Artículos
Entre la bienvenida y el rechazo: la “Crisis de los refugiados” en Europa
Between the welcome and the rejection: the “Crisis of refugees” in Europe
Entre la bienvenida y el rechazo: la “Crisis de los refugiados” en Europa
Polis, vol. 14, núm. 2, pp. 71-96, 2018
UAM, Unidad Iztapalapa, División de Ciencias Sociales y Humanidades, Departamento de Sociología
Recepción: 02 Febrero 2018
Aprobación: 05 Mayo 2018
Resumen: Partiendo de los movimientos masivos de refugiados hacia Europa en 2015 y 2016, el artículo ofrece una breve semblanza ahondando en el caso de Alemania. Primero se reconstruye el llamado “milagro de septiembre de 2015” de una bienvenida a más de un millón de refugiados y se ofrece explicaciones sociológicas de estos acontecimientos. Segundo, se presenta el marco regulativo europeo para la protección de refugiados argumentando que es bastante avanzado, pero que mostró sus debilidades y fracasó ante los retos de la “crisis de los refugiados” de 2015. Tercero, se analizan aspectos claves de estas debilidades del régimen europeo. Después se argumenta que era la sociedad civil y sus redes organizacionales que de alguna manera y de forma improvisada cerró la brecha entre el marco regulativo avanzado de la UE y la política real de la mayoría de los gobiernos de los EM. Esto lleva a definir algunos retos futuros.
Palabras clave: Migración de refugiados, protección a refugiados, Unión Europea, Alemania, sociedad civil, redes organizacionales.
Abstract: Based on the massive influx of refugees in Europe during 2015 and 2016 the article summarizes the development for Germany. It reconstructs and explains the so-called miracle of September 2015 of a warm welcoming. Then it argues that the European Union developed a nice Common European Asylum System (CEAS), but that it revealed its weaknesses and finally broke down in light of the refugee movements of 2015. The main flaws of CEAS are analysed. It is argued that it was mainly civil society and their organisational networks that ‘closed the gap’ between a nice regulative framework and the restrictive policy of member states that is characterised as ‘organised non-responsibility’. Finally, future challenges are discussed.
Keywords: Refugee migration, refugee protection, European Union, Germany, civil society, organisational networks.
Introducción1
El 2 septiembre de 2015 los medios de comunicación a nivel internacional dieron a conocer la fotografía del cuerpo de Aylan Kurdi, un niño sirio de tres años que murió ahogado en las playas de la isla de Bodrum en Turquía al tratar de llegar a Grecia. Su familia había solicitado asilo en Canadá, sin embargo, su petición fue rechazada y no tuvieron otra opción más que ir a Europa. Al igual que él, su madre y su hermano Galip de cinco años murieron junto con otras dos personas de las 14 que iban en la lancha.2 El impacto de la fotografía tuvo eco en todo el mundo y se volvió un símbolo de la crisis de los refugiados en Europa, fue importante sobre todo para el movimiento civil que después devino.
El destino de la familia de Aylan atrajo -al menos por un tiempo corto- la atención de los medios de comunicación en todo el mundo. No es así con la mayoría de los refugiados. En 2015 alrededor del mundo 65.3 millones de personas fueron desplazadas debido a conflictos o persecuciones, de éstos, 21.3 millones fueron refugiados internacionales.3 En ese mismo año, sobre todo en el último trimestre los flujos de migrantes irregulares y refugiados crecieron de manera significativa en Europa, teniendo como punto de llegada principal o hot spot Grecia. El Alto Comisionado de las Naciones Unidas para los Refugiados (ACNUR, 2016) estimó que más de un millón de migrantes irregulares llegaron a costas del mediterráneo sólo por mar, y alrededor de 34 000 por vía terrestre. En 2016, la misma agencia contabilizó 361 000 llegadas por mar, y más de 5 000 muertos o desaparecidos en el mar Mediterráneo.4
La situación es agobiante en un contexto en el que las guerras abiertas, los conflictos violentos regionales y la “violencia organizada” forman parte de un “círculo vicioso” de falta de desarrollo, violencia organizada y migración forzada (FD-VO-MF). Mientras que no se ponga fin o al menos desacelere a esta espiral negativa, los afectados buscarán refugio y solución en países más ricos y estables. A nivel europeo las cinco principales nacionalidades de donde provienen los solicitantes de asilo recientes son Siria, Iraq, Afganistán, Pakistán e Irán.5 También hay una importante presencia de albanos, kosovanos, eritreos, sudaneses, somalíes, nigerianos, por mencionar algunos. En Medio Oriente y África podemos observar conflictos recientes como guerras civiles en Siria, Yemen, Sudán del Sur y Somalia; la presencia de grupos extremistas como el Estado Islámico en una parte de Siria y el norte de Iraq, Boko Haram en Nigeria, Níger, Chad y Camerún, los talibanes en Afganistán y Pakistán; y crisis internas como en Libia y la cuestión kurda en Turquía.
Frente a esta situación se desarrolló la llamada “crisis de refugiados” en Europa durante 2015 y 2016.6 Desplegó entre la bienvenida y el apoyo a refugiados, sobre todo de la sociedad civil y algunos gobiernos europeos, por un lado, y el rechazo, aumento de la xenofobia y la “no-responsabilidad organizada” de la mayoría de los Estados miembros (EM) de la Unión Europea (UE). El artículo recuenta los acontecimientos más importantes y demuestra que el sistema de asilo de la Unión Europea falló. ¿Cómo podemos entender y explicar la crisis de los refugiados?, ¿cuál ha sido la respuesta de la Unión Europea ante la crisis? La pregunta principal que trata es: ¿Por qué ha fallado el “Sistema Común Europeo de Asilo”? La hipótesis principal es que, a pesar de que la UE estableció unas normas avanzadas de protección para refugiados y empezó a establecer instituciones europeas correspondientes de protección, frente a la inmigración masiva, incontrolable y en gran parte no registrada -de un millón y medio sólo en el año 2015- de refugiados y otros migrantes forzados en la mayoría de los países de la Unión Europea prevaleció una actitud que se puede caracterizar como la no-responsabilidad organizada.
Teniendo una breve semblanza del panorama general, se ahondará en el caso particular de Alemania, ya que ha sido el país que ha acogido más solicitantes de asilo en la presente crisis de los refugiados. En 2015 su Oficina Federal de Estadística estimó la inmigración neta en 1.1 millones de extranjeros, con más de dos millones de llegadas y 860 000 salidas. De estas llegadas, unos 1.1 millones fueron registradas como refugiados, y de éstos unos 442 000 aplicaron formal y primeramente por asilo en Alemania (BAMF, 2016), la cifra más alta en la historia de Alemania y en la UE en 2015, seguido por Suecia con 162 450 aplicaciones.7
En lo siguiente, primero se va a reconstruir lo que se puede llamar el “milagro de septiembre de 2015” y dar algunas explicaciones sociológicas de estos acontecimientos. Segundo, se va a presentar el marco regulativo europeo para la protección de refugiados argumentando que es bastante avanzado, pero que mostró sus debilidades y fracasó ante los retos de la “crisis de los refugiados” de 2015. En una tercera sección se analizan aspectos claves de estas debilidades del régimen europeo. Después se argumenta que fue la sociedad civil la que de alguna manera y de forma improvisada cerró la brecha entre el marco regulativo avanzado de la UE y la política real de la mayoría de los gobiernos de los EM. Esto lleva a algunas conclusiones.
El “milagro de septiembre de 2015” y su explicación científica
Para un país como Alemania, con unos 81 millones de habitantes, el alojar a un millón de refugiados en tan sólo un año era algo excepcional: un reto logístico de dar hospedaje, un reto de control en el sentido de registrar a los que entraron (en su gran mayoría irregularmente), un reto administrativo de organizar los pedidos de asilo correspondientes y un reto socio-cultural de ofrecer a los recién llegados formas de participación en la vida. Los flujos migratorios a Europa -y específicamente a Alemania- llegaron a través de dos rutas, por los Balcanes o por Grecia, ambas transitando primero por Turquía.
Alemania ha tenido un papel relevante en la “crisis de los refugiados” a causa de diversos factores. Tenía una política de “puertas abiertas”, ejemplo de ello fue la decisión de la canciller Angela Merkel, el 28 de agosto de 2015, cuando permitió la entrada de refugiados sin registro anterior para levantar después una petición de asilo. Con esto se derogaron los contratos de Dublín que adscriben la responsabilidad de atender a refugiados a el EM en que primero pisan la UE. Otras razones de preferir Alemania eran su disponibilidad de servicios y apoyo a los refugiados, las oportunidades para integrarse al campo laboral, la presencia de redes de familiares y amigos que ya estaban allí, la confianza de que no serán regresados al primer país por el que ingresaron y la esperanza de asentarse para que sus familiares se reúnan con ellos en el futuro.
El llamado “milagro de septiembre” de 2015 consistió, en primer lugar, en que el flujo masivo de refugiados fue recibido con mucha simpatía por la sociedad civil. Tan sólo en el primer fin de semana de septiembre llegaron unos 20 000 refugiados a Alemania. A comparación, para México en 2014, el Alto Comisionado de las Naciones Unidas para los Refugiados (ACNUR) hablaba de 1 800 refugiados y 2 900 solicitantes de asilo; menos de 5 mil personas en total en todo el año. En todo un año, México y Estados Unidos deportan juntos aproximadamente la cantidad de personas que llegó a Alemania tan sólo en el mes de septiembre de 2015.8 Los meses de octubre a diciembre registraron las cifras más altas de peticiones de asilo en Alemania.9
En segundo lugar, la conmoción causada por las imágenes y los contenidos relacionados con la crisis de los refugiados propagadas por los medios de comunicación tanto alemanes como a nivel internacional desencadenaron las reacciones solidarias sin precedentes de la sociedad civil alemana. Recordemos las imágenes de la estación central en Munich a principios de septiembre de 2015 cuando voluntarios y la sociedad civil se aglomeraron para recibir a los refugiados con comida, carteles y juguetes. En todo el país miles de voluntarios se han ofrecido para ayudar en diferentes áreas a los refugiados, ya sea con víveres, ropa, pañales, clases de alemán gratis, e incluso los han alojado en sus casas. En el futbol alemán durante los partidos se organizaron manifestaciones a favor de los refugiados, como la aparición de carteles y mantas con la consigna “Bienvenidos refugiados” en las instalaciones del club Hamburgo St Pauli o del Borussia Dortmund; se han entregado entradas gratuitas para acudir a sus partidos, se han hecho videos en solidaridad y la tercera división del club SV Babelsberg abrió un tercer equipo compuesto enteramente por refugiados.10
Por último, las decisiones de algunos políticos, como la canciller Merkel, fueron positivas para el discurso y la política en Alemania. En una entrevista el 31 de agosto, Merkel declaró: “Alemania es un país fuerte, ya logramos tantas cosas, podemos hacerlo” (recibir tantos refugiados).11 Ante la llegada de cientos de miles de refugiados por los países de los Balcanes hacia Hungría, donde se quedaron atrapados, el 5 de septiembre la canciller alemana y su homólogo austriaco Faymann acordaron cancelar las reglas de Dublín y dejar entrar los refugiados a Alemania y Austria. En Austria se emplearon hasta ocho trenes al día para transportar refugiados a Alemania. La afirmación de Merkel “podemos hacerlo” fue muy debatida por los partidos de derecha, como el partido “Alternativa para Alemania” (AfD), quienes interpretaron las declaraciones de la canciller como una invitación a los refugiados. Grupos como “Patriotas Europeos contra la Islamización de Occidente” (PEGIDA, por sus siglas en alemán), ganaron adeptos; el número de asistentes a sus marchas en contra de la política de refugiados del gobierno aumentó las primeras semanas de octubre de 2015 hasta unos 20 000 asistentes.12
Pero en general, haciendo referencia al periodo que va del 31 de agosto, cuando llegaron a Munich los primeros trenes provenientes de Hungría, hasta el 13 de septiembre, cuando el gobierno alemán reinstaló de nuevo los controles fronterizos, el periódico semanal Spiegel lo caracteriza como “los eventos de aquellos 14 días que cambiaron al país”.13 El marxista francés Ethien Balibar afirmó que aun quien critica la política de Merkel con respecto a Grecia (y la renegociación de sus deudas) debería “reconocer ahora lo valiosa que fue su actuación en la crisis de los refugiados”.14 Respecto a ello, Holmes y Castañeda (2016: 14) afirman: “Alemania jugó un papel especialmente significativo en la respuesta a la crisis en el verano y otoño de 2015, ocupando una importante posición política y retórica dentro de las narrativas de los medios. Mientras países como Israel y la mayoría de los estados del Golfo han rechazado la presencia de los refugiados, y otros, como Hungría, han respondido con violencia directa, Alemania ha reaccionado con una hospitalidad ambivalente que es singularmente matizada y condicionada por los recuerdos (y algunas realidades actuales) de la xenofobia y el fascismo”.
La pregunta que surge es: ¿cómo se puede explicar este “milagro de septiembre”? ¿Por qué la sociedad civil y el gobierno de Alemania reaccionaron de esta forma? En una perspectiva sociológica se combinaron varios elementos. El primero, a partir del año 2000 en Alemania hubo un cambio profundo tanto en el marco legal, como en la actitud de la población, que transformó a Alemania en un país más pluricultural y de inmigrantes. Un cambio fundamental fue la nueva Ley de Nacionalidad que entró en vigor el 1 de enero de 2000, cuyo objetivo fue resolver los problemas de integración a través de medidas como el principio de ius soli para los hijos nacidos en territorio alemán de padres extranjeros, la reducción del tiempo de estancia en el país necesario para adquirir la naturalización.15
Un segundo factor menos visible es el hecho de que, después de la Segunda Guerra Mundial, en Alemania había un sinnúmero de refugiados y migrantes forzados. Llegaron unos 12 millones de refugiados que habían huido de Europa de Este, había una decena de millones de trabajadores forzados e internamente desplazados que el régimen nazi había reclutado para la economía de guerra de todos los territorios ocupados, regresó otra decena de millones de personas a sus lugares que había sido desplazada por la destrucción de sus casas durante la guerra y, por fin, con los años regresaron una última decena de millones de soldados y prisioneros de guerra. En total, cuando vino la “crisis de refugiados” en 2015, la mayoría de la población en Alemania, por sus antecedentes familiares tenía experiencias de migración forzada, de refugio o después de inmigración como “trabajadores huésped” (Gastarbeiter) a partir de la década de 1950.
Un tercer factor explicativo se refiere a razones utilitaristas e instrumentalistas que se debatió en Alemania sobre todo a partir del nuevo siglo XXI. El envejecimiento de la población hasta la mitad del siglo conlleva la necesidad de inmigración neta sustancial y continua. Según todos los cálculos científicos, Alemania necesita de 200 a 300 mil inmigrantes netos cada año para sostener su sistema social de bienestar. De lo contrario, el sistema de pensiones y jubilaciones colapsaría. Aun así, con 300 mil inmigrantes netos, según pronósticos el país decrecería de unos 80 a 70 millones de habitantes hasta 2050. A pesar de las discusiones acerca de la validez de estos pronósticos y del tamaño de inmigración necesaria, en lo general había y existe gran sensibilidad y consenso acerca de la necesidad de inmigración. Para muchos alemanes, los refugiados eran considerados no tanto como problema sino como parte de la solución de los retos demográficos.
Un cuarto factor es el hecho de que existe una infraestructura amplia y consolidada de la sociedad civil de asistencia y solidaridad con refugiados. En 2015 incluso se desarrolló algo como un movimiento social de apoyo a los refugiados (Pries, 2017). En cada municipio y sociedad se formaron redes de ayuda para recibir a refugiados. Cientos de miles de personas se activaron para conseguir y distribuir ropa y comida, para preparar lugares de acogida y alojamiento, para acompañar a refugiados en sus trámites de registro y pedido de asilo y para ofrecer cursos de idioma, clases de música o actividades de deporte. Sondeos y análisis científicos muestran el perfil de estos movimientos de solidaridad y apoyo. En su mayoría se trata de personas con educación mediana o superior y con empleos estables. Muchos de los activistas provienen de la segunda generación de migrantes o son jóvenes del sector estudiantil (Pries, 2017, capítulo 3).
Finalmente, está el factor de los nuevos medios de comunicación que influyó fuertemente, no tanto como causa genuina sino como amplificador de la dinámica de los flujos de refugiados. Las fotos del pequeño Aylan Kurdi conmovieron a muchos. En la televisión se puede dar cuenta de las causas por las que huyeron, sobre todo los sirios e iraquíes, de sus países. Por lo mismo, en todos los estratos de la sociedad había gran comprensión y complacencia con los refugiados. Además, y viceversa, las noticias y las imágenes de la recepción de los refugiados en Austria y Alemania llegaron -en tiempo real- a los refugiados que estaban en camino desde Turquía. Es por esto que refugiados que habían captado el lema de la canciller alemán: “podemos hacerlo”, llegaron con fotos grandes de Merkel a Alemania.
El sistema formal de protección de refugiados europeo, y su fracaso real
Después del “milagro de Septiembre de 2015” vino la “crisis de los refugiados” y el fracaso del sistema europeo de protección a refugiados. A partir de 2016 es cada vez más difícil entrar a la UE como refugiado. Todos los países de la UE cierran sus puertas a refugiados, algunos reintroducen los controles en las fronteras dentro de la UE que ya se habían retirado con los contratos de Schengen. En marzo de 2016 se firma un acuerdo entre la UE y Turquía. A cambio de recibir unos 4 mil millones de euros en el transcurso de 4 años para asistencia a los refugiados, Turquía se compromete a restringir el flujo de refugiados hacia Grecia. UE y Turquía acuerdan que por cada migrante rechazado en Grecia y retornado a Turquía por no cumplir los requisitos mínimos de aplicar por asilo en la UE, la UE recibirá un refugiado de los campos de refugiados en Turquía.
En la UE no hay consenso de cómo distribuir estos y otros refugiados entre los EM. Algunos países, especialmente Hungría, Polonia, la República Checa y Eslovaquia, se niegan rotundamente a recibir refugiados. Se reinicia, se visualiza de nuevo la vieja fórmula de criticar a ciertos países y negar las responsabilidades que se derivan de los acuerdos comunes de la UE. A principios del siglo los EM de la UE presionaban a España para que controlara el flujo de inmigrantes que llegaban a través de las Islas Canarias y el estrecho de Gibraltar, pero no ayudaron en la redistribución de refugiados a otros países. Después, cuando Italia y Grecia se volvieron las puertas más importantes de entrada de refugiados, ambos países fueron criticados por su incapacidad de controlar sus fronteras y no ofrecer procedimientos de asilo correctos, pero los demás EM de la UE no aportaron nada para resolver los problemas. En 2015 y 2016 la mayoría de los EM de la UE criticaron a Alemania y Austria por haber recibido tantos refugiados y por haberlos invitado con lemas como el de Merkel: “Podemos hacerlo”.
¿Cómo podemos entender y explicar la “crisis de los refugiados”? ¿Como la crisis de solidaridad entre los EM de la UE? Esta pregunta es más virulenta porque la UE tiene uno de los sistemas regulativos de protección de refugiados más avanzado del mundo. ¿Por qué ha fallado este marco formal-normativo? En lo siguiente, primero se describe este régimen legal de protección a refugiados de la UE, para después analizar los elementos y las razones del fracaso de responsabilidad compartida en este asunto.
La UE puede ser caracterizada como el proyecto económico, político, cultural y social más amplio y ambicioso en el mundo. Comprende la libre circulación de mercancías, servicios, capitales y personas, y reclama ser un espacio de libertad, seguridad y justicia. Para otros países como China, Estados Unidos o México, un proyecto de esta magnitud todavía es una promesa inexistente. Cuando mucho existen contratos de integración económica. La Unión Europea tiene una superficie de 4 millones de km² y una población de 508 millones de habitantes, es la tercera región más grande del mundo, después de China y la India; también supera a Estados Unidos, país con poco más de 321 millones de habitantes. Además, su PIB es mayor a los 18 trillones de dólares, en 2014 en el rubro de gastos de consumo de hogares superó a Estados Unidos y a China.16
La Unión Europea tiene un marco normativo y regulatorio bastante fuerte en distintas áreas. La migración, la protección a refugiados y el asilo no son la excepción. En cuanto a la armonización de las políticas de refugiados y asilo cuenta con dos instrumentos principales, el sistema de Dublín y el Sistema Común Europeo de Asilo (Common European Asylum System, CEAS por sus siglas en inglés). Además, cuenta con el sistema de registro de huellas dactilares EURODAC y con la Oficina Europea de Apoyo al Asilo, European Asylum Support Office (EASO), que entró en funcionamiento en 2011.
El sistema de Dublín consiste en que aquel país, en el cual primero entró a la UE, es responsable para protección internacional de un refugiado. Los pactos de Dublín (llamados según la ciudad irlandesa en que se firmó el primer contrato correspondiente) los firmaron los 28 EM de la UE más Islandia, Liechtenstein, Vaduz, Noruega y Suiza. A continuación se listan las características básicas de los tres acuerdos. En Dublín I (1990) participaron 12 Estados Miembros y se estableció la regla básica de que el país de primera entrada es responsable del procedimiento de asilo de un solicitante. En Dublín II (2003) participaron 15 Estados Miembros de la Unión Europea, así como Islandia, Noruega, Suiza. En ella se estableció la posibilidad de detención para retorno o expulsión en casos de identidad inexplicada, petición de asilo tardada o por motivos de seguridad y orden público. También se instauró el sistema EURODAC, el cual permite a los países de la UE ayudar a identificar a los solicitantes de asilo y a las personas interceptadas en relación con el cruce irregular de las fronteras exteriores de la Unión. Comparando sus huellas, los países de la UE pueden comprobar si un solicitante de asilo o un extranjero presente ilegalmente en su territorio ya ha solicitado asilo en otro país de la UE, o si un solicitante de asilo ha entrado irregularmente en el territorio de la Unión. En Dublín III (2013), se integran 10 EM de la UE y se discutió la necesidad de mejoras en la protección para solicitantes de asilo y menores de edad no acompañados y la protección subsidiaria, con base en fallos del Tribunal de Justicia de la Unión Europea y el Tribunal Europeo de Derechos Humanos.17
El reglamento de Dublín se fue perfeccionando con el objetivo de agilizar el proceso de protección a los solicitantes más necesitados, de hecho se puede considerar la normativa más avanzada en el mundo en la materia. Su aplicación ha servido para evitar tres fenómenos que pueden ocurrir en el contexto de la libre movilidad dentro del espacio de la UE. El primero sería un asylum shopping y se refiere a evitar que los solicitantes puedan presentar más de una solicitud o escoger aplicar en el EM del sistema Dublín, que suele tener los procedimientos más favorables o mejores condiciones de acogida. El segundo problema se daría cuando no haya una responsabilidad clara de un país para el trámite de una petición dada. En este caso, los refugiados se encuentran circulando entre los países de los contratos Dublín y ningún EM se responsabiliza de atenderlos.18 El tercer problema sería que los EM del sistema Dublín aplicarían un “race to the bottom”, en el sentido de tomar decisiones muy restrictivas para que los refugiados no se animen a ingresar al país correspondiente. Para evitar estos problemas, la regla de responsabilizar al país de primera entrada parece una solución. Pero el déficit claramente consiste en que el mecanismo Dublín carga casi toda la responsabilidad a los países del Mediterráneo, porque es sólo allí donde refugiados pueden pisar terreno de la UE. Otro defecto es que al exterior de la UE no hay un órgano común europeo que se encargue de la protección de las fronteras, ni de los rescates en los puntos de llegada en el mar Mediterráneo.
Aparte del sistema Dublín es el CEAS el que define la normatividad de protección a refugiados. Es un conjunto de normas conocidas como directivas, las cuales fueron aprobadas por el Parlamento Europeo y por el Consejo Europeo el 26 de junio de 2013. Comprende las siguientes cinco normativas: (1) Reglamento (UE) 603/2013: homogeneización de EURODAC “para la comparación de las impresiones dactilares para la aplicación efectiva del Reglamento (UE) núm. 604/2013”;19 (2) Reglamento (UE) 604/2013: Dublín III, “Por el que se establecen los criterios y mecanismos de determinación del Estado Miembro responsable del examen de una solicitud de protección internacional presentada en uno de los Estados Miembros por un nacional de un tercer país o un apátrida”;20 (3) Directiva 2013/33/UE: normas mínimas para la acogida de solicitantes de protección internacional (estipula los mecanismos de alojamiento en todos los países de la UE); (4) Directiva 2013/32/UE: procedimientos comunes para concesión o retirada de protección internacional; y (5) Directiva 2011/95/UE: normas/criterios comunes de reconocimiento de protección internacional con el objetivo de crear cierta homogeneidad en la UE.
Además de las peticiones individuales de asilo hay dos instrumentos poco usados en la UE, la protección masiva temporal y el reasentamiento. La protección temporal fue establecida en el contexto de la guerra de Yugoslavia, en la directiva 2001/55/CE, del Consejo de la Unión Europea y especifica las normas mínimas para la concesión de protección temporal en caso de afluencia masiva de personas desplazadas y medidas de fomento de un esfuerzo equitativo entre los EM. El reasentamiento está estipulado en el artículo 6 de la Decisión 573/2007/CE del parlamento europeo y del Consejo Europeo y se define como “[…] el proceso por el cual, mediante una petición del ACNUR basada en la necesidad de protección internacional de una persona, los nacionales de terceros países o las personas apátridas son trasladados de un tercer país a un Estado Miembro en el que les está permitido residir”.21
Otras declaraciones y decisiones hacia una mayor integración europea de los mecanismos de distribución de refugiados y gastos entre los Estados Miembros fueron: el Reglamento (UE) 439/2010 para la creación de la oficina European Asylum Support Office (EASO); el Reglamento (UE) 516/2014 y (UE) 514/2014: creación del Fondo de Asilo, Migración e Integración y apoyo financiero a cooperación policial; la Decisión (UE) 2015/1601 y (UE) 2015/1523 del Consejo: medidas provisionales en el ámbito de la protección internacional en beneficio de Italia y Grecia; las Conclusiones del Consejo Europeo, 20.07.2015: reasentamiento mediante programas multi-laterales y nacionales de 22 504 personas desplazadas claramente necesitadas de protección internacional.22
En resumen, la UE tiene un régimen de protección de refugiados emergente y todavía frágil, pero a nivel de normas y regulaciones el CEAS es muy avanzado. Es un marco legal-normativo con estándares comunes con base en el derecho europeo e internacional. Estudios demuestran que este marco es muy avanzado y pionero en el mundo con respecto a las provisiones de protección de refugiados. A comparación con la normatividad nacional de los EM de la UE es una “armonización hacia arriba” (Pries, 2017, capítulo 1). La debilidad de este régimen está sobre todo en el mecanismo de Dublín de responsabilizar al país de primera entrada, sin definir mecanismos claros y reales de distribución de responsabilidades y cargas. Frente al reto de la llegada de un millón y medio de refugiados tan sólo en 2015, este sistema normativo europeo de protección a refugiados se reveló como muy débil y colapsó. Pero sus debilidades ya existían antes.
Las debilidades y el fracaso del régimen de protección a refugiados
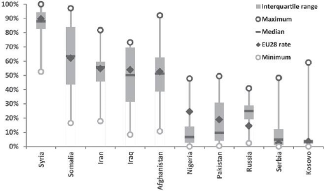
A pesar de lo avanzado en términos de protección a refugiados, el régimen CEAS de la UE ya tenía graves deficiencias desde antes. Un aspecto es que las normas europeas están aplicadas a nivel de los EM de forma muy desigual. En la Gráfica 1 se puede observar la variación de tasas de reconocimiento de peticiones de asilo entre los 28 EM de la UE, según los 10 países más importantes de procedencia. Las personas que vienen de Siria tienen un promedio de aceptación en la UE de casi 90%. Al mismo tiempo, los márgenes de aceptación entre los EM de la UE varían para sirios entre 50% y 100%. Cuando se trata de Afganistán o Somalia la variación aumenta a 80% y 90% entre los EM con menor y mayor tasa de aceptación.

Otra evidencia de la falta de prácticas y normas compartidas han sido las decisiones no negativas de peticiones de asilo de primera instancia que se exponen en seguida (Gráfica 2). Es visible que hay disparidades y variaciones no sólo en el corte transversal entre los diferentes EM, sino también en el corte longitudinal. Además, las variaciones son muy marcadas, por ejemplo, Chipre, Italia y Malta muestran cambios bruscos de un año al otro, mientras que otros EM como Alemania o Francia no varían tanto. ¿Cómo se pueden explicar estas variaciones entre países y de un año a otro? Una parte de las variaciones en la Gráfica 2 puede reflejar la composición variante y cambiante de las entradas a los EM según el país de origen, la edad, el género. Pero otra parte refleja las políticas generales y prácticas de refugio y asilo diferentes entre los EM (cambios de política administrativa; creación de nuevos órganos de toma de decisiones; cambios de definición de países terceros seguros; cambios en el control de fronteras y en la selección de refugiados; cambios en la profesionalización y capacitación de personal involucrado).

De acuerdo con las gráficas anteriores, es innegable que el CEAS tiene problemas estructurales no resueltos. A esto se agrega una política de los EM que se puede caracterizar como la “no responsabilidad organizada”. Aunque formalmente por el CEAS existe un régimen común de la UE de protección a refugiados, en la práctica hay variaciones en las tasas de reconocimiento de aplicaciones de asilo. En la mayoría de los EM prevalece una política de no responsabilizarse por asuntos comunes de la UE y, a la vez, de criticar a algunos EM que supuestamente no hacen bien las cosas en términos del trato a refugiados. Por esto, la “no responsabilidad organizada” es más que la simple no responsabilidad para asuntos europeos.
Es la combinación de dejar el compromiso común europeo atrás, de no apoyar a los EM que más son retados por la cuestión de refugiados (sobre todo los EM del Mediterráneo) y, al mismo tiempo, criticar a algunos EM en nombre de los intereses comunes.
En la década de 2000, el reto de tratar y proteger a refugiados se concentró en las fronteras de España. En las Islas Canarias en 2006 llegaron 31 600 refugiados, una cifra sin precedentes. Al mismo tiempo los enclaves de Ceuta y Melilla se volvieron un “hot spot” de la entrada de refugiados. Con base en esta “crisis de las vallas” el gobierno español decidió “hacer más alta la valla fronteriza de Melilla y ordenó duplicar su altura hasta los seis metros en los seis kilómetros de frontera que sólo tenían tres metros de altura”.23 En una estrategia de externalizar el control fronterizo, en 2006 España firmó un tratado con Senegal y Mauritania, además de recibir del apoyo de Frontex, a través de las operaciones HERA I y II, en las que diferentes expertos participaron en la identificación de los flujos de migrantes irregulares (Pries, 2017, capítulo 4). ¿Qué hicieron los demás EM de la UE? No ayudaron a España a recibir los refugiados y tramitar los pedidos de asilo sino, apuntando a la lógica de los tratados de Dublín, criticaron a España de no ser capaz de arreglar las cosas.
A partir de 2010, debido a los cambios políticos en los países de África del Norte (la breve Primavera árabe, que se volvió una pesadilla), el hot spot de entrada de refugiados se movió hacia Italia, sobre todo sus islas en el sur. Esto aumentó con el colapso del régimen de Gadafi y la descomposición del Estado de Libia. Cientos de miles de refugiados llegaron a Italia, miles de refugiados naufragaron y murieron en el mar. Cuando se ahogaron cientos enfrente de la isla de Lampedusa en 2013, en vez de apoyar a Italia, los demás EM de la UE criticaron este país por no proteger las fronteras ni administrar bien las peticiones de asilo. En respuesta a la tragedia de Lampedusa, el gobierno de Italia implementó unilateralmente el programa Mare Nostrum,24 con la finalidad de rescatar a refugiados en alta mar. La reacción de los demás EM era de no participar en el financiamiento de Mare Nostrum ni recibir una parte de los refugiados recién llegados. Al mismo tiempo muchos gobiernos de EM criticaron a Italia por haber impulsado el flujo de refugiados por el programa de rescate Mare Nostrum.
A partir de 2014, los flujos de refugiados se trasladaron cada vez más a Grecia. Pero en vez de apoyar a este país, sacudido por una crisis económica fuerte, muchos EM criticaron a Grecia por no tener un sistema de recepción adecuado. Ya en 2009 el país había sido señalado por un Tribunal Administrativo Alemán, y en 2013 por el Tribunal de Justicia Europeo por no cumplir con las condiciones para tramitar las peticiones de asilo según los reglamentos de Dublín. Tan sólo esto hubiera sido una razón clara para apoyar al país en el manejo de los números crecientes de refugiados. Pero tardó hasta 2016 que la UE empezó a destinar recursos extras a Grecia. En la “crisis de los refugiados” de 2015 Austria, y en especial Alemania enfrentaron la desaprobación de otros EM por haber recibido tantos refugiados. En vez de apoyar a estos países (y a Suecia) y recibir parte de los refugiados recién llegados, los gobiernos de EM como Hungría y Polonia los declararon culpables de la crisis. Y en 2016, igual que antes los gobiernos de España, Italia y Grecia, los gobiernos de Alemania y Austria procuraron el fortalecimiento y la externalización del control fronterizo hacia Turquía.
Resumiendo, a pesar de las regulaciones avanzadas de protección a refugiados de la UE, como es el CEAS, el déficit del régimen de asilo europeo fue más obvio con la “crisis de los refugiados” de 2015. Aparte de las insuficiencias del sistema Dublín y de las prácticas muy variantes de aplicación de la normatividad europea, fue la “no responsabilidad organizada” lo que caracterizó la reacción prevaleciente de los EM. Una muestra significativa de esto fue el comportamiento de los EM después de una decisión común de todos los EM de la UE en Bruselas en mayo de 2015 para reasentar a 160 000 refugiados que habían sido recibidos primero en Grecia e Italia. Para finales de ese mismo año sólo se habían reubicado 1 145 (615 desde Grecia y 530 desde Italia); hasta mayo de 2017 menos de 20 000 de los 160 000 eran recibidos en los EM.25
El papel de la sociedad civil y sus organizaciones
Hasta ahora hemos abordado el marco formal-regulativo y las acciones políticas de los gobiernos, pero durante la “crisis de los refugiados”, respectivamente la crisis de solidaridad entre los EM de la UE, en 2015 y 2016 la sociedad civil y los refugiados mismos se constituyeron en actores importantes. La sociedad civil de muchos países europeos ya se había organizado desde hace muchos años, en el contexto de la protección de refugiados. Por ejemplo, en octubre de 2013, después de la tragedia de los cientos de refugiados que murieron ahogados frente a las costas italianas, la alcaldesa de Lampedusa, Giusi Nicolini, escribió una carta abierta a la UE pidiendo más apoyo y recursos, sobre todo a los EM más ricos, bajo el argumento de que no los podían dejar solos ante la presión de la llegada de migrantes al sur de Italia y en específico a su municipio.26
En el estudio científico “Mapeo de refugiados: llegadas a las fronteras del Mediterráneo (MAREM, por sus siglas en inglés)”,27 del Departamento de Sociología de la Universidad del Ruhr, realizado de septiembre de 2013 a agosto de 2016, se analizaron los actores colectivos de organizaciones relacionadas con el refugio y asilo (ORRA) en Chipre, España, Grecia, Italia, y Malta. Se analizaron los tipos de organización (organizaciones gubernamentales, ONGS, organizaciones científicas, a nivel local, nacional y supra-nacional), los valores dominantes (de solidaridad/asistencia humanitaria, políticos, religiosos), los objetivos y los campos de acción (ayuda directa, hospedaje y alimentos, asistencia legal, servicios de idioma, integración cultural, deportiva) y de legitimidad y los recursos movilizados (internos y/o externos de la organización).
De los cinco países analizados, aquí sólo se presentan algunos hallazgos de Italia. Fue uno de los países de entrada más importantes de refugiados a partir de 2010. El auge de las llegadas de refugiados al sur de Italia fue desde 43 170 mil en 2010 a más de 200 000 refugiados en 2014. De estos doscientos mil, solamente 50 mil solicitaron asilo en ese país, los demás siguieron -la mayoría sin ningún registro en Italia- hacia Alemania, Austria y Suecia. Una prueba más del mal funcionamiento del sistema de Dublín desde antes de la crisis de 2015. En Italia fueron realizadas entrevistas de expertos a representantes de ORRAS, observaciones participantes y entrevistas con refugiados. En las ORRAS se preguntó a los representantes con qué organizaciones estaban interactuando en el asunto del refugio. También se levantó las características claves de estas organizaciones por su tipo (ONG, estatal, científica y otros tipos), por el nivel de trabajo de actividades (nacional, regional, europeo, global) y los valores que mueven a las organizaciones. De esta forma se podía reconstruir el tejido de organizaciones que se dedican al trabajo con refugiados. A continuación se muestra un esquema de la red de organizaciones en Italia (Gráfica 3).

Se puede observar un tejido de organizaciones activas en todo el campo de refugiados y asilo. Las interacciones van desde el intercambio de información hasta la cooperación directa en acciones específicas como alojamiento o consulta legal. Según las entrevistas, estas redes organizacionales de ORRAS ya tienen una trayectoria de -por ejemplo en los casos de Italia y España- más de una década. Pero también existen y son importantes en los países más pequeños como Chipre, Grecia y Malta. Estas redes organizacionales son la columna vertebral del movimiento social para el refugio seguro en Europa. Además, articulan actividades entre individuos de la sociedad civil, los medios de comunicación, los órganos administrativos públicos y las estructuras políticas (véase los estudios de los cinco países, en Gansbergern et al., 2016 y Mratschkowski, 2017).
Estas redes organizacionales de ORRAS también existieron y se expandieron en Alemania. En Bochum, una ciudad mediana alemana con unos 360 000 habitantes, la sociedad civil, sin ningún apoyo público, organizó su cooperación de organizaciones e iniciativas espontáneas mediante la creación de una página web: “Bochum ayuda a los refugiados”.28 En los tiempos más activos del otoño e invierno de 2015 estaban registradas más de cincuenta ORRAS. La página muestra las áreas donde las organizaciones están activas, como educación, trabajo, asesoría, aprovisionamiento (de muebles, alimentos), participación de los refugiados, cabildeo, deporte (apertura de equipos de fútbol), cultura (música, paseos a monumentos importantes), entre otros. A partir del verano de 2016 el ayuntamiento de la ciudad abrió una plaza para la coordinación de todas las actividades del ayuntamiento con la sociedad civil. En el verano de 2017 había registradas más de cuarenta ORRAS. Todos los ejemplos indican que en muchos países de la UE la sociedad civil era y es muy activa en el trabajo con y para los refugiados (Pries, 2017, capítulos 3 y 7).
Retos y conclusiones
La llamada crisis de los refugiados era -como bien lo dijo el entonces Secretario General de las Naciones Unidas- más que nada una crisis de solidaridad entre los EM de la UE. Fue sobre todo la sociedad civil la que llenó el hueco que se abrió entre la normatividad bien avanzada de protección a refugiados y la “no responsabilidad organizada” de la mayoría de los EM. El Sistema Común de Asilo Europeo (CEAS) tiene un régimen de protección a refugiados emergente y todavía frágil, pero en su regulación legal-formal es de los más avanzados del mundo. Este régimen fracasó ante el tamaño del reto que representó la coyuntura de 2015, porque los EM no respetaron al CEAS ni a sus propias decisiones con respecto a la distribución de 160 000 refugiados llegados a Grecia e Italia. En Europa, y especialmente en Alemania, la sociedad civil, con sus entramados sociales, avanzó rápidamente en organizar una bienvenida, la recolección y distribución de todo tipo de recursos y la primera integración de los refugiados.
Mencionado lo anterior, se observan retos ante la emergencia, tanto para Alemania como para la UE. Un reto es analizar cada caso en particular y al mismo tiempo acelerar el proceso de decisiones. Actualmente hay cifras muy variadas de entre 6 y 9 meses en promedio sobre la duración del trámite de solicitud de asilo. En ese periodo existe la incertidumbre permanente para los refugiados entre rechazo y aceptación de su petición de asilo. Además, es una situación costosa para los municipios, porque se hacen cargo del alojamiento y la manutención de todos los solicitantes registrados. Cada uno de los solicitantes causa costos en promedio de unos 670 a 1 200 euros por mes. Si calculamos mil euros por persona cada mes, por el millón de personas que llegaron en 2015, estaremos hablando de decenas de millones de euros en gastos de manutención a refugiados.
Otro punto importante es balancear los intereses de los refugiados con los de otros grupos que comparten necesidades e intereses. Los desempleados también pugnan por departamentos baratos y pequeños, y otros recursos. Por esto, no es casual que grupos de la ultraderecha se movilizan en contra de los refugiados con el argumento de que éstos les quitan vivienda, apoyo social y empleos. Por esto, uno de los mayores retos para Alemania (y otros países) es comunicar y convencer a la población, con la información correcta sobre la presencia de refugiados y migrantes, y contrarrestar los populismos, los resentimientos, y la propaganda racista que está fuerte en toda Europa (por ejemplo, en Austria, Francia, Holanda, Dinamarca) y que se ha visto reflejada en elecciones en varios países.
Respecto a la UE, el panorama es muy parecido, mientras no baje el nivel de conflictividad y de persecuciones en Medio Oriente, África y otros países, el flujo de refugiados o al menos la presión de buscar protección en la UE tampoco disminuirá sustancialmente. Actualmente la tendencia dominante en la UE es reforzar y externalizar la “protección de fronteras”, restringir el acceso de refugiados. Dicho lo anterior, los retos actuales de la UE son: acordar mecanismos de distribución y compartir responsabilidades; flexibilizar el reglamento de Dublín; mejorar la situación en los centros de refugiados dentro y fuera de la UE; y -más que nada- cooperar para combatir las causas del refugio.
Bibliografía
ACNUR (Alto Comisionado de las Naciones Unidas para los Refugiados) 2016 “Mundo en guerra. Tendencias globales. Desplazamiento forzado en 2015”, Ginebra/Madrid, UNHCR/ACNUR, consultado en http://www.acnur.org/t3/fileadmin/Documentos/Publicaciones/2016/10627.pdf, agosto de 2017.
ACNUR (Alto Comisionado de las Naciones Unidas para los Refugiados). 2017 “Protección internacional en México”, consultado en http://site.cinu.mx/docsonu/ACNUR/acnur_5.pdf, agosto de 2017.
BAMF (Bundesamt für Migration und Flüchtlinge) 2016 Das Bundesamt in Zahlen 2015. Asyl, Migration und Integration, Nuremberg, BAMF.
Blanco, Juan Carlos 2014 “Los asaltos a las vallas de Ceuta y Melilla de 2005”, El País blog, marzo 19, consultado en http://www.politico.eu/article/german-anti-immigrant-protests-revive-and-radicalize/, agosto de 2017.
Borderline Sicilia 2012 “Open letter from the Mayor of Lampedusa to the European Union”, migrantsicily blog, consultado en http://migrantsicily.blogspot.mx/2012/12/open-letter-from-mayor-of-lampedusa-to.html, agosto de 2017.
Delcker, Janosch 2015 “German anti-immigrant protests revive and radicalize”, Politico, octubre 7, consultado en http://www.politico.eu/article/german-anti-immigrant-protests-revive-and-radicalize/, agosto de 2017.
DiMaggio, Paul J. y Walter W. Powell 1983 “The iron cage revisited: Institutional isomorphism and collective rationality in organizational fields”, American Sociology, vol. 48, núm. 2, pp. 147-160.
EASO (European Asylum Support Office) 2014 Annual Report on the Situation of Asylum in the European Union, Luxemburgo, Publications Office of the European Union.
EC (European Commission) 2017 “Report From to the European Parliament, the European Council and the Council. Twelfth report on relocation and resettlement”, COM (2017) 260 final, consultado en https://ec.europa.eu/home-affairs/sites/homeaffairs/files/what-we-do/policies/european-agenda-migration/20170516_twelfth_report_on_relocation_and_resettlement_en.pdf, agosto de 2017.
Eur-Lex 2000 “Sistema Eurodac”, consultado en http://eur-lex.europa.eu/legal-content/ES/TXT/?uri=LEGISSUM:l33081, agosto de 2017.
Eur-Lex 2013 “Reglamento (UE) núm. 603/2013 del Parlamento Europeo y del Consejo de 26 de junio de 2013”, Diario Oficial de la Unión Europea, consultado en http://eur-lex.europa.eu/legal-content/ES/TXT/?uri=CELEX%3A32013R0604, agosto de 2017.
Eurostat 2015 “Database”, consultado en http://ec.europa.eu/eurostat/data/database/, agosto de 2017.
Eurostat 2016 “Five main citizenships of first time asylum applicants, 1st quarter 2016”, consultado en http://ec.europa.eu/eurostat/statistics-explained/images/9/9e/Five_main_citizenships_of_first_time_asylum_applicants%2C_1st_quarter_2016.png, agosto de 2017.
Eurostat 2017 “Asylum and first time asylum applicants by citizenship, age and sex. Annual aggregated data”, consultado en http://appsso.eurostat.ec.europa.eu/nui/show.do?dataset=migr_asyappctza&lang=en, agosto de 2017.
Gansbergen, Anna, Ludger Pries y Juliana Witkowski (eds.) 2016 Versunken im Mittelmeer? Das Gemeinsame Europäische Asylsystem in der Praxis von fünf EU-Mittelmeerländern, Bielefeld, transcript.
Harding, Luke, Philip Oltermann y Nicholas Watt 2015 “Refugees welcome? How UK and Germany compare on migration”, The Guardian, septiembre 2, consultado en https://www.theguardian.com/world/2015/sep/02/refugees-welcome-uk-germany-compare-migration, agosto de 2017.
Holmes, Seth M. y Heide Castañeda 2016 “Representing the ‘European refugee crisis’ in Germany and beyond: Deservingness and difference, life and death”, American Ethnologist, vol. 43, núm. 1, pp. 12-24.
Lenart, Joanna 2012 “‘Fortress Europe’: Compliance of the Dublín II Regulation with the European Convention for the Protection of Human Rights and Fundamental Freedoms”, Merkourios Utrecht Journal of International and European Law, vol. 28, núm. 75, pp. 4-19.
Meyer, John W. y Brian Rowan 1977 “Institutionalized organizations: Formal structure as myth and ceremony”, American Journal of Sociology, vol. 83, núm. 2, pp. 340-363.
Ministerium für Inneres und Kommunales/NRW 2013 “Projektbericht. Unterbringung von Asylbewerbern in nordrhein-westfälischen Aufnahmeeinrichtungen”, consultado en http://www.mik.nrw.de/fileadmin/user_upload/Redakteure/Dokumente/Themen_und_Aufgaben/Auslaenderfragen/pb_unterbringung.pdf, agosto de 2017.
Mratschkowski, Anna 2017 Asylum Related Organisations in Europe. Networks and Institutional Dynamics in the Context of a Common European Asylum System, Migration & Integration 1, Baden-Baden, Nomos.
Oficina Federal para la Migración y los Refugiados (Bundesamt für Migration und Flüchtlinge). 2005 “The Impact of Immigration on Germany’s Society. The German Contribution to the Pilot Research Study: The Impact of Immigration on Europe’s Societies”, Nuremberg, Federal Office for Migration and Refugees, consultado en https://ec.europa.eu/home-affairs/sites/homeaffairs/files/what-we-do/networks/european_migration_network/reports/docs/emn-studies/illegally-resident/de-finalstudy-eng_en.pdf, agosto de 2017.
Oomen, Barbara y Ricardo Rodrigues de Oliveira 2017 “Relocation and its Numbers. Which Role for the Courts?”, consultado en http://eumigrationlawblog.eu/relocation-and-its-numbers-which-role-for-the-courts/, agosto de 2017.
Parlamento Europeo 2017 “La política de asilo”, Fichas técnicas sobre la Unión Europea, consultado en http://www.europarl.europa.eu/atyourservice/es/displayFtu.html?ftuId=FTU_5.12.2.html, agosto de 2017.
Pries, Ludger 2017 Refugees, Civil Society and the State. European Experiences and Global Challenges. Cheltenham: Edward Elgar.
Ridley, Louise 2015 “Angela Merkel’s Immigration Quotes Show Germany’s Response to Refugees is Wildly Different to Britain’s”, The Huffington Post, septiembre 1, consultado en http://www.huffingtonpost.co.uk/2015/09/01/angela-merkel-immigration-migrants-germany_n_8069928.html, agosto de 2017.
Ruhr Universität Bochum 2017 “Research Project: ‘Mapping Refugee’s Arrivals at Mediterranean Borders (MAREM)”, consultado en http://www.ruhr-uni-bochum.de/marem/en/about.shtml, agosto de 2017.
Scott, Richard R. 1991 “Unpacking Institutional Arguments”, en DiMaggio, P. y W. W. Powell (eds.), The New Institutionalism in Organizational Analysis, Chicago, Londres, University of Chicago Press, pp. 164-182.
Suanzes, Pablo R. 2016 “La Unión Europea acoge sólo a 1 145 de los 160 000 refugiados prometidos”, El Mundo, abril 12, consultado en http://www.elmundo.es/internacional/2016/04/12/570d054046163f392b8b45e1.html, agosto de 2017.
UE (Unión Europea) 2007 “Decisiones adoptadas conjuntamente por el Parlamento Europeo y el Consejo. Decisión N 573/2007/CE del Parlamento Europeo y del Consejo de 23 de mayo de 2007”, Diario Oficial de la Unión Europea, consultado en http://www.acnur.org/t3/fileadmin/Documentos/BDL/2010/7674.pdf?view=1, agosto de 2017.
UE (Unión Europea) 2017 “Vivir en la UE”, consultado en https://europa.eu/european-union/about-eu/figures/living_es, agosto de 2017.
UN (United Nations) 2016 “Refugee Crisis about Solidarity, Not Just Numbers, Secretary-General Says at Event on Global Displacement Challenge”, consultado en http://www.un.org/press/en/2016/sgsm17670.doc.htm, agosto de 2017.
UNHCR (United Nations High Commissioner for Refugees) 2015 “Over one million sea arrivals reach Europe in 2015. UNHCR figures show over one million refugees and migrants reach Europe by sea in 2015, with almost 4 000 feared drowned”, consultado en http://www.unhcr.org/5683d0b56.html, agosto de 2017.
UNHCR (United Nations High Commissioner for Refugees) 2017 “Operational Portal. Refugee Situations. Mediterranean Situation”, consultado en http://data2.unhcr.org/en/situations/mediterranean, agosto de 2017.
Wikipedia 2016 “Operación Mare nostrum”, consultado en https://es.wikipedia.org/wiki/Operación_Mare_nostrum, agosto de 2017.
Wikipedia 2017 “Area of freedom, security and justice”, consultado en https://en.wikipedia.org/wiki/Area_of_freedom,_security_and_justice, agosto de 2017.
Notas
Notas de autor