Artículos de investigación
EFECTO DE LOS SESGOS DE PERCEPCIÓN DEL PRODUCTO SOBRE EL MODELO DE UTILIDAD DEL CONSUMIDOR
EFFECT OF PRODUCT PERCEPTION BIASES ON THE CONSUMER UTILITY MODEL
EFECTO DE LOS SESGOS DE PERCEPCIÓN DEL PRODUCTO SOBRE EL MODELO DE UTILIDAD DEL CONSUMIDOR
KAIRÓS, Revista de Ciencias Económicas, Jurídicas y Administrativas, vol. 8, núm. 15, pp. 75-91, 2025
Universidad Nacional de Chimborazo

Recepción: 08 Marzo 2025
Aprobación: 29 Junio 2025
Resumen: Los sesgos de percepción social y calidad alteran la utilidad del consumidor, modificando sus decisiones frente a bienes sustitutos. Este estudio modela esa distorsión mediante una función de utilidad con un factor de sesgo, evaluada en paralelo con una red neuronal entrenada con datos experimentales. El modelo matemático logra alta precisión, similar a la red neuronal, confirmando su capacidad explicativa. Los resultados muestran que la percepción influye tanto como el precio o ingreso en la elección óptima, provocando desplazamientos de la función de utilidad a lo largo de la recta presupuestaria, dado que las preferencias del consumidor se reorientan hacia el bien que goza de mejor percepción social. Se concluye que integrar factores psicológicos en modelos clásicos es clave para comprender mercados mediados por reputación.
Palabras clave: Mercado, percepción, presupuesto, modelo, consumo, marca.
Abstract: Social perception and quality biases alter consumer utility, modifying their decisions regarding substitute goods. This study models this distortion through a utility function incorporating a bias factor, evaluated in parallel with a neural network trained on experimental data. The mathematical model achieves high accuracy, like the neural network, confirming its explanatory power. The results show that perception influences optimal choice as much as price or income, causing shifts in the utility function along the budget constraint, as consumer preferences shift toward the good enjoying better social perception. It is concluded that integrating psychological factors into classical models is essential for understanding markets driven by reputation.
Keywords: Market, perception, budget, model, consumption, brand..
Introducción
Desde la teoría económica neoclásica, el comportamiento del consumidor se ha modelado históricamente mediante funciones de utilidad que presuponen racionalidad plena, preferencias estables y decisiones óptimas basadas en variables objetivas como precios e ingreso (Khoder, 2024). Este modelo ha sido útil para construir una base analítica sólida en la teoría del consumidor, permitiendo formular predicciones claras sobre la conducta bajo distintos escenarios de mercado. No obstante, esta aproximación ha sido cuestionada por los avances en economía conductual, que evidencian cómo los consumidores no siempre actúan racionalmente (Thaler, 2016). Las decisiones reales están influenciadas por factores psicológicos, sociales y emocionales, lo que da lugar a sesgos sistemáticos en la percepción y evaluación de los bienes y servicios (Dirwan & Latief, 2023; Kahneman & Tversky, 1979; Shah & Asghar, 2023).
Entre estos sesgos destacan la aversión a la pérdida, el efecto halo, el anclaje y la disponibilidad, que distorsionan la valoración subjetiva de los productos y afectan las decisiones económicas (Kahneman et al., 1991). Así, la función de utilidad ya no depende exclusivamente de características tangibles, sino también de elementos construidos socialmente (Yi, 2023). Esta perspectiva ha sido abordada por autores como Plonsky et al., (2019), quienes muestran cómo la reputación de marca, las narrativas simbólicas y la presión social modifican las preferencias reveladas y generan desviaciones respecto a los modelos racionales tradicionales
La literatura reciente ha intentado modelar esta distorsión mediante diferentes enfoques. Algunos estudios han incorporado parámetros de ajuste en funciones de utilidad para capturar el efecto de variables cognitivas y sociales (Han et al., 2022), mientras que otros han utilizado técnicas de inteligencia artificial como las redes neuronales para identificar patrones de decisión no lineales y contextuales (Geng et al., 2024). En contraste, trabajos que han aplicado la función Cobb-Douglas para describir comportamientos de consumo critican su simplicidad, especialmente en contextos donde influyen variables intangibles y preferencias heterogéneas (Jiménez & Castañeda, 2018; Lahiri, 2024). A pesar de sus aportes, estos enfoques comparten una limitación importante: su dificultad para integrar de manera explícita las influencias sociales subjetivas dentro de estructuras analíticas que reflejen adecuadamente la complejidad del comportamiento del consumidor.
El análisis de cómo los sesgos de mercado, especialmente aquellos relacionados con la percepción de calidad y la presión social, inciden en las decisiones de compra, se ha convertido en una línea clave para comprender las dinámicas del consumo en contextos digitales. Si bien investigaciones previas han abordado el impacto de las redes sociales sobre el comportamiento del consumidor, muchas de estas han adoptado enfoques cualitativos centrados en el marketing digital y la gestión de la reputación de marca (Molina & Altamirano, 2022). No obstante, existe una brecha significativa en la literatura respecto a la formalización matemática de estos fenómenos, particularmente en la forma en que la opinión pública y los juicios sociales modifican la función de utilidad y, con ello, las decisiones racionales del consumidor (Bischi & Tramontana, 2024; Plonsky et al., 2019).
Ante este panorama, resulta evidente la necesidad de avanzar hacia modelos que permitan cuantificar el impacto de los sesgos de percepción en el equilibrio del consumidor. En respuesta a esta carencia, el presente estudio propone un modelo matemático que incorpora un factor de sesgo ( ) dentro de una función de utilidad modificada, con el fin de representar cómo la percepción social puede alterar las decisiones de consumo incluso cuando los precios y el ingreso permanecen constantes. La inclusión explícita del factor de sesgo constituye una innovación metodológica relevante, ya que introduce una variable latente basada en juicios sociales directamente en el proceso de maximización de utilidad. Esto permite una representación más realista y dinámica del comportamiento del consumidor. Esta propuesta busca llenar el vacío identificado en la literatura, ofreciendo un nuevo enfoque teórico que complemente la economía conductual con herramientas formales propias del análisis microeconómico.
Métodos
El presente estudio busca modelar y validar matemáticamente cómo los sesgos de percepción de un producto o servicio afectan las decisiones de consumo dentro del marco de la optimización de la función de utilidad. Para ello, el modelo propuesto se basa en la maximización de la función de utilidad sujeta a una restricción presupuestaria, incorporando una función de sesgo que representa la influencia de la percepción social en las decisiones de compra.
La hipótesis planteada en este trabajo sostiene que la función de sesgo perceptual afecta directamente a la función de utilidad, generando desplazamientos en su forma y, por tanto, en el equilibrio del consumidor. En particular, se espera que el nivel óptimo de utilidad se desplace hacia el producto con mejor percepción social, incluso si los precios y el ingreso permanecen constantes. Este efecto de percepción implica una redistribución del consumo que no responde a condiciones objetivas del mercado, sino a construcciones subjetivas influenciadas por el entorno social.
Para validar este modelo matemático desarrollado, se propone un método de evaluación basado en la comparación de su desempeño con la de una red neuronal entrenada mediante aprendizaje supervisado. Utilizando datos recolectados, la red recibe como entradas los precios de los bienes, el ingreso y el nivel de sesgo, y como salidas las cantidades óptimas de consumo observadas. Al comparar sus predicciones con las del modelo teórico, se podrá determinar su validez y capacidad para representar decisiones reales influenciadas por la percepción social.
Construcción del modelo teórico
En el presente modelo, se introduce el concepto de factor de sesgo ( ) como una medida de la influencia que ejercen las percepciones del bien o servicio sobre las preferencias del consumidor, el cual tomará valores en el rango de 0 a 1. Un valor de 0 indica un rechazo total hacia el producto 2 y una preferencia absoluta por el producto 1, mientras que un valor de 1 representa el escenario opuesto, es decir, un rechazo total del producto 1 y una preferencia completa por el producto 2, así también un factor de sesgo que toma un valor de 0.5, sugiere que el consumidor percibe ambos productos de manera relativamente semejante, sin una preferencia clara por uno u otro.
Matemáticamente, estos desplazamientos en la función de utilidad se pueden expresar como: 
Sujeto a: 
Donde:
: Utilidad.
: Cantidad del producto 1.
: Cantidad del producto 2.
: Precio del producto 1.
: Precio del producto 2.
: Factor de peso de producto 1.
: Factor de peso de producto 2.
: Factor de sesgo del producto 2 con respecto al producto 1.
: Función de sesgo.
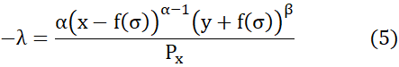
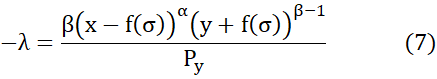
A continuación, se procede a la maximización de la función de utilidad en función de los demás parámetros, para lo cual utilizamos el método de optimización de Lagrange.
Planteamos la ecuación de Lagrange, 
Obtenemos sus derivadas parciales 



Igualamos las identidades obtenidas en (5) y (7), 

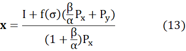
De aquí obtenemos que los valores óptimos para los productos 1 y 2 definidos por x e y respectivamente están definidos por: 

Reemplazamos estos valores en la ecuación (2) para obtener las cantidades óptimas de productos 1 y 2 (x, y) en términos del ingreso y sus precios.
Para el producto 1 (x), 

Para el producto 2 (y), 

Las ecuaciones (13) y (15) representan las soluciones óptimas para las cantidades consumidas de los productos 1 (𝑥) y 2 (𝑦), respectivamente, considerando la influencia del factor de la función de sesgo 𝑓(𝜎), la cual actúa como un modulador de la utilidad percibida. Sin embargo, en esta etapa del modelo aún no se conoce la forma funcional exacta de 𝑓(𝜎), lo que impide calcular de manera precisa los valores óptimos de consumo.
Para resolver este vacío, se recurre al uso de métodos de interpolación que permitirán la formulación de una función de sesgo basada en tres comportamientos límite que describen las preferencias extremas o neutrales del consumidor:
1. Cuando
(rechazo total al producto 2), el consumidor asigna su ingreso exclusivamente al producto 1 (
).
2. Cuando
(neutralidad), el sesgo no afecta la utilidad (
), replicando el equilibrio clásico donde las elecciones dependen solo de precios y ingreso.
3. Cuando
(rechazo total al producto 1), el consumidor asigna su ingreso exclusivamente al producto 2 (
).
A partir de los tres puntos clave definidos para el factor de sesgo (
) y sus correspondientes valores óptimos de consumo (𝑥,𝑦), es posible determinar los valores específicos de la función 𝑓(𝜎) en esos tres escenarios límite.
1. Como sabemos que para se tendrá un rechazo total por el producto 2, entonces: 
Por lo tanto, 
2. También sabemos que para un valor de la función de sesgo no afecta a la función de utilidad por lo que: 
3. Para se tendrá una preferencia total por el producto 2 y un rechazo total por el producto 1, entonces: 
Por lo tanto, 
Los resultados obtenidos anteriormente permiten determinar los valores puntuales de la función de sesgo 𝑓(𝜎) en función de los precios e ingreso del consumidor, pero únicamente para tres valores específicos del parámetro de sesgo:
,
y
. Si bien estos puntos proporcionan información valiosa sobre el comportamiento límite de la función, no son suficientes para conocer su forma general en todo el intervalo continuo [0,1]. Por ello, a continuación, se recurre al uso de métodos de interpolación para aproximar una expresión matemática continua que describa el comportamiento de 𝑓(𝜎) en todo su dominio.
A manera de simplificación nombramos dos nuevas variables m y n para los valores de
y
respectivamente. 

En resumen, los datos disponibles son:
| Abscisas | Ordenadas |
| 0 | m |
| 0.5 | 0 |
| 1 | n |
Fuente: elaboración propia.
Aplicamos el método del polinomio de interpolación para lo cual tenemos: 


Resolviendo este sistema de ecuaciones podemos determinar que: 


En consecuencia, la función de sesgo 𝑓(𝜎) ha sido aproximada mediante un polinomio que ahora está definido en todo el intervalo
. Esta expresión permite representar el comportamiento del sesgo perceptual de forma continua, y está formulada en términos de los precios
, el ingreso del consumidor
, y los parámetros 𝛼 y 𝛽. Su forma matemática se expresa de la siguiente manera: 
Con base en la evaluación de la función de sesgo 𝑓(𝜎), se observa que su forma a lo largo del intervalo 𝜎∈[0,1] varía significativamente en función de la proporción relativa entre los parámetros 𝛼 y 𝛽. Estos parámetros representan el peso o la importancia asignada a cada uno de los bienes en la función de utilidad, por lo que su relación influye directamente en la sensibilidad del modelo frente al sesgo perceptual. A medida que se modifican los valores relativos de 𝛼 y 𝛽, la curvatura y simetría de 𝑓(𝜎) también se ven afectadas, reflejando distintos patrones de respuesta del consumidor ante la percepción (𝜎). A continuación, en las Figuras 1, 2 y 3 se presentan las representaciones gráficas de la función 𝑓(𝜎) para diferentes combinaciones de 𝛼 y 𝛽, con el fin de ilustrar cómo varía su comportamiento bajo distintos escenarios de importancia asignada a cada uno de los bienes.

Fuente: elaboración propia.
La figura 1 muestra que cuando el factor de peso del bien 1 (x) es mayor que el del bien 2 (y), o sea , resulta poco probable que los compradores comiencen a adquirir unidades del bien 2 aun cuando su percepción haya mejorado.

Fuente: Elaboración propia.
La figura 2 muestra que cuando el factor de peso del bien 1 (x) es igual que el del bien 2 (y), o sea
, las variaciones en las cantidades adquiridas del bien 1 son inversamente proporcionales al factor de sesgo, mientras que las del bien 2 varían de manera directamente proporcional a dicho factor.

Fuente: Elaboración propia.
La figura 3 muestra que cuando el factor de peso del bien 1 (x) es menor que el del bien 2 (y), o sea
, resulta poco probable que los compradores dejen de adquirir unidades del bien 2 aun cuando su percepción haya empeorado un poco.
Evaluación y validación del modelo
El modelo planteado requiere una validación que permita contrastar su comportamiento con el comportamiento real de las personas. Para ello, se aplicaron encuestas a una muestra perteneciente a la población económicamente activa de la ciudad de Riobamba, a quienes se les presentaron escenarios generados aleatoriamente compuestos por combinaciones de precios (𝑃𝑥, 𝑃𝑦), ingreso (𝐼) y niveles de sesgo (𝜎), registrando sus elecciones resultantes de consumo (𝑋, 𝑌). Este proceso permitió recopilar un total de 839 observaciones válidas, que capturan patrones reales de toma de decisiones. Los datos obtenidos se utilizaron posteriormente para entrenar la red neuronal mediante aprendizaje supervisado, con el objetivo de que esta aprendiera a reproducir con precisión las decisiones de consumo observadas.
Durante la recopilación de datos, se indicó expresamente a cada individuo que el escenario hipotético estaba relacionado con productos de características similares, como yogur de fresa o de durazno, Coca-Cola o Pepsi, o galletas de sal y de dulce. Como consecuencia, en el modelo de utilidad para la evaluación, los factores de peso y se asumirán con el mismo valor, reflejando la similitud percibida entre los productos.
La información recolectada a partir de los escenarios simulados será utilizada para entrenar una red neuronal mediante un enfoque de aprendizaje supervisado, empleando para ello el software MATLAB. En este proceso, tal como se observa en la figura 4, los datos de entrada estarán compuestos por las variables económicas fundamentales: el precio del bien 1 (𝑃𝑥), el precio del bien 2 (𝑃𝑦), el ingreso del consumidor (𝐼) y el valor del sesgo (𝜎). Por su parte, las salidas esperadas corresponderán a las cantidades óptimas de consumo de los bienes 𝑥 y 𝑦. con el modelo teórico propuesto.

Fuente: elaboración propia.
El objetivo final de este proceso es que la red neuronal logre emular el comportamiento real de los consumidores, generando predicciones que sean coherentes con las decisiones humanas en contextos similares. A partir del entrenamiento supervisado, la red aprenderá a predecir las elecciones de consumo ( ) en función de variables como precios, ingreso y sesgo.
Además, las respuestas obtenidas tanto del modelo matemático como de la red neuronal serán evaluadas y comparadas mediante métricas cuantitativas como los coeficientes de correlación y determinación ( ) y error absoluto medio. Estas métricas permitirán evaluar el grado de ajuste y la capacidad predictiva de cada enfoque, aportando evidencia sólida sobre la eficacia del modelo matemático propuesto para describir y explicar las decisiones reales de los consumidores.
Resultados
Ambos modelos, tanto la red neuronal como el modelo matemático planteado, son evaluados y comparados con el objetivo de analizar sus características y capacidades predictivas en la representación del comportamiento del consumidor. Para ello, es fundamental realizar un entrenamiento previo de la red neuronal, utilizando los datos recopilados de los usuarios, a fin de que pueda aprender patrones de decisión y reproducirlos de manera precisa. Posteriormente, se aplica métricas de desempeño para contrastar los resultados obtenidos por ambos enfoques, permitiendo así determinar su validez, precisión y aplicabilidad en distintos escenarios de análisis.
La red neuronal es entrenada utilizando 4 valores de entrada y 2 de salidas, estas están determinadas por:
| Entradas | Salidas |
| I: Ingreso | x: Producto 1 |
| : Precio del producto 1 | |
| : Precio del producto 2 | y: Producto 2 |
| : Factor de sesgo |
Fuente: elaboración propia.
La figura 5 muestra la topología elegida para la red neuronal, misma que es entrenada usando el software MATLAB.

Fuente: elaboración propia.
Dado que durante la recopilación de datos se informó a los participantes que los productos evaluados eran similares en características, en el modelo de utilidad se asume que los factores de peso 𝛼 y 𝛽 tienen el mismo valor. Por lo tanto, la función de utilidad planteada para evaluar el modelo matemático estará descrita por: 
Sujeto a: 
Donde:
: Utilidad.
: Cantidad del producto 1.
: Cantidad del producto 2.
: Precio del producto 1.
: Precio del producto 2
: Factor de sesgo.
: Función de sesgo.
Para evaluar la precisión de los modelos propuestos, se ha optado por realizar el cálculo de los coeficientes: coeficiente de correlación, determinación y error medio absoluto, el cual permitirá medir cuantitativamente qué tan apropiados es el modelo matemático para describir el comportamiento en comparación con los valores generados por la red neuronal entrenada.
Las tablas 3 y 4 presentan los valores del coeficiente de correlación ( ), el coeficiente de determinación ( ) y el error medio absoluto ( ) obtenidos para la evaluación de los modelos analizados.
| Coeficiente | Red neuronal | Modelo |
| r | 0.9763 | 0.9724 |
| 0.9531 | 0.9457 | |
| MAE | 0.4703 | 0.4108 |
Fuente: elaboración propia.
| Coeficiente | Red neuronal | Modelo |
| r | 0.9835 | 0.9806 |
| 0.9673 | 0.9616 | |
| MAE | 0.4602 | 0.4122 |
Fuente: elaboración propia.
Estos indicadores permiten medir la relación entre las variables y la excelente capacidad explicativa con la que cuentan los modelos, proporcionando información clave sobre su precisión y ajuste a los datos observados.
De manera general, un modelo se considera bueno cuando presenta un coeficiente de correlación ( ) cercano a 1, lo que indica una fuerte relación entre las predicciones del modelo y los valores reales (Gershman & Ullman, 2023). En términos del coeficiente de determinación ( ), valores superiores a 0.8 suelen considerarse adecuados, mientras que valores por encima de 0.9 indican un modelo altamente preciso en la explicación de la variabilidad de los datos (Romeo, 2020). Sin embargo, estos umbrales pueden variar según la aplicación específica. Por otro lado, el error absoluto medio (MAE) es una métrica clave para poder realizar una comparación entre ambos modelos, ya que mide la diferencia promedio entre los valores predichos y los reales.
Discusión y conclusiones
Los resultados obtenidos respaldan la hipótesis planteada: el sesgo de percepción social y de calidad tiene un efecto significativo sobre la función de utilidad, generando desplazamientos en la asignación óptima de consumo hacia el producto que goza de mayor aceptación o reputación. Esta alteración no depende de cambios objetivos en los precios o el ingreso, sino de factores subjetivos asociados al contexto social y psicológico del consumidor.
El modelo matemático propuesto, que incorpora el sesgo mediante una función ajustada 𝑓(𝜎), permitió representar con alta precisión la influencia de la percepción sobre el comportamiento del consumidor. Su desempeño fue comparable al de la red neuronal entrenada, con diferencias mínimas en los coeficientes de correlación y determinación, y una ligera ventaja en el error absoluto medio (MAE), lo que sugiere mayor estabilidad en predicciones individuales. Estos hallazgos indican que es posible capturar de forma analítica un fenómeno típicamente considerado como intangible o psicológico, sin perder validez frente a enfoques computacionales.
Desde una perspectiva teórica, los resultados refuerzan los postulados de la economía conductual, que sostiene que los consumidores no toman decisiones puramente racionales, sino que su juicio está mediado por heurísticos y percepciones construidas socialmente (Camerer et al., 2004). El desplazamiento de las cantidades óptimas de consumo observado en función de 𝜎 refleja el tipo de distorsión cognitiva descrita en teorías como la aversión al riesgo o el efecto halo, donde atributos no económicos impactan decisiones económicas.
En comparación con estudios previos como los presentados en Muñoz et al. (2023) y Calle & Pilozo (2022), el presente trabajo avanza más allá del análisis cualitativo de la influencia social, al proporcionar una representación cuantitativa que vincula directamente el sesgo perceptual con los resultados de elección en un entorno matemáticamente formalizado.
No obstante, el modelo presenta limitaciones. En particular, no considera la influencia de elementos dinámicos como la publicidad, el efecto de los influencers o los cambios temporales en la percepción del producto. Además, la función de sesgo se aproxima mediante interpolación, lo que implica ciertas restricciones de generalización.
Un hallazgo inesperado es la robustez del modelo, que evidencia cómo el sesgo σ impacta la función de utilidad bajo distintas relaciones entre α y β, un resultado que no había sido reportado previamente y que resulta valioso para mercados donde los productos sustitutos poseen diferente grado de importancia asignada.
Cabe destacar que, en investigaciones futuras, este enfoque podría aprovecharse no solo para cuantificar el efecto de los sesgos sobre las decisiones de consumo, sino también para aplicarse de manera inversa. Es decir, a partir de datos observados de consumo, sería posible estimar la métrica del sesgo, lo cual permitiría evaluar de forma precisa el impacto real de estrategias de mercado, como las campañas publicitarias, sobre las preferencias y los comportamientos de los consumidores. Esta posibilidad abre nuevas líneas de análisis tanto para la teoría económica como para la práctica empresarial, al ofrecer herramientas cuantitativas para entender y gestionar la influencia de factores psicológicos y sociales en el mercado.
Agradecimientos
El autor desea expresar su agradecimiento a los docentes de la carrera de Economía de la Universidad Estatal Amazónica por el valioso conocimiento y orientación brindados, los cuales han contribuido de manera significativa a la realización de este artículo.
Referencias
1. Bischi, G. I., & Tramontana, F. (2024). An evolutive model of a boundedly rational consumer with changing preferences and reference group consumption. Annals of Operations Research, 337(3), 891–912. https://doi.org/10.1007/S10479-024-05885-X/FIGURES/6
2. Calle, M., & Pilozo, D. (2022). Efectos de la influencia social y la calidad percibida en la intención de compra de productos nacionales. Compendium: Cuadernos de Economía y Administración, 9(2), 177. https://doi.org/10.46677/COMPENDIUM.V9I2.1055
3. Camerer, C., Loewenstein, G., & Rabin, M. (2004). Advances of behavioral Economics. Russell Sage Foundation.
4. Dirwan, D., & Latief, F. (2023). Understanding the Psychology Behind Consumer Behavior. Advances in Business & Industrial Marketing Research, 1(3), 130–145. https://doi.org/10.60079/ABIM.V1I3.201
5. Geng, S., Liu, F., Gong, M., Wu, T., & Li, Y. (2024). Applying Deep Learning Models to Consumer Choice Theory in Western Economics: A Case Study on Consumer Preference Prediction. Advances in Economics, Business and Management Research, 436–446. https://doi.org/10.2991/978-94-6463-598-0_44
6. Gershman, S., & Ullman, T. (2023). Causal implicatures from correlational statements. PLOS ONE, 18(5), e0286067. https://doi.org/10.1371/journal.pone.0286067
7. Han, Y., Pereira, F., Ben-Akiva, M., & Zegras, C. (2022). A neural-embedded discrete choice model: Learning taste representation with strengthened interpretability. Transportation Research Part B: Methodological, 163, 166–186. https://doi.org/10.1016/J.TRB.2022.07.001
8. Jiménez, M. C., & Castañeda, E. L. (2018). Estimación de la función de utilidad del consumidor ecuatoriano en el año 2012. Boletín de Coyuntura, 16, 4–6. https://doi.org/10.31164/bcoyu.16.2018.658
9. Kahneman, D., & Tversky, A. (1979). Prospect theory: An analysis of decision under risk. Econometrica, 47, 143–172. https://doi.org/10.2307/1914185
10. Kahneman, D., Knetsch, J. L., & Thaler, R. H. (1991). Anomalies: The endowment effect, loss aversion, and status quo bias. Journal of Economic Perspectives, 5(1), 193–206. https://doi.org/10.1257/jep.5.1.193
11. Khoder, K. M. (2024). The Evolution of the Utility Function: Enhancing Economic Rationality and Improving the Objectivity of Microeconomic Analysis Tools. Library Progress International, 44(3), 19938–19946. https://doi.org/10.48165/BAPAS.2024.44.2.1
12. Lahiri, S. (2024). Budget-constrained Maximization of “Cobb-Douglas with Linear Components” Utility Function. SSRN Electronic Journal. https://doi.org/10.2139/SSRN.4691629
13. Molina, S. P., & Altamirano, K. G. (2022). Estrategias de marketing en redes sociales: Influencia en el comportamiento del consumidor. Revista Científica Kosmos, 1(1), 4–14. https://doi.org/10.62943/RCK.V1N1.2022.35
14. Muñoz, S., Quinaluisa, N., Cadena, D., & Romero, C. (2023). El impacto del posicionamiento de marca en las decisiones de compra de los consumidores. Journal of Science and Research. https://doi.org/10.5281/ZENODO.10573508
15. Palacios, A., Zhiminaicela, K., & Ávila, V. (2024). Las redes sociales y su influencia en los hábitos de consumo, caso: Universidad Técnica de Machala. 593 Digital Publisher CEIT, 9(4), 312–322. https://doi.org/10.33386/593dp.2024.4.2415
16. Plonsky, O., Apel, R., Ert, E., Tennenholtz, M., Bourgin, D., Peterson, J. C., Reichman, D., Griffiths, T. L., Russell, S. J., Carter, E. C., Cavanagh, J. F., & Erev, I. (2019). Predicting human decisions with behavioral theories and machine learning. arXiv. https://doi.org/10.48550/arXiv.1904.06866
17. Romeo, G. (2020). Data analysis for business and economics. In Elements of numerical mathematical economics with Excel (pp. 695–761). Elsevier. https://doi.org/10.1016/B978-0-12-817648-1.00013-X
18. Shah, S. S., & Asghar, Z. (2023). Dynamics of social influence on consumption choices: A social network representation. Heliyon, 9(6), e17146. https://doi.org/10.1016/J.HELIYON.2023.E17146
19. Thaler, R. H. (2016). Behavioral Economics: Past, Present, and Future. American Economic Review, 106(7), 1577–1600. https://doi.org/10.1257/aer.106.7.1577
20. Yi, M. R. (2023). Corporate Reputation and Users’ Behavioral Intentions: Is Reputation the Master Key That Moves Consumers? SAGE Open, 13(1), 1–14. https://doi.org/10.1177/21582440231154486
Notas de autor
an.chiguanov@uea.edu.ec
Información adicional
Declaración de contribución de autoría CRediT: Alvaro N. Chiguano-Velasco: Conceptualización, curación de datos, análisis formal, investigación, metodología, recursos, visualización, redacción: borrador original – Preparación, creación y/o presentación del trabajo publicado, específicamente la redacción del borrador inicial (incluyendo la traducción sustantiva). Marcelo V. Luna-Murillo: Análisis formal, Validación, Redacción borrador original, Redacción (revisión y edición).
Declaración de conflictos de interés: Los autores declaran no tener ningún conflicto de intereses.
Información adicional
redalyc-journal-id: 7219