Article
Application of OSL strips in CT dosimetry according to the AAPM methodology
Application of OSL strips in CT dosimetry according to the AAPM methodology
Brazilian Journal of Radiation Sciences, vol. 11, no. 2, e2259, 2023
Sociedade Brasileira de Proteção Radiológica
Received: 24 February 2023
Accepted: 24 May 2023
Published: 31 May 2023
Abstract: Computed tomography (CT) images contribute to high-quality medical diagnosis, but radiation dose can be quite high, requiring accurate assessment. CT dose index (CTDI) was developed for dosimetric purposes, but for scanners operated exclusively in axial mode. Nowadays, CTDI underestimate patient dose in helical CT exams. AAPM report TG111 (2010) suggested a new metric in which the patient's radiation dose is obtained from dose profiles constructed from several measurements made with a small ionization chamber. It is also possible to obtain dose profiles using properly calibrated OSL (optically stimulated luminescence) strips. The main objective of the present work is to contribute to optimizing CT dosimetry, comparing dose profiles obtained with OSL strips with measurements obtained by other authors. In this work, a "pencil" ionization chamber and 20 cm x 0.3 cm OSL strips were X-ray-irradiated, in air and in the holes of two cylindrical CT phantoms, using 100, 120, 140 kV peak voltages, both in lab and in a clinical CT scanner. Irradiated strips were read using an OSL reader built in the GDRFM. OSL profiles were calibrated against ionization chamber. From them, CTDIw and CTDIvol values were determined, differing approximately 3.9% from those of the CT scanner. From the profiles, also the planar equilibrium dose Deq,p (TG111) was evaluated in some CT protocols; Deq,p exceeded the CTDI values from the CT scanner in every case. E.g.: The percentage difference between Deq,p and CTDIvol for the head phantom ranged between 33-25%. Thus, in some cases, it could be advantageous to use calibrated OSL dosimeters instead of ionization chambers to obtain the profiles, saving time, because it is possible to obtain five OSL profiles from a single phantom irradiation.
Keywords: Dose profiles, OSL strips, equilibrium doses, AAPM methodology.
1. INTRODUCTION
Computed tomography (CT) provides diagnostic images in transversal planes of the patient (slices), avoiding superposition of organs and making it possible to observe more details, which allow more precise clinical evaluation of patients. Much technological evolution was achieved since the seventies, from the single-detector Computed Axial Tomography scanners to the helical scanners in the nineties up to the recent MDCT (Multi-detector CT) & Dual-source scanners [1]. Despite the benefits, however, there is still a strong concern among health workers, patients and the public, about the risks due to the radiation doses absorbed in this type of procedure that are larger than in general radiography. Despite the manufacturers' efforts, researchers from several countries have reported relatively high cumulative doses, mainly due to exams repetition [2]. Papers have reported analyzes of feasible ways to reduce the dose in CT in practice, including audits and comparisons to other reference works [3]. For this, however, it is fundamental to develop methods to quantify the dose in CT with the greatest possible reliability.
The current methodology for CT beam dosimetry uses 10 cm pencil-type ionization chambers to measure CTDI (CT Dose Index) and derived quantities (CTDIw, CTDIvol, DLP), parameters also provided by many clinical CT scanners. Although still used, these metrics are no longer appropriate for protocols that use wider beams or helical scanning, as they were defined for axial beams, without examination table movement, and also for patients of standard size, due to the use of conventional phantoms [4]. In several surveys carried out in the last decades, it was verified that the usual method of measuring CTDI100 and CTDIvol underestimates the accumulated dose in the center of the gantry in helical and multi-slices protocols, because these quantities do not include the entire contribution of the radiation scattering [5,6].
The report of the TG111 group of AAPM (American Association of Physicists in Medicine) [7] proposed, in 2010, a unified dosimetry methodology that uses a small volume ionization chamber (0.6 cm3), to obtain dose profiles and integrate them throughout the axis of a phantom long enough to have dose equilibrium, for scans of different L lengths [8]. Then, after obtaining the equilibrium dose at the center and at the periphery of the phantom, the mean Planar Equilibrium Dose (Deqm) can be calculated, a proposed quantity that would be closer to the actual dose absorbed in the phantom [9]. This is a time-consuming process.
It is also possible to measure dose profiles using optically stimulated dosimeters (OSLD) [10]. In this way, one can save time and still obtain Deqm values with good reliability. In a recent work [11], we presented CT dose profiles obtained using Al2O3:C OSL strips calibrated against standard CT ionization chambers. The main objective of the present work is to contribute to optimizing CT dosimetry, comparing dose profiles obtained with OSL strips with measurements obtained by other authors.
2. MATERIALS AND METHODS
At least 80 Al2O3:C OSL (Landauer LuxelTM) strips, 220 mm long, 3.0 mm wide and 0.3 mm thick, were cut from a tape roll and previously subjected to an aDequate bleaching process. The strips were put into opaque black plastic straws, the ends of which were sealed. In the clinical environment, after inserting them into the holes of conventional PMMA cylindrical chest and head simulators (Fig. 1), several X-ray dose profiles were obtained in a clinical scanner, model GE HD750 Discovery, for axial beams of 100, 120 and 140 kV, among others, with 10- and 40-mm collimation. Five profiles can be obtained with each single exposure of a phantom + 5 strips set.

Measurements have been made using routine protocols, setting 300 mAs for chest phantom or 500 mAs for head phantom irradiations, and 1 sec/turn. Identical settings were used in the irradiation of a calibrated Radcal 10x5-3CT ionization chamber ("pencil", IC). BG were measured both with OSL strips and with ionization chamber.
The readout of irradiated OSL strips was done later, using an OSL tape reader home-made by the GDRFM at IF-USP [12], which includes a photomultiplier tube and a green LED operating in pulse mode (Fig. 2). For each strip, a digital file was produced with counts versus position (z, mm) data pairs. Calibration of the strips was performed by matching the CTDI100 values obtained from the measured profiles (delimiting a -50 to +50 mm region around each peak) and from the ionization chamber readings (Fig. 3), determining a calibration factor for each irradiation protocol.

To verify the methodology, the ratios between the CTDI100 values determined in this work in the central axis and in the periphery (R100 = CTDIc/CTDIp , which shows the dose distribution inside the phantom) were compared to those obtained by other authors (i) for a GE Lightspeed scanner VCT [10] also using OSL strips but with a longer phantom, and (ii) for a GE HD750 tomograph [13], where the values have been calculated from measurements made with an ionization chamber, following the recommendations of AAPM TG111 [7].
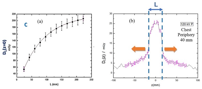
(1)From the calibrated profiles, doses accumulated in the center of the gantry, DL(z=0), were calculated for increasing L-scan lengths (from -L/2 to +L/2). With these values, the equilibrium approximation curves were built (DL(z=0) vs. L), and the following functions [7] fitted:
In the functions (1), the dimensionless parameter a is related to the beam scattering fraction and Leq, the equilibrium length, is the L irradiation length in which the saturation occurs due to equilibrium. From the curves, equilibrium doses (Deq) were determined in the center (Deq,c) and in the periphery (Deq,p), and, for each protocol, the planar equilibrium dose, Deqm :
(2)Also, CTDIvol values have been determined, according to the usual definitions (3), from determined CTDI100 values, to compare with Deqm values:
(3)3. RESULTS
Fig. 3 shows examples of dose profiles obtained with OSL strips before and after calibration in dose units (mGy).

Table 1 shows the results obtained in this work, compared to Ruan et al. and Li et al. [10,13] for various acquisitions for head and chest phantoms. In Tab. 1, it is possible to verify that, with 40 mm collimation, the calculated values of R100, (i) for the head simulator, differ in 0.5 to 2.5% between this work and that of other authors, and, (ii) for the chest simulator, between -1.2 and 4.2%. The values do not change too much with nT = 10 mm.
Uncertainties of the values obtained with the OSL profiles were estimated to be around 3%. Thus, differences between the R100 ratios from the three publications are not significant.
![Comparison, for nT = 40 mm, of R100 values as determined in this work [11], from the dose profiles obtained with OSL strips, with those from Ruan et al. [10], also with OSL, and from Li et al. [13], with ionization chamber (IC).](../722277919005_t1_tabla.png)
Fig. 4 shows an example of equilibrium approximation curve (DL(z=0) vs. L) (with a curve fit based on eq. (1), built with accumulated dose values calculated from a calibrated dose profile (like that in Fig. 4 (b)) obtained from an OSL tape, for L-scan lengths from 20 to 220 mm.
In Table 2, we can see a comparison between CTDIvol and Deqm values, for three kVp values, obtained in this work from OSL profiles data [11], as well as the percent differences between them. The CTDIvol values (obtained from CTDI100), derived from the obtained dose profiles, were 25 to 32% lower than the Deqm values (obtained from the equilibrium approximation curves) for the standard head phantom, and 26 to 29%, for the chest simulator. Such differences are similar to those found using extended simulators (450 mm or more) [9,10,13].


4. CONCLUSION
The percentage difference found between Deqm and CTDIvol is mainly because the profiles include radiation scattered inside the simulator, even though this phantom has only a conventional length (150 mm). Therefore, differences between CTDIvol values and Planar Equilibrium Dose values show that the dose in the phantom axis is underestimated using the usual information reported by CT equipment.
The CTDI method can be performed with standard simulators in reduced time but it is inaccurate for current protocols. The AAPM TG111 method, on the other hand, is time-consuming and relatively difficult to perform in a clinical setting, although it produces results closer to the absorbed doses in the center of the gantry.
In this sense, in acceptance or even QC tests, obtaining dose profiles using OSL strips in the desired protocols can be a good alternative, since, in addition to good accuracy, it uses much less clinical time (up to 5 profiles can be measured with a single exposure), leaving the remainder tasks for external environment. Furthermore, results show that, even with a standard phantom, it is still possible to show almost all the absorbed dose difference that can be obtained with a long phantom.
ACKNOWLEDGMENT
To the Radiation Dosimetry and Medical Physics Group at IF-USP and to Dr. N.K. Umisedo for her assistance in the OSL strips readout; to the Radiology Institute of HC-FMUSP and to Dr. D.Y. Nerssissian (IF-USP), for helping with clinical measurements; to the Center for Natural and Human Sciences of UFABC for their partial support to this project; and to CNPq for the #311657/2021-4 grant, and to São Paulo Research Foundation (FAPESP) for the #2018/05982-0 grant.
REFERENCES
HSIEH, J.; FLOHR, T. Computed tomography recent history and future perspectives. J. Med. Imaging. v. 8:052109, 2019. Available at https://doi.org/10.1117/1.jmi.8.5.052109. Last accessed: 15 May 2023.
BRAMBILLA, M.; VASSILEVA, J.; KUCHCINSKA, A.; REHANI, M.M. Multinational data on cumulative radiation exposure of patients from recurrent radiological procedures: call for action. Eur. Radiol. v. 30(5): 2493-2501, 2020. Available at https://doi.org/10.1007/s00330-019-06528-7 . Last accessed: 15 May 2023.
DEMB, J.; CHU, P.; NELSON, T. et al. Optimizing radiation doses for Computed Tomography across institutions: dose auditing and best practices. JAMA Intern Med. v. 177: 810–817, 2017. Available at https://doi.org/10.1001/jamainternmed.2017.0445 . Last accessed: 15 May 2023.
McCOLLOUGH, CH.; LENG, S.; YU L. et al. CT dose index and patient dose: they are not the same thing. Radiology v. 259(2): 311-316, 2011. Available at https://doi.org/10.1148%2Fradiol.11101800 . Last accessed: 15 May 2023.
BOONE, J. M. The trouble with CTDI 100. Medical Physics v. 34(4):1364–1371, 2007. Available at https://doi.org/10.1118/1.2713240 . Last accessed: 15 May 2023.
PERISINAKIS, K.; DAMILAKIS, J.; TZEDAKIS, A. et al. Determination of the weighted CT dose index in modern multi-detector CT scanners. Phys. Med. Biol. 52(21): 6485–6495, 2007. Available from http://dx.doi.org/10.1088/0031-9155/52/21/010 . Last accessed: 15 May 2023.
AMERICAN ASSOCIATION OF PHYSICISTS IN MEDICINE (AAPM). Comprehensive methodology for the evaluation of radiation dose in X-ray computed tomography. AAPM report n. 111. Report of AAPM Task Group 111: The future of CT dosimetry. College Park, MD: AAPM, 2010. Available at https://www.aapm.org/pubs/reports/RPT_111.pdf . Last accessed: 15 May 2023.
AMERICAN ASSOCIATION OF PHYSICISTS IN MEDICINE (AAPM). The design and use of the ICRU/AAPM CT radiation dosimetry phantom: an implementation of AAPM report 111. In: Bakalyar D.M., Angel E., Boedeker K.L., eds. The Report of AAPM Task Group 200. AAPM, 2020. Available at https://www.aapm.org/pubs/reports/RPT_200.pdf . Last accessed: 15 May 2023.
CAMPELO M.C.S.; SILVA M.C.; TERINI R.A. CTDI versus New AAPM Metrics to assess Doses in CT: a case study. Braz. J. Rad. Sci. v. 04-02:01-15, 2016. Available at https://doi.org/10.15392/bjrs.v4i2.194 . Last accessed: 15 May 2023.
RUAN, C.; YUKIHARA, EG.; CLOUSE, WJ. et al. Determination of multislice computed tomography dose index (CTDI) using optically stimulated luminescence technology. Med. Phys. v. 37(7): 3560-3568, 2010. Available at: https://doi.org/10.1118/1.3455285. Last accessed: 15 May 2023.
OLIVEIRA, J.D.; YOSHIMURA, E.M.; TERINI, R.A. Otimização na Avaliação de Doses em TC usando Dosímetros OSL em forma de Fita. (Optimization in Dose Assessment in CT using Tape-shaped OSL Dosimeters). Rev. Bras. Física Médica (online) v. 15, 615, 2021. Available at https://doi.org/10.29384/rbfm.2021.v15.19849001615 . Last accessed: 15 May 2023.
UMISEDO N.K.; YOSHIMURA E.M. POSLI – Instrumentation for reading tape-shaped OSL detectors. Grupo de Dosimetria das Radiações e Física Médica – Instituto de Física da Universidade de São Paulo, 2013.
LI, X.; ZHANG, D.; LIU, B. Calculations of two new dose metrics proposed by AAPM Task Group 111 using the measurements with standard CT dosimetry phantoms. Med. Phys. v. 40, 081914, 2013. Available at https://doi.org/10.1118/1.4813899 . Last accessed: 15 May 2023.
Author notes
*rterini@if.usp.br
Conflict of interest declaration