Experiencias
Diseño e implementación de cápsulas educativas para facilitar el modelo “flipped classroom” en estudiantes vespertinos trabajadores de Chile
Design and Implementation of Educational Capsules to Facilitate the “Flipped Classroom” Model in Chilean Working Evening Students
Diseño e implementación de cápsulas educativas para facilitar el modelo “flipped classroom” en estudiantes vespertinos trabajadores de Chile
Revista Andina de Educación, vol. 7, núm. 2, 000725, 2024
Universidad Andina Simón Bolívar
Recepción: 26 Enero 2024
Aprobación: 09 Abril 2024
Publicación: 04 Junio 2024
Resumen: En esta experiencia, se abordan el diseño y la implementación de cápsulas educativas destinadas a respaldar la metodología del flipped classroom en el contexto de estudiantes vespertinos trabajadores de una universidad privada en Chile. El interés surge de las altas tasas de reprobación y carencia de contexto en la asignatura de Matemática en estudiantes con años sin una educación formal continua y con deberes laborales en paralelo. El diseño experimental incluyó la creación de cápsulas educativas adaptadas a las necesidades de los estudiantes, considerando sus horarios, turnos y ritmos de estudio. La recopilación de datos se llevó a cabo mediante la implementación de las cápsulas educativas en un entorno educativo real, seguido de un análisis estadístico para evaluar la mejora en el rendimiento académico y la participación activa de los estudiantes. Los resultados revelaron beneficios significativos en términos de comprensión del contenido y participación en comparación con métodos tradicionales. A pesar de reconocer algunas limitaciones, este estudio proporciona una base sólida para la integración efectiva de cápsulas educativas en entornos educativos vespertinos, lo que respalda la implementación exitosa del modelo en este contexto específico.
Palabras clave: aprendizaje de adultos, recursos educativos, estudiante adulto, método de enseñanza, rendimiento académico.
Abstract: This experience addresses the design and implementation of educational capsules aimed at supporting the Flipped Classroom methodology in the context of working evening students at a private university in Chile. The work focuses on the development of multimedia educational resources that allow students to review and understand content before face-to-face classes. The experimental design included the creation of educational capsules adapted to the specific needs of the students, considering their schedules, shifts and study rhythms. The detailed procedure encompassed the production of content, the integration of educational technologies, and the evaluation of the acceptance and effectiveness of the flipped classroom. Data collection was carried out by implementing the educational capsules in a real educational setting, followed by statistical analysis to assess the improvement in academic performance and active participation of students. The results revealed significant benefits in terms of content comprehension and engagement compared to traditional methods. Despite acknowledging some limitations, this study provides a solid foundation for the effective integration of educational capsules in evening educational settings, thus supporting the successful implementation of the model in this specific context.
Keywords: adult learning, educational resources, adult student, teaching method, academic performance.
Introducción
En el contexto actual en educación, sea este primario, secundario o universitario, las herramientas digitales apoyadas con metodologías activas son una necesidad para los docentes como complemento para el proceso de enseñanza-aprendizaje (Rivadeneira, 2019). Además, se hace necesario utilizarlas con aquellos inmigrantes digitales y disminuir las brechas tecnológicas, buscando estrategias que involucren a los alumnos al proceso. La importancia radica, según Talbert (2017), en que los estudiantes vespertinos que trabajan enfrentan desafíos únicos debido a sus horarios laborales. A su vez, Kayaduman (2020) sostiene que el modelo de flipped classroom (aula invertida) puede adaptarse para ofrecer flexibilidad y accesibilidad, y permitir a estos estudiantes acceder al contenido educativo en momentos convenientes para ellos.
Por otra parte, Barraza (2020) afirma que la optimización de estrategias de enseñanza es esencial para adaptarse a las diversas necesidades y dinámicas de los alumnos. En este contexto, surge un desafío significativo: cómo mejorar la eficacia de la enseñanza para los estudiantes vespertinos trabajadores, cuyos horarios y turnos atípicos a menudo presentan barreras para la participación activa y la asimilación de los contenidos.
Como antecedente histórico, aunque el aula invertida con apoyo de píldoras de aprendizaje puede haber ganado popularidad recientemente, la noción de enseñar ciertos conceptos o temas fuera del aula para luego reforzarlos con actividades en clase ha sido discutida por educadores durante décadas (Salas et al., 2022).
El problema específico que aborda la experiencia radica en la búsqueda de un enfoque pedagógico que atienda las necesidades particulares de los estudiantes mencionados. Se enfrenta a la realidad de que las metodologías tradicionales pueden no ser totalmente efectivas en este contexto, donde los alumnos a menudo experimentan fatiga y desafíos de atención al final del día.
Una gran cantidad de estudiantes ingresantes a carreras técnicas de nivel superior en la universidad en estudio, según un diagnóstico realizado en el período semestral 2023, presentan complicaciones para abordar y comprender los contenidos que son tratados en el segundo semestre. Se identifica en ellos, por ejemplo, la falta de metodologías para asumir los contenidos. Los logros académicos muestran un rendimiento insatisfactorio en las evaluaciones parciales y finales, lo cual representa un aspecto desfavorable que, en ocasiones, resulta en la deserción o en la adopción de una postura de esfuerzo mínimo y resistencia hacia la materia de Matemática.
Para abordar este problema, la estrategia de trabajo propuesta se centra en diseñar e implementar cápsulas educativas efectivas basadas en el modelo de flipped classroom, para mejorar el acceso al aprendizaje y el rendimiento académico de los estudiantes vespertinos trabajadores chilenos. Estas cápsulas, desarrolladas con enfoque multimedia, buscan generar preparación antes de una clase presencial, aprovechando la flexibilidad de los horarios para promover un aprendizaje más autónomo y activo.
Antecedentes
En primer lugar, los estudiantes trabajadores de la modalidad vespertina buscan acceder a una formación que les permita mejorar su calidad de vida a través del desarrollo profesional (Arancibia & Trigueros, 2018), combinando sus responsabilidades laborales, familiares y académicas. Estos aspectos han fomentado la comparación entre las experiencias universitarias de estudiantes de una educación no tradicional y las de aquellos con circunstancias de vida que tienden a tensionar su experiencia universitaria (Sjoberg et al., 2018).
Desde el perfil de los estudiantes vespertinos trabajadores, las investigaciones profundizan en los siguientes temas relacionados con la problemática: deserción en jornada vespertina (Arancibia & Trigueros, 2018), determinantes para la reprobación en Matemática en carreras vespertinas (Sjoberg et al., 2018), programas de estudio y estilos de aprendizaje en el área de Matemática en estudiantes vespertinos (Díaz & Ortega, 2017) y factores que influyen en el éxito académico vespertino (Espinoza et al., 2014).
Por otro lado, desde la perspectiva de las herramientas de apoyo, Vidal (2019) define las cápsulas educativas como una secuencia de contenidos acotados en los que se explica de forma descriptiva un concepto clave en educación. Alvites (2019), por su parte, explica que son herramientas o medios utilizados para dar a conocer información de un tema, a través de imágenes, textos y narración, con un tiempo de duración de entre tres y cinco minutos —con la finalidad de que no sea tedioso para los estudiantes—, abarcando aspectos generales. En el aspecto de la información, se define como una herramienta con una variedad de contenidos comunes, cuya función es difundir información actualizada. Además, las cápsulas educativas, como herramientas de apoyo al aprendizaje para desarrollar competencias matemáticas, “se entienden como actuaciones integrales para identificar, interpretar, argumentar y resolver problemas del contexto con idoneidad y ética, integrando el saber ser, el saber hacer y el saber conocer” (Tobón, 2013, p. 113). Al revisar y estudiar recursos como videos, tutoriales y documentos web presentes en la red, los estudiantes comprenden conceptos y asimilan algoritmos y procedimientos de cálculo, lo que implica la capacidad de construir su conocimiento de manera autónoma. En ese sentido, Alfaro et al. (2016) afirman que este tipo de herramientas apoya el acceso a datos e información relacionada con temáticas contextualizadas para construir su propio aprendizaje, con lo que adquieren habilidades de autonomía y de microaprendizaje.
Para Ogange y Mishra (2021), el microaprendizaje es el proceso en el que los estudiantes aprenden a través de módulos cortos, planificados y con actividades de aprendizaje a corto plazo. Este enfoque se orienta a la actividad específica y es capaz de proporcionar conocimiento en partes pequeñas (Skalka et al., 2021), lo que permite una estrategia de desarrollo de competencias y una respuesta a la creciente necesidad de formación permanente o aprendizaje autónomo.
En el modelo de aula invertida, los estudiantes revisan el contenido antes de la clase. Aquí es donde el microaprendizaje puede ser útil. Los profesores pueden proporcionar a los estudiantes materiales de aprendizaje en microformato, como videos cortos, infografías o microcursos que resumen los conceptos clave que deben comprender antes de asistir a la clase. Esto permite a los alumnos obtener una comprensión básica del tema en un corto período de tiempo.
Una investigación sobre estudiantes de secundaria explora el impacto de cápsulas educativas como microaprendizaje tanto en la motivación hacia la matemática, como para potenciar el rendimiento. Este análisis reveló un aumento significativo del interés por la materia, lo que culminó en una mejora de los rendimientos académicos (Jorge et al., 2017). De tal manera, se llegó a la conclusión de que el incremento positivo en la percepción se manifestaba en la actitud de los estudiantes al iniciar la materia. Anteriormente, se requería insistir constantemente en la preparación del material, pero en estas sesiones todos mostraban estar listos y dispuestos para recibir sus computadoras y comenzar con la programación. Este descubrimiento, respaldado por Mascaró y Moretta (2021), resalta el impacto beneficioso de las cápsulas no solo en la motivación, sino también en el desarrollo de competencias matemáticas que respaldan el proceso de aprendizaje de un contenido específico.
Por otro lado, el aula invertida se presenta, según Chacón (2020), como una estrategia innovadora para el autoaprendizaje, con la participación activa de los estudiantes. La finalidad de trabajar con tal apoyo en las clases es “la baja progresiva de los índices de fracaso en el rendimiento escolar y que conlleve a un apoyo a generar una autonomía por parte de los estudiantes” (Pérez et al., 2020, p. 45). En la misma línea, Hernández Silva y Tecpan (2017) establecen las ventajas del aula invertida en el área de las ciencias, al involucrar al estudiante en su proceso conectando el contenido con el contexto o, en este caso, con la especialidad o carrera de estudio.
Según la investigación de Richard et al. (2012), el empleo de nuevas tecnologías como herramientas de apoyo para el aprendizaje ha demostrado ser efectivo en el desarrollo de habilidades y hábitos relacionados con la representación gráfica de funciones lineales y cuadráticas. La conclusión es que, mediante la incorporación de estas tecnologías, los estudiantes tienen la capacidad de abordar de manera autodidacta los desafíos asociados con los contenidos, de modo que entrenan, se fomenta la autoevaluación y se promueve la autodisciplina.
En ciertas experiencias, al implementar cápsulas educativas de aprendizaje en Matemática, se logran mejoras académicas y un enriquecimiento de los procesos de aprendizaje. Al respecto, Müller et al. (2012) consideran que las actividades llevadas a cabo a través de ellas aportaron un valor significativo a las sesiones presenciales, pues crearon nuevos contextos para la intervención didáctica en el aula. Este enfoque logró desarrollar un conjunto integral de acciones y estrategias que se ajustaban tanto al entorno de clases presenciales como a un espacio adicional que posibilitó la expansión de las actividades más allá de los límites físicos del aula. Además, existe una motivación diferente a la de una clase tradicional, tal como plantean Llanga et al. (2019).
En otro enfoque, Faghihi et al. (2014) examinaron la eficacia de herramientas que integran sistemas tutoriales inteligentes y elementos de ludificación para la instrucción de conceptos fundamentales en matemática, tales como la factorización y las ecuaciones cuadráticas, dirigidas a estudiantes de educación tanto básica como superior en Estados Unidos.
En el ámbito del diseño instruccional y la implementación de cápsulas educativas, expertos como Hevia y Fueyo (2018) y Pozas y Navarrete (2021) sugieren que, después de la creación de las fases del diseño, es recomendable llevar a cabo un seguimiento del proceso. Esto se hace con el propósito de evaluar la eficacia de las cápsulas y examinar factores que podrían obstaculizar la labor del docente como facilitador del proceso, para evitar posibles efectos contraproducentes en el aprendizaje significativo de cada estudiante.
Según las indicaciones de la Universidad de Carabobo (2013), se aconseja llevar a cabo una prueba una vez que el material ha sido implementado. Para determinar su efectividad, proponen el desarrollo de instrumentos evaluativos, como tests, cuestionarios o escalas de observación. Posteriormente, se sugiere la aplicación de medidas estadísticas adecuadas para analizar los resultados. Por otro lado, García y Jáuregui (2019) plantean que las dificultades técnicas y el nivel de conocimiento necesario por parte del evaluador podrían ser motivos para que la evaluación no se realice o se lleve a cabo de manera incorrecta en muchas ocasiones.
Finalmente, Hidalgo (2020) establece la importancia del seguimiento formativo de la evaluación en las cápsulas educativas. La presencia del docente es fundamental para el acompañamiento, para cumplir los objetivos planteados en cada actividad.
Dado el conjunto de antecedentes delineados, la relevancia de esta investigación reside en la capacidad para superar las restricciones temporales y cognitivas que experimentan los estudiantes. Al presentar una solución pedagógica innovadora, se busca no solo el aprendizaje de conceptos, sino también fomentar una participación más sustancial, el trabajo autónomo y un compromiso sostenido con el proceso educativo.
En concreto, la experiencia se realizó con el objetivo de valorar la eficacia del diseño y la implementación de cápsulas educativas dirigidas a estudiantes vespertinos trabajadores para apoyar la metodología del flipped classroom. Esto se realiza con la intención de ofrecer evidencia empírica acerca de la viabilidad de adoptar este enfoque pedagógico en entornos educativos que operan con horarios vespertinos atípicos. Lo anterior genera la pregunta: ¿cómo influyen el diseño y la implementación de cápsulas educativas en estudiantes vespertinos para respaldar el modelo flipped classroom en comparación con métodos educativos tradicionales, considerando la participación, la comprensión de los contenidos y la retención del conocimiento? Asimismo, se genera la hipótesis: dada la adaptación de cápsulas educativas diseñadas específicamente para estudiantes vespertinos, se espera que la implementación del modelo flipped classroom conduzca a una mejora significativa en la participación, la comprensión de los contenidos y la retención del conocimiento en comparación con los métodos educativos tradicionales.
En última instancia, el propósito es reconocer potenciales mejoras y ajustes para perfeccionar la ejecución de esta experiencia. Además, se busca aportar en la implementación de estrategias educativas eficientes y adaptables en contextos similares.
Metodología y materiales
El diseño de la experiencia consistió en un ensayo controlado aleatorio (Bernal, 2010) con un método experimental (Hernández Sampieri & Mendoza, 2018), que asignó aleatoriamente a los participantes en dos grupos: experimental y de control.
Los participantes pertenecían a carreras técnicas de nivel superior, y cursaron durante el segundo semestre del año 2023 la asignatura de Matemática Básica. Cada grupo estuvo compuesto por 30 estudiantes, sin discriminar sexo, edad ni ciudad de procedencia. El diseño propuesto se muestra a continuación:
Diseño experimental: ensayo controlado aleatorio
Grupo experimental (aula invertida con cápsulas educativas): Los estudiantes en este grupo tuvieron acceso a cápsulas educativas diseñadas para apoyar la metodología de aula invertida. Antes de las clases, se enviaron estas cápsulas educativas para revisar y preparar los contenidos.
Grupo de control (métodos educativos tradicionales): Los estudiantes en este grupo siguieron los métodos tradicionales de enseñanza, y no tuvieron acceso a cápsulas educativas previas.
En relación con las variables de estudio, se designó como variable independiente la metodología de enseñanza-aprendizaje implementada para el uso de cápsulas educativas que respaldan el enfoque de aula invertida. Por otro lado, la variable dependiente se definió como el rendimiento académico de los estudiantes en la asignatura de Matemática Básica. Este rendimiento se evaluó mediante indicadores que incluyeron: 1. un cuestionario sobre habilidades digitales y de diagnóstico; 2. el certamen final de la asignatura; y 3. la percepción expresada por los estudiantes respecto a la implementación.
Técnicas, instrumentos y materiales
Para la recolección de los datos se recurrió a un cuestionario con preguntas abiertas y cerradas, cada una con su respectiva validación. Los instrumentos utilizados fueron los siguientes:
Cuestionario de habilidad digital de los estudiantes universitarios (Avitia & Uriarte, 2017): Para la validación, realizada en junio de 2023, se recurrió al juicio de expertos, específicamente al método de análisis factorial de Tucker, en el que participaron siete doctores de diferentes áreas. Se obtuvo como promedio 5,4 de un máximo de 6 en las dimensiones propuestas. Se sugirieron cambios en la redacción y solamente se eliminó un ítem, con lo que quedó un total de 20. La fiabilidad se calculó mediante el coeficiente alfa de Cronbach para todas las preguntas, y se obtuvo un valor alto (confiable) de 0,9 (García de Yébenes et al., 2009).
Pre- y postest de matemática básica: La elaboración del instrumento estuvo a cargo del docente investigador, con fecha abril de 2023. Para su validación, realizada en el mismo mes, se recurrió al juicio de expertos, específicamente al método de análisis factorial de Tucker, en el que participaron cuatro doctores de las áreas de Educación Matemática y Matemática. Se obtuvo como promedio 5,7 de un máximo de 6 en los ítems propuestos; se sugirieron cambios en la redacción y se eliminaron cinco ítems, con lo que quedó un total de 25. La fiabilidad se calculó mediante el coeficiente alfa de Cronbach para todos los ítems, y se obtuvo un valor alto (confiable) de 0,9 (García de Yébenes et al., 2009).
Para poder recoger el grado de satisfacción por parte del alumnado en relación con la implementación del uso de cápsulas educativas, apoyado en la metodología de aula invertida en Matemática Básica, se utilizó una adaptación del cuestionario Student Evaluation of Educational Quality (SEEQ), un instrumento que permite analizar la eficiencia de la enseñanza. Fue diseñado por Marsh y Roche (1993) y actualizado por Andrade et al. (2017). Consta de 31 ítems agrupados en nueve factores. Su fiabilidad, calculada con un alfa de Cronbach, es de 0,941, valor que indica una excelente consistencia interna.
Por otro lado, los materiales utilizados fueron las herramientas digitales Canva y Genially para la creación de las cápsulas educativas, Math Type para creación de los contenidos y la plataforma Moodle para subir el material didáctico de apoyo.
Procedimiento
En la tabla se muestra el procedimiento realizado en la experiencia, con sus respectivas fases y descriptores:
| Fase | Descripción | Acciones |
| Selección de participantes | Se seleccionó a estudiantes vespertinos trabajadores que se encontraran matriculados en la universidad, para dos carreras diferentes. Se hizo firmar un consentimiento informado a los participantes. | |
| 2 | Asignación aleatoria | Se utilizó un proceso de asignación aleatoria con apoyo de la herramienta Excel para dividir a los participantes en dos grupos, experimental y de control. Cada uno quedó conformado por 30 participantes. |
| 3 | Diseño de cápsulas educativas | Se elaboraron cápsulas educativas adaptadas a los contenidos del curso. Se aseguraron la accesibilidad y la facilidad de uso de las cápsulas, mediante la plataforma Moodle que posee la universidad. |
| 4 | Implementación del tratamiento | Se enviaron las cápsulas educativas al grupo experimental antes de las clases. El grupo de control continuó trabajando con métodos tradicionales de enseñanza, sin acceso a cápsulas previas. |
| 5 | Recopilación de datos | Se registró la participación en clases mediante la asistencia. Se administraron cuestionarios antes y después de la experiencia para evaluar la comprensión y retención del contenido. Se realizaron evaluaciones periódicas para medir el avance en el rendimiento académico. |
| 6 | Análisis estadístico | Se utilizaron pruebas estadísticas (t de Student y prueba de Levene) para comparar las diferencias entre los grupos en términos de participación, comprensión y retención del contenido. |
Resultados
Cuestionario de diagnóstico (pretest)
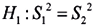
Como primer paso, se comprobó la homogeneidad de varianzas utilizando la prueba de Levene, estableciendo como hipótesis nula la no existencia de diferencia significativa entre las varianzas, es decir,
, y como hipótesis alternativa,
, en donde las varianzas son diferentes.
Como resultado de este contraste, se obtuvo que la probabilidad asociada con el estadístico de Levene es de 0,352, superior al valor de 0,05, por lo tanto, se supuso que ambas varianzas eran iguales. Luego, se procedió a comparar las medias de las notas en la prueba de diagnóstico (pretest), para determinar si existían diferencias significativas entre ellas.
Para lo anterior, se utilizó la prueba t de Student para grupos independientes, con varianzas iguales y con nivel de confianza α = 0,05. Se obtuvieron los resultados que se muestran a continuación.
| G. experimental | G. de control | |
| Media | 3,36 | 3,50 |
| Varianza | 0,62516092 | 0,8 |
| Observaciones | 30 | 30 |
| Varianza agrupada | 0,71258046 | |
| Diferencia hipotética de las medias | 0 | |
| Grados de libertad | 58 | |
| Estadístico t | ‒0,627034269 | |
| P(T ≤ t) (una cola) | 0,266548689 | |
| Valor crítico de t (una cola) | 1,671552762 | |
| P(T ≤ t) (dos colas) | 0,533097379 | |
| Valor crítico de t (dos colas) | 2,001717484 | |
Según estos datos, se obtuvo un resultado estadístico t de ‒0,627 y de aproximadamente 2 para el nivel crítico bilateral asociado. Como este valor es mayor que 0,05, no se rechaza la hipótesis nula de igualdad de medias, y por ende no existen diferencias significativas entre las medias de las notas obtenidas por ambos grupos de estudiantes en la prueba de diagnóstico.
Análisis pre/postest del grupo experimental
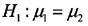
Se aplicó una prueba t de Student para muestras emparejadas, con la finalidad de probar la hipótesis de que los estudiantes mejorarían significativamente las notas en el postest con respecto a las notas obtenidas en el pretest. Se estableció como hipótesis nula la igualdad de las medias de las notas obtenidas por los estudiantes antes y después de la implementación, es decir,
. Como hipótesis alternativa se estableció
, donde
es la media de las notas del grupo experimental en el pretest y
, la media de las notas del mismo grupo en el postest. Por ende, se aplicó una prueba t de Student de dos muestras emparejadas, con la finalidad de probar la hipótesis de que los estudiantes mejorarían significativamente su nota en el postest con respecto al pretest. Los resultados obtenidos se muestran a continuación.
| Prueba t para medias de dos muestras emparejadas | |||
| Pretest | Postest | ||
| Media | 3,36 | 5,05 | |
| Varianza | 0,62516092 | 1,168781609 | |
| Observaciones | 30 | 30 | |
| Coeficiente de correlación de Pearson | ‒0,106848078 | ||
| Diferencia hipotética de las medias | 0 | ||
| Grados de libertad | 29 | ||
| Estadístico t | ‒6,557983884 | ||
| P(T ≤ t) (una cola) | 0,00000174461 | ||
| Valor crítico de t (una cola) | 1,699127027 | ||
| P(T ≤ t) (dos colas) | 0,000000348923 | ||
| Valor crítico de t (dos colas) | 2,045229642 | ||
Se obtuvo entonces un valor estadístico t de ‒6,557 y de aproximadamente 0 para el nivel crítico bilateral asociado. Por ser estos valores diferentes, permite confirmar la hipótesis de que la nota obtenida en el postest es significativamente mayor que aquella obtenida en el pretest.
Análisis del grupo de control y del grupo experimental
Para ambos grupos se implementó el mismo contenido de ecuaciones cuadráticas, con el mismo docente encargado de la asignatura. La única diferencia fue que en el grupo de control se trabajó con un enfoque de enseñanza tradicional y en el grupo experimental, con cápsulas educativas para apoyar la metodología de aula invertida. También se evaluó con los mismos instrumentos.
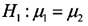
Se aplicó una prueba t de Student para muestras independientes, asumiendo la igualdad de varianzas en los grupos, que se estableció en la prueba de Levene. Se asumió para este caso como hipótesis nula la igualdad de las medias de las notas en el certamen (postest) para ambos grupos, es decir,
, mientras que como hipótesis alternativa se asumió
, donde
es la media de las notas del grupo experimental en el postest y
, la media de las notas del grupo de control en el postest. Los resultados obtenidos se muestran a continuación.
| Prueba tpara dos muestras suponiendo varianzas iguales | ||
| Grupo experimental | Grupo de control | |
| Media | 5,1 | 4,1 |
| Varianza | 1,168781609 | 1,0867137931 |
| Observaciones | 30 | 30 |
| Varianza agrupada | 1,51795977 | |
| Diferencia hipotética de las medias | 0 | |
| Grados de libertad | 58 | |
| Estadístico t | 2,315722512 | |
| P(T ≤ t) (una cola) | 0,012065024 | |
| Valor crítico de t (una cola) | 1,671552762 | |
| P(T ≤ t) (dos colas) | 0,024130048 | |
| Valor crítico de t (dos colas) | 2,001717484 | |
De acuerdo con los datos, se obtuvo un valor estadístico t de 2,315 y un nivel crítico bilateral asociado de 2. Por ser este valor diferente que 0,05, permitió rechazar la hipótesis nula de igualdad de medias en favor de la hipótesis de que el promedio de notas en el certamen final resultó significativamente mayor para el grupo que participó de la implementación.
Cuestionario de habilidad digital de estudiantes universitarios
A continuación se muestra a los participantes que contestaron el cuestionario, considerando sus intervalos de edad.

De acuerdo con la figura, un 33,3 % de estudiantes vespertinos trabajadores posee entre 40 y 45 años, lo que permite establecer metodologías que apoyen y estimulen el aprendizaje en personas que llevan tiempo sin realizar estudios tradicionales.
Por otra parte, el instrumento empleado se basó y adaptó a las habilidades digitales, y se centró en aquellas que requieren como estudiantes: apoyo de herramientas digitales, capacidad de hacer uso de los recursos educativos, calidad y empleo de la información. Se consideraron siete categorías y se obtuvieron veintidós reactivos. A continuación, se analiza un ejemplo del cuestionario aplicado.

De acuerdo con la figura, el 97 % de los estudiantes encuestados aprecia de manera positiva la metodología utilizada.
Discusión y conclusiones
Discusión
Los valores resultantes entregaron una señal hacia el mejoramiento en el rendimiento académico de los estudiantes vespertinos trabajadores y el desarrollo de competencias matemáticas durante el tiempo que desarrollaron las actividades. Esto se reafirmó por el aumento en el desempeño, luego de aplicado el certamen de ecuaciones cuadráticas a ambos grupos y comparados los datos en el postest.
El aumento significativo en la comprensión y retención del contenido también respalda la efectividad de las cápsulas educativas como recursos de aprendizaje, tal cual mencionan en su investigación Mascaró y Moretta (2021). La competencia de autonomía de revisar y consolidar conceptos antes de las clases presenciales puede contribuir significativamente al proceso de aprendizaje, en coherencia con lo que establecen Llanga et al. (2019), especialmente en un contexto con estudiantes vespertinos, donde la falta de tiempo puede ser un desafío importante.
Se debe destacar que los resultados en el rendimiento son significativos, con la disminución de un 13 % de estudiantes con nota insuficiente o regular, además del aumento de un 19 % y de un 7 % de notas buenas y muy buenas, respectivamente, en el grupo que usó las cápsulas educativas de la metodología aula invertida. Estas evidencias coinciden con lo presentado en otras investigaciones como Faghihi et al. (2014): al implementar herramientas digitales de aprendizaje en matemática con metodologías activas se lograron mejoras académicas y enriquecimiento de los procesos de aprendizaje.
Durante la implementación se debe destacar la participación activa y la motivación de los estudiantes en las actividades propuestas en las fases inicial, de desarrollo y de aplicación. Prueba de ello es que los estudiantes consideraron más amigables los contenidos con el uso de las cápsulas educativas, ya que pudieron interactuar, trabajar de manera autónoma según sus tiempos y adoptar el rol principal de su aprendizaje de manera invertida, como argumentan Jorge et al. (2017) y Alvites (2019). El incremento de la motivación mejora la concentración de los estudiantes al comenzar los contenidos: en las sesiones en que se incluyen herramientas digitales se empieza antes a adquirir el propio conocimiento.
En cuanto al nivel de apreciación de los estudiantes sobre la metodología de las cápsulas educativas, los resultados reflejaron que las expectativas de enseñanza para las ecuaciones cuadráticas son de un 20 % para “de acuerdo” y de un 77 % para “totalmente de acuerdo”. Esto muestra que aumentó el interés por la matemática, lo que evidencia la conformidad de utilizar la metodología como medio de enseñanza-aprendizaje. Tal como expone González (2019), la aplicación de videos de apoyo diseñados mejora la percepción y aumenta el grado de satisfacción frente al estudio de la matemática.
Sin embargo, es importante estar conscientes de las limitaciones de la experiencia. La generalización de los resultados puede verse limitada por las características específicas de la muestra y el contexto educativo particular. Además, la duración del estudio puede no abordar completamente el impacto a largo plazo del modelo flipped classroom.
Conclusiones
La experiencia del trabajo buscó dar respuesta a esta pregunta: ¿cómo influyen el diseño y la implementación de cápsulas educativas en estudiantes vespertinos para respaldar el modelo flipped classroom en comparación con métodos educativos tradicionales, considerando la participación, la comprensión de los contenidos y la retención del conocimiento? A partir de la implementación de cápsulas educativas como apoyo a la metodología de aula invertida, se evidenciaron señales hacia el mejoramiento en el rendimiento académico de los estudiantes. Además, hubo una disminución en el porcentaje de alumnos con desempeño insuficiente y regular, y aumentaron los porcentajes de desempeño bueno y muy bueno, respecto de los resultados obtenidos por el grupo que recibió clases tradicionales. Estas diferencias se reflejaron en la aplicación del certamen de ecuaciones cuadráticas a ambos grupos (postest).
Lo anterior, a través del análisis estadístico, indica diferencias estadísticamente significativas en la participación y el rendimiento académico entre el grupo experimental y el grupo de control.
Por otro lado, la experiencia sirvió como estrategia de apoyo para el desarrollo de competencias matemáticas, y permitió contribuir al mejoramiento del rendimiento académico y a reducir la deserción de los estudiantes de la universidad en el segundo semestre del año 2023.
Según lo expuesto anteriormente, se puede afirmar que, para la muestra que se utilizó, la hipótesis de la investigación planteada se cumple: la implementación del modelo flipped classroom con apoyo de cápsulas educativas diseñadas para los estudiantes vespertinos trabajadores condujo a una mejora significativa en la participación activa, la comprensión de los contenidos y la retención del conocimiento, en comparación con los métodos educativos tradicionales.
Continuando con la exposición nace el siguiente cuestionamiento: ¿cuál es el aporte de la presente experiencia? La respuesta es que la universidad en estudio no ha institucionalizado en sus programas las metodologías que se deben emplear con este tipo de estudiantes, herramientas mediante las cuales puedan, de manera autónoma y según sus tiempos, acceder a un espacio que promueva el aprendizaje y que los mantenga conectados con sus clases. Por lo tanto, la experiencia de implementar la experiencia es un aporte, por el mejoramiento educativo y de retención de los estudiantes.
En conclusión, la participación activa se refleja por el acceso previo a las cápsulas educativas, lo que permitió a los alumnos prepararse de manera autónoma antes de las clases presenciales.
Las implicaciones prácticas de la experiencia sugieren que la integración de cápsulas educativas en estudiantes vespertinos trabajadores puede ser una herramienta valiosa para mejorar la calidad del aprendizaje y la participación de los alumnos. No obstante, se reconoce la obligación por parte de los docentes en este tipo de experiencias y, refinando el enfoque, deben considerarse las características específicas de los estudiantes y las dinámicas educativas. Estos hallazgos contribuyen al creciente cuerpo de conocimiento sobre estrategias pedagógicas innovadoras, y pueden guiar futuras investigaciones y prácticas educativas.
Para futuras investigaciones, se sugiere explorar adaptaciones adicionales en el diseño de cápsulas educativas, considerando diferentes estilos de aprendizaje y necesidades individuales de los estudiantes. Además, sería valioso investigar la sostenibilidad a largo plazo de los beneficios observados y su transferencia a otras disciplinas o niveles educativos.
Referencias
Alfaro, C., Rodríguez, B., & Atrio, S. (2016). Entornos virtuales de aprendizajes: Una estrategia pedagógica para el desarrollo de competencias fisicomatemáticas. Hekademos. Revista Educativa Digital, 22(2017), 36-45. https://tinyurl.com/2u3rhs6j
Alvites, C. (2019). Entornos virtuales simulados y realidad virtual: Tecnologías que aportan a la educación. Hamut’ay, 6(3), 5-9. http://dx.doi.org/10.21503/hamu.v6i3.1840
Andrade, P., Ramón, L., & Loaiza, M. (2017). Aplicación del SEEQ como instrumento para evaluar la actividad docente universitaria. Revista de Investigación Educativa, 36(1), 259-275. https://doi.org/10.6018/rie.36.1.260741
Arancibia, R., & Trigueros, C. (2018). Aproximaciones a la deserción universitaria en Chile. Educação e Pesquisa, 44. https://doi.org/10.1590/S1678-4634201708165743
Avitia, P., & Uriarte, I. (2017). Evaluación de la habilidad digital de los estudiantes universitarios: Estado de ingreso y potencial educativo. Edutec. Revista Electrónica de Tecnología Educativa, 61. https://doi.org/10.21556/edutec.2017.61.861
Barraza, A. (coord.). (2020). Modelos de secuencias didácticas. Universidad Pedagógica de Durango. https://tinyurl.com/4nz92zcs
Bernal, C. (2010). Metodología de la investigación. Pearson. https://tinyurl.com/ym9drbm6
Chacón, R. (2020). Análisis de la motivación, estrategias de aprendizaje, estrés académico y necesidades psicológicas básicas en el contexto universitario según factores académicos [tesis doctoral]. Universidad de Jaén, España. https://tinyurl.com/2txbmznp
Díaz, M., & Ortega, I. (2017). Caracterización de estilos de aprendizaje en estudiantes de ingeniería de jornadas diurnas y vespertinas. Enseñanza & Teaching, 35(2), 97-108. https://doi.org/10.14201/et201735297108
Espinoza, O., Loyola, J., Castillo, D., & González, L. (2014). La educación de adultos en Chile: Experiencias y expectativas de los estudiantes de la modalidad regular. Última Década, 22(40), 159-181. http://dx.doi.org/10.4067/S0718-22362014000100008
Faghihi, U., Brautigam, A., Jorgenson, K., Martin, D., Brown, A., Measures, E., & Maldonado-Bouchard, S. (2014). How Gamification Applies for Educational Purpose Specially with College Algebra. Procedia Computer Science, 41, 182-187. https://doi.org/10.1016/j.procs.2014.11.102
García, J., & Jáuregui, P. (2019). Educación a distancia y mundos virtuales. Miradas. Revista de Investigación, 1(2), 163-177. https://doi.org/10.22517/25393812.22051
García de Yébenes, M., Rodríguez, F., & Carmona, L. (2009). Validación de cuestionarios. Reumatología Clínica, 5(4), 171-177. https://doi.org/10.1016/j.reuma.2008.09.007
González, C. (2019). Estrategias para la enseñanza del pensamiento computacional y uso efectivo de tecnologías en educación infantil: Una propuesta inclusiva. Revista Interuniversitaria de Investigación en Tecnología Educativa, 7. https://doi.org/10.6018/riite.405171
Hernández Sampieri, R., & Mendoza, C. (2018). Metodología de la investigación: Las rutas cuantitativa, cualitativa y mixta. McGraw-Hill. https://tinyurl.com/2pvaysfv
Hernández Silva, C., & Tecpan, S. (2017). Aula invertida mediada por el uso de plataformas virtuales: Un estudio de caso de formación inicial de profesores de física. Estudios Pedagógicos (Valdivia), 43(3), 193-204. https://dx.doi.org/10.4067/S0718-07052017000300011
Hevia, I., & Fueyo, A. (2018). Aprendizaje situado en el diseño de entornos virtuales de aprendizaje: Una experiencia de aprendizaje entre pares en una comunidad de práctica. Aula Abierta, 47(3), 347-354. https://tinyurl.com/3jce7vp5
Hidalgo, M. (2020). Reflexiones acerca de la evaluación formativa en el contexto universitario. Revista Internacional de Pedagogía e Innovación Educativa, 1(1), 189-210. https://doi.org/10.51660/ripie.v1i1.32
Jorge, D., Jiménez, C., & Murillo, J. (2017). Influencia de un entorno virtual de enseñanza aprendizaje en la afectividad hacia las matemáticas de estudiantes de secundaria: Estudio de casos. En J. Muñoz, A. Arnal, P. Beltrán y M. Callejo (eds.), Investigación en Educación Matemática XXI (pp. 325-334). Sociedad Española de Investigación en Educación Matemática. https://tinyurl.com/ybkz9apc
Kayaduman, H. (2020). Student Interactions in a Flipped Classroom-Based Undergraduate Engineering Statistics Course. Computer Applications in Engineering Education, 29(4), 969-978. https://doi.org/10.1002/cae.22239
Llanga, E., Silva, M., & Vistin, J. (2019). Motivación extrínseca e intrínseca en el estudiante. Revista Atlante: Cuadernos de Educación y Desarrollo, septiembre. https://tinyurl.com/56btbrxm
Marsh, H., & Roche, L. (1993). The Use of Students’ Evaluations and an Individually Structured Intervention to Enhance University Teaching Effectiveness. American Educational Research Journal, 30(1), 217-251. https://doi.org/10.3102/00028312030001217
Mascaró, M., & Moretta, J. (2021). Las TIC y el e-learning en el proceso de enseñanza aprendizaje de los estudiantes universitarios. Revista Científica Especialidades Odontológicas UG, 4(1). https://tinyurl.com/35k3dua8
Müller, D., Engler, A., & Vrancken, S. (2012). Propuesta de actividades sobre funciones en un entorno virtual de aprendizaje: Análisis de su implementación. Comité Latinoamericano de Matemática Educativa. https://tinyurl.com/35hxhw37
Ogange, B., & Mishra, S. (eds.) (2021). Introduction to Microlearning. Commonwealth of Learning. https://tinyurl.com/yck4mtsa
Pérez, J., Rodríguez, C., Rodríguez, M., & Villacreses, C. (2020). Espacios maker: Herramienta motivacional para estudiantes de ingeniería eléctrica de la Universidad Técnica de Manabí, Ecuador. Espacios, 41(2). https://tinyurl.com/2cdy6df9
Pozas, J. & Navarrete, E. (2021). Actitud ante el e-learning en alumnos de educación superior. CTES. Revista Electrónica sobre Ciencia, Tecnología y Sociedad, 8(15). https://tinyurl.com/59r73paa
Richard, C., Mora, J., & Rodríguez, A. (2012). La utilización de las nuevas tecnologías en el desarrollo de habilidades y hábitos en la representación gráfica de funciones lineales y cuadráticas con el apoyo de un entorno virtual de aprendizaje. Comité Latinoamericano de Matemática Educativa. https://tinyurl.com/yv2stshc
Rivadeneira, E. (2019). La metodología aula invertida en la construcción del aprendizaje autónomo y colaborativo del estudiante actual. Revista San Gregorio, 31(2019), 72-79. https://tinyurl.com/arpbxstz
Salas, R., Eslava, A., Rocha, I., & Martínez, S. (2022). Uso del aula invertida y las herramientas tecnológicas en la asignatura Gestión de Proyectos durante la pandemia COVID-19. Revista Gestión de las Personas y Tecnología, 15(43), 24. https://doi.org/10.35588/gpt.v15i43.5477
Sjoberg, O., Oyarzún, F., & Ormeño, F. (2018). Determinantes en la decisión de estudiar en un plan especial universitario para trabajadores. Revista Chilena de Economía y Sociedad, 12(1), 87-10. https://tinyurl.com/4uzjpd38
Skalka, J., Drlik, M., Benko, L., Kapusta, J., Rodríguez, J., Smyrnova-Trybulska, E., Stolinska, A., Svec, P., & Turcinek, P. (2021). Conceptual Framework for Programming Skills Development Based on Microlearning and Automated Source Code Evaluation in Virtual Learning Environment. Sustainability, 13(6). https://doi.org/10.3390/su13063293
Talbert, R. (2017). Flipped Learning. Stylus. https://tinyurl.com/4abctb42
Tobón, S. (2013). Formación integral y competencias: Pensamiento complejo, currículo, didáctica y evaluación. Editorial ECOE. https://tinyurl.com/5n72s73j
Universidad de Carabobo (2013). Ponencias y trabajos de investigación de IV Jornada de Educación a Distancia “Retos y Tendencias”: Memorias en extenso. Universidad de Carabobo. https://tinyurl.com/4emp955r
Vidal, M. (2019). La era de la humanidad: Hacia la quinta revolución industrial. Deusto. https://tinyurl.com/3ha7shj2
Declaración de conflicto de intereses
Los autores declaran no tener conflictos de intereses.
Declaración de ética
El presente artículo científico denominado Diseño e Implementación de cápsulas educativas para facilitar el modelo “flipped Classroom” en estudiantes vespertinos trabajadores reporta los resultados de una investigación que involucró a personas. Por este motivo, el autor del artículo, Gonzalo Donoso Gormaz declara que respetó la autonomía de los participantes en la investigación, quienes fueron informados de los objetivos, riesgos y beneficios del estudio, y dieron su consentimiento voluntario e informado para participar. Dichos sujetos participantes fueron seleccionados de manera equitativa, sin discriminación de ninguna índole. Asimismo, este estudio proporciona una base sólida para la integración efectiva de cápsulas educativas en entornos educativos vespertinos, respaldando así la implementación exitosa del modelo en este contexto específico y que apoya al mejoramiento en el rendimiento de los estudiantes trabajadores.
Apéndice: Cuestionario SEEQ
1) Aprendizaje
Valoración cuantitativa
1: Totalmente en desacuerdo
2: En desacuerdo
3: Neutro
4: De acuerdo
5: Totalmente de acuerdo
1 2 3 4 5
Las cápsulas educativas me han parecido intelectualmente atractivas y estimulantes.
He aprendido cosas que considero valiosas.
Mi interés por la matemática ha aumentado gracias a las cápsulas educativas.
He aprendido y comprendido el contenido de ecuaciones cuadráticas gracias a las cápsulas educativas.
2) Entusiasmo
El docente, a través de las cápsulas educativas, ha expresado motivación hacia los estudiantes.
El docente ha sido dinámico y activo durante la implementación de las cápsulas educativas.
Desarrollar e interactuar en las actividades propuestas ha mantenido y mejorado mi interés por las matemáticas.
3) Organización
Las explicaciones dispuestas en las cápsulas educativas han resultado claras.
Las cápsulas educativas del curso estaban bien preparadas y organizadas de forma secuenciada, es decir, desde el conocimiento inicial al más avanzado.
Los objetivos de la unidad didáctica “Ecuaciones cuadráticas” han quedado claros desde el inicio.
El planteamiento de las prácticas de las cápsulas educativas me ha parecido adecuado para alcanzar los objetivos de aprendizaje de las ecuaciones cuadráticas.
4) Participación
En este curso se animaba a los estudiantes a participar de manera activa y autónoma, según los tiempos.
El curso permitió a los estudiantes preguntar y recibir respuestas satisfactorias.
Las cápsulas educativas permitieron a los estudiantes compartir las ideas y los conocimientos adquiridos.
5) Trabajos
Las tareas me han ayudado a la valoración y comprensión de las ecuaciones cuadráticas.
Los contenidos indicados en las cápsulas educativas para el aprendizaje han sido útiles
6) Evaluación
Los métodos de evaluación utilizados en la metodología para la ecuaciones cuadráticas fueron equitativos y adecuados.
Las evaluaciones y los trabajos calificables se han centrado en los contenidos de las ecuaciones cuadráticas, de acuerdo con los recursos de enseñanza entregados.
Las evaluaciones y los trabajos calificables estuvieron propuestos de forma secuenciada.
7) Valoración de la cápsula educativa
Las cápsulas educativas me han parecido intelectualmente atractivas y estimulantes.
Las cápsulas educativas cumplieron con las expectativas de enseñanza para las ecuaciones cuadráticas.
Las cápsulas educativas estuvieron bien preparadas, diseñadas y secuenciadas, lo que permitió un aprendizaje significativo y profundo.
¿Qué nota pondría a las cápsulas educativas, en una escala de 1 a 7?
1 2 3 4 5 6 7