NOTAS Y DOCUMENTOS

Con las siglas SPI, se abrevia internacionalmente el nombre del Índice Estandarizado de la Precipitación, desarrollado en la Universidad de Texas, EEUU, por tres de sus investigadores Thomas McKee, N. J. Doesken y J. Kliest (1993) del área de Climatología y Agricultura, con el propósito de estudiar y realizar seguimiento del proceso de la sequía. El SPI se obtiene mediante un proceso que consiste en determinar una distribución de probabilidad (generalmente la gamma) a las series de precipitación acumuladas y homogéneas, con 30 o más años de registro, y posteriormente, cada dato gamma acumulado, se convierte con una distribución normal inversa, al índice SPI, con media cero y varianza uno. Gráficamente, el proceso se resume así:
Serie de PP => PPac => dist. gamma acum. de la PPac => SPI = Z =dist. normal invertida
Con la hoja de cálculo Excel se realiza el cálculo de este proceso, si se conocen previamente los parámetros alfa y beta de la distribución gamma, pero en estudios regionales con demasiados datos, los índices de sequía se obtienen en sus diferentes escalas temporales de 1, 3, 6, 12, 24, 48 y 72 meses, mediante programas estadísticos ad hoc.
Aunque se habla de la sencillez del cálculo de este Índice-SPI, cuando el principiante comienza a ver que se requiere calcular dos parámetros - alfa y beta - las integrales para determinar la función gamma, la distribución gamma acumulada y la fórmula de la inversa de la distribución normal, en verdad, piensa otra cosa, distinta a sencillez.
Lo extraño, a que nos referimos en el título de esta Nota, surge cuando en referencias consultadas de prestigiosos profesionales y afamadas revistas técnicas como Edwards, D. (1997), Lloyd-Hughes y Saunders (2002), Giddings et al. (2005) y Wu et al. (2007) se refieren a una fórmula (Véase las fórmulas 1.1 y 1.2 para calcular el SPI) y todos coinciden en que su autoría es de Abramowitz and Stegun (1964). Esta afirmación es inapropiada, ya que esta obra que es una recopilación de complejas fórmulas matemáticas y estadísticas que suman 1.046 páginas y que como un handbook, está escrita por diferentes autores, si bien la formula del SPI se encuentra en el hanbook, los editores no son los autores, sino los firmantes del Capítulo 26, (Probability Functions) quienes son los estadísticos matemáticos Marvin Zelen y Norman Severo.
Por otra parte, la escritura de las fórmulas como las presentamos en 1.1 y 1.2 son muy diferentes a las de Zelen y Severo, incluidas en la página 933 del Handbook de Abramowitz and Stegun (1964) y desconocemos quien fue el primero que relacionó la fórmula con el SPI, ya que para la fecha de su edición, el SPI no existía, pero creemos que entre ellos podría estar Edwards, quien en 1997 presentó su tesis de maestría en la Universidad de Colorado bajo la supervisión de Thomas McKee, uno de los autores del SPI en 1993. En esa tesis y en Wu et al. (2007) se encuentran las expresiones polinómicas que hemos transcrito con ciertas modificaciones en 1.1 y 1.2.
Si bien es cierto que Edwards (1997) se refiere a ellas como “una aproximación que permite convertir la probabilidad acumulada a la variable Z normal estandarizada”, también es cierto que ellas son las fórmulas del SPI, puesto que, para entrar en la fórmula con la probabilidad acumulada, previamente se requiere disponer del dato de lluvia, los parámetros alfa y beta, y resolver la integral correspondiente de H(x).
Con los polinomios 1.1 y 1.2, se calcula el SPI para cualquiera de sus escalas temporales, tal como aparecen en los estudios de la sequía meteorológica en las diferentes zonas geográficas de Venezuela y como lo aplican Wu et al. (2005) para los EEUU, aunque la aplicación del SPI en las zonas áridas no satisface en modo alguno.
Si H(x) ≤ 0,5 en (1.1) la fórmula del SPI lleva signo menos y el SPI será negativo:
(1a)Si H(x) ˃ 0,5 en (1.2) la fórmula del SPI lleva signo más y será positivo:
(1b)Las expresiones 1a y 1b son más sencillas que 1aa y 1bb:
(1aa)
(1bb)En verdad, hay una sola fórmula del SPI, la cual aplica según el valor de la probabilidad de la lluvia y el valor de t, pero para propósitos didácticos, es recomendable presentarla como se ha hecho.
Cuando en una serie hay datos con lluvia cero, H(x) se calcula por la fórmula de Thom (1958):
(2)Donde: q, proporción de datos con valor igual a cero en la serie; q = (m/n) (2a)
m, número de datos cero en la serie
n, número total de datos
(1-q), proporción de lluvia diferente de cero
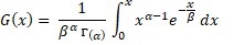
G(x), la distribución gamma acumulada; ℾ (α), la función gamma de alfa y α y β, los parámetros de la distribución.
Con un calculador de integrales como el “Experiment calculator” se obtienen Gx y ℾ(α).
(3)

(3.1)Para comprobación de la fórmula del SPI, se indica la información de una serie de 43 datos, con lluvia acumulada de 136,6 mm; los parámetros, α =18,8837 y β = 5,3025; H(x) = 0,9329; t = 0,3246 y SPI = 1,498. Para la misma serie, una lluvia de 45 mm tendrá: H(x) = 0,0014; t = 3,6235 y SPI= -2,98.
Como complemento de la presente Nota, destacamos que en la literatura climatológica que trata del SPI, hay una clara y positiva tendencia a utilizar la expresión “Indice Estandarizado de la Precipitación”, en la traducción de su denominación en inglés,como se aprecia en los siguientes organismos y articulistas, Comisión Nacional del Agua, CONAGUA (2018), The Global Water Parnetship (GWP); el Programa Agua, Clima y Desarrollo (PACyD) de Centroamérica; sin embargo, la Organización Meteorológica Mundial (2012) lo llama Índice Normalizado de la Precipitación, término equivalente a estandarizado.
Conclusiones:
Referencias
Edwards, Daniel. (1997). Characteristics of 20th Century Drought in the United States at Multiple Time Scales. Master of Science degree in Atmospheric Science. Colorado State University, Fort Collins, Colorado.
CONAGUA (Comisión Nacional del Agua). (2018). Indice Estandarizado de Precipitación (SPI México. https://smn.cna.gob.mx/es/climatologia/monitor-de-sequia/spi.
Giddings, Soto; Rutherford B. and A Moorouf. (2005). Standardized Precipitation Index zones for México. Atmosfera. PP.35-56.
McKee, Thomas. B; Doesken, N. J. and J. Kliest. (1993). The relationships of drought frequency and duration to time scales. In Proceedings of the 8th Conference of Applied Climatology, 17-22, January, Anaheim, California, American Meteorological Society, Boston, 179-184. [Consultado 1/2/2009]
Organización Meteorológica Mundial. (2012). Guía del usuario sobre el Índice normalizado de precipitación (OMM-Nº 1090) (M. Svoboda, M. Hayes y D. Wood). Ginebra.
Lloyd-Hughes, Benjamin and Mark A. Saunders. (2002). Taller sobre el uso del índice estandarizado de precipitación (SPI) 16/06/2014 en https://www.gwp.org/es/GWP-Centroamerica/EN_ACCION/NOTICIAS/indice-estandarizado-de-precipitacion/
Thom, H. (1958). A note on the gamma distribution. Monthly Weather Review. Vol 6. No. 4.
Wu, Hong; Svoboda, Mark D; Hayes; Michael J.; Wilhite, Donald and Fujiang Wenc. (2007). Appropriate application of the standardized Precipitation Index in arid locations and dry seasons. International Journal of Climatology. 27: 65–79
Zelen, Marvin and Norman Severo, Cap. 26. Probability functions en Abramowitz, Milton and Irene Stegun, Eds. (1964, 1972). Handbook of Mathematical Functions with formulas, graphs, and mathematical tables. National Bureau of Standards Applied Mathematical Series 55. 10th printing 2. Disponible en: http://people.math.sfu.ca/~cbm/aands/abramowitz_and_stegun.pdf y en: http://people.math.sfu.ca/~cbm/aands/abramowitz_and_stegun.pdf [Consultado 12/1/2010]
Anexo A: Lo que dice exactamente el Handbook
Dadas las inexactitudes u omisiones que se encuentran cuando se cita la fòrmula del SPI, consideramos agregar como anexo, lo que realmente trae el Hanbook de Abramowitz and Stegun (1964, 1972) con autoría de Zelen y Severo, tomado textualmente de la pagina 933:
Formula 26.2.23:

Bound useful as aproximation to the Normal Distribution Function.
También trae otra fórmula de Xp con 4 constantes, y que da casi igual resultado, pero
indica mayor valor y, por consiguiente, nadie ha considerado su uso.