Article
Is a four-week hormone suspension necessary for thyroid remnant ablation in low and intermediate risk patients? A pilot study with quality-of-life assessment
Is a four-week hormone suspension necessary for thyroid remnant ablation in low and intermediate risk patients? A pilot study with quality-of-life assessment
Brazilian Journal of Radiation Sciences, vol. 10, no. 4, pp. 01-16, 2022
Sociedade Brasileira de Proteção Radiológica
Received: 11 April 2022
Accepted: 06 October 2022
Published: 20 December 2022
Abstract: Radioiodine therapy (RIT) is a complementary treatment to total thyroidectomy in differentiated thyroid cancer (DTC) patients. High levels of thyroid-stimulating hormone (TSH) are usually required in clinical practice to increase RIT efficacy. Suspension of levothyroxine hormone for weeks is usually necessary, greatly impacting patients' quality of life. Patients with DTC of low or intermediate-risk were divided into two groups - one where levothyroxine was suspended for 4-5 weeks and a TSH ≥ 30 mUI/L was required for radioiodine administration (group 1), and another where levothyroxine was suspended for two weeks only (group 2). The RIT efficacy was compared between the groups. The absorbed dose in the cervical region after 24 hours was also calculated and correlated with TSH. The quality of life was also accessed with the EORTC questionnaire. Thirty-one patients were included in this study (14 in group 1 and 17 in group 2), with a mean age of 45.7 ± 10.6 years and 29 (93.5%) females. The mean TSH level for group 1 was 67.0 ± 35.6 UI/ml, and for group 2 was 31.3 ± 29.4 UI/ml. After six months, the successful RIT frequency was 66.6% for group 1 and 73.3% for group 2. Patients from group 2 showed better quality of life. TSH level ≥ 30 mUI/L is not critical for the success of RIT in patients with low or intermediate risk DTC. A two-week suspension of thyroid hormone appears to meet similar RIT needs, providing a better quality of life.
Keywords: Thyroid Neoplasms, Quality of Life, Iodine Radioisotopes.
1. INTRODUCTION
In patients with differentiated thyroid cancer (DTC), radioiodine therapy (RIT) has been a complementary treatment to total thyroidectomy (TT) for over 70 years. [1] According to its objective, RIT is classified as ablative or therapeutic. Ablative when the intention is to eliminate thyroid remnants to increase the diagnostic accuracy of serum thyroglobulin levels in the disease follow-up. Therapeutic RIT aims to treat residual or metastatic disease.[2]
Thyroid follicular cells have a high expression of the Na+/I-symporter (NIS) transporter, which is responsible for the efficient accumulation of intracellular iodine and allows RIT to be used routinely for ablation of thyroid remnants.[3] On the other hand, DTC cells have a lower expression of NIS and, thus, lower radioiodine uptake.[4] It is also known that stimulating thyroid-stimulating hormone (TSH) increases NIS expression and radioiodine uptake.[5]
An uncontrolled study from the 1970s suggests that TSH levels ≥ 30 mIU/L are associated with increased radioiodine uptake in the DTC.[6] Therefore, an increase in serum TSH levels is required to ensure greater effectiveness of RIT. Although no controlled studies define optimal TSH levels for this purpose, worldwide recommendations stipulate TSH levels ≥ 30 mIU/L when administered radioiodine.[2]
Levothyroxine (LT4) withdrawal for 4-5 weeks before RIT is usually recommended to reach such TSH level, leading to acute and marked endogenous hypothyroidism.[2] Another option is the exogenous administration of recombinant human TSH (rhTSH), avoiding the suspension of LT4 and, thus, the symptoms of hypothyroidism. According to some studies, this last alternative has good cost-effectiveness [7–9], but it is rarely used in the public health system of underdeveloped countries.
This study aimed to evaluate the influence of serum TSH value on therapeutic success and quality of life after ablative RIT. It is known that this acute and accentuated hypothyroidism leads to more significant physical and emotional morbidity and, consequently, worsening of the quality of life.[10,11] In addition, some deleterious effects can last for weeks to months after RIT, so further studies are essential to clarify whether these TSH levels are essential to ensure the success of RIT.
2. MATERIALS AND METHODS
2.1. Study type
A prospective before-and-after study was carried out from January 2017 to May 2018 in the nuclear medicine service of a public and university hospital in northeast Brazil. The local Ethics Committee approved it, and all patients signed an informed consent form.
2.2. Inclusion and Exclusion criteria
Patients with DTC submitted to TT and referred to RIT were invited to participate in this study.
Inclusion criteria: patients over 18 years of age with DTC, classified as low or intermediate risk according to the ATA 2015 consensus[2], referred to RIT with activities of 1.11 GBq (30 mCi) to 3.70 GBq (100 mCi).
Exclusion criteria: patients referred for therapeutic RIT according to clinical, laboratory and pathological criteria[2]; with activities greater than 3.70 GBq (100 mCi); positive serum anti-thyroglobulin antibodies (AATg); previous RIT; pregnant women; or no desire to participate in the study.
2.3. Allocation of patients
Two hundred forty-seven patients were evaluated for eligibility and 59 met the inclusion criteria. Of these, 31 accepted to participate and were allocated into two groups (Figure 1): 14 in group 1 (LT4 suspension for four to five weeks to obtain a serum TSH ≥ 30 mUl/L and only received RIT when this level was reached) and 17 in group 2 (suspended LT4 for two weeks, receiving RIT regardless of serum TSH levels measured on the day of treatment.).
The allocation process was based on simple randomization, where participants were divided into two distinct groups. Through a random selection, they drew lots to define the group they would stay in. Patients who chose even numbers were classified in Group 1. Patients who chose odd numbers were grouped in Group 2.

2.4. Therapeutic efficacy evaluation
Therapeutic efficacy evaluation was performed based on the following data: serum levels of Thyroglobulin (Tg) and AATg; whole-body scan (WBS) after six months; and cervical ultrasound (USG) with lymph node mapping performed between three and six months after treatment. These results were compared between both groups and correlated with TSH levels.
Ablation was considered successful if WBS was negative, USG without atypical lymph nodes, and stimulated Tg < 1 ng/mL without positive AATg.
2.5. Cervical region dosimetry
The absorbed dose in thyroid remnants 2, 24 and 96 hours after ablative RIT was also determined (in each of these times), and both groups' 24 hours dosimetry values were compared with serum TSH levels and radioiodine activities administered.
A neck phantom model 3108 (Searle Radiographics Ind.) was used. This simulator consists of an acrylic cylinder with a diameter and height of 15 cm, and it has a small opening of 3 cm in diameter at 1 cm from the external wall (distance approximately equal to the average depth of the gland in the patient's neck). Neck phantoms allow considering the effects of geometry, attenuation and scattering at the time of acquisition, so these are treated as ideally the same for the images obtained for all patients. Acquisitions were performed using the phantom with the same target activities of this study, 1.11 GBq (30 mCi) and 3.7 GBq (100 mCi), respectively. These activities were placed in a 10 mL syringe and later inserted into the phantom and, regardless of the activity used, all acquisitions followed the same parameters used in the images of the patients.
For each activity investigated, corresponding images were obtained and, in their processing, their respective counting rates were determined using an ROI. The phantom count rate was then determined using the same acquisition protocol used for patient acquisition. The rate obtained was divided by the acquisition time and the manipulated activity. Performing this operation allowed the determination of a calibration factor.
For dosimetry determination, images were obtained in a single-detector gamma camera (model STARCAM 3200, General Electric, California, USA), with an all-purpose high-energy collimator, 364 keV photopeak, and 20% energy window. A 5-minute acquisition was performed after 24 hours of RIT[12], with a 128 x 128 acquisition matrix. The distance between the patient and the collimator was 10 cm, and the acquired images were processed using the XELERIS 3 software (General Electric, California, USA). Notably, gamma camera-based dosimetry calculations showed similar results compared to probe-based dosimetry calculations [13].
For the calculation of the absorbed dose, a region of interest (ROI) was drawn in the area of higher radioiodine concentration in the anterior cervical region and another ROI of the same size near the area, taking care not to include any pixels belonging to the thyroid tissue, corresponding to the background radiation (BG). The data collected in each ROI were: total, mean, minimum, maximum, and standard deviation counts.
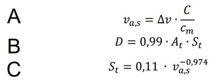
For dosimetric calculations, an adaptation of the maximum voxel method was performed. [12] Due to the non-availability of the CT component of the SPECT/CT to define thyroid remnants volume [14], an estimate of the sample volume was performed from the images obtained in the scintillation chamber, the sum of all volume elements (voxel) that were within the region of interest (ROI) determined by the percentage of subtraction and manually selected by the user on each reconstructed transaxial slice. Thus, the sum of the volumes of all transaxial slices corresponds to the image's total volume, which, consequently, corresponds to the volume of the source object. This allowed obtaining ∆v, which is the volume of thyroid tissue debris divided by the mean thyroid density, ρ_t, whose value is 1.05 g/cm3.
Subsequently, the apparent volume in the region, v_(a,s), was calculated, thus including the values obtained from the average count, C_m, as described in Figure 2A.
To determine the remaining absorbed dose, D, the ratio between the soft tissue density (ρ_tec=1.04 g⁄cm3) and the mean thyroid density (ρ_tir=1.05 g/cm3) was considered, such that ρ_tec⁄ρ_tir=0.99. This relationship compensated for differences between soft tissue and thyroid density. Therefore, D was determined through the equation described in Figure 2B.
The S_t is the ratio that considers the variation in thyroid volume [15], obtained according to the equation described in Figure 2C.

2.6. Laboratory tests
Patients undergoing RIT collected the following blood tests: TSH, Tg, AATg, and free T4, on the day of radioiodine administration, under preparation according to the allocated group, three and six months after treatment. All examinations were performed in the same laboratory, using the chemiluminescence technique in Architect equipment (Abbot, Illinois, USA). In month three, all patients were on LT4 replacement, and in month six, on LT4 suspension for 4 to 5 weeks, due to concomitant performance of control PCI under endogenous hypothyroidism.
2.7. Post-dose and six months control WBS
Whole-body scan images (WBS) were obtained in the same gamma-camera used to calculate the absorbed dose in the anterior cervical region, according to the protocol below:
High Energy General Purpose Collimator;
20% energy window centered on the radioisotope photopeak (364 keV);
Whole-body images in anterior and posterior views, with an acquisition matrix of 512 x 512 and a speed of 10 cm/min;
5 minutes anterior cervical static image and 128x128 matrix;
Patient to collimator distance of approximately 10 cm.
The images were analyzed by a nuclear physician, masked to the patient's group, who classified the exam as follows: absence of iodine-concentrating tissue in the anterior cervical region and at a distance (negative WBS) or presence of cervical remaining iodine-concentrating tissue and/or distant disease (positive WBS).
2.8. Cervical ultrasound
USG was performed aiming to verify the existence of suspicious cervical lymph nodes that could indicate persistence or recurrence in the period of 3 to 6 months after RIT.
The following protocol was used: patient positioned in dorsal decubitus, with the neck hyperextended and equipment adjusted for thyroid analysis with a high-frequency linear transducer.
2.9. Quality of life assessment
Quality of life (QoL) was assessed by applying the validated Portuguese version of the European Organization for Research and Treatment of Cancer Quality of Life Questionnaire Core-30 (EORTC QLQ-C30, version 3)[16] in five moments: in the initial consultation, on the day of radioiodine administration and one, three and six months later (this one, before the LT4 suspension). Scores were compared between groups in different application times.
This instrument consists of 30 items. Responses are given on a 4-point Likert scale (ranging from 1-patient has no difficulty to 4-patient has great difficulty), except for items that assess the patient's perception of their overall health and QoL (29 and 30 items), which use a 7-point Likert scale (ranging from 1-poor to 7-excellent). As you can see above, for the first 28 items of the questionnaire, the lower the score obtained, the better the assessment, while for the last two items (global health and QoL), the higher the score, the better the assessment.
After this, the global health status, functional scales, symptoms scales and summary score were calculated according to the EORTC manual. [17] High scores at global health status, functional scales and summary score are correlated with better QoL; while high scores at symptoms scales are correlated with worse QoL.
2.10. Statistical analysis
Categorical variables were compared between groups with chi-square test. Continuous variables were described as mean with standard deviation (SD) when it showed a normal distribution (according to D'Agostino-Pearson test for Normal distribution) or as median with interquartile range (IR). When the groups were compared, t-test were used when these variables had a normal distribution and the Mann-Whitney test when not.
Spearman rank (rho) was used to analyze the correlation between the absorbed dose in the thyroid remnants at 24 hours and TSH levels.
The MedCalc program (MedCalc Software Ltd, Ostend, Belgium; https://www.medcalc.org; 2021) was used and the significance level considered was 0.05.
3. RESULTS AND DISCUSSION
3.1. Population characterization
The 31 patients' mean age was 45.6 ± 12.7 years, and 29 (93.5%) were female. Regarding the histological type, 25 (80.6%) patients had papillary-type DTC, and 6 had follicular-type DTC, with 27 (87.1%) locally classified as T1 or T1b and four as T2 or T3a (all patients were Nx or N0 and M0 in the post-surgical staging).
In group 1, ten patients received activity of 1.11 GBq (30mCi) and four patients of 3.7 GBq (100mCi). In group 2, two patients received activity of 1.11 GBq (30mCi) and fifteen of 3.7 GBq (100mCi). The mean TSH level on RIT day was 67.0 ± 35.6 IU/mL in group 1 and 31.3 ± 29.4 IU/mL in group 2 (p=0.002). Only four patients (23%) had TSH levels above 30 IU/mL in group 2.
More details about population characterization can be seen in Table 1 and Table 2.


3.2. Dosimetry, TSH levels and radioiodine activity administered
For patients who received activity of 1.11 GBq, the absorbed dose was 46.8 ± 0.37Gy in group 1 versus 47.2 ± 0.07Gy in group 2 (p=0.21). For patients who received 3.7 GBq, the absorbed dose was 334.7 ± 4.1 Gy and 332.7 ± 6.4 Gy, in groups 1 and 2, respectively (p=0.56). Supplementary Table 1 shows the individual TSH levels and absorbed doses splited by groups.
Spearman rank correlation test did not show a correlation between TSH levels and absorbed dose at 24 hours in both groups (Figure 3A and 3B).

3.3. Ablation success
After six months post-treatment, two patients from each group did not show up for the control exams. Then, from the 27 analyzed patients, 19 had stimulated Tg levels in the desired range (≤1ng/mL), as well as a negative WBS and normal USG (treatment success rate of 70.3%). Of these 19 patients, 8 were in group 1 and 11 were in group 2, with an ablation success rate of 66.6% and 73.3%, respectively (p = 0.87).
Of the eight patients without an effective RIT, four were in group 1 (2 of them with Tg levels above 10 ng/mL, despite negative PCI, and 2 with Tg levels slightly above 1 ng/ml, indicating incomplete biochemical response). In group 2, two patients also had Tg levels greater than 10 ng/mL, and two had an incomplete biochemical response.
3.4. Quality of life
The summary score from QoL questionnaires applied on the initial consultation and six months later did not show statistical difference between groups. However, summary scores on radioiodine administration day, one month, and three months later were higher for group 2 (FIGURE 4A to 4E). In addition, it was observed a faster return of QoL scores to the baseline values for group 2 than in group 1.
When we compared groups according to functional scales and symptoms at radioiodine day administration, one month and three months later (Supplementary Tables 2 to 4); we noted that cognitive functioning, emotional functioning, fatigue, pain, physical functioning and social functioning were worse on group 1. Furthermore, role functioning was worse on group 1 on one month and three months consultations.

3.5. Discussion
This study evaluated the influence of serum TSH value on therapeutic success and quality of life after ablative RIT. Contrary to established dogma, there was no significant influence of the TSH values obtained on the day of treatment with the radiation dose absorbed in the cervical region and the success of ablation. In patients with DTC with low to intermediate risk, it appears that a TSH level ≥ 30 mU/L is unnecessary to obtain a good radioiodine response. High TSH levels are usually associated with hypothyroidism symptoms and can reduce the quality of life, which was also demonstrated in this study with the application of QoL questionnaires before and after RIT in both groups.
However, this study had some limitations. The small number of patients recruited during the study period and the difference in the activities administered and age between the groups are noteworthy. Higher administered doses can lead to a higher probability of ablation success. Moreover, older patients usually show a lower radioactive iodine uptake [18], which can impact the ablation success rate. We try to overcome this issue by calculating the absorbed dose and comparing the groups according to the administered activity (non-significant differences were founded).
Additionally, it was not possible to assess the rates of recurrence and disease-free survival. Moreover, many patients did not agree to participate in this study mainly because of extra hospital visits necessary to calculate the absorbed dose.
A TSH ≥ 30 IU/ml is often cited in the scientific literature as the accepted threshold for successful thyroid ablation with RIT, mainly because a 1970s study suggested that TSH levels ≥ 30 IU/ml are associated with increased uptake of radioiodine in the DTC. [6] A more recent retrospective study with 1873 patients referred for ablative RIT, without distant metastases, also demonstrated that even patients who had TSH below 10 IU/ml had a similar success rate in ablation as those with TSH above 80 mU/L, including no influence on recurrence-free survival and DTC-related mortality[18], with similar findings on another study. [20] However, a chinese study showed that TSH levels between 30 and 70 IU/ml lead to better ablation success. [21] Interestingly, this same study showed a similar ablation success ratio between patients with TSH levels under 30 mU/L and above 70 IU/ml. In the present study, thirteen patients in group 2 had TSH levels under 30 IU/ml, but this group had a similar ablation success ratio to group 1.
The effectiveness of thyroid remnant ablation with RIT may be influenced by other factors, such as age, remaining thyroid tissue, and tumor size. [22,23] Pre-ablation serum Tg levels can estimate the size of remaining thyroid tissue and, depending on the levels found, can lead to different success rates of ablative RIT.[22] Unfortunately, it was not possible to verify the influence of such factors on ablation success due to the similarity of these variables in the different groups.
Several studies show that the activity of NIS and, consequently, the concentration of iodine in the cell is mediated by TSH, being dose and time-dependent. [24] Following this rationale, it can be suggested that the total area under the TSH elevation curve, not just the serum peak, is potentially crucial for increasing the celular uptake of radioiodine.[25] The present study showed that a 2-week levothyroxine suspension period in group 2, even not reaching serum TSH levels ≥ 30 mU/L, had an ablation success rate similar to group 1. This finding suggests that the area under the TSH elevation curve in group 2 was sufficient to stimulate effective therapeutic radioiodine uptake, despite the absence of a peak ≥ 30 mU/L. Still supporting this hypothesis is that dosimetry, that is, the dose of radiation absorbed in the cervical region 24 hours after radioiodine administration, did not vary significantly with TSH levels according to the activities administered. Additionally, other studies reported a two-week hormone withdrawal's success on the ablation success rate.[25,26]
Additionally, a better and faster return to the basal levels of quality of life was observed in patients in group 2. It is known that long periods of levothyroxine withdrawal lead to worst quality of life and it is an important risk factor to other conditions. [27] Furthermore, it was highlighted that cognitive function, emotional function, fatigue, pain, physical function and social function were worse in the patients in group 1. These factors were previously described[27], demonstrating a relationship between suspension time and frequency of symptoms, but this study showed that such impact could be present months after the levothyroxine reposition restart.
4. CONCLUSION
In patients with DTC and low or intermediate risk of recurrence, we concluded that a two-week hormone withdrawal shows similar success rates of radioiodine ablation compared to LT4 suspension for four to five weeks to obtain a serum TSH ≥ 30 mUl/L, with the benefit of a better quality of life.
REFERENCES
Becker D V., Sawin CT. Radioiodine and thyroid disease: The beginning. Semin Nucl Med 1996; 26: 155–164.
Haugen BR, Alexander EK, Bible KC, et al. 2015 American Thyroid Association Management Guidelines for Adult Patients with Thyroid Nodules and Differentiated Thyroid Cancer: The American Thyroid Association Guidelines Task Force on Thyroid Nodules and Differentiated Thyroid Cancer. Thyroid 2016; 26: 1–133.
Carvalho DP, Ferreira ACF. The importance of sodium/iodide symporter (NIS) for thyroid cancer management. Arq Bras Endocrinol Metabol 2007; 51: 672–682.
Kogai T, Brent G a. The sodium iodide symporter (NIS): Regulation and approaches to targeting for cancer therapeutics. Pharmacol Ther 2012; 135: 355–370.
Harun-Or-Rashid M, Asai M, Sun X, et al. Effect of thyroid statuses on sodium/iodide symporter (NIS) gene expression in the extrathyroidal tissues in mice. Thyroid Res 2010; 3: 1–6.
Edmonds CJ, Hayes S, Kermode JC, et al. Measurement of serum TSH and thyroid hormones in the management of treatment of thyroid carcinoma with radioiodine. Br J Radiol 1977; 50: 799–807.
Mernagh P, Campbell S, Dietein M, et al. Cost-effectiveness of using recombinant human TSH prior to radioiodine ablation for thyroid cancer, compared with treating patients in a hypothyroid state: The German perspective. Eur J Endocrinol 2006; 155: 405–414.
Mernagh P, Suebwongpat A, Silverberg J, et al. Cost-effectiveness of using recombinant human thyroid-stimulating hormone before radioiodine ablation for thyroid cancer: The Canadian perspective. Value Heal 2010; 13: 180–187.
Vallejo JA, Muros MA. Cost-effectiveness of using recombinant human thyroid-stimulating hormone before radioiodine ablation for thyroid cancer treatment in Spanish hospitals. Rev Esp Med Nucl Imagen Mol 2017; 36: 362–370.
Van Velsen EFS, Massolt ET, Heersema H, et al. Longitudinal analysis of quality of life in patients treated for differentiated thyroid cancer. Eur J Endocrinol 2019; 181: 671–679.
Ahn J, Jeon MJ, Song E, et al. Quality of life in patients with papillary thyroid microcarcinoma according to treatment: Total thyroidectomy with or without radioactive iodine ablation. Endocrinol Metab 2020; 35: 115–121.
Mínguez P, Flux G, Genollá J, et al. Whole-remnant and maximum-voxel SPECT/CT dosimetry in 131I-NaI treatments of differentiated thyroid cancer. Med Phys 2016; 43: 5279–5287.
Benjamin RS, Amro A, El-Desouki MI. Measurement of iodine-123 thyroid uptake using a gamma camera with LEAP collimator. J Nucl Med Technol. 1999 Sep;27(3):215-9.
Erçikti N, Acer N, Apaydi N, et al. Which Method is Gold Standard for Determination of Thyroid Volume? Int J Morphol 2017; 35: 452–458.
Stabin MG, Konijnenberg MW. Re-evaluation of absorbed fractions for photons and electrons in spheres of various sizes. J Nucl Med 2000; 41: 149–160.
Franceschini J, Jardim JR, Fernandes ALG, et al. Reprodutibilidade da versão em português do Brasil do European Organization for Research and Treatment of Cancer Core Quality of Life Questionnaire em conjunto com seu módulo específico para câncer de pulmão. J Bras Pneumol 2010; 36: 595–602.
EORTC Data Center. EORTC QLQ-C30 Scoring Manual, https://www.eortc.org/app/uploads/sites/2/2018/02/SCmanual.pdf (2001, accessed 7 March 2022).
González P, Jaimovich R, Araya V, Massardo T, Carmona A. Endogenous thyroid-stimulating hormone and radioactive iodine uptake in normal subjects. Clin Nucl Med. 2012 Jun;37(6):584-6.
Vrachimis A, Riemann B, Mäder U, et al. Endogenous TSH levels at the time of 131I ablation do not influence ablation success, recurrence-free survival or differentiated thyroid cancer-related mortality. Eur J Nucl Med Mol Imaging 2016; 43: 224–231.
Hasbek Z, Turgut B. Is Very High Thyroid Stimulating Hormone Level Required in Differentiated Thyroid Cancer for Ablation Success? Malecular Imaging Radionucl Ther 2016; 25: 79–84.
Xiao J, Yun C, Cao J, et al. A pre-ablative thyroid-stimulating hormone with 30–70 mIU/L achieves better response to initial radioiodine remnant ablation in differentiated thyroid carcinoma patients. Sci Rep 2021; 11: 1–8.
Ha S, Oh SW, Kim YK, et al. Clinical outcome of remnant thyroid ablation with low dose radioiodine in Korean patients with low to intermediate-risk thyroid cancer. J Korean Med Sci 2015; 30: 876–881.
Verburg FA, Mäder U, Reiners C, et al. Long-term survival in differentiated thyroid cancer is worse after low-activity initial post-surgical131I therapy in both high- And low-risk patients. J Clin Endocrinol Metab 2014; 99: 4487–4496.
Ravera S, Reyna-Neyra A, Ferrandino G, et al. The Sodium/Iodide Symporter (NIS): Molecular Physiology and Preclinical and Clinical Applications. Annu Rev Physiol 2017; 79: 261–289.
Cooper DS, Doherty GM, Haugen BR, et al. Revised American thyroid association management guidelines for patients with thyroid nodules and differentiated thyroid cancer. Thyroid 2009; 19: 1167–1214.
Piccardo A, Puntoni M, Ferrarazzo G, et al. Could short thyroid hormone withdrawal be an effective strategy for radioiodine remnant ablation in differentiated thyroid cancer patients? Eur J Nucl Med Mol Imaging 2018; 45: 1218–1223.
Tagay S, Herpertz S, Langkafel M, et al. Health-related quality of life, anxiety and depression in thyroid cancer patients under short-term hypothyroidism and TSH-suppressive levothyroxine treatment. Eur J Endocrinol 2005; 153: 755–763.
Author notes
*felipe.a.mourato@gmail.com