ORIGINAL ARTICLE
Received: 4 October 2022
Revised document received: 11 February 2023
Accepted: 7 April 2023
DOI: https://doi.org/10.36660/ijcs.20220162
Abstract
Background: Arterial stiffness and hypertension are strong predictors of cardiovascular disease and mortality. Angiotensin-converting enzyme inhibitors (ACEI) and angiotensin receptor blockers (ARB) are first-line antihypertensive agents in reducing blood pressure and arterial stiffness.
Objective: The objective of this study was to compare the effects of ACEI and ARB in reducing arterial stiffness and preventing target organ damage in patients with hypertension.
Methods: This observational study included 654 participants who attend routine consultations at an outpatient hypertension clinic in 2 university hospitals. Patients were interviewed, and they underwent central and peripheral blood pressure measurements. Doppler echocardiography, carotid ultrasound, biochemical tests, and anthropometric parameters were carried out. Shapiro-Wilk, chi-square, and Fisher’s exact test were used. A significance level of 5% was adopted.
Results: A total of 659 participants were evaluated in the study (398 from the ARB group and 256 from the ACEI group). Age, body mass index (BMI), central and peripheral blood pressure measurements, pulse wave velocity (PWV), left ventricular mass index, and carotid intima-media thickness did not show differences between the groups (p > 0.05). After linear regression analysis, the ACEI group had lower values of total vascular resistance (TVR) (p = 0.003) and augmentation pressure (p = 0.008), when compared to the ARB group.
Conclusion: This study showed that the ACEI group had a greater reduction in augmentation pressure and PWV. There were no differences between the groups regarding the improvement of outcomes related to central arterial pressure, PWV, and cardiac and vascular target organ damage.
Keywords: Vascular Stiffness, Hypertension, Pulse Wave Analysis, Angiotensin-Converting Enzyme Inhibitors, Angiotensin Receptor Antagonists.
Introduction
Hypertension is the main modifiable cause of cardiovascular morbidity and mortality in the adult population, and it is an independent risk factor for cardiovascular disease. 1 , 2 Several lines of evidence have shown that there is a close relationship between arterial stiffness and hypertension and that both contribute independently to cardiovascular events and mortality. 3 - 5
The consolidation of pulse wave velocity (PWV) measurement in the assessment of arterial stiffness led several studies to demonstrate the association of this phenotype with the risk of developing different manifestations of cardiovascular disease. 6 It is the gold standard due to the reproducibility and reliability of the method and its association with cardiovascular risk in different populations. 4
The alterations that antihypertensive drugs cause in arterial stiffness may be pressure independent, directly affecting the arterial wall through elastic and collagen fiber remodeling, or pressure dependent, occurring indirectly through reduced blood pressure and cardiovascular outcomes, when therapy is started early. 6 , 7
Studies have observed that inhibition of the renin-angiotensin-aldosterone system (RAAS) with angiotensin-converting enzyme inhibitors (ACEI) and angiotensin II receptor blockers (ARB) may be more effective than other antihypertensive classes in reducing arterial stiffness. 8 , 9 Hypertension guidelines rank RAAS inhibitors as first-line antihypertensive classes for reducing both blood pressure and arterial stiffness. 10 , 11 However, large-scale clinical studies that directly compare the effects of ACEI and ARB on arterial stiffness have not been carried out.
Therefore, this study was conducted with the objective of comparing the ability of ACEI and ARB to improve arterial stiffness and prevent target organ damage in patients with hypertension.
Methods
This cross-sectional observational study was conducted in 2 referral centers for hypertension.
Participants were eligible if they were treated at the outpatient clinic of a university hospital, comprising a reference laboratory in vascular aging, where arterial stiffness is evaluated.
Patients with hypertension, 18 years of age or older, using ACEI or ARB regularly for at least 6 weeks, evaluated by means of casual blood pressure measurement, 10 were selected and invited to participate in the study.
The study excluded participants with chronic diseases in terminal stages, previous cardiovascular disease, including coronary artery disease (acute myocardial infarction, angina, coronary artery bypass grafting, or angioplasty) or stroke (ischemic and hemorrhagic stroke or transient ischemic attack) within the previous 6 months. These criteria were defined by information obtained from patients through direct interviews or complementary exams.
In the outpatient units, an average of 40 patients are treated daily, with an average of 200 patients per week, and central blood pressure measurement is carried out in indicated patients. Participant selection was by invitation to participate for all patients who met the inclusion criteria, with acceptance by the patient.
Data collection
Data collection was performed during routine patient care at the outpatient clinic from October 2020 to February 2022. Information such as sex, age, weight, and associated comorbidities evaluated by self-report and chronic use of medications were collected. Patients who smoked at least one cigarette daily were considered smokers. 12
Study participants’ body mass and height were measured to calculate their body mass index (BMI) 13 and classification. 14 They also underwent peripheral and central blood pressure measurements, Doppler echocardiogram, carotid ultrasound, and laboratory tests. We defined patients who reported practice of any physical activity at least 3 times a week for at least 30 minutes per session as physically active.
Peripheral blood pressure measurement was performed at the clinic, in a calm noise-free environment, using an automatic OMRON® model HEM-1100 device, following guideline recommendations. 10 , 11 Central blood pressure measurement was performed under the same conditions, using a validated Cardios Dyna MAPA AOP® device (ANVISA 10361059011), which registers central blood pressure, PWV, total vascular resistance (TVR), augmentation index (Aix), pulse pressure, and augmentation pressure, which was measured non-invasively by the oscillometric method.
A Cardios Dyna MAPA device was used for 24-hour ambulatory blood pressure monitoring to calculate the 24-hour average systolic and diastolic peripheral blood pressure, during wakefulness and sleep.
The study of cardiac and vascular damage was performed using Doppler echocardiography and carotid ultrasound, using a TOSHIBA Xsario device. The following parameters were analyzed: measurements of the interventricular septum and left ventricular posterior wall, left ventricular mass index, and left atrial volume on Doppler echocardiography, measurement of carotid intima-media thickness, and presence of carotid plaque on carotid ultrasound. All examinations were performed by the same observer in each service.
The definition of cardiac and vascular damage was established based on the following biomarkers: carotid intima-media thickness > 0.9 mm or presence of atherosclerotic plaques in carotid arteries, 15 , 16 left atrium diameter greater than 38 mm for women and greater than 40 mm for men, left ventricular mass index > 95 mg/m 2 for women and > 115 mg/m 2 for men, 17 and PWV ≥ 10 m/s. 10 , 11
The following laboratory tests were performed: blood glucose (after 8 to 12 hours fasting), glycated hemoglobin, creatinine, triglycerides, total cholesterol, LDL cholesterol, and HDL cholesterol.
The selected patients with hypertension were instructed to take the antihypertensive drugs they were using so that their names and dosages would be included in the patients’ list.
Statistical analysis
Categorical data are presented as absolute (n) and relative (%) frequencies. Numerical variables are presented as mean and standard deviation or median and interquartile range (25th to 75th percentile). To verify the normality of data distribution, the Shapiro-Wilk test was used. In order to compare categorical variables between the ARB and ACEI groups, the chi-square test and Fisher’s exact test were used. To compare numerical variables with normal distribution the unpaired t test was used, and the Mann-Whitney test was used for those with non-normal distribution.
We performed linear regression analysis with an estimate of the regression coefficient (β) and a logistic regression analysis with an estimate of the odds ratio and 95% confidence intervals, with cardiac parameters and target organ damage, respectively, as outcomes. Adjustment variables were selected using the automated backward method with p < 0.20. Due to the lack of normality of the parameters, the analysis was carried out with the values on a logarithmic basis. The significance level used for all tests was 5%. STATA® software, version 14.0 or 16.0 was used in this analysis.
Sample size
The study population was considered as all cases treated, which are on average 300 per month at the university hospital unit, between October 2020 and February 2022. Thus, the sample calculation was performed considering the population of 4800 consultations performed, 5% sampling error, and 99% confidence level, based on the formula below:
e: sampling error; N: population; n: calculated sample; Z: normal variable, p: real probability of the event.
Consequently, the calculated sample size was 585 patients, and 10% was added to cover possible losses and inconsistencies, totaling 644 patients.
Ethical aspects
The research project was evaluated and approved by the Research Ethics Committee of the Hospital of the Federal University of Jataí (UFJ) under opinion number: 14655119.2.0000.8155, and all participants signed a free and informed consent form.
Results
The sample consisted of 654 participants, 398 belonging to the ARB group and 254 to the ACEI group, with a predominance of the female sex in the ARB group and the male sex in the ACEI group. Both groups included patients who were middle-aged and overweight ( Table 1 ).

Comparison of the clinical categorical variables demonstrated that the ARB group had a significant majority of patients with obesity, sedentary behavior, and dyslipidemia, and they used a higher number of antihypertensive drugs, namely, calcium channel blockers and diuretics. The groups did not show any differences regarding mean blood pressure, assessed by 24-hour ambulatory blood pressure monitoring, and cardiac (Doppler echocardiogram) and vascular (carotid ultrasound) target organ damage ( Table 2 ).

When evaluating central and peripheral blood pressure measurements in both groups, the study did not find a significant difference, except for TVR, which was lower in the ACEI group, as shown in Table 3 .

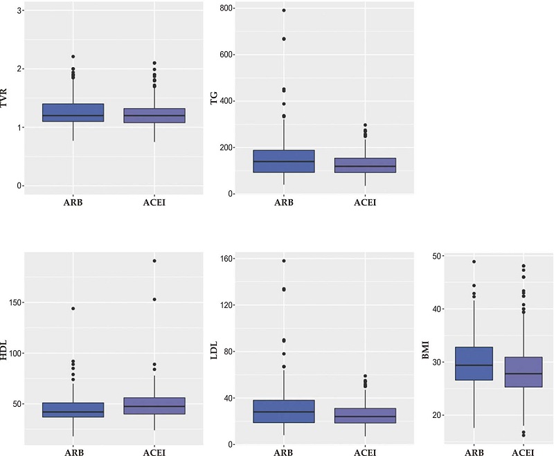
In Figure 1 , it is possible to visually analyze the comparisons of numerical clinical and sociodemographic variables (obesity: BMI > 30 kg/m 2 ) that were significantly different between the ARB and ACEI groups.

In the crude comparison analysis, lower TVR was found in the ACEI group. When using a model adjusted for age, smoking, and type of antihypertensive drug, the result regarding TVR was maintained. In another model adjusted for age, sex, type of antihypertensive drug, and LDL cholesterol, augmentation pressure was found to be lower in the ACEI group, when compared to the ARB group. Finally, in the model adjusted for age, sex, and type of antihypertensive drug, the ACEI group had a lower Aix value than the ARB group. The variable of PWV, however, showed no difference between the groups ( Table 4 ).

The logistic regression analysis adjusted for confounding factors confirmed the absence of statistical significance between the groups for vascular (carotid ultrasound) and cardiac (Doppler echocardiogram) target organ damage ( Tables 5).

Discussion
Our sample comprised adults with hypertension, risk factors, and controlled blood pressure levels in both groups; however, obesity, sedentary lifestyle, and dyslipidemia were more prevalent in the ARB group. Moreover, the comparative analysis regarding central and peripheral blood pressure measurements showed that both groups were similar, except for the parameter of TVR, which was lower in the ACEI group.
Given that this is a population with hypertension, in addition to dyslipidemia, dysglycemia, sedentary behavior, and obesity, which are known risk factors for endothelial dysfunction, RAAS hyperreactivity, accelerated vascular aging, and increased residual risk, it seems reasonable that RAAS inhibition with ACEI or ARB is the best pharmacological approach to delay vascular aging and reduce cardiovascular outcomes. 18 - 20
Regarding hypertension and parameters of arterial stiffness, after linear regression analysis, our study showed a greater benefit for ACEI in reducing augmentation pressure, peripheral vascular resistance, and aortic augmentation, measured by the Aix.
PWV is considered a strong independent biomarker of subclinical target organ damage and adverse events. 21 Similar studies found no difference between ACEI and ARB regarding the reduction in arterial stiffness measured by PWV. 22 - 24 In contrast, Takami showed a greater benefit of ARB in reducing PWV, when compared with ACEI, although a sample of only 76 participants was a limiting factor. 25
In addition to PWV, our study also analyzed Aix, central blood pressure, TVR, pulse pressure, and augmentation pressure. We found no difference in central blood pressure and pulse pressure when comparing both groups, but there was a significant reduction in aortic augmentation (Aix), TVR, and augmentation pressure in patients using ACEI. Several studies have evaluated these biomarkers, mainly as an attempt at a surrogate endpoint, and observed a lack of significant association when comparing ACEI with ARB. 23 , 24 , 26 , 27 However, a study with the same profile as ours showed a greater reduction in central blood pressure and Aix in patients using ACEI. 22 The opposite was also observed by Ruilope and Schaefer, showing better central blood pressure reduction with ARB (olmesartan) than ACEI (perindopril). 28
RAAS inhibition reduces the incidence of cardiovascular events in patients with hypertension, and it prevents or delays the progression of target organ damage induced by hypertension. 29 , 30 Our study showed that there was no difference between the ACEI and ARB groups in the control or prevention of target organ damage. A similar result was observed in the ONTARGET study which showed that both RAAS inhibitors had the same response in reducing cardiovascular outcomes. 31
The same result was not found in some studies that showed evidence of a better benefit of ACEI over ARB in preventing cardiac target organ damage, suggesting that the inhibition of bradykinin degradation exerted by ACEI promotes greater vasodilation and reduction of platelet aggregation. 30 , 32
ARB seem to have a beneficial effect on stiffness, with the caveat that results are conflicting and larger studies are needed. 33 ACEI improve compliance of large arteries regardless of blood pressure changes, 24 and their effects on arterial stiffness are more pronounced in the presence of certain genetic polymorphisms, such as the AT1-polymorphism of the receptor gene, as well as the beneficial actions of inhibiting bradykinin degradation. 34 - 36 Given the divergences in the behavior of both drugs in arterial stiffness, it is necessary to further explore the subject with robust randomized, multicenter studies with longer follow-up.
In this context, the main limitation of our study was the cross-sectional design that did not allow the observation of baseline and follow-up data. As these patients were followed up at a referral center for hypertension, with greater blood pressure control, a sample bias could be suggested. Finally, another limitation is due to the absence of normal distribution of central blood pressure between groups, which was maintained even after applying a logarithmic scale, which could generate a confounding result in the analysis of this variable.
Conclusion
The comparison of hypertension treatment guided by ACEI or ARB did not show differences in outcomes related to reduced arterial stiffness, evaluated by central blood pressure measurements, or cardiac and vascular lesions, according to echocardiographic evaluation and carotid ultrasound. However, the ACEI group demonstrated superiority in reducing aortic augmentation (Aix), TVR, and augmentation pressure.
References
Unger T, Borghi C, Charchar F, Khan NA, Poulter NR, Prabhakaran D, et al. 2020 International Society of Hypertension Global Hypertension Practice Guidelines. Hypertension. 2020;75(6):1334-57. doi: 10.1161/HYPERTENSIONAHA.120.15026.
Guimarães GC Filho, Sousa AL, Jardim TS, Souza WS, Jardim PC. Progression of Blood Pressure and Cardiovascular Outcomes in Hypertensive Patients in a Reference Center. Arq Bras Cardiol. 2015;104(4):292-8. doi: 10.5935/abc.20150001.
Kannel WB. Elevated Systolic Blood Pressure as a Cardiovascular Risk Factor. Am J Cardiol. 2000;85(2):251-5. doi: 10.1016/s0002-9149(99)00635-9.
Roderjan CN, Cardoso CR, Ferreira MT, Muxfeldt ES, Salles GF. Correlates of Aortic Stiffness Progression in Patients with Resistant Hypertension: Importance of Clinic and Ambulatory Blood Pressure Changes. J Hypertens. 2015;33(4):827-34. doi: 10.1097/HJH.0000000000000491.
Guimarães GC Filho, Silva LT, Silva RMCE. Correlation among Waist Circumference and Central Measures of Blood Pressure. Arq Bras Cardiol. 2022;119(2):257-64. doi: 10.36660/abc.20210432.
Vlachopoulos C, Xaplanteris P, Aboyans V, Brodmann M, Cífková R, Cosentino F, et al. The Role of Vascular Biomarkers for Primary and Secondary Prevention. A Position Paper from the European Society of Cardiology Working Group on Peripheral Circulation: Endorsed by the Association for Research into Arterial Structure and Physiology (ARTERY) Society. Atherosclerosis. 2015;241(2):507-32. doi: 10.1016/j.atherosclerosis.2015.05.007.
Barroso WKS, Inuzuka S, Guimarães GC Filho. Pharmacological Management of Hypertension Guided by Central or Peripheral Blood Pressure Measurement: Comparison of Two Strategies on the Incidence of Intermediate Outcome. Artery Research. 2020;26(1):1-4. doi: 10.2991/artres.k.200104.001.
Liu M, Li GL, Li Y, Wang JG. Effects of Various Antihypertensive Drugs on Arterial Stiffness and Wave Reflections. Pulse. 2013;1(2):97-107. doi: 10.1159/000354108.
Gismondi RA, Oigman W, Bedirian R, Pozzobon CR, Ladeira MC, Neves MF. Comparison of Benazepril and Losartan on Endothelial Function and Vascular Stiffness in Patients with Type 2 Diabetes Mellitus and Hypertension: A Randomized Controlled Trial. J Renin Angiotensin Aldosterone Syst. 2015;16(4):967-74. doi: 10.1177/1470320315573681.
Barroso WKS, Rodrigues CIS, Bortolotto LA, Mota-Gomes MA, Brandão AA, Feitosa ADM, et al. Brazilian Guidelines of Hypertension - 2020. Arq Bras Cardiol. 2021;116(3):516-658. doi: 10.36660/abc.20201238.
Williams B, Mancia G, Spiering W, Agabiti Rosei E, Azizi M, Burnier M, et al. 2018 ESC/ESH Guidelines for the Management of Arterial Hypertension. Eur Heart J. 2018;39(33):3021-104. doi: 10.1093/eurheartj/ehy339.
Brasil. Ministério da Saúde. Fundação Nacional de Saúde. Inquérito Domiciliar sobre Comportamentos de Risco e Morbidade Referida de Doenças e Agravos Não Transmissíveis. Brasília: Ministério da Saúde; 2011.
Quetelet A. Antropométrie ou Mesure des Différentes Facultés de L’homme. Bruxelles: C. Muquardt; 1870.
World Health Organization. Physical status: The Use of and Interpretation of Anthropometry, Report of a WHO Expert Committee. Geneva: World Health Organization; 1995.
Nambi V, Chambless L, Folsom AR, He M, Hu Y, Mosley T, et al. Carotid Intima-Media Thickness and Presence or Absence of Plaque Improves Prediction of Coronary Heart Disease Risk: The ARIC (Atherosclerosis Risk In Communities) Study. J Am Coll Cardiol. 2010;55(15):1600-7. doi: 10.1016/j.jacc.2009.11.075.
Polak JF, Szklo M, O'Leary DH. Carotid Intima-Media Thickness Score, Positive Coronary Artery Calcium Score, and Incident Coronary Heart Disease: The Multi-Ethnic Study of Atherosclerosis. J Am Heart Assoc. 2017;6(1):e004612. doi: 10.1161/JAHA.116.004612.
Marwick TH, Gillebert TC, Aurigemma G, Chirinos J, Derumeaux G, Galderisi M, et al. Recommendations on the Use of Echocardiography in Adult Hypertension: A Report from the European Association of Cardiovascular Imaging (EACVI) and the American Society of Echocardiography (ASE)†. Eur Heart J Cardiovasc Imaging. 2015;16(6):577-605. doi: 10.1093/ehjci/jev076.
Neves MF, Cunha AR, Cunha MR, Gismondi RA, Oigman W. The Role of Renin-Angiotensin-Aldosterone System and Its New Components in Arterial Stiffness and Vascular Aging. High Blood Press Cardiovasc Prev. 2018;25(2):137-45. doi: 10.1007/s40292-018-0252-5.
Intengan HD, Thibault G, Li JS, Schiffrin EL. Resistance Artery Mechanics, Structure, and Extracellular Components in Spontaneously Hypertensive Rats: Effects of Angiotensin Receptor Antagonism and Converting Enzyme Inhibition. Circulation. 1999;100(22):2267-75. doi: 10.1161/01.cir.100.22.2267.
Wojakowski W, Gminski J, Siemianowicz K, Goss M, Machalski M. The Influence of Angiotensin-Converting Enzyme Inhibitors on the Aorta Elastin Metabolism in Diet-Induced Hypercholesterolaemia in Rabbits. J Renin Angiotensin Aldosterone Syst. 2001;2(1):37-42. doi: 10.3317/jraas.2001.006.
Mitchell GF. Does Measurement of Central Blood Pressure have Treatment Consequences in the Clinical Praxis? Curr Hypertens Rep. 2015;17(8):66. doi: 10.1007/s11906-015-0573-x.
Pradhan A, Vishwakarma P, Bhandari M, Sethi R, Narain VS. Differential Effects of Combination of Renin-Angiotensin-Aldosterone System Inhibitors on Central Aortic Blood Pressure: A Cross-Sectional Observational Study in Hypertensive Outpatients. Cardiovasc Ther. 2020;2020:4349612. doi: 10.1155/2020/4349612..
Mahmud A, Feely J. Reduction in Arterial Stiffness with Angiotensin II Antagonist is Comparable with and Additive to ACE Inhibition. Am J Hypertens. 2002;15(4 Pt 1):321-5. doi: 10.1016/s0895-7061(01)02313-5.
London GM, Pannier B, Vicaut E, Guérin AP, Marchais SJ, Safar ME, et al. Antihypertensive Effects and Arterial Haemodynamic Alterations During Angiotensin Converting Enzyme Inhibition. J Hypertens. 1996;14(9):1139-46. doi: 10.1097/00004872-199609000-00015.
Takami T, Shigemasa M. Efficacy of Various Antihypertensive Agents as Evaluated by Indices of Vascular Stiffness in Elderly Hypertensive Patients. Hypertens Res. 2003;26(8):609-14. doi: 10.1291/hypres.26.609.
Shahin Y, Khan JA, Chetter I. Angiotensin Converting Enzyme Inhibitors Effect on Arterial Stiffness and Wave Reflections: A Meta-Analysis and Meta-Regression of Randomised Controlled Trials. Atherosclerosis. 2012;221(1):18-33. doi: 10.1016/j.atherosclerosis.2011.12.005.
Li X, Chang P, Wang Q, Hu H, Bai F, Li N, et al. Effects of Angiotensin-Converting Enzyme Inhibitors on Arterial Stiffness: A Systematic Review and Meta-Analysis of Randomized Controlled Trials. Cardiovasc Ther. 2020;2020:7056184. doi: 10.1155/2020/7056184.
Ruilope L, Schaefer A. The Fixed-Dose Combination of Olmesartan/Amlodipine Was Superior in Central Aortic Blood Pressure Reduction Compared with Perindopril/Amlodipine: A Randomized, Double-Blind Trial in Patients with Hypertension. Adv Ther. 2013;30(12):1086-99. doi: 10.1007/s12325-013-0076-6.
Carpinella G, Pagano G, Buono F, Petitto M, Guarino G, Orefice G, et al. Prognostic Value of Combined Target-Organ Damage in Patients with Essential Hypertension. Am J Hypertens. 2015;28(1):127-34. doi: 10.1093/ajh/hpu098.
De Luca MR, Sorriento D, Massa D, Valente V, De Luise F, Barbato E, et al. Effects of Inhibition of the Renin-Angiotensin System on Hypertension-Induced Target Organ Damage: Clinical and Experimental Evidence. Monaldi Arch Chest Dis. 2021;91(1). doi: 10.4081/monaldi.2021.1570.
Yusuf S, Teo KK, Pogue J, Dyal L, Copland I, Schumacher H, et al. Telmisartan, Ramipril, or Both in Patients at High Risk for Vascular Events. N Engl J Med. 2008;358(15):1547-59. doi: 10.1056/NEJMoa0801317.
Xie X, Liu Y, Perkovic V, Li X, Ninomiya T, Hou W, et al. Renin-Angiotensin System Inhibitors and Kidney and Cardiovascular Outcomes in Patients With CKD: A Bayesian Network Meta-analysis of Randomized Clinical Trials. Am J Kidney Dis. 2016;67(5):728-41. doi: 10.1053/j.ajkd.2015.10.011.
Dudenbostel T, Glasser SP. Effects of Antihypertensive Drugs on Arterial Stiffness. Cardiol Rev. 2012;20(5):259-63. doi: 10.1097/CRD.0b013e31825d0a44.
Benetos A, Cambien F, Gautier S, Ricard S, Safar M, Laurent S, et al. Influence of the Angiotensin II Type 1 Receptor Gene Polymorphism on the Effects of Perindopril and Nitrendipine on Arterial Stiffness in Hypertensive Individuals. Hypertension. 1996;28(6):1081-4. doi: 10.1161/01.hyp.28.6.1081.
Protogerou AD, Stergiou GS, Vlachopoulos C, Blacher J, Achimastos A. The Effect of Antihypertensive Drugs on Central Blood Pressure Beyond Peripheral Blood Pressure. Part II: Evidence for Specific Class-Effects of Antihypertensive Drugs on Pressure Amplification. Curr Pharm Des. 2009;15(3):272-89. doi: 10.2174/138161209787354186.
Manisty CH, Hughes AD. Meta-Analysis of the Comparative Effects of Different Classes of Antihypertensive Agents on Brachial and Central Systolic Blood Pressure, and Augmentation Index. Br J Clin Pharmacol. 2013;75(1):79-92. doi: 10.1111/j.1365-2125.2012.04342.x.
Notes
This study is not associated with any thesis or dissertation work.
This study was approved by the Ethics Committee of the Universidade Federal de Jataí under the protocol numbe 3.446.223. All the procedures in this study were in accordance with the 1975 Helsinki Declaration, updated in 2013. Informed consent was obtained from all participants included in the study.
Author notes
Mailing Address: Gilberto Campos Guimarães Filho Universidade Federal de Goiás, Faculdade de Medicina. Primeira avenida, sem número, setor leste universitário. Postal code: 74605-020. Goiânia, GO – Brazil E-mail: camposguimaraes@yahoo.com.br
Conflict of interest declaration
No potential conflict of interest relevant to this article was reported.