Artículo
Evaluación de la efectividad del Programa HAPPY 8-12 a partir de la medición de competencias socioemocionales en estudiantes de educación primaria
Development of emotional competencies in Chilean elementary school students through the HAPPY 8-12 Program
Desenvolvimento de competências emocionais em alunos do ensino fundamental chileno por meio do Programa HAPPY 8-12
Evaluación de la efectividad del Programa HAPPY 8-12 a partir de la medición de competencias socioemocionales en estudiantes de educación primaria
Educación, vol. 30, núm. 59, pp. 113-131, 2021
Pontificia Universidad Católica del Perú
Recepción: 02 Junio 2020
Aprobación: 27 Julio 2021
Financiamiento
Fuente: FONDECYT
Nº de contrato: 11160040
Resumen: HAPPY 8 a 12 es un programa creado en España que favorece la resolución de conflictos de manera asertiva. La finalidad de este artículo fue evaluar la efectividad de HAPPY 8-12 en Chile. El estudio se realizó a partir de un diseño cuasiexperimental con pre y post-test y grupo control, aplicándose Análisis de Varianza de Medidas Repetidas para determinar la efectividad del programa. Para evaluar se utilizó la escala de Evaluación de la Competencia Socio-Emocional (ECSE), a 197 estudiantes de educación primaria (3° a 6° año), de ellos 96 son hombres y 101 mujeres, sus edades fluctúan entre los 8 y 12 años. Los resultados evidencian modificaciones positivas en los estudiantes pertenecientes al grupo experimental, lo cual permiten sostener que este programa ha sabido responder a una necesidad formativa existente en el sistema educativo chileno.
Palabras clave: Educación socioemocional, resolución de conflictos, asertividad, educación primaria.
Abstract: HAPPY 8 to 12 is a program created in Spain that encourages assertive conflict resolution. The purpose of this article was to evaluate the effectiveness of HAPPY 8-12 in Chile. The study was carried out from a quasi-experimental design with pre and post-test and control group, applying Analysis of Variance of Repeated Measures to determine the effectiveness of the program. The Socio-Emotional Competence Assessment (ECSE) scale was used to evaluate 197 primary school students (3rd to 6th year), of them 96 are men and 101 women, their ages fluctuate between 8 and 12 years. The results show positive modifications in the students belonging to the experimental group, which allows us to maintain that this program has been able to respond to an existing training need in the Chilean educational system.
Keywords: Socio-emotional education, conflict resolution, assertiveness, primary education..
Resumo: HAPPY 8 to 12 é um programa criado na Espanha que incentiva a resolução assertiva de conflitos. O objetivo deste artigo foi avaliar a eficácia de HAPPY 8-12 no Chile. O estudo foi realizado a partir de um delineamento quase experimental com pré e pós-teste e grupo controle, aplicando-se a Análise de Variância de Medidas Repetidas para determinar a eficácia do programa. A escala de Avaliação de Competência Socioemocional (ECSE) foi utilizada para avaliar 197 alunos do ensino fundamental (3° ao 6° ano), sendo 96 homens e 101 mulheres, com idades variando entre 8 e 12 anos. Os resultados mostram modificações positivas nos alunos pertencentes ao grupo experimental, o que nos permite afirmar que este programa tem sido capaz de responder a uma necessidade de formação existente no sistema educacional chileno.
Palavras-chave: Educación socioemocional, resolución de conflictos, asertividad, educación primaria.
1. Introducción
La literatura evidencia hoy la necesidad de incorporar variables socioemocionales y de bienestar en la educación de niños y niñas en la escuela. Estas acciones pueden ser solo eso -acciones puntuales- o a partir de la implementación de programas establecidos que sigan una secuencia de trabajo y busquen lograr unos objetivos concretos de educación emocional y social de estudiantes en la educación primaria (Filella, Perez-Escoda, Aguilló y Oriol, 2014; Méndez-Carrillo, Llavona, Espada y Orgilés, 2013; Lagos San Martín, Gonzálvez-Maciá, Vicent-Juan y Sanmartín, 2019; Milicic, Alcalay, Berger y Torreti, 2014; Monjas, 2012; Montoya-Castillo, Postigo-Zegarra y González, 2016).
Esta necesidad de incorporar acciones y estrategias estructuradas de educación socioemocional en los establecimientos educativos, viene dado por la posibilidad que ofrece la escuela en el desarrollo en las interacciones que no siempre se dan de manera asertiva. Muchas veces son las cifras de violencia surgidas en los centros educativos (Craig et al., 2009; Gabarda, 2014) las generan este interés o esta necesidad.
Independiente de los motivos que llevan a incluir el desarrollo socioemocional en los centros educativos sus efectos siempre deben ser la incorporación de una nueva propuesta o la adaptación una de las ya existentes. Es por tanto que el objetivo de esta investigación es evaluar la efectividad del programa Happy 8-12 sobre competencias emocionales para favorecer habilidades de resolución de conflictos entre pares, en niños y niñas de educación básica de la provincia de Diguillín, en Chile.
2. Marco teórico
Durante los últimos años, la evidencia científica ha relevado el desarrollo emocional en la vida diaria y la importancia que estas tienen en las funciones cognitivas (Damasio, 2012). Las conexiones neuronales que transmiten información de los centros emocionales a los centros cognitivos en el cerebro son más fuertes y más numerosas que las que transmiten información de los centros cognitivos a los emocionales.
Los estudios de Damasio (2012) demuestran la gran influencia que el sistema emocional tiene en las funciones cognitivas como, por ejemplo, en los procesos de atención, percepción y memoria, así como también la influencia que ejercen sobre los procesos de orden superior. Así, de acuerdo con Durlak y colaboradores (2011), la educación emocional de los estudiantes no solo es adecuada per se, sino también por su relación con variados indicadores sociales y académicos.
Por otro lado, se plantea que las emociones permiten dirigir el pensamiento para el desarrollo de habilidades socioefectivas (Immordino-Yang y Damasio, 2007). Las interacciones sociales, se basan necesariamente en un sustrato emocional y por este motivo es conveniente que durante la infancia se aprendan estrategias que favorezcan la regulación emocional, ya que ello evitará la conducta reactiva a la que muchas veces recurren los niños y niñas en sus relaciones interpersonales (Garaigordobil, 2018).
En concreto, los estudios han sostenido que desarrollar habilidades sociales y emocionales desde las primeras edades, fortalece ambientes positivos y estimulantes en la niñez y la adolescencia (Greenberg et al., 2003; Pérez y Filella, 2019), actuando como elemento intermediario de conflictos escolares y permite fomentar la conducta prosocial, así como también genera una disminución de la conducta disruptiva (Eisenberg, 2006; Jones, 2004).
En esta misma línea se observa que los participantes de procesos de programas de desarrollo socioemocional evidencian un aumento de la autoestima en el plano personal y una mejora del clima de aula en el plano social (Pérez-Escoda, Filella, Alegre y Bisquerra, 2012; Ros, Filella, Ribes y Pérez-Escoda, 2017), así como también desarrollan más habilidades de autoconciencia, de regulación y de autonomía emocional (Agulló, Filella, Soldevila y Ribes, 2011; Filella, Perez-Escoda, Aguilló y Oriol, 2014) lo que redunda en la mejora de las competencias sociales.
Merchán, Bermejo y Gonzales (2014) establecen que la educación emocional debe realizarse a partir del desarrollo de competencias emocionales, desde un incremento de la inteligencia emocional y el modelamiento de las relaciones sociales y grados de amistad entre estudiantes, sobre todo de los cursos de niños de menor edad. Por su parte, Muñoz de Morales y Bisquerra (2013) señalan que los programas de educación socioemocional influyen positivamente en el ajuste y bienestar emocional, mejorando habilidades interpersonales como liderazgo, adaptabilidad y competencias sociales en los estudiantes.
Respecto de su estructura, se ha señalado que un proceso de aprendizaje socioemocional debiera incluir en primera instancia, el autoconocimiento, entendido como la capacidad para modular respuestas emocionales que facilitan el funcionamiento adaptativo (Gross y John, 2003; Keenan y Shaw, 2003; Silva, 2005) implicando para niños y adolescentes, beneficios tanto a nivel intrapersonal, relacionados con una superación psicológica, como a nivel interpersonal con una mejora en las relaciones interpersonales y de convivencia con el grupo de iguales, ya que permite un óptimo funcionamiento social, una mayor capacidad de autocontrol y un aumento del interés para el cambio social (Campos, Frankel y Camras, 2004; Davey, Day y Howells, 2005).
Teniendo en cuenta la importancia de la educación emocional como base para una solución adecuada de los conflictos, se han estado elaborando programas de educación emocional y social, desde hace ya más de dos décadas (Bisquerra, 2005; Carpena, 2018; Garaigordobil, 2018; Steiner, 2013). Así la expresión «aprendizaje emocional y social» (ASE) iniciada y difundida por la asociación Collaborative for Academic, Social and Emotional Learning (CASEL) (citado en Cohen, 2006) es reconocida y valorada en todo el mundo.
Bajo este modelo se han diseñado e implementando programas que han demostrado numerosos beneficios y en muchos ámbitos del ser humano. La mayoría de ellos, favorecen la prevención de conflictos escolares, a partir de una disminución en los comportamientos agresivos y un fomento de la conducta prosocial (Brackett, Rivers, Reyes y Salovey, 2012; Durlak, Weissberg, Dymnicki, Taylor y Schellinger, 2011; Pérez-Escoda, Torrado, López-Cassà y Fernández, 2014).
En gran parte, estos programas han sido elaborados bajo la premisa de que los problemas que afectan a niños y adolescentes son provocados por falencias sociales y emocionales (Jadue, 2002). De acuerdo con diversos estudios (Berger, Alcalay, Torretti y Milicic, 2011; Humphrey, 2013), esta premisa trasciende el país de origen de CASEL y producto de los esfuerzos de quienes se sumaron a la iniciativa de difundir la importancia del desarrollo socioemocional, se comienzan a gestar y a implementar programas de similares características en muchas partes del mundo.
En todas estas propuestas y programas, se sostiene que la educación socioemocional es una de las necesidades más evidentes en las escuelas, debido principalmente a los altos índices de violencia observados en los centros educativos (Gabarda, 2014; Save the Children, 2015), los que justifican por sí mismos, la importancia de la formación educativa en este ámbito (Céspedes y Silva, 2013; Lecannelier, 2013; Pena, Extremera y Rey, 2016).
2.1. HAPPY 8-12. Un programa gamificado
Happy 8-12 (Rueda, Cabello, Filella y Vendrell, 2016) es un programa de educación emocional de tipo gamificado, porque traslada al ámbito educativo la lógica del juego, tiene por finalidad desarrollar las competencias emocionales que permitan la resolución asertiva de conflictos surgidos en el aula. Bajo este marco conceptual, la educación socioemocional es definida como el proceso a través del cual se aprende a reconocer y armonizar las emociones, se aprende a tomar decisiones ajustadas a la situación, se aprende a compartir con los pares mediante relaciones saludables (Zins, Weissberg, Wang y Walberg, 2004).
Este programa ha sido elaborado en base a un marco conceptual derivado del grupo de investigación GROP fundado en España, el cual aborda la educación emocional orientada a fomentar el desarrollo de competencias emocionales, las cuales se agrupan en cinco dimensiones definidas por Bisquerra (2005) en orden creciente como conciencia, regulación, autonomía, competencia social y competencias para la vida y el bienestar. Las estrategias de regulación emocional propuestas en HAPPY 8-12 parten del modelo de James Gross, que plantea tres estrategias de regulación: la primera es el cambio de atención, la segunda es la reevaluación cognitiva y el tercero es el cambio del contexto.
Al respecto, es preciso detenerse en que educar en estas competencias, sobre todo en lo relativo al desarrollo de la regulación emocional, la cual es planteada como una variable relevante en el desarrollo cognitivo de niños y adolescentes (Eisenberg, 2006; Gross, 2007).
En este sentido, Happy 8-12 se basa en los principios de la psicología evolutiva, en las habilidades cognitivo-lingüísticas (describir, explicar, justificar y argumentar), defendida por Sánchez, Herrera y Rodríguez, (2020) y en el desarrollo de los estadios morales de Piaget y Kohlberg. De este modo, HAPPY 8-12 previene el acoso escolar y busca reducir los niveles de ansiedad escolar, fomentar las competencias emocionales, mejorar el clima de aula, elevar el rendimiento académico y favorecer una resolución asertiva de conflictos. Todo ello con la finalidad de impactar en el desarrollo integral del alumnado a partir de un proceso formativo que aborda todos los ámbitos.
Por lo señalado anteriormente es que se decide adaptar, aplicar y evaluar el programa HAPPY 8-12 que fomenta competencias socioemocionales en la resolución de conflictos escolares, en estudiantes de educación básica pertenecientes al sistema municipal de una provincia del centro-sur de Chile.
3. Metodología
La investigación se enmarcó en un diseño cuasi experimental, (Hernández, Fernández y Baptista, 2010). Para efectos de este estudio se utilizaron cursos completos e intactos tanto para la aplicación del programa (grupo experimental), como para contrastarla (grupo control), aplicándose una evaluación inicial (pretest) y una final (postest) a ambos grupos.
3.1. Participantes
Los participantes sumaron un total de 197 estudiantes de educación básica, de escuelas públicas de la provincia de Diguillín, en Chile, de ellos 96 son hombres y 101 mujeres (51,26% y 48,74% respectivamente). Todos los estudiantes cursaban de 3° a 6° año de educación básica, por lo que sus edades estaban comprendidas entre los 8 y los 12 años (M=10; DE; 1.01). El proceso de selección del centro educativo fue realizado por conveniencia, atendiendo al criterio de factibilidad. Por lo mismo, todos los estudiantes pertenecen a un centro educativo de un sector rural y costero, ubicado en el centro-sur de Chile. La selección del grupo experimental se realizó al azar, existiendo el compromiso de desarrollar el programa con el grupo control una vez finalizada la investigación.
3.2. Instrumento
Para medir las competencias emocionales, se utilizó la Escala de Competencias Socioemocionales (ECSE, Repetto, Lozano, Fernández-Berrocal, Extremera, Mudarra y Morales, 2009), instrumento que consta de 38 ítems distribuidos en siete competencias definidas para este instrumento (autoconciencia, autorregulación emocional, regulación interpersonal, empatía, motivación, resolución de conflictos y trabajo en equipo). El ECSE tiene la modalidad de autoinforme, posible de responder en 30 minutos aproximadamente. Sus autores informan buenas propiedades psicométricas para la escala.
3.3. Procedimiento
Esta investigación consideró una fase en la que se recogió información de los estudiantes en términos de sus necesidades formativas. Luego, se realizó la adaptación del programa, siguiendo con una adecuación del lenguaje utilizado en el software y en el cuaderno del estudiante, para hacerlo más comprensible al español hablado en Chile. Este proceso consistió principalmente en la modificación de conceptos y frases representativas de la cultura chilena. También se hizo una adecuación de las sesiones de trabajo del programa HAPPY 8-12, reduciéndose algunas sesiones de trabajo para hacerlo más aplicable al contexto chileno, en términos del tiempo de duración de las sesiones de trabajo del programa original.
Seguidamente, se consultó la factibilidad de implementación en los centros educativos, se obtuvo la firma de los consentimientos informados dirigidos a los padres, se aplicó el pretest (instrumento ECSE) al grupo experimental y al grupo control, luego se implementó el programa y finalmente se aplicó el postest, (instrumento ECSE) en ambos grupos para determinar si hubo diferencias en las puntuaciones.
Cabe precisar que la implementación del programa no se vio afectada por la pandemia, ya que se implementó justo antes de las restricciones de confinamiento por la pandemia COVID-19.
3.4. Consideraciones éticas
Antes de llevar a cabo el estudio con los niños, se pidió a los padres la firma de un consentimiento informado, en el que se aseguró la confidencialidad en el tratamiento de la información y el anonimato.
3.5. Análisis de datos
Para evaluar si existe cambio temporal en las dimensiones de la escala ECSE, se realizó un análisis de Varianza de Medidas Repetidas, y se consideró los dos períodos fijados para ello (inicio y final de la intervención).
4. Resultados
Los resultados serán explicados en función de estadísticas descriptivas para cada dimensión, incluyendo media, desviaciones estándar, además de una tabla de clasificación en base a los rangos de dominio y de los análisis de varianza de medidas repetidas realizados a partir del instrumento de medición ECSE.
4.1. Estadísticas descriptivas para cada dimensión
En la Tabla 1 es posible observar que las puntuaciones iniciales son ligeramente superiores en el grupo control respecto del grupo experimental. Pudiendo agregarse además que todas las dimensiones evaluadas en el grupo experimental sufren modificaciones positivas, las que pueden atribuirse a la implementación del programa HAPPY 8-12, y las del grupo control disminuyen también en todas estas dimensiones.
Otro aspecto destacable es que hay dimensiones como autorregulación emocional, empatía y resolución de conflictos en que las puntuaciones finales del grupo en que se implementó el programa (grupo experimental) son superiores a las obtenidas por el grupo que no fue parte de la implementación (grupo control), ello pese a la condición contraria en las que se encontraban al inicio. Del mismo modo, puede indicarse que las dimensiones autorregulación emocional, regulación interpersonal y empatía son las variables que más aumentaron en el grupo experimental, mostrando un incremento de hasta 4,1 puntos porcentuales.

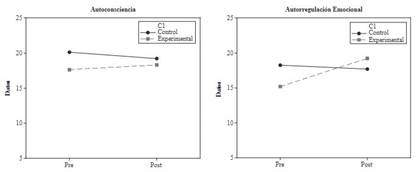
Las medidas de resumen para la escala ECSE se muestran en la Figura 1 para autoconciencia y autorregulación emocional, donde la puntuación disminuye en el grupo denominado control y aumenta en el grupo denominado experimental; incluso el grupo experimental además de aumentar, supera al grupo control en esta dimensión. En ambos casos se observa que los alumnos están en un nivel de Dominio eficaz respectivamente.

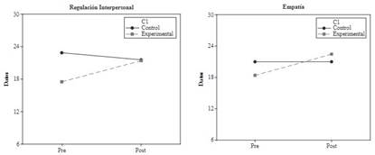
Respecto a la regulación interpersonal y a la empatía (Figura 2), en ambas dimensiones se observa que el grupo experimental avanza desde una categoría de Dominio Promedio hasta un nivel de dominio eficaz, y en la segunda el grupo experimental obtiene una media mayor que la del grupo control.

En las tres últimas dimensiones (Figura 3), el grupo experimental tiene un aumento en sus puntuaciones, destacándose el segundo que pasa de un nivel de Dominio Promedio a un dominio Eficaz. En la resolución de conflictos, el grupo experimental termina superando en promedio al grupo control para el postest.
En la Tabla 2 es posible observar la distribución de los estudiantes de acuerdo a la clasificación que se les da a partir del puntaje obtenido en cada una de las dimensiones:
I. Autoconsciencia: La evolución del grupo control muestra porcentajes muy similares y que no son importantes dentro de las categorías; mientras que la evolución del grupo experimental muestra un avance desde el grupo «Eficaz» al grupo «Muy eficaz».
II. Autorregulación emocional: La evolución del grupo control muestra una baja en la clasificación pasando de un 39% de «Muy eficaz» en el pre a un 40% de «Eficaz» en el pos. El grupo experimental sufre un cambio abultado, pasando de un 52% a un 84% de los alumnos, considerando «Eficaz» junto a «Muy eficaz».

III. Regulación interpersonal: La evolución del grupo control muestra una baja en la clasificación pasando de un 47% de «Muy eficaz» en el pre, a un 43% de «Eficaz» en el pos. El grupo experimental sufre un cambio abultado, pasando de un 52% a un 79% de los alumnos, considerando «Eficaz» junto a «Muy eficaz».
IV. Empatía: Para esta dimensión, se produce en el grupo control una disminución del grupo «Eficaz», siendo distribuido entre «Promedio» y «Muy eficaz». El grupo experimental, por su parte, sufre un aumento sustancial, pasando de un 50% a un 88%, considerando «Eficaz» junto a «Muy eficaz».
V. Motivación: Los porcentajes del grupo control no sufren alteraciones abultadas. Para el grupo experimental, el grupo «Eficaz» aumenta en un 6% y el grupo «Muy eficaz» en un 8%.
VI. Resolución de conflictos: Se produce una baja en las categorías de los alumnos para el grupo control. Para el grupo experimental, se produce un avance pasando de un 42% de «Dominio Promedio» en el pre, a un 44% clasificado como «Eficaz» en el postest.
VII. Trabajo en equipo: Los porcentajes del grupo control se mantienen sin cambios sustanciales. Para el grupo experimental, hay un aumento del 8% de estudiantes en el grupo «Eficaz» y de un 2% en el grupo «Muy eficaz».

4.2. Análisis de varianza de medidas repetidas para la escala de medición ECSE
Para evaluar si existe cambio temporal en las dimensiones de la escala ECSE, se ha realizado un análisis de varianza de medidas repetidas, el cual considera los dos períodos estudiados además de los grupos comparativos. Los resultados indican estabilidad temporal en las dimensiones de autoconsciencia (F (1,95) =0,72, p=,72), motivación (F (1,95) =2,30, p=,13) y trabajo en equipo (F (1,95) =0,21, p=,65); por otro lado, existe evidencia de cambio en autorregulación emocional, regulación Interpersonal, empatía y resolución de conflictos (todos p=,00***). En todas las dimensiones existen cambios simultáneos dado el grupo al que pertenecen y la etapa en la que fueron evaluados, teniendo mayor fuerza las dimensiones de autorregulación emocional, regulación interpersonal, empatía y resolución de conflictos.

5. Discusión
Los datos indican que todas las dimensiones medidas en el grupo experimental resultaron favorecidas, siendo las dimensiones de autorregulación emocional, regulación interpersonal, empatía y resolución de conflictos, las más fortalecidas por el programa HAPPY 8-12. Dato que resulta importante de destacar debido a la relevancia que estas dimensiones tienen sobre la regulación del funcionamiento humano.
Estos resultados concuerdan con los informados por los autores del programa, en los que se plantea una mejora de las competencias emocionales, especialmente de la escala de regulación emocional, escala que muestra un cambio significativo de gran magnitud. El estudio aludido, ha sido desarrollado en España, con una muestra de estudiantes de educación primaria (Cabello-Cuenca, Pérez-Escoda, Ros-Morente y Filella, 2019) y en sus conclusiones se declara que la formación en competencias emocionales en educación primaria no solo potencia el desarrollo de dichas competencias, sino que también, ayuda a disminuir la ansiedad, mejora el clima escolar y favorece el aprendizaje académico (Agulló, Filella, Soldevila y Ribes, 2011; Blair y Raver, 2015; López-Cassà y Pérez-Escoda, 2010).
Por lo mismo, y considerando los resultados de este estudio en Chile, en que se comprueba la efectividad del programa en las competencias socioemocionales valuadas, es que se recomienda expandir el trabajo en estos ámbitos de formación para adolescentes (Fernández-Berrocal, Alcaide, Extremera y Pizarro, 2006; Filella, Pérez, Cabello, y Ros-Morente, 2016; Pena, Extremera y Rey, 2016; Rueda, Cabello, Filella y Vendrell, 2016) y así verificar si esta u otra propuesta promueven cambios positivos en ellos o en otros niños chilenos.
6. Conclusiones
La educación socioemocional necesita de un espacio curricular en la escuela, ya que, de no incorporar un programa educativo, las variables del ámbito socioemocional no se fortalecen, por lo que se estima importante su integración en el sistema educativo. Por lo mismo se puede indicar la relevancia de ofrecer una formación integral, gradual y sistemática en el área socioemocional, que entregue las herramientas apropiadas para que los alumnos se desenvuelvan mejor con sus pares.
Estos antecedentes permiten además proyectar el programa HAPPY 8-12, como una propuesta interesante de valorar y reconsiderar, por lo que se espera contar con nuevas experimentaciones en la que se cuente con una muestra más amplia de estudiantes y así corroborar los resultados obtenidos en este trabajo.
Finalmente, se estima que el desarrollo de esta propuesta atendió a una necesidad presente en los estudiantes chilenos, fortaleciendo una dimensión, que ha comenzado a valorarse recientemente en Chile, estimándose que debido a esta necesidad se obtendría estos resultados tan auspiciosos. También puede indicarse que el Programa HAPPY 8-12 tiene potencial para el desarrollo de esta área en estudiantes chilenos de educación primaria, datos que permiten sostener que este programa resulta relevante de implementar en el contexto chileno.
Agradecimientos
Este estudio fue financiado por proyecto FONDECYT 11160040 de ANID, Chile.
Referencias bibliográficas
Agulló, M.J., Filella, G., Soldevila, A. y Ribes, R. (2011). Evaluación de la educación emocional en el ciclo medio de Educación Primaria. Revista de Educación, 354, 765-783.
Berger, C., Alcalay, L., Torretti, A. y Milicic, N. (2011). Socio-emotional Well-Being and Academic Achievement: Evidence from a Multilevel Approach. Psicologia: Reflexão e Crítica, 24(2), 1-8. https://doi.org/10.1590/S0102- 79722011000200016
Bisquerra, R. (2005). Educación emocional y bienestar. Madrid: Praxis.
Bisquerra, R. (2010). Psicopedagogía de las emociones. Madrid: SÍNTESIS.
Blair, C. y Raver, C. (2015). School readiness and self-regulation: A developmental psychobiological approach. Annual Review of Psychology, 66, 711-731. https://doi.org/10.1146/annurev-psych-010814-015221
Brackett, M., Rivers, S., Reyes, M. y Salovey, P. (2012). Enhancing academic performance and social and emotional competence with the RULER feeling words curriculum. Learning and Individual Differences, 22(2), 218-224. https://doi.org/10.1016/j.lindif.2010.10.002
Cabello-Cuenca, E., Pérez-Escoda, N., Ros-Morente, A. y Filella, G. (2019). Los programas de educación emocional happy 8-12 y happy 12-16. Evaluación de su impacto en las emociones y el bienestar. REOP - Revista Española de Orientación y Psicopedagogía, 30(2), 53-66. https://doi.org/10.5944/reop.vol.30.num.2.2019.25338
Campos, J., Frankel, C. y Camras, L. (2004). On the nature of emotion regulation. Child Development, 75, 377-394. https://doi.org/10.1111/j.1467- 8624.2004.00681.x
Carpena, A. (2018). Educación socioemocional en la etapa de primaria. Materiales prácticos y de reflexión. Barcelona: Ediciones Octaedro.
Céspedes, A. y Silva, G. (Eds.) (2013). Las emociones van a la escuela. El corazón también aprende. Santiago, Chile: Calpe & Abyla.
Cloud9world Chile (2009-2019). Programa de Habilidades Socioemocionales #1 en USA. Recuperado de https://cloud9worldchile.com/
Cohen, J. (2006). Social, Emotional, Ethical and academic education: creating a climate for learning, participation in democracy, and wellbeing. Harvard Educational Review, 76(2), 201-307. https://doi.org/10.17763/haer.76.2.j44854x1524644vn
Collaborative for Academic, Social, and Emotional Learning (CASEL). (2019). Core SEL Competencies. Recuperado de https://casel.org/core-competencies/
Damasio, A. R. (2012). Y el cerebro construyó al hombre. ¿Cómo pudo el cerebro generar emociones, sentimientos, ideas y el yo? Barcelona: Destino.
Davey, L., Day, A. y Howells, K. (2005). Anger, over-control and serious violent offending. Aggression and Violent Behavior, 10, 624-635. https://doi.org/ 10.1016/j.avb.2004.12.002
Durlak, J., Weissberg, R., Dymnicki, A., Taylor, R. y Schellinger, K. (2011). The Impact of Enhancing Students’ Social and Emotional Learning: A Meta-Analysis of School-Based Universal Interventions. Child Development, 82(1), 405-432. https://doi.org/10.1111/j.1467-8624.2010.01564.x
Eisenberg, N. (2006) Emotion, Regulation and Moral Development. The Annual Review Psychology, 51, 665-697. https://doi.org/10.1146/annurev.psych. 51.1.665
Fernandez-Berrocal, P., Alcaide, R., Extremera, N. y Pizarro, D. (2006). The role of emotional intelligence in anxiety and depression among adolescents. Individual Differences Research, 4(1), 16-27.
Filella, G., Cabello, E., Pérez-Escoda, A. y Ros-Morente, A. (2016). Evaluación del programa de Educación Emocional “Happy 8-12” para la resolución asertiva de conflictos entre iguales. Electronic Journal of Research in Educational Psychology, 14(3), 582-601. https://doi.org/10.14204/ejrep.40.15164
Filella, G, Perez-Escoda, N, Aguilló, M. y Oriol, X. (2014). Resultados de la aplicación de un programa de educación emocional en Educación Primaria. Estudios sobre educación, 26, 125-147. https://doi.org/10.15581/ 004.26.125-147
Gabarda, V. (2014). Bullying en el aula: Aprende qué tipos de bullying existen, cuáles son los factores de riesgo y cómo detectarlo. Universidad Internacional de Valencia, 1(10), 8-11.
Garaigordobil, M. (2018). La educación emocional en la infancia y la adolescencia. Participación Educativa. Revista del Consejo Escolar del Estado, 5(8), 107-127.
Greenberg, M. T., Weissberg, R. P., O’Brien, M. U., Zins, J. E., Fredericks, L. y Elias, M. J. (2003). Enhancing school-based prevention and youth development through coordinated social, emotional, and academic learning. American Psychologist, 58, 466-474. https://doi.org/10.1037/0003-066X.58.6-7.466
Gross, J. J. (1998). Antecedent- and response-focused emotion regulation: Divergent consequences for experience, expression, and physiology. Journal of Personality and Social Psychology, 74, 224-237. https://doi.org/10.1037/0022-3514.74.1.224
Gross, J. (2007). Handbook of emotion regulation. Nueva York: Guillford Press.
Gross, J. (2015). Emotion regulation: corrent status and future prospects. An International Journal for the Advancement of Psychological Theory, 26, 1-26. https://doi.org/10.1080/1047840X.2014.940781
Gross, J. J. y John, O. P. (2003). Individual differences in two emotion regulation processes: Implications for affect, relationships, and well-being. Journal of Personality and Social Psychology, 85, 348-362. https://doi.org/10.1037/0022-3514.85.2.348
Hernández-Sampieri, R. y Fernández- Collado, C. y Baptsista, M. (2010). Metodología de la investigación. México: Mc.GrawHill.
Humphrey, N. (2013). Social and emotional learning: A critical appraisal. Londres: SAGE. https://doi.org/10.4135/9781446288603
Immordino-Yang, M. H. y Damasio, A. R. (2007). We feel, therefore we learn: The relevance of affective and social neuroscience to education. Mind, Brain & Education, 1, 3-10. https://doi.org/10.1111/j.1751-228X.2007.00004.x
Jadue, G. (2002). Factores psicológicos que predisponen al bajo rendimiento, al fracaso y a la deserción escolar. Estudios Pedagógicos, 28, 193-204. https://doi.org/10.4067/S0718-07052002000100012
Jones, K. (2004). Fear of emotions. Simulation & Gaming, 35, 454-460. https://doi.org/10.1177/1046878104269893
Keenan, K. y Shaw, D. S. (2003). Exploring the etiology of antisocial behavior inthe first years of life. En Lahey, B.B., Moffitt, T.E., Caspi, A. (eds.), Causesof Conduct Disorder and Juvenile Delinquency (pp. 153-181). Nueva York: The Guilford Press.
Lagos San Martín, N., Gonzálvez-Maciá, C., Vicent-Juan, M. y Sanmartín, R. (2019). Programa GBI: Una guía para el bienestar interno. Programa de fortalecimiento psicológico para niños de 8 a 12 años. Chillán: Ediciones UBB
Lecannelier, F. (2013) Apego y aprendizaje socioemocional: el «elefante en la habitación» de la educación parvularia. En A. Céspedes, A y G, Silva (eds.), Las emociones van a la escuela. El corazón también aprende (pp. 103-131). Santiago, Chile: Calpe & Abyla .
López Cassá, E. y Pérez-Escoda, N. (2010). Les competències emocionals a l’alumnat de primària. Comunicació presentada en les VI Jornades d’Educació Emocional: «Emocions positives i benestar».
Méndez-Carrillo, F. J., Llavona, L. M., Espada, J. P. y Orgilés, M. (2013). Fortaleza psicológica y prevención de las dificultades emocionales. Madrid: Pirámide.
Milicic, N., Alcalay, L., Berger, C. y Torreti, A. (2014). Aprendizaje socioemocional. Programa BASE (Bienestar y Aprendizaje Socioemocional) como estrategia de desarrollo en el contexto escolar. Madrid: Pirámide .
Monjas, M. I. (2012). Programa de enseñanza de habilidades de interacción social (PEHIS) Para niños y adolescentes. Madrid: CEPE
Montoya-Castillo, I., Postigo-Zegarra, S. y González, R. (2016). Programa de educación emocional para adolescentes. PREDEMA. De la emoción al sentido. Madrid: Pirámide .
Merchán, I., Bermejo, M y González, J. (2014). Eficacia de un programa de educación emocional en educación primaria. Revista de Estudios e Investigación en Psicología y Educación, 1(1), 91-99. https://doi.org/10.17979/reipe. 2014.1.1.30
Muñoz de Morales, M. y Bisquerra, R. (2013). Diseño, aplicación y evaluación de un plan de educación emocional en Guipúzcoa: análisis cuantitativo. EduPsykhé Revista de Psicología y Educación, 12(1), 3-22.
Pena, M., Extremera, N. y Rey, L. (2016). Las competencias emocionales: material escolar indispensable en la mochila de la vida. Revista Padres y Maestros, 368, 6-10. https://doi.org/10.14422/pym.i368.y2016.001
Pérez-Escoda, N., Torrado, M., López-Cassà, E. y Fernández, M. (2014). Competencias emocionales y ansiedad en la educación primaria. I Congreso Internacional de Educación Emocional (X Jornadas de Educación Emocional), Barcelona, 4-6 abril.
Pérez, N. y Filella, G. (2019). Educación emocional para el desarrollo de competencias emocionales en niños y adolescentes. Praxis & Saber, 10(24), 23-44 https://doi.org/10.19053/22160159.v10.n25.2019.8941
Pérez-Escoda, N., Filella, G., Bisquerra, R. y Alegre, A. (2012). Developing the emotional competence of teacher and pupils in school context. Electronic Journal of Research in Educational Psychology, 3(10), 1183-1208.
Repetto, E., Lozano, S., Fernández-Berrocal, P., Extremera, N., Mudarra, M.J. y Morales, E. (2009) (dirs.), Formación en competencias socioemocionales. Libro del Formador y Libro del Alumno. Madrid: La Muralla.
Ros, M., Filella, G., Ribes, R y Pérez-Escoda, N. (2017). Análisis de la relación entre competencias emocionales, autoestima, clima de aula, rendimiento académico y nivel de bienestar en educación primaria. REOP - Revista Española de Orientación y Psicopedagogía, 28(1), 8-18. https://doi.org/10.5944/reop.vol.28.num.1.2017.19355
Rueda, p., Cabello, E., Filella, G. y Vendrell, M.C. (2016). El programa de educación emocional Happy 8-12 para la resolución asertiva de conflictos. Tendencias Pedagógicas, 28, 153-166. https://doi.org/10.15366/tp2016.28.011
Sánchez, I., Herrera, E. y Rodríguez, C. (2020). Eficacia de resolución colaborativa de problemas en el desarrollo de habilidades cognitivo-lingüísticas y en el rendimiento académico en física. Formación universitaria, 13(6), 191-204. https://doi.org/10.4067/S0718-50062020000600191
Save the Children (2015). Violencia contra la infancia, hacia una Estrategia Integral. Madrid. Recuperado de https://www.savethechildren.es/publicaciones/violencia-contra-la-infanciahacia-una-estrategia-integral
Silva, J. (2005). Regulación emocional y psicopatología: el modelo de vulnerabilidad/resiliencia. Revista Chilena de Neuro-psiquiatría, 43(3), 201-209 https://doi.org/10.4067/S0717-92272005000300004
Steiner, C. (2013). Educación emocional. Sevilla: Editorial Jeder.
Zins, J. E., Weissberg, R. P., Wang, M. C. y Walberg, H. J. (Eds.). (2004). Building academic success through social and emotional learning: What does the research say? Nueva York: Teachers College Press.