Original Article
Received: 04 February 2023
Revised document received: 15 October 2023
Accepted: 17 January 2024
DOI: https://doi.org/10.36660/ijcs.20230017
Abstract
Background: Vasovagal syncope (VVS) results in impaired quality of life (QoL). The response during the head-up tilt test (HUTT) influences QoL and recurrence.
Objectives: To analyze the influence of the type of HUTT response on QoL in patients with VVS and recurrence of events after the exam.
Methods: The SF-36 and Impact of Syncope on Quality of Life (ISQL) questionnaires were applied over 12 months after the HUTT. Unpaired Student's t test was used for differences between 2 groups of quantitative data with normal distribution. The recurrence of syncope episodes was analyzed using a Kaplan-Meier curve, and the log-rank test was applied to compare the curves regarding responses to the HUTT. Statistical significance was set at p value < 0.05.
Results: We analyzed 82 patients (43.7 years old), 69% with previous recurrence (2.8 prior episodes). Cardioinhibitory response occurred in 46 patients; vasodepressor response occurred in 36, and 85.4% of patients received non-pharmacological treatment after the HUTT. During clinical follow-up, 43.9% had recurrence, mainly young patients (35.7 years; p = 0.002). On the SF-36, the best score was in functional capacity in men (p = 0.04) and patients without prior trauma (p = 0.001). There were lower limitations due to pain in patients without prior trauma (p = 0.003) and patients without prodromes (p = 0.009). On the ISQL, there were better mean scores in men (p = 0.002) and in patients without prior trauma (p = 0.02). Patients with cardioinhibitory response had better SF-36 and ISQL scores (p < 0.001). There was greater VVS recurrence in the cardioinhibitory response group (log-rank p = 0.011; hazard ratio: 8.48; 95% confidence interval: 7.59 to 9.3) from the second to the fourth month, with stabilization in the eighth month after the HUTT, when compared to patients with vasodepressor response.
Conclusion: The majority of patients with VVS reproduced during the HUTT under non-pharmacological treatment did not report worsening of QoL during clinical follow-up. Worse QoL was observed in non-young patients and in patients with vasodepressor response, and it was not influenced by recurrence after the HUTT.
Keywords: Syncope, Quality of Life, Physical Examination.
Introduction
Vasovagal syncope (VVS) is the most common type of transient loss of consciousness. Approximately 35% of people between 35 and 60 years of age experience at least one event during their lifetime.1 It is responsible for 1% to 3% of emergency visits, and recurrence occurs in 25% to 35% within 1 year.2 It is associated with a 1.4-fold increase in the risk of occupational accidents and a 2-fold increase in job abandonment in relation to the general population.3 Despite favorable prognosis, there are reports of worsening quality of life (QoL) in patients with 6 or more syncope events throughout life.4,5 Readmission occurs in 20% of patients over 50 years of age.6 These patients’ QoL is compromised due to recurrence and risk of physical trauma, resulting in limitations to physical activities, social life, and professional life, in addition to psychological effects.
QoL questionnaires address physical, psychological, emotional, social, and other domains, depending on the disease analyzed, and they are generally self-administered. The main specific questionnaires about QoL in syncope described in the literature are the ISQL (Impact of Syncope on QoL)7,8 and the SFSQ (Syncope Functional Status Health Questionnaire).9 The most cited for generic application are the SF-36 (Medical Outcomes Study 36-Item Short Form Health Survey),10-13 the EQ-5D (Euro QoL),14,15 and the WHOQOL-BREF (World Health Organization Brief QoL Questionnaire).16,17
The objective of this study was to analyze the characteristics of patients with VVS and its impact on QoL domains due to the recurrence of events during up to 12 months of follow-up after the head-up tilt test (HUTT), using a generic (SF-36) and a specific questionnaire (ISQL).
Methods
This prospective and longitudinal study received approval from the institutional human research ethics committee. The sample consisted of 82 patients referred for HUTT during the period from February to December 2018, with a history of VVS and positive HUTT. All patients signed a free and informed consent form. Patients with a positive non-vasovagal response to the HUTT, patients with cardiac implantable electrical devices, and patients with chronic comorbidities that could interfere with the assessment of QoL were excluded. The HUTT was performed in the morning, in accordance with the international protocol,18 in an air-conditioned room, using an appropriate table with manual inclination from −20º to +70º and simultaneous monitoring of blood pressure and heart rate. Sublingual isosorbide dinitrate was used for the pharmacological phase. The Calgary score19 was calculated without knowing the response to the HUTT, to refine the selection of patients with the neurally mediated reflex form.
Non-pharmacological and/or pharmacological treatments were prescribed by the requesting physicians, with no interference from the researchers. Following a mean interval of 8.4 months after inclusion in the study, patients responded to the SF-36 and ISQL questionnaires via email.
To calculate the final score of the SF-36 questionnaire,13 the total sum of the questions was initially obtained, and the values were distributed to each of the following 8 domains: functional capacity, vitality, pain, social aspects, general health status, emotional aspects, mental health, and physical aspects. To calculate the final score, these numbers referring to the 8 domains were transformed using the formula: (score range), the variation and the lower limit being fixed values. The scores for each question were transformed into a scale from 0 to 100, corresponding to the worst and best QoL, respectively, in relation to the given domain.
In the ISQL,7,8 which is specific to syncope, 12 questions address various situations affected by syncope in a simple domain based on the patient's perception with respect to the last 4 weeks before the interview. To analyze the intensity of the domains, on both questionnaires, a Likert scale was used with answers in the form of 6 (1 = always to 6 = never) or 5 points (1 = agree to 5 = disagree).
Statistical analysis
Categorical variables were expressed as numbers and percentages. Quantitative variables were expressed as means and standard deviations or medians and interquartile ranges, depending on the normality of the data. The assumption of normality was verified using the Kolmogorov-Smirnov test. Proportions were compared using the chi-square test or Fisher's exact test. For all quantitative data with normal distribution, differences between the 2 groups were analyzed using unpaired Student's t test. Pearson's correlation coefficient was used to identify the correlation between the QoL instruments and other variables. The recurrence of syncope episodes was analyzed using a Kaplan-Meier curve, and the log-rank test was applied to compare the curves regarding responses to the HUTT. Statistical significance was set at p-value < 0.05. Analyses were performed using SPSS (Statistical Package for Social Science), version 16.0.
Results
General characteristics of the sample and recurrence of syncope episodes
The mean age was 43.7 years, with no significant difference in age between sexes (40.7 years in men and 46.0 years in women, p = 0.25), time of clinical evolution, and presence of prodromes or trauma secondary to syncope. The baseline clinical data are displayed in Table 1.

The characteristics related to the type of response to the HUTT are shown in Table 3. In the group with cardioinhibitory response (n = 46), there were 4 type IIa and 42 type IIb responses. The mean time to positive response during the HUTT was 22.4 ± 8.4 minutes, with no difference between sexes. The mean duration of asystole in cardioinhibitory response type IIb was 12.8 seconds, and it ranged from 3.2 to 23.3 seconds. After performing the HUTT, 70 patients (85.4%) received educational guidance (water and salt intake, recognition of prodromes and triggers). Seven patients also received pharmacological treatment (fludrocortisone), and 4 underwent permanent pacemaker implantation due to cardioinhibitory response type IIb. There was no influence of sex on recommendations and/or treatment after the HUTT.
Patients with a history of recurrent syncope before undergoing the HUTT (n = 69) had a mean age of 40.9 ±19.6 years, and 56.5% were female. The mean number of previous recurrent events was 3.17 ± 1.5. The median (interquartile range) of the total Calgary score was 1.0 (−2.0; 1.75). During the clinical follow-up of 8.4 ± 4.1 months, VVS recurred in 36 patients (43.9%), and the majority (32 patients) presented up to 3 episodes. The mean age was 35.7 years among those with recurrence and 49.9 years among those without recurrence (p = 0.002).
QoL instruments
Table 2 displays the score on the 8 domains of the SF-36 of all. Regarding the ISQL, a final sum of 48.0 ± 10.9 points was observed, using the scale from 0 to 10, ranging from 21 to 63 (Table 2A). Data referring to the mean score on the domains of the SF-36 and total ISQL are displayed in Table 2B.


Regarding the SF-36 domains, the characteristics related to both HUTT response groups, cardioinhibitory or vasodepressor, are shown in Table 3. In question 2 of the SF-36, used to compare general health in relation to the previous year, we obtained responses of "much better" in 6.1%, "the same" in 47.6%, and "much worse" in 1.2%. There were no differences regarding the SF-36 and total ISQL questionnaires between patients with and without syncope recurrence during clinical follow-up.

Comparison of variables regarding response to HUTT and QoL
Data regarding HUTT responses are shown in Table 3. Patients with cardioinhibitory response had better SF-36 scores in most psychometric domains, with the exception of the mental component, compared to those with vasodepressor response. The domain that represented the best score was functional capacity, followed by emotional and physical aspects, all with values above 90. The domain with the lowest mean score, in both groups, was vitality. Better performance was observed in mental health, which includes the domains of vitality, social aspects, emotional aspects, and mental aspects.
In the cardioinhibitory response group, in relation to question 2 on the SF-36, the mean score was 2.4 ± 0.7. The highest percentage was for the response "the same" (43.5%), comparing current health with that of the preceding year; the lowest score ("much better") of 1 point accounted for 10.2%, and the highest score ("much worse") accounted for 0%. In those with a vasodepressor response, the mean score was 3.17 ± 0.7. The highest percentage (52.8%) was for the response "the same," while "much better" was 0%, and "much worse" was 2.8%. In the ISQL questionnaire, there was a higher mean score in patients with a cardioinhibitory response. Data about the questionnaires for each HUTT response are displayed in Table 4.

Correlation between QoL and variables of clinical history and HUTT response
Due to the associations described in items 2 and 3, Pearson's coefficient was applied to evaluate correlations between the QoL instruments and the variables. There was a moderate negative correlation between the domains of functional capacity (−0.65) and pain (−0.64) on the SF-36 with the total ISQL score (−0.55) and age (p value < 0.001 for all). The correlation was moderate and positive between these questionnaires and the responses to the HUTT (0.54; p < 0.001) and weak in relation to sex, trauma, prodromes, and Calgary score.
Kaplan-Meier curves regarding syncope recurrence
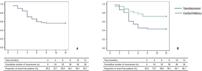
During follow-up, 36 patients (43.9%) had syncope recurrence. The highest recurrence rate occurred up to the fourth month, and stabilization occurred from the eighth month after the HUTT (Figure 1A).

Also using the Kaplan-Meier curve and considering syncope recurrence after HUTT as a prognostic basis, curves were constructed in relation to HUTT responses. The log-rank test was applied to compare the curves, with p = 0.011. The odds ratio was 8.48 (95% confidence interval: 7.59 to 9.38). There was greater difference in recurrences in the group with cardioinhibitory response than in the group with vasodepressor response from the second month, with equal stabilization from the eighth month (Figure 1B).
Discussion
This study demonstrated a satisfactory score on the SF-36 and ISQL questionnaires in patients with a history of VVS during clinical follow-up after diagnostic HUTT, with no reports of worsening QoL. The proportion of recurrence-free patients was lower during the first months of clinical follow-up. Stabilization of recurrences occurred around the eighth month, with no influence of sex; however, there was a lower mean age among patients with recurrence. Better scores, especially in the physical aspect, were observed in patients with cardioinhibitory response compared to those with vasodepressor response.
QoL reflects the impact of syncope on the physical, emotional, and social domains, with a variable extent depending on the resources used by the patient to adapt to the adverse condition. Triggers and prodromes encourage patients to adapt to the threat of a new event, minimizing the impact of recurrence.20 This adaptation may not generate greater repercussions on one or more domains of QoL in the clinical follow-up of patients.21 In the theory of homeostasis, Cummins22 explains that the impact of a certain disease or health condition on global wellbeing indices is limited due to buffers that are internal and external to the individual. These attitudes cushion the damage and keep the individual in a state of wellbeing even during adversity.
In the present study, we used 2 QoL analysis scales, the SF-36 and ISQL; the latter is specific for syncope in patients with a history of VVS after response during HUTT. Most studies have associated generic and specific questionnaires, and, among the specific ones, the SFSQ is the most frequently used, despite its limitations.23-27 The ISQL has been used in few studies on syncope since its validation.28 Using both questionnaires, van Dijk et al.29 obtained better scores on the SF-36 in all domains, except for the general health domain, whereas, in the SFSQ, this improvement occurred in all questions about aspects of life, including those related to fear and concern due to syncope. There was a less pronounced improvement in the QoL of older patients, patients with recurrent episodes, patients with a greater number of comorbidities, and patients with non-reflex etiology.
There was also an association between psychic disorders and VVS,30-32 demonstrated by means of psychic screening before the HUTT. Greater anxiety, mood disturbance, and lower SF-36 scores were observed in the group with syncope compared to healthy individuals.33 Using different methods and populations, studies on QoL have shown different results,32,34-38 with a perception of greater severity of syncope and consequent worse QoL in patients with unexplained syncope, compared to VVS. Thus, due to the influence of the cause of syncope, in the present study, patient selection was refined by means of the Calgary score, providing a homogeneous sample of patients with VVS.
Many factors are predictors of syncope recurrence and influence on subsequent QoL. Patients with more than 6 events throughout their lives have a recurrence rate of 72% within 1 year and 60% within 2 years.35 Romme et al.,36 analyzing patients with at least 3 previous events of VVS, based on clinical history and positive HUTT, demonstrated a lower median number of recurrences in the first year of non-pharmacological treatment compared to the preceding 12 months. Specific QoL, measured by the SFSQ questionnaire, improved over the follow-up period and was higher in patients with lower recurrence. Furthermore, a previous meta-analysis on syncope recurrence demonstrated that the chance of patients being asymptomatic linearly progressively decreased over time after the first episode.39 This is in agreement with the present study.
The greater recurrence during the first months after the HUTT may be due to several reasons, despite the initial guidance of non-pharmacological therapy. The short follow-up time may have resulted in a greater possibility of recording recurrences, as demonstrated by Báron-Esquivas,4 with a statistically significant difference when comparing events during the period of 1.6 versus 4 months (p = 0.002). In their study, the mean time to first recurrence was 3.3 months, whereas, in our study, the majority of recurrent events occurred within the second month. The time to stabilization of recurrence around the eighth month in the present study may also reflect the time required for the patient to adhere to the identification of prodromes and triggers, in addition to the inclusion of new lifestyle habits. Furthermore, the recurrence of syncope can be influenced by elevated baseline emotional stress,36 regardless of the previous number of events during life, being a predictor of poor response to VVS treatment due to non-adherence to treatment.23,35 This could explain the greater recurrence within the first 2 months of follow-up in the present study. Thus, the initial identification and treatment of these associated emotional disorders would assist in the therapeutic strategy for syncope.40,41 Also in agreement with the stabilization of recurrence around the eighth month in the present study, Ng et al.42 demonstrated that levels of anxiety and depression tend to reduce as QoL increases slightly over the years after the first event.
The occurrence of physical trauma associated with syncope is another factor that affects QoL. Patients with less non-severe physical trauma resulting from syncope may not develop psychological alterations, thus minimizing the impact on QoL. A previous meta-analysis43 demonstrated a greater negative impact on patients’ life and avoidance behavior in the case of prior injuries. This type of behavior may explain the reduced QoL, especially in the physical domain, and the associated anxiety would contribute to apprehension regarding new traumas. In the present study, we demonstrated that the best scores, on both the ISQL and SF-36 and on their domains for pain and social aspects, occurred in patients without trauma in previous syncope, despite the weak correlation between the QoL questionnaires and the variable of trauma.
Regarding the type of response, there are no studies in the literature showing a difference between the cardioinhibitory and vasodepressor types in terms of recurrence and QoL data after HUTT. However, a greater occurrence of vasodepressor response has been demonstrated in patients with more advanced age.44 This is in agreement with our study, which showed that the cardioinhibitory response was more frequent in younger patients.
The literature has previously mentioned differences related to sex and age in prevalence and triggers.45-47 Data from the multicenter Prevention of Syncope Trials (POST) I and II 45 demonstrated that women presented their first syncope event at a younger age, and heat stress was a more common trigger for women than men, in addition to more frequent prodromal symptoms of heat and post-event fatigue. Recurrence of syncope was also more common in female patients. Nonetheless, there are differences in QoL between the sexes. St-Jean et al.32 showed that men with unexplained syncope had worse QoL than women and patients of both sexes with VVS. Those with the unexplained form also had a significant difference in QoL in the domains of health, leisure, social relationships, and work. Another study showed that the female sex was one of the factors associated with worse QoL.29 Accordingly, the results of the present study are in agreement with part of the literature, given that men presented better scores in the functional capacity of the SF-36 and the sum of the ISQL, and all patients, regardless of sex, presented VVS, with no patients with unexplained syncope.
The elderly are at greater risk of syncope as a result of cardiovascular changes secondary to aging, comorbidities, and polypharmacy.48 A prospective study of patients over 50 years of age with syncope demonstrated worse QoL in those with 2 or more recent events. There is disagreement regarding the type of domain most affected, whether psychosocial36 or physical.7 There are reports of worse QOL in elderly patients, as well as those with a higher number of recurrences, even when comorbidities are excluded from the analysis.45 In the study under discussion, young patients had better QoL, with a moderate correlation.
Limitations
The fact that QoL questionnaires were not applied before performing the HUTT for comparison with clinical follow-up data after diagnosis is a limitation. Additionally, questionnaires were not applied to screen for psychological disorders, such as anxiety and depression, at the time of patient inclusion.
Conclusion
The majority of patients did not report worse QoL after syncope response during the HUTT. There was worse QoL in non-young patients and in patients with vasodepressor response, and it was not influenced by syncope recurrence before and after the diagnostic examination. The proportion of recurrence-free patients was lower during the first months of clinical follow-up, with stabilization around the eighth month. There was no influence of sex; however, there was a lower mean age among patients with recurrence.
References
1 Ganzeboom KS, Mairuhu G, Reitsma JB, Linzer M, Wieling W, van Dijk N. Lifetime Cumulative Incidence of Syncope in the General Population: a Study of 549 Dutch Subjects Aged 35-60 Years. J Cardiovasc Electrophysiol. 2006;17(11):1172-6. doi: 10.1111/j.1540-8167.2006.00595.x.
2 Sheldon RS, Grubb BP 2nd, Olshansky B, Shen WK, Calkins H, Brignole M, et al. 2015 Heart Rhythm Society Expert Consensus Statement on the Diagnosis and Treatment of Postural Tachycardia Syndrome, Inappropriate Sinus Tachycardia, and Vasovagal Syncope. Heart Rhythm. 2015;12(6):e41-63. doi: 10.1016/j.hrthm.2015.03.029.
3 Numé AK, Kragholm K, Carlson N, Kristensen SL, Bøggild H, Hlatky MA, et al. Syncope and Its Impact on Occupational Accidents and Employment: a Danish Nationwide Retrospective Cohort Study. Circ Cardiovasc Qual Outcomes. 2017;10(4):e003202. doi: 10.1161/CIRCOUTCOMES.116.003202.
4 Barón-Esquivias G, Gómez S, Aguilera A, Campos A, Romero N, Cayuela A, et al. Short-Term Evolution of Vasovagal Syncope: Influence on the Quality of Life. Int J Cardiol. 2005;102(2):315-9. doi: 10.1016/j.ijcard.2004.10.019.
5 Rose MS, Koshman ML, Spreng S, Sheldon R. The Relationship Between Health-Related Quality of Life and Frequency of Spells in Patients with Syncope. J Clin Epidemiol. 2000;53(12):1209-16. doi: 10.1016/s0895-4356(00)00257-2.
6 Runser LA, Gauer RL, Houser A. Syncope: Evaluation and Differential Diagnosis. Am Fam Physician. 2017;95(5):303-12.
7 Rose MS, Koshman ML, Ritchie D, Sheldon R. The Development and Preliminary Validation of a Scale Measuring the Impact of Syncope on Quality of Life. Europace. 2009;11(10):1369-74. doi: 10.1093/europace/eup106.
8 Nave-Leal E, Oliveira M, Pais-Ribeiro J, Santos S, Oliveira E, Alves T, et al. Impact of Syncope on Quality of Life: Validation of a Measure in Patients Undergoing Tilt Testing. Rev Port Cardiol. 2015;34(3):173-7. doi: 10.1016/j.repc.2014.08.010.
9 Linzer M, Gold DT, Pontinen M, Divine GW, Felder A, Brooks WB. Recurrent Syncope as a Chronic Disease: Preliminary Validation of a Disease-Specific Measure of Functional Impairment. J Gen Intern Med. 1994;9(4):181-6. doi: 10.1007/BF02600121.
10 Fayers PM, Machin D. Quality of Life: The Assessment, Analysis and Reporting of Patient Reported Outcomes.3rd ed. Hoboken: Wileey Blackwell; 2016.
11 Ware JE Jr, Sherbourne CD. The MOS 36-Item Short-Form Health Survey (SF-36). I. Conceptual Framework and Item Selection. Med Care. 1992;30(6):473-83.
12 Laguardia J, Campos MR, Travassos C, Najar AL, Anjos LA, Vasconcellos MM. Brazilian Normative Data for the Short Form 36 Questionnaire, Version 2. Rev Bras Epidemiol. 2013;16(4):889-97. doi: 10.1590/s1415-790×2013000400009.
13 Ciconelli RM, Ferraz MB, Santos W, Meinão I, Quaresma MR. Tradução para a Língua Portuguesa e Validação do Questionário Genérico de Avaliação de Qualidade de Vida SF-36 (Brasil SF-36). Rev Bras Reumatol. 1999;39(3):143-50.
14 EuroQol Group. EuroQol--a New Facility for the Measurement of Health-Related Quality of Life. Health Policy. 1990;16(3):199-208. doi: 10.1016/0168-8510(90)90421-9.
15 Lin FJ, Longworth L, Pickard AS. Evaluation of Content on EQ-5D as Compared to Disease-Specific Utility Measures. Qual Life Res. 2013;22(4):853-74. doi: 10.1007/s11136-012-0207-6.
16 Development of the World Health Organization WHOQOL-BREF Quality of Life Assessment. The WHOQOL Group. Psychol Med. 1998;28(3):551-8. doi: 10.1017/s0033291798006667.
17 Fleck MP, Louzada S, Xavier M, Chachamovich E, Vieira G, Santos L, et al. Application of the Portuguese Version of the Instrument for the Assessment of Quality of Life of the World Health Organization (WHOQOL-100). Rev Saude Publica. 1999;33(2):198-205. doi: 10.1590/s0034-89101999000200012.
18 Bartoletti A, Alboni P, Ammirati F, Brignole M, Del Rosso A, Foglia Manzillo G, et al. 'The Italian Protocol': A Simplified Head-Up Tilt Testing Potentiated with Oral Nitroglycerin to Assess Patients with Unexplained Syncope. Europace. 2000;2(4):339-42. doi: 10.1053/eupc.2000.0125.
19 Romme JJ, van Dijk N, Boer KR, Bossuyt PM, Wieling W, Reitsma JB. Diagnosing Vasovagal Syncope Based on Quantitative History-Taking: Validation of the Calgary Syncope Symptom Score. Eur Heart J. 2009;30(23):2888-96. doi: 10.1093/eurheartj/ehp314.
20 Hobro N, Weinman J, Hankins M. Using the Self-Regulatory Model to Cluster Chronic Pain Patients: the First Step Towards Identifying Relevant Treatments?. Pain. 2004;108(3):276-83. doi: 10.1016/j.pain.2003.12.027.
21 Sprangers MA, Schwartz CE. Integrating Response Shift into Health-Related Quality of Life Research: A Theoretical Model. Soc Sci Med. 1999;48(11):1507-15. doi: 10.1016/s0277-9536(99)00045-3.
22 Cummins RA. Moving from the Quality of Life Concept to a Theory. J Intellect Disabil Res. 2005;49(Pt 10):699-706. doi: 10.1111/j.1365-2788.2005.00738.x.
23 Gracie J, Newton JL, Norton M, Baker C, Freeston M. The Role of Psychological Factors in Response to Treatment in Neurocardiogenic (Vasovagal) Syncope. Europace. 2006;8(8):636-43. doi: 10.1093/europace/eul073.
24 van Dijk N, Sprangers MA, Boer KR, Colman N, Wieling W, Linzer M. Quality of Life Within One Year Following Presentation after Transient Loss of Consciousness. Am J Cardiol. 2007;100(4):672-6. doi: 10.1016/j.amjcard.2007.03.085.
25 Romme JJ, van Dijk N, Go-Schön IK, Reitsma JB, Wieling W. Effectiveness of Midodrine Treatment in Patients with Recurrent Vasovagal Syncope Not Responding to Non-Pharmacological Treatment (STAND-Trial). Europace. 2011;13(11):1639-47. doi: 10.1093/europace/eur200.
26 Puel V, Godard I, Papaioannou G, Gosse P, Pepin JL, Thoin F, et al. Management of Sleep Apnoea Syndrome (SAS) in Patients with Vasovagal Syncope (VVS): a Protocol for the VVS-SAS Cohort Study. BMJ Open. 2020;10(9):e038791. doi: 10.1136/bmjopen-2020-038791.
27 Raj SR, Faris PD, McRae M, Sheldon RS. Rationale for the Prevention of Syncope Trial IV: Assessment of Midodrine. Clin Auton Res. 2012;22(6):275-80. doi: 10.1007/s10286-012-0167-5.
28 Rose MS, Koshman ML, Ritchie D, Sheldon R. The Development and Preliminary Validation of a Scale Measuring the Impact of Syncope on Quality of Life. Europace. 2009;11(10):1369-74. doi: 10.1093/europace/eup106.
29 van Dijk N, Sprangers MA, Colman N, Boer KR, Wieling W, Linzer M. Clinical Factors Associated with Quality of Life in Patients with Transient Loss of Consciousness. J Cardiovasc Electrophysiol. 2006;17(9):998-1003. doi: 10.1111/j.1540-8167.2006.00533.x.
30 Atici A, Asoglu R, Demirkiran A, Serbest NG, Emektas B, Sarikaya R, et al. The Relationship between Clinical Characteristics and Psychological Status and Quality of Life in Patients with Vasovagal Syncope. North Clin Istanb. 2020;7(3):237-45. doi: 10.14744/nci.2020.93753.
31 Ng J, Sheldon RS, Ritchie D, Raj V, Raj SR. Reduced Quality of Life and Greater Psychological Distress in Vasovagal Syncope Patients Compared to Healthy Individuals. Pacing Clin Electrophysiol. 2019;42(2):180-8. doi: 10.1111/pace.13559.
32 St-Jean K, Kus T, Dupuis G, Levesque K, Thibault B, Guerra PG et al. Quality of Life in Patients with Recurrent Vasovagal or Unexplained Syncope: Influence of Sex, Syncope Type and Illness Representations. App Res Quality life. 2008;3(4):235-49. doi: 10.1007/s11482-009-9058-x.
33 Flint B, Baker C, Freeston M, Newton JL. Level of Psychosocial Impairment Predicts Early Response to Treatment in Vasovagal Syncope. Europace. 2009;11(2):231-6. doi: 10.1093/europace/eun332.
34 D'Antono B, Dupuis G, St-Jean K, Lévesque K, Nadeau R, Guerra P, et al. Prospective Evaluation of Psychological Distress and Psychiatric Morbidity in Recurrent Vasovagal and Unexplained Syncope. J Psychosom Res. 2009;67(3):213-22. doi: 10.1016/j.jpsychores.2009.03.012.
35 Sheldon R, Rose S, Flanagan P, Koshman ML, Killam S. Risk Factors for Syncope Recurrence after a Positive Tilt-Table Test in Patients with Syncope. Circulation. 1996;93(5):973-81. doi: 10.1161/01.cir.93.5.973.
36 Romme JJ, Reitsma JB, Go-Schön IK, Harms MP, Ruiter JH, Luitse JS, et al. Prospective Evaluation of Non-Pharmacological Treatment in Vasovagal Syncope. Europace. 2010;12(4):567-73. doi: 10.1093/europace/eup414.
37 St-Jean K, Kus T, Dupuis G, Levesque K, Thibault B, Guerra PG et al. Quality of life in patients with recurrent vasovagal or unexplained syncope: influence of sex, syncope type and illness representations. App Res Quality life. 2008;3: 235-249.
38 Flint B, Baker C, Freeston M, Newton JL. Level of psychosocial impairment predicts early response to treatment in vasovagal syncope. Europace. 2009 ;11(2):231-6.
39 Solbiati M, Costantino G, Casazza G, Dipaola F, Galli A, Furlan R, et al. Implantable Loop Recorder versus Conventional Diagnostic Workup for Unexplained Recurrent Syncope. Cochrane Database Syst Rev. 2016;4(4):CD011637. doi: 10.1002/14651858.CD011637.pub2.
40 Silva RB, Hachul D, Silva PGMB, Scanavacca MI. Effect of Psychotherapy on Quality of Life and Recurrence of Events in Patients with Recurrent Vasovagal Syncope: A Randomized Study. Circulation, 2020;142(Suppl 3):A12604-A12604. doi: 10.1161/circ.142.suppl_3.12604.
41 Aydin MA, Mortensen K, Salukhe TV, Wilke I, Ortak M, Drewitz I, et al. A Standardized Education Protocol Significantly Reduces Traumatic Injuries and Syncope Recurrence: an Observational Study in 316 Patients with Vasovagal Syncope. Europace. 2012;14(3):410-5. doi: 10.1093/europace/eur341.
42 Ng J, Sheldon RS, Maxey C, Ritchie D, Raj V, Exner DV, et al. Quality of Life Improves in Vasovagal Syncope Patients after Clinical Trial Enrollment Regardless of Fainting in Follow-Up. Auton Neurosci. 2019;219:42-8. doi: 10.1016/j.autneu.2019.04.001.
43 Rivasi G, Torabi P, Secco G, Ungar A, Sutton R, Brignole M, et al. Age-Related Tilt Test Responses in Patients with Suspected Reflex Syncope. Europace. 2021;23(7):1100-5. doi: 10.1093/europace/euab024.
44 Laitinen T, Niskanen L, Geelen G, Länsimies E, Hartikainen J. Age Dependency of Cardiovascular Autonomic Responses to Head-Up Tilt in Healthy Subjects. J Appl Physiol. 2004;96(6):2333-40. doi: 10.1152/japplphysiol.00444.2003.
45 Deveau AP, Sheldon R, Maxey C, Ritchie D, Doucette S, Parkash R. Sex Differences in Vasovagal Syncope: a Post Hoc Analysis of the Prevention of Syncope Trials (POST) I and II. Can J Cardiol. 2020;36(1):79-83. doi: 10.1016/j.cjca.2019.10.008.
46 Ghariq M, Thijs RD, Bek LM, van Zwet EW, Benditt DG, van Dijk JG. A Higher Proportion of Men than of Women Fainted in the Phase without Nitroglycerin in Tilt-Induced Vasovagal Syncope. Clin Auton Res. 2020;30(5):441-7. doi: 10.1007/s10286-020-00666-5.
47 Graham LA, Kenny RA. Clinical Characteristics of Patients with Vasovagal Reactions Presenting as Unexplained Syncope. Europace. 2001;3(2):141-6. doi: 10.1053/eupc.2001.0155.
48 Bloomfield D, Maurer M, Bigger JT Jr. Effects of Age on Outcome of Tilt-Table Testing. Am J Cardiol. 1999;83(7):1055-8. doi: 10.1016/s0002-9149(99)00014-4.
Notes
There were no external funding sources for this study.
This article is part of the thesis of Doctoral submitted by Cláudia Madeira Miranda, from Faculdade de Medicina da Universidade Federal de Minas Gerais (UFMG).
This study was approved by the Ethics Committee of the UFMG-COEP (5149_under the protocol number 65970117.0.0000.5149. All the procedures in this study were in accordance with the 1975 Helsinki Declaration, updated in 2013. Informed consent was obtained from all participants included in the study.
Author notes
Mailing Address: Claudia Madeira Miranda Hospital Madre Teresa. Av Raja Gabaglia, 1002. Postal code: 30441-070. Belo Horizonte, MG – Brazil E-mail: clmmiranda@hotmail.com
Conflict of interest declaration
No potential conflict of interest relevant to this article was reported.