulica, R, radio hidráulico, S, pendiente media y Q, es el caudal en la sección transversal de interés.
2.5. Método de Cowan
El modelo de Cowan está definido por la ecuación (16).
(16)Los valores se obtienen de la Tabla 1 los cuales están en función del perímetro, irregularidades, variación de la sección transversal, efecto de las obstrucciones, vegetación y meandros
2.6. Granulometría de material de río
La toma de muestras (García [10]), y la distribución granulométrica del lecho de río son de gran utilidad, los resultados obtenidos de la granulometría son utilizados en diversos procesos fluviales como la estimación de parámetros de rugosidad, Crozzoli [11].
La granulometría permite calcular mediante el análisis granulométrico por tamizado los porcentajes de granos en función de sus tamaños. Se designa por dn que es el tamaño, tal que el n % del peso del material es menor que dicho parámetro.
2.7. Correlación y regresión
2.7.1. Coeficiente de correlación (r)
Villón [12], indica que el coeficiente de correlación es el estadístico que permite medir el grado de asociación de dos variables linealmente relacionadas. Sus valores varían entre -1 y 1. Si X e Y son independientes, r= 0.
2.7.2. Coeficiente de determinación (r2)
De acuerdo con Villón [12], r2, indica que la proporción o porcentaje de la variación total de la variable dependiente Y , es explicada por la variable independiente X ; varía en el rango de 0 ≤ r2 ≤ 1, o de 0 a 100 %. Cuanto mayor sea el r2, mayor será la confiabilidad de las predicciones y menores serán los errores predictivos. Para la regresión lineal simple se tiene que, r 2 = R2 y pueden ser denotados con letras mayúsculas, significando lo mismo.
2.7.3. Regresión lineal simple
Según Villón [12], la regresión lineal simple permite estimar en forma lineal una variable dependiente Y , en función de una variable independiente X ; se suele usar para completar datos o extender un registro. El modelo de regresión lineal está dado por la ecuación (17).
(17)Donde, x, es la variable independiente o conocida, y, es la variable dependiente o que se trata de predecir, a y b son parámetros que son determinados por el método de mínimos cuadrados.
2.7.4. Regresión no lineal
La regresión no lineal indica que existen una asociación no lineal entre la o las variables dependientes e independientes. Entre los modelos no lineales más conocidos se tiene: exponencial, potencial y logarítmico. A continuación, se indican las ecuaciones del modelo de regresión no lineal: Exponencial, está dado por la ecuación (18).
(18)Potencial, está dado por la ecuación (19).
(19)Logarítmica, está dado por la ecuación (20).
(20)Estas ecuaciones pueden ser resueltas por el método de los mínimos cuadrados con un artificio adecuado pudiéndose reducir a ecuaciones lineales y aplicándose una regresión lineal simple.
3. Metodología
Para obtener el modelo, en primer lugar, se han obtenido los valores del coeficiente de rugosidad por los métodos: distribución de velocidades, fórmula de Manning y Cowan, con datos obtenidos mediante aforos que es una actividad importante para conocer la disponibilidad del recurso hídrico, Díaz [13] realizados por el Laboratorio de Calidad Ambiental, Facultad de Ciencias del Ambiente de la Universidad Nacional Santiago Antúnez de Mayolo - UNASAM. Luego se llevó a cabo un análisis estadístico relacionando los diámetros efectivos de granulometría por cada punto de aforo con los valores del coeficiente de rugosidad para los tres métodos seleccionados.
Descripción del área de estudio
El área de estudio, se ubica en la región Ancash, provincias de Recuay, Huaraz y Carhuaz, y comprende los distritos de Catac, Ticapampa, Recuay, Olleros, Huaraz, Independencia, Jangas, Tarica, Pariahuanca y Anta, ubicada entre las coordenadas UTM 8915258.00 m S, 233116 m E aguas abajo del puente Catac– Recuay, y, 8963881.28 m S, 215570.84 m E aguas arriba del aeropuerto Anta – Carhuaz, entre una altitud que varía de 3545 msnm y 2743 msnm respectivamente, perteneciente a la Cuenca del Río Santa (Figura 1).

3.1. Información básica
A continuación, se describen resumidamente las fuentes y la información usada en la investigación:
3.2. Fases de estudio
3.2.1. Fase de campo
En la fase de campo, se procedió a la recolección de la información y datos de la zona de estudio tales como: parámetros hidráulicos de secciones transversales de sitios específicos o puntos de aforo (PA), pendiente, material de lecho y velocidades de flujo mediante aforo con correntómetro. Así mismo, fotografías e imágenes satelitales. También se realizó la verificación y planificación en campo, como el reconocimiento del entorno y su ubicación de puntos de aforo (PA), seleccionándose ocho (08) puntos con su respectivo tramo de estudio. La pendiente se realizó por medición directa haciendo uso del nivel de ingeniero y la extracción de material de río se realizó en cada punto de muestreo.
3.2.2. Fase de gabinete
En la fase de gabinete se procesó la información, estimando el coeficiente n de Manning, los diámetros efectivos de partículas, di , y estableciendo las relaciones entre ambos parámetros y los modelos de estimación correspondientes. Finalmente se validó el modelo establecido de modo tal de aceptarlo como representativo para el área de estudio. A continuación, se resume el procedimiento:
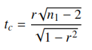
Se probaron funciones de relación, lineal y no lineal aplicando las ecuaciones (17), (18), (19) y (20), Sánchez [18]. Mediante la prueba t de Student. El t calculado, tc esta dado por la ecuación (21).
(21)Donde, n1, es número de pares de valores. Así mismo, el t tabular, tt se obtiene de las tablas estadísticas de la distribución t preparadas para este fin con un nivel de significación α o una Probabilidad de (1 − α) y con Grado de Libertad (G L = n1 − 2). Es decir, α/2 = 0,025 y G L = n1 − 2. Por último, se aplicó el criterio de decisión: si |tc | ≤ tt , entonces r = 0 por tanto no hay correlación significativa; en cambio, si |tc | > tt , entonces r , 0 por tanto es significativo y existe correlación entre las variables.
9.Finalmente se contrasta y se valida el modelo con mayor valor de coeficiente de correlación propuesto en la estimación del coeficiente de rugosidad en función de la granulometría, con el método de la fórmula de Manning usando los parámetros hidráulicos medidas directamente en campo, los cuales se consideran los menos subjetivos de los métodos de estimación del n de Manning.
4. Análisis y discusión de resultados
4.1. Descripción de los puntos de aforo (PA)
En la Tabla 2 se presentan la ubicación de los ocho (8) puntos de aforo seleccionados en función de una combinación de criterios, tramos vulnerables y facilidades de medición de los parámetros hidráulicos.

4.2. Parámetros hidráulicos de secciones transversales
En la Tabla 3 se presentan los parámetros hidráulicos de las ocho secciones de aforo seleccionadas ( A, área hidráulica, P, perímetro mojado, R, radio hidráulico, S, pendiente media y Q, caudal) que son aplicados al cálculo del n de Manning.

4.3. Coeficiente de rugosidad de Manning
En la Tabla 4 se presentan los resultados obtenidos para los n de Manning para cada uno de los puntos de muestreo y para cada uno de los procedimientos hidráulicos seleccionados.

4.4. Coeficiente de rugosidad mediante medición de rugosidad
En la Tabla 5 se presenta los resultados obtenidos de las alturas de rugosidades, k .

Con dichos resultados se ha realizado un análisis gráfico entre las variables del coeficiente de rugosidad, n, (n calculado mediante medición de velocidades) y la altura de rugosidad, k , que se muestra en la Figura 2. La línea de tendencia a la que mejor se ajusta es a una regresión lineal simple, con un coeficiente de determinación R2= 0,9879; lo que indica que el 98,79 % de la variación del coeficiente de rugosidad, n, es explicada por la altura de rugosidad, k , y el 1,21 % restante es debido a los errores y a otras variables no consideradas.

De igual forma, mediante el análisis estadístico, el tc es igual a 22,23 y el tt es igual a 2,447 lo que significa que el tc es mayor que el tt , y se concluye que existe correlación significativa entre los coeficientes de rugosidad, n y las alturas de rugosidad, k .
Dónde: n, desviación estándar de n, R, radio hidráulico y k , altura de rugosidades han sido obtenidos según la metodología establecida en la sección 3.2.2.
La Figura 3, muestra que para un amplio rango de R/k, la variación de φ(R/k ) es baja; cuyo coeficiente de variación es de 22,90 %, por consiguiente la relación podría aproximarse mediante el valor medio; 0,047 (media de valores de φ(R/k )).

Combinando la Figura 3 y la ecuación (9) se obtiene n en función de la altura de rugosidad, k , dado por la ecuación (22).
(22)4.5. Diámetros representativos del lecho de río
De análisis granulométrico se han obtenido los diámetros efectivos di , para las muestras de sedimentos en puntos de aforo, los que se presentan en la Tabla 6.

Los diámetros efectivos d10, d30, d50, d60, d84 y d90 corresponden a 10 %, 30 %, 50 %, 60 %, 84 % y y 90 % de los porcentajes acumulados que pasan la curva granulométrica.
4.6. Relación de los coeficientes de rugosidad y los diámetros efectivos
Para analizar las relaciones entre las variables n de Manning y los diámetros efectivos, di , se generaron los modelos estadísticos descritos en la metodología, dados por modelos lineales y no lineales (exponencial, potencial y logarítmico).
4.6.1. Regresión lineal
Las estadísticas del modelo lineal entre el n de Manning (método de medición de velocidades, fórmula de Manning y Cowan) y los diámetros efectivos, di , de la granulometría se muestran en la Tabla 7 y la Tabla 11.

4.6.2. Regresión no lineal
En la Tabla 8, Tabla 9 y Tabla 10, se muestran los resultados del análisis estadístico entre el n de Manning (método medición de velocidad y fórmula de Manning) de los modelos: exponencial, potencial y logarítmico respectivamente, con los diámetros efectivos, di . Asimismo, en la Tabla 11 y Tabla 12 se muestran los resultados del análisis estadístico entre el n de Manning (método Cowan) modelo exponencial, y, potencial y logarítmico respectivamente, con los diámetros efectivos di .





4.7. Modelo de estimación del coeficiente de rugosidad
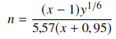
Se seleccionaron los modelos (lineal y no lineal) que muestran mejor grado de asociación y, por tanto, mayor coeficiente de correlación, r , para la estimación del coeficiente de rugosidad de Manning, n, por cada método desarrollado (método de medición de velocidades, ecuación de Manning y Cowan). Los resultados se presentan en la Tabla 13 resaltados con un sombreado. Observando los valores de dicha tabla, se encuentra que para estimar el n de Manning por el método de la medición de velocidades, el modelo lineal arroja el mejor ajuste, con un coeficiente de correlación r = 0,942 entre las variables n y el d10; estableciéndose así el modelo lineal (MLin) dada en la ecuación (23).
(23)

Para el método de fórmula de Manning, el modelo Potencial posee mejor ajuste entre las variables n y el d10 con un coeficiente de correlación, r=0,970. De esta forma se obtiene el modelo potencial (MPot-02) dada en la ecuación (24).
(24)Para el método de Cowan, el modelo Logarítmico presenta mejor ajuste con un coeficiente de correlación, r = 0,869 entre las variables n y el d10. De esta forma se obtiene el modelo logarítmico (MLog) dada por la ecuación (25).
(25)Y, por último, para el método de la medición de la rugosidad se ha obtenido un modelo Potencial (MPot-01) dado en la ecuación (26)
(26)Cabe señalar que el modelo MPot-01 está en función de la altura de rugosidad k , en metros, pero relacionándolo mediante análisis estadístico con los diámetros efectivos di de la granulometría y contrastando con n obtenidos por fórmula de Manning, se ha encontrado mejor ajuste con el d10 (mm), es así que se puede reemplazar el k , por el d10 obteniendo así el modelo Potencial (MPot-01) dado en la ecuación (27).
(27)4.8. Validación del modelo general
Para validar el modelo general de la investigación, se estiman los n de Manning por los cuatro procedimientos desarrollados y expresados mediante las ecuaciones (23), (24), (25) y (27) y se contrasta con el n obtenido por el método de la fórmula de Manning (n observados). En la Tabla 14, se presentan los resultados numéricos comparativos de este análisis y en la Figura 3 se muestra los resultados gráficos de los coeficientes de correlación, r , de n de Manning observados y estimados por los modelos encontrados. Así mismo de la Tabla 14, MLin, MPot-01, MPot-02 y MLog son abreviaturas del: modelo lineal, modelo potencial 01, modelo potencial 02 y modelo logarítmico respectivamente.

4.9. Comparativo entre los coeficientes de rugosidad de Manning
La Tabla 15 muestra una comparación de los valores de n de Manning estimados por los métodos de estimación (medición de velocidades, medición de rugosidades, fórmula de Manning y Cowan). Donde se observa que el promedio de n de los cuatro métodos es 0,042 y el coeficiente de variación es 11,37 %, por esta razón se asume el valor de n como representativo para el río Santa en la zona de estudio.

4.10. Discusiones
A partir de los resultados obtenidos, de la Tabla 15, se ha determinado un nmín = 0,024, nmáx = 0,069 y npromedio = 0,042 (considerado como la media de los métodos desarrollados: medición de velocidades, medición de rugosidad, fórmula de Manning y Cowan).
El método de medición de la rugosidad no establece directamente el valor de n, sino que establece una función para calcular n en función de la altura de rugosidad, k . Es así que, entre los métodos antes mencionados, el valor de n de Manning se encuentra dentro del rango establecido de 0,030 a 0,050 para corrientes de montañas con fondo: grava, piedras y pocos cantos rodados propuesto por Chow [7].
La función obtenida para estimar n de Manning por el método de la medición de la rugosidad, está dado por: n = 0,047(k )(1/6) que viene a ser mayor a la ecuación de n = 0,0336(k )(1/6) obtenido en los grandes ríos de Venezuela [1], y análogo a la ecuación n = 0,044(k )(1/6) obtenido en el río Chonta, distrito de Baños del Inca – Cajamarca [3].
Se observa que en la aplicación del análisis de regresión lineal y no lineal entre el coeficiente de rugosidad n de Manning y los diámetros efectivos di , en la Tabla 7, Tabla 8, Tabla 9, Tabla 10, Tabla 11 y Tabla 12, para los diámetros menores o iguales al diámetro medio d50 se obtienen mejor coeficiente de correlación, r , a diferencia de los diámetros mayores que no guardan relación entre las dos variables, López [19].
Del contraste de los modelos, se observa que son dos los modelos de mejor ajuste: MPot-02, con r = 0,9776 y MPot-01 con r = 0,9804. La estimación de n de Manning mediante el modelo MPot-02 da como resultado un npromedio = 0,043 y la estimación mediante el modelo MPot-01 da como resultado un npromedio = 0,048 (Tabla 14).
Se puede decir que el n medio del MPot-02 se aproxima al n estimado como la media de los métodos de medición de velocidades, fórmula de Manning y Cowan, y el n medio de MPot-01 diverge del n estimado como media de los métodos desarrollados.
5. Conclusiones
El coeficiente de rugosidad de Manning (n) estimado por el método de medición de velocidades es lineal en función del d10.
El coeficiente de rugosidad de Manning estimado por el método de la fórmula de Manning y por el método de la medición de la rugosidad es potencial en función del d10.
El coeficiente de rugosidad de Manning (n) estimado por el método de Cowan es logarítmico en función del d10.
El modelo que presenta mayor coeficiente de correlación es el modelo potencial y el que presenta menor coeficiente de correlación es el modelo logarítmico.
El coeficiente de rugosidad de Manning adecuado para la zona de estudio es de 0,042.
6. Recomendaciones
Realizar estudios en épocas de lluvias y en más secciones del río Santa y en otros ríos del país. Extraer por cada punto de aforo cinco muestras del material de lecho de río.
Se recomienda sistematizar los cálculos de estimación del n de Manning para su mejor aplicación, así como implementar redes de monitoreo hidrometeorológicos e instalación de estaciones.
7. Referencias
[1] M. Osío, F. Valencia, E. Guevara, y H. Cartaya di Lena, “Cálculo del coeficiente de rugosidad “n” de manning en los grandes ríos de Venezuela,” Revista Ingeniería UC, vol. 7, no. 2, pp. 1–2, 2000.
[2] C. Fernández, A. León, y Y. Rodríguez, “Revista INGENIERÍA HIDRÁULICA Y AMBIENTAL,” Influencia del método de estimación en el coeficiente de Manning para cauces naturales, vol. 39, no. 1, pp. 17–31, 2018.
[3] N. Burgos, “Estimación del coeficiente de rugosidad de Manning mediante mediciones de velocidad y profundidad, empleando un molinete hidrométrico, en el río Chonta, Cajamarca, 2016,” Tesis de Maestría, Universidad Nacional de Cajamarca, 2017.
[4] D. Pastora, “Evaluación de la fórmula de Manning en el río Ostua,” Tesis de Maestría, Universidad de San Carlos de Guatemala, 2010.
[5] G. Colmenárez and J. Pardo, “Estudio de la relación de la rugosidad topográfica obtenida a partir de datos LIDAR y GPS con el coeficiente de rugosidad n de Manning,” Revista C& G, vol. 24, no. 1–2, pp. 143–159, 2010.
[6] G. Guzmán y T. Vera, “Estudio del intercambio de agua superficial y agua subterranea en el río Cumbe,” Tesis de Maestría, Universidad de Cuenca, 2013.
[7] V. Chow, Hidráulica de Canales Abiertos. MacGraw Hill Latinoamericana, 2004.
[8] R. French, Hidráulica de Canales Abiertos. McGraw-Hill Latinoamericana, 1988.
[9] A. Rocha, Tuberías y Canalizaciones. Perú: Universidad Nacional de Ingeniería, 2007.
[10] C. García y J. Martín, “Caracterización granulométrica del lecho móvil de un río de gravas efímero: Aplicación a un tramo de la riera de Les Arenes,” Revista Acta Geológica Hispánica, vol. 36, no. 1–2, pp. 137–147, 2001.
[11] L. Crozzoli y R. Batalla, “Aplicación de la fotografía al análisis granulométrico de ríos con lecho de gravas,” Revista C& G, vol. 17, no. 3–4, pp. 29–39, 2003.
[12] M. Villón, Hidrología Estadística. Instituto Tecnológico de Costa Rica. Escuela de Ingeniería Agrícola, 2005.
[13] C. Díaz, J. Segovia, M. Garduño, y S. Tejeda, “Medición de caudales mediante la implementación de un vehículo acuático teleoperado,” Revista Internacional de Contaminación Ambiental, vol. 28, no. 1, pp. 73–91, 2012.
[14] M. Villón, Hidrología. Editorial Tecnológica de Costa Rica, 2004.
[15] Instituto Privado de Investigación sobre el cambio climático, Manual de medición de caudales. Instituto Privado de Investigación sobre el cambio climático, 2017.
[16] G. Tapia, J. Molina, G. Pérez, y A. Torres, “Metodología para la medición de la velocidad de flujo en un río en el diagnóstico de la socavación en pilas de un puente, utilizando un dispositivo electrónico,” Universidad Michoacana de San Nicolás de Hidalgo, Reporte Técnico, 2012.
[17] J. Gutiérrez, “Cálculo del coeficiente de rugosidad de manning utilizando gravilla, arena, piedra pegada y tierra como fondo mediante un canal a escala como modelo físico,” Tesis de Maestría, Universidad de la Salle, 2009.
[18] R. Sánchez, “t-Student. Usos y abusos,” Revista Mexicana de Cardiología, vol. 26, no. 1, pp. 59–61, 2015.
[19] R. López, J. Barragán, y A. Colomer, “Predicción de la resistencia al flujo en ríos de montaña,” Revista Ingeniería hidráulica en México, vol. 23, no. 3, pp. 65–76, 2008.
Notas de autor
abelardo_mad@hotmail.com
Enlace alternativo
http://servicio.bc.uc.edu.ve/ingenieria/revista/v27n3/art07.pdf (pdf)
https://www.revistas.uc.edu.ve/index.php/revinguc/article/view/292 (html)