Received: 23 September 2016
Accepted: 29 November 2017
Abstract: Background: Training programmes for clinical psychologists should include evidence-based teaching methods that enable trainees to learn therapeutic skills. Here we compared the perceived utility of role-playing vs. peer counselling. In peer counselling, one student recounts a personal experience to the other, who thus has the opportunity to act as the therapist in relation to a real situation. Given that sharing such personal experiences may provoke discomfort in students, we also examined this aspect. Method: Trainees (n=202) were given both role-play and peer counselling activities as a way of practising empathy and active listening. After completing the skills training programme they completed a questionnaire to assess the extent to which each method had helped them to develop their self-awareness and to acquire these therapeutic skills. Results: In general, peer counselling was considered more useful than role-playing for enhancing self-awareness and personal growth, as well as for learning these professional skills. Regarding the discomfort experienced by students, our data suggest that any initial reluctance to share personal experiences is outweighed by the personal and professional benefits obtained. Conclusions: Our results indicate that experiential learning involving emotionally charged situations is an effective way of teaching therapeutic skills to clinical and health psychology trainees.
Keywords: Therapeutic skills, empathy training, active listening, peer counselling, role-playing.
Resumen: Antecedentes: los programas de formación para psicólogos clínicos deben contar con métodos docentes, empíricamente validados, que permitan aprender y practicar las habilidades terapéuticas. En este trabajo se comparó la utilidad percibida del role playing vs peer counselling. En el peer counselling, el alumno que hace de cliente relata una experiencia personal, y el que hace de terapeuta tiene la oportunidad de trabajar con material real. Dado que el intercambio de experiencias personales puede provocar incomodidad, también analizamos este aspecto. Método: 202 alumnos ejecutaron diversos role playings y peer counsellings para entrenar empatía y escucha activa. Después de finalizar el programa de entrenamiento completaron un cuestionario para evaluar el grado de utilidad de cada ejercicio para desarrollar su autoconocimiento y para adquirir estas habilidades. Resultados: en general, el peer counselling se consideró más útil que role playing para mejorar el autoconocimiento, así como para el aprendizaje de estas habilidades. En cuanto a la incomodidad experimentada por los estudiantes, nuestros datos sugieren que cualquier reticencia inicial para compartir experiencias personales se ve compensado por los beneficios personales y profesionales obtenidos. Conclusiones: nuestros datos indican que el aprendizaje experiencial con carga emocional es una forma efectiva de enseñar habilidades terapéuticas en psicología sanitaria.
Palabras clave: habilidades terapéuticas, entrenamiento en empatía, escucha activa, peer counselling, role-playing.
The term therapeutic skills refers to the set of technical and personal resources that professionals must possess in order to facilitate and enable psychological change in a therapeutic context. These skills are key to the establishment of the therapy relationship and, according to the findings of the American Psychological Association’s Interdivisional (Divisions 12 and 29) Task Force on Evidence-Based Therapy Relationships (2016; see, also, Norcross, 2011), the quality of this relationship accounts for why clients improve (or fail to improve) as much as the particular treatment method does. Examples of therapeutic skills that are demonstrably effective in terms of treatment outcomes include empathy and the ability to establish a good alliance and to collect feedback from the client; skills that are probably effective include positive regard, goal consensus and a collaborative attitude (Baldwin & Imel, 2013; Del Re, Flückiger, Horvath, Symonds, & Wampold., 2012; Laska, Gurman, & Wampold, 2014; Norcross, 2011).
If the effectiveness of treatment depends on how and by whom it is applied, it is therefore essential, as the aforementioned Task Force recommends, that training programmes for clinical and health psychologists enable trainees to develop the therapeutic skills that have been shown to make a positive contribution to treatment outcomes. In this respect, an awareness of one’s own resources and limitations, both personal and professional, and the ability to regulate one’s emotions and to engage in empathy and active listening can be regarded as core skills for a range of healthcare professions (Bados & García-Grau, 2011; Boyer, 2010; Cunico, Sartori, Marognolli, & Meneghini, 2012; Gerdes & Segal, 2011; Neumann et al., 2011), and their development should be regarded as a priority in the corresponding training programmes. We therefore agree with Dunn, Saville, Baker, and Marek (2013) that evidence-based teaching methods have a key role to play in promoting and enhancing students’ learning of these skills.
One teaching method that has become increasingly popular in recent years involves experiential learning in the form of role- playing, improvised theatre, peer counselling or the self-practice of cognitive techniques (Abe, 2011). Of these, peer counselling is one of the most emotionally charged activities. Whereas in role-playing (i.e. the dramatization or simulation of a situation as if it were real) one of the two trainees will merely adopt the role of a client, peer counselling requires one trainee to recount an actual personal experience, thus giving the other trainee the opportunity to act as the therapist in relation to a real situation. This kind of teaching strategy is used fairly often in the training of clinical psychologists in non-academic settings, but it is much less common in the university context (Saldaña, Bados, García- Grau, Balaguer, & Fusté, 2009). Our literature search identified just three empirical studies whose aim was to assess the utility of experiential learning in relation to what, in the broad sense, might be considered therapeutic skills (Huerta-Wong & Schoech, 2010; Klitzman, 2006; Koponen, Pyörälä, & Isotalus, 2012); furthermore, none of them concerned the field of psychology and their focus was primarily on role-playing. Consequently, almost no data are available regarding the utility of different methods for teaching evidence-based therapeutic skills.
In light of the above the present report has the following objectives: 1) to compare the perceived utility of peer counselling vs. role-playing as methods for teaching trainee clinical psychologists the skills of empathy and active listening, taking into account the impact made in relation to both their self-awareness and their growth as professionals; and 2) to examine the degree of discomfort associated with sharing real personal experiences both before (pre) and after (post) the skills training programme.
Method
Participants
Participants were 202 students enrolled in acourse module entitled Therapeutic skills for clinical and health psychologists, which is taught during year one of both the Official Master’s in Clinical and Health Psychology and the Master’s in General Health Psychology offered by the University of Barcelona. They ranged in age from 21 to 42 years (M = 24.5, SD = 3.5) and 79% were women. The selection process for entry on to these Master’s degrees includes an entrance examination, evaluation of the student’s academic record and proof of complementary experience in the field of clinical and/or health psychology. Participants in the present study were recruited from academic entries: 2011-2012 to 2014-2015. Of the total number of participants, 17.8% had clinical experience prior to enrolment in the Master’s degree, 25.2% had attended a personal growth workshop and 33.2% said they had undergone personal therapy. There were no significant differences between the different academic years as regards the distribution of students across these aspects.
Instruments
An ad hoc questionnaire was designed in order to gather students’ appraisals of the teaching methods used in the skills training programme. The questionnaire items referred to various aspects of the programme, although for the present study we have only taken into account the information derived from the 14 items that specifically focus on the perceived utility of the training activities used to teach the skills of empathy and active listening, and the impact this had on students’ self-awareness and their professional growth as clinical psychologists. Each question had to be answered using a 10- point Likert-type scale, and the higher the score the more positive the rating. The questionnaire also included one question designed to assess the degree of discomfort provoked by having to share a personal experience in the peer counselling activity (“To what extent did you feel uncomfortable when sharing personal experiences and feelings in class?”). This question was likewise answered using a 10- point Likert-type scale. Statistical analyses were performed with the direct score for each of the items, and thus we do not consider total scores corresponding to factors or constructs. The questionnaire as a whole showed high reliability (Cronbach’s alpha = .95).
Procedure
The present study was conducted in the context of apredominantly practical module in which classes take the form of workshops. All the role-playing and peer counselling activities used are designed to teach the skills of empathy and active listening. For both kinds of activity the class is split into groups of three or four students who take up the following roles: therapist, client and observer. Students change roles across the different activities set, such that during the module they each play the role of therapist and client on several occasions for both teaching methods (role-playing and peer counselling). The programme as a whole thus provides each student with experience of all three of the abovementioned roles. The peer counselling and role-playing activities last for approximately one hour, after which students spend around fifty minutes discussing their conclusions with the class as a whole. Table 1 outlines the different activities used for the two teaching methods. At the beginning of the course module, information regarding previous clinical experience, personal therapy and personal growth courses was recorded. At this point we also asked them about the degree of discomfort they believed they would feel when explaining personal experiences to people they did not know well. At the end of the course module the ad hoc evaluation questionnaire was administered by a faculty member who had not been involved in teaching the skills programme. The faculty member began by explaining the study objectives and then sought informed consent for voluntary participation, it being made clear all responses would remain anonymous. Instructions for completing the questionnaire were then given.
Data analysis
We conducted three two-way analyses of variance with two repeated measures (2×2) in order (1) to compare the perceived general utility of both methods (peer counselling and role-playing) to improve self-awareness and professional competence; 2) to compare the perceived utility to increasing the self-awareness and ability as clinicians (professional growth) of two methods for teaching the skills of empathy and active listening. We used t test for dependent samples to assess differences in the degree of discomfort provoked by sharing personal experiences before and after the training programme. Whenever the analysis revealed a significant difference we also calculated the effect size using Hedges’ d (Hedges & Olkin, 1985), taking into account the within- subject correlation and its corresponding 95% confidence interval. In all cases we applied the modified Bonferroni correction advocated by Jaccard and Wan (1996, cited in Roemer & Orsillo, 2007), as this method maintains an overall Type I error rate of .05 without inflating the probability of Type II error. The effect of possible confounding variables (e.g. gender, age, previous clinical experience, follow-up of personal growth courses and personal therapy) on the dependent variables was controlled by performing one-way ANOVA and several t tests for independent samples.

Results
None of the confounding variables had any effect on the dependent variable (results not shown). Table 2 shows the mean and standard deviation for the four conditions for each dependent variable, while Table 3 shows the results of the 2×2 (self-awareness vs. professional competence, and peer counselling vs. role-playing) repeated measures ANOVA for each dependent variable. The eta partial squared statistic is also shown. For general perceived utility, both factors and their interaction showed significant effects. The t test comparisons of interaction showed that peer counselling was regarded by students as more useful than role- playing when it came to enhancing self-awareness and personal growth (t = 8.37, p < .001, g = 0.59) and for developing therapeutic skills (t = 3.75, p < .001), although the effect size was small (g = 0.24). With respect to learning the skill of active listening, the results show a preference for peer counselling in relation to both self-awareness and growth as a professional; although the effect sizes are again small the differences between the ratings given to the two methods (role-playing and peer counselling) are highly significant.

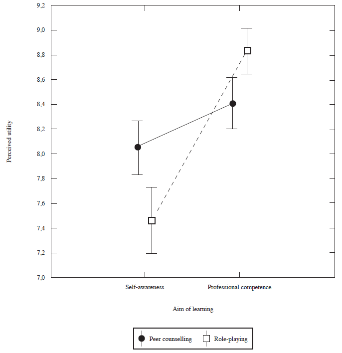
For the skill of empathy, both the main effect of learning and the interaction effect were significant, but the main effect of method was not. Thus, the utility of peer counselling and role- playing differs according to the aim of learning. Figure 1 shows the interaction effect. It can be seen that students perceived greater utility for peer counselling over role-playing in relation to self- awareness (t = 4.38, p < .001, g = 0.33). However, when asked to consider the impact of the empathy skills training on their growth as professionals, students felt that role-playing had been a more useful approach (t = -4.13, p < .001, g = -0.31), although the effect sizes in both cases were small (see Table 3).

With respect to the self-perceived degree of discomfort provoked by sharing personal experiences the results show a significant decrease following the skills training programme (M pre = 5.74, SD = 2.1; M post = 4.77, SD = 2.30; t(195) = 5.44; p < .001), with the effect size being high (g = 0.82; 95% CI [0.71, 0.94]). Prior to beginning the programme, 42% of students rated their expected discomfort at having to share personal experiences with classmates as 7 or higher on the 10-point scale. At the end of the programme, however, only 26% of students reported having felt uncomfortable during the peer counselling activity.
Discussion
This study examined the perceived utility of two kinds of experiential learning, peer counselling and role-playing, when used to teach therapeutic skills (active listening and empathy) to trainee clinical and health psychologists. The usefulness of the two methods was analysed in terms of the impact that trainees perceived on their self-awareness and growth as professionals. Overall, the results showed that peer counselling was regarded as more useful than role-playing for enhancing self-awareness and personal growth, as well as for acquiring the professional skills of active listening and empathy. However, although the observed differences were significant the corresponding effect sizes were small. Even so, in terms of teaching innovation, low magnitudes of effect size, can have a high significance (Borg, Gall & Gall, 1993).

The greater utility attributed to peer counselling may be related to the potential of this teaching method to arouse a stronger emotional response among both participants (i.e. regardless of whether they act as client or therapist), since the activity involves discussion of a real personal problem. This likely enhances students’ engagement with the task and encourages the trainee who is acting as therapist to be more meticulous when applying the therapeutic skills in question so as to achieve the desired effect. This conclusion is supported by the findings of Klitzman (2006), who argued that the main difference between intellectual and experiential learning is that the latter is essentially emotional in nature. This might also account for the greater utility that our students attributed to role-playing when asked to consider the impact of their empathy skills training on their growth as professionals. In the role-play task used, a female student adopted the role of a young woman who had been raped as a teenager, and she was instructed to communicate considerable emotional distress (this role was rehearsed a few days prior to the activity). The student who acts as therapist in this activity must therefore tune in to these strong emotions, showing acceptance and empathic understanding. Recognizing and engaging with another person’s emotions requires a process of personal reflection that can lead to greater self-awareness, which in turn can promote growth as a professional. This is an aspect highlighted by Hanna and Fins (2006), who argue that in order to develop a good relationship with patients, clinicians must connect with them as persons, and that this is best achieved by first acquiring an in-depth knowledge of oneself.
In terms of the degree of discomfort experienced by trainees when sharing their personal experiences, the results suggest that any initial reluctance to do so is outweighed by the personal and professional benefits obtained. It should be noted, however, that in order to minimize students’ discomfort when sharing such experiences in front of peers and teachers the different activities were introduced gradually, beginning with less emotionally charged situations. Furthermore, for both peer counselling and role-playing, students were split into small groups of three or four, and for the initial peer counselling tasks they themselves were allowed to choose and/or assign the different roles involved.
The results of this study provide empirical evidence regarding the perceived utility of experiential learning strategies, and particularly peer counselling, for teaching the skills of empathy and active listening. The acquisition of these therapeutic skills, as well as the ability to manage one’s own emotions, is now recognized to be essential for all clinical and health psychologists. Furthermore, the more skilled the therapist is in these respects, the more benefit the patient is likely to obtain from the therapeutic process (Anderson, Ogles, Patterson, Lambert, & Vermeersch, 2009). However, there is very little evidence-based research regarding which methods are most useful for teaching these skills to trainees.
One advantage of the experiential method used in the present study is that both teachers and students work within what can be regarded as a competency-based model, one in which the learner acquires the basic competencies required for effective professional practice (Hatcher, Fouad, Campbell, McCutcheon, Grus, & Leahy, 2013), this being the minimum required of any training programme for clinical and health psychologists (American Psychological Association, 2006). We also consider that the use of real rather than simulated experiences when teaching these skills enables students to become more aware of their thoughts and emotions, and to view their own resources and limitations with a more critical eye, thus making the learning process richer and more meaningful. In line with a point made by Dunn, Saville, Baker and Marek (2013), we therefore conclude that this experiential approach encourages the development of metacognitive skills. Furthermore, the sharing of personal experiences with classmates generates a climate of intimacy and complicity whose impact often extends beyond the classroom, thus contributing to the generalization of the learning acquired.
This study does have certain limitations that highlight the need for caution when interpreting the results. The present data are derived solely from students’ own ratings of the utility of the teaching methods used. In this respect it would be useful to complement the results with an independent assessment — by one or more professionals not involved in the study — of trainees’ skills levels prior to beginning the training programme and upon completing it. In this way, students’ own perceptions could be compared with more objective criteria, thus enabling a more precise measure of the extent to which peer counselling is useful for teaching these therapeutic skills. A further point to consider is that the content of the different activities of peer counselling and the scenes recreated in role-playing may have influenced the results obtained, regardless of the training method used. In future studies, therefore, it would be desirable to design activities for both methods that are similar in content.
A further limitation concerns the fact that we did not assess perceived utility immediately after applying each of the two teaching methods, a decision that was taken with the goal of preventing, as far as possible, the rating of one method from biasing students’ perceptions of the other approach. At all events, it should be taken into account that this was a field study carried out in a naturalistic classroom setting, with the inherent challenges that this poses for empirical research. Moreover, we would argue that this study makes a novel contribution in that it is the first to provide data on the utility of an experiential learning approach to teaching and acquiring the therapeutic skills of empathy and active listening, both of which are essential to good professional practice in clinical and health psychology.
Acknowledgements
This work was supported by a grant for research into university teaching awarded by the Institute of Educational Sciences at the University of Barcelona (ref. REDICE16-1684).
References
Abe, J.A. (2011). Positive emotions, emotional intelligence, and successful experiential learning. Personality and Individual Differences, 51, 817- 822.
American Psychological Association (2006). Guidelines and Principles for Accreditation of Programs in Professional Psychology (G&P). Retrieved from http://www.apa.org/ed/accreditation/about/policies/guiding-principles.pdf
American Psychological Association (2016). Task Force on Evidence- Based Therapy Relationships. Retrieved from (http://www.divisionofpsychotherapy.org/continuing-education/task-force-on-evidence-based-therapy-relationships/conclusions-of-the-task-force/
Anderson, T., Ogles, B.M., Patterson, C.L., Lambert, M.J., & Vermeersch, D. A. (2009). Therapist effects: Facilitative interpersonal skills as a predictor of therapist success. Journal of Clinical Psychology, 65, 755-768. doi:10.1002/jclp.20583.
Bados, A., & García-Grau, E. (2011). Habilidades terapéuticas (Monografía) [Therapeutic skills: Monograph]. Barcelona: University of Barcelona.
Baldwin, S.A., & Imel, Z.E. (2013). Therapist effects: Findings and methods. In M.J. Lambert (Ed.), Bergin and Garfield’s handbook of psychotherapy and behavior change (pp. 258-297). New York: Wiley & Sons.
Borg, W.R., Gall, J.O., & Gall, M.D. (1993). Applying educational research: A practical guide (3ª ed). New York: Longman.
Boyer, W. (2010). Empathy development in teacher candidates. Early Childhood Education Journal, 38, 313-321.
Calhoun, K.S., & Resick, P.A. (1993). Post-traumatic stress disorder. In D.H. Barlow (Ed.), Clinical handbook of psychological disorders (pp. 48-98). New York: Guilford.
Cunico, L., Sartori, R., Marognolli, O., & Meneghini, A.M. (2012). Developing empathy in nursing students: A cohort longitudinal study. Journal of Clinical Nursing, 21, 2016-2025.
Del Re, A.C., Flückiger, C., Horvath, A.O., Symonds, D., & Wampold, B.E. (2012). Therapist effects in the therapeutic alliance-outcome relationship: A restricted-maximum likelihood meta-analysis. Clinical Psychology Review, 32, 642-649.
Dunn, D.S., Saville, B.K, Baker, S.C., & Marek, P. (2013). Evidence-based teaching: Tools and techniques that promote learning in the psychology classroom. Australian Journal of Psychology, 65, 5-13.
Gerdes, K., & Segal, E. (2011). Importance of empathy for social work practice: Integrating new science. Social Work, 56, 141-148.
Hanna, M., & Fins, J.J. (2006). Viewpoint: Power and communication: Why simulation training ought to be complemented by experiential and humanist learning. Academic Medicine, 81(3), 265-270.
Hatcher, R.L., Fouad, N.A., Campbell, L.F., McCutcheon, S.R, Grus, C.L., & Leahy, K.L (2013). Competency-based education for professional psychology: Moving from concept to practice. Training and Education in Professional Psychology, 7(4), 225-234.
Hedges, L.V., & Olkin, I. (1985). Statistical methods for meta-analysis. Orlando, FL: Academic Press.
Huerta-Wong, J., & Schoech, R. (2010). Experiential learning and learning environments: The case of active listening skills. Journal of Social Work Education, 46(1), 85-102.
Klitzman, R. (2006). Improving education on doctor-patient relationship and communication: Lessons from doctors who become patients. Academic Medicine, 81(5), 447-453.
Koponen, J., Pyörälä, E., & Isotalus, P. (2012). Comparing three experiential learning methods and their effect on medical students’ attitudes to learning communication skills. Medical Teacher, 34, e198-e207.
Laska, K. M., Gurman, A. S., & Wampold, B. E. (2014). Expanding the lens of evidence-based practice in psychotherapy: A common factors perspective. Psychotherapy, 51, 467-481.
Neumann, M., Edelhäuser, F., Tauschel, D., Fischer, M., Wirtz, M., Woopen, Ch. et al., (2011). Empathy decline and its reasons: A systematic review of studies with medical students and residents. Academic Medicine, 86, 996-1009.
Norcross, J.C. (Ed.). (2011). Psychotherapy relationships that work: Evidence-based responsiveness (2nd ed.). New York: Oxford University Press.
Roemer, L., & Orsillo, S. (2007). An open trial of an acceptance-based behavior therapy for generalized anxiety disorder. Behavior Therapy, 38, 72-85.
Saldaña, C., Bados, A., García-Grau, E., Balaguer, G., & Fusté, A. (2009). La Unidad de Terapia de Conducta de la Universidad de Barcelona [The Behaviour Therapy Unit of the University of Barcelona]. Acción Psicológica, 6(1), 113-122.