Article
Exploring cognitive processes in specialized text post-editing: a mixed methods approach integrating eye-tracking and verbalization protocols
Exploración de los procesos cognitivos en la postedición especializada de textos: un enfoque de métodos mixtos que integra protocolos de seguimiento ocular y verbalización
Exploring cognitive processes in specialized text post-editing: a mixed methods approach integrating eye-tracking and verbalization protocols
Cadernos de Tradução, vol. 44, no. 1, e95843, 2024
Universidade Federal de Santa Catarina
Received: 09 September 2023
Revised document received: 28 May 2024
Accepted: 05 April 2024
Published: 01 June 2024
Abstract: The current demand for specialized translation, technological advances, use of CAT tools, and delivery times have impacted both product and process, thereby fostering post-editing services. Post-editing refers to the adjustments of raw products by an automatic translator (Alves et al., 2016). Consequently, there has been an interest in studying product quality and various linguistic features including syntactic, morphosyntactic, and semantic aspects (Popovic et al., 2014; Koponen et al., 2012; Temnikova, 2010) without an examination of the cognitive processes involved in reading for post-editing. This paper aims to describe specialized text comprehension for post-editing purposes. Data was collected using an eye-tracker and a retrospective protocol from three translators. Acting as post-editors, participants were assigned to post-edit a 227-word text from the health area. Findings reveal that specialized text comprehension involves attention and working memory (Cowan, 1999, 2005; Cowan et al., 2021) during the processing of terminological units (TUs). Additionally, factors such as the field of knowledge, expertise, experience, and level of education might also influence the post-editing process.
Keywords: Post-editing, terminological units (TUs), eye-tracking, retrospective protocol, comprehension process.
Resumen: La demanda actual de traducción especializada, los avances tecnológicos, el uso de herramientas y los plazos de entrega han influido en el producto y el proceso, fomentando los servicios de posedición. La posedición se refiere a los ajustes realizados a los productos arrojados por un traductor automático (Alves et al., 2016). Por consiguiente, ha surgido un interés por estudiar la calidad del producto y cuestiones lingüísticas como aspectos sintácticos, morfosintácticos y semánticos (Popovic et al., 2014; Koponen et al., 2012; Temnikova, 2010), sin investigar los procesos cognitivos implicados en la lectura con fines de posedición. El objetivo de este artículo es describir la comprensión de un texto especializado con fines de posedición. La recolección de la información se realizó mediante seguimiento ocular y protocolo retrospectivo, a tres traductores. Los participantes poseditaron un texto de 227 palabras del ámbito de salud. Los resultados mostraron un involucramiento de la atención y la memoria de trabajo (Cowan, 1999, 2005; Cowan et al., 2021) durante el procesamiento de unidades terminológicas (UTs). Además, factores como el campo de conocimiento, la experiencia y el nivel de escolaridad también podrían afectar el proceso de posedición.
Palabras clave: Posedición, unidades terminológicas (UTs), seguimiento ocular, protocolo retrospectivo, proceso de comprensión.
1. Introduction
The 21st century has witnessed a remarkable surge in demand for specialized translation services. Consequently, the translation industry has increasingly depended on technological advances and CAT (Computer Aided Translation) tools noticeably impacting both product and process. As a result, there has been a marked emphasis on the development and enhancement of digital competencies; alongside the refinement of cognitive processes to ensure a high-quality product. Using these technological resources has hastened the expansion of post-editing services, which entail the editing adjustments of machine-translated texts by translators and posteditors (Alves et al., 2016).
This development has enabled researchers within the field of translation to conduct studies on assessing product quality through scale measures (Popovic et al., 2014) or assessment based on type of errors (Koponen et al., 2012, Temnikova, 2010). However, his emphasis on product revision has somewhat sidelined the exploration of cognitive processes inherent in a post-editing process. Nevertheless, Kasperavičienė et al. (2020) assess that errors in Machine Translation (MT) involve additional cognitive effort, underscoring the importance of studying comprehension, attention, and memory cognitive processes which play a pivotal role in post-editing.
The objective of this case study is to describe the process of reading and comprehending a specialized text for post-editing purposes. Consequently, the first section of this paper introduces the theoretical framework comprising post-editing processes (Krings, 2001, Alves et al., 2016), specialized texts (Cabré, 1999, 2007), and perspectives on Working Memory (WM) (Cowan, 1999, 2005; Cowan et al., 2021). The second section outlines the methodological considerations adopted during the development of this case study. Lastly, the third section presents the results, discussion, and conclusions.
This study is framed within the empirical studies of the contemporary translation perspectives. Muñoz Martín (2008, 2017), and Alves and Hurtado Albir (2017) advocate for the strengthening of multi-methodological paradigms through the implementation of various data collection techniques, including the use of eye-tracker technology for such studies. Additionally, they underline the importance of interactive translation tools, and the usefulness of collaboration with fields such as computational linguistics, computer science, machine translation (MT), and post-editing of raw products (Alves & Hurtado Albir, 2017).
This case study represents one of the pioneering endeavors within the framework of the Research Program in Experimental Terminology initiated by the CITERM research group. Its main purpose is to enrich the intersection amongst terminology, specialized translation, and cognitive sciences including Fields such as Neurosciences, Linguistics, and Artificial Intelligence, among others.
2. Theoretical framework
Today, MT has become widely accessible and available for numerous language pairs. Likewise, there has been a significant surge in translation demand at more affordable rates coupled with the necessity for rapid delivery times. This has prompted both individuals and translation industries to embrace MT to meet these demands, deadlines and deliver, and translated texts. Despite technological advancements facilitating the translation process to some extent, it remains evident that MT outputs often lack cultural and contextual suitability for the target language and culture. Hence, there persists a crucial need for human involvement, whether in the capacity of translators or posteditors to ensure the overall adequacy of the whole process (Peña, 2023).
2.1 Post-editing
The concept of post-editing dates back to the late 1950s and early 1960s (García, 2012) with the advent of the automatic translation software. This software emerged as a response to the need for large industries to produce high volumes of translated documents within short delivery times. This situation prompted researchers to question the capabilities of languages and machines working together, thus fostering studies on the quality of the resulting product, and the necessity for translators to assume the role of post-editors, refining the raw translations into polished documents. At that time, this role demanded significant time and effort to perform. This was underscored by Fonseca et al. (2024) who advocate the importance of time in post-editing academic texts amid this escalating demand.
Furthermore, those responsible for post-editing often preferred translating from scratch to ensure a higher-quality finished product within reasonable timeframes. This subpar quality of MT products favored research on CAT tools; resulting in a significant impact on the industry from both economic and labor perspectives. This shift also marked the emergence of a new paradigm in translation services. Hence, humans progressively rely on technology to enhance quality and delivery times. This is a notable example of how technology and expertise merged to address the ongoing challenges of error reduction and productivity enhancement in industries.
The advancement became evident in the 1980s, causing a reflection on the digital competence of translators and post-editors. This situation involved proficiency in the use of computers, including skills in cursor positioning, and word processing. Subsequently, in the 1990s, with the advent of the World Wide Web, and Translation Memories (TM), major transformations positively impacted both the translation industry and the educational translation programs. Incorporating MT plugins with machine translation memory editors enabled translators to upgrade their skills, while researchers within the field focused primarily on conducting studies on quality products.
Since then, two crucial observations have come to light. Firstly, MT and post-editing emerged as economically viable options, particularly in translation industries. Secondly, human intervention remained decisive, as it played a pivotal role in ensuring product quality and was never replaced by technology.
This enhances the importance of translation quality as a paramount interest. Concerning MT products, clients can have the option to engage services for either light post-editing, comprising minor adjustments for comprehension purposes, or full post-editing to obtain publishable quality. This variety of post-editing services concurrently highlights quality as an interest for various studies.
In the past, such studies were conducted by companies seeking to improve quality rather than by academics aiming to contribute to theoretical or methodological advancements, largely due to the lack of cost-effectiveness in the process. However, this trend revealed that successful post-editing required favorable conditions; comprising technological progress and translation competence.
In the late 1990s, experimental research emerged, focusing on the process and product perspectives of machine translation. Numerous studies explored post-editing processes involving phenomena, such as cognitive effort, different MT systems, metrics, and error types associated with the cognitive effort, among other phenomena. These topics remain relevant and continue to garner interest. It has been demonstrated that akin to traditional translation, post-editing also involves a comprehension phase, thus warranting examination from a cognitive perspective. Krings (2001) categorized three types of efforts involved in this process: temporal effort, technical effort, and cognitive effort. Among these, temporal and technical efforts have been extensively studied with measures such as the Human-targeted Translation Edit Rate (HTER), which relies on features reflecting the complexity of a translation segment.
The level of difficulty has been assessed and provided insight into the cognitive effort required for the raw product adjustments. According to this measure, Snover et al. (2006), Specia and Farzindar (2010), Koponen et al. (2012), Daems et al. (2017), Koponen and Salmi (2017) and De Gibert and Aranberri (2019) have suggested that fewer adjustments imply less cognitive effort while low-quality raw product implies more adjustments, thus indicating more cognitive effort. Additionally, more attention is required for longer segments to ensure comprehension. However, the degree of cognitive effort involved in a post-editing process is not solely determined by the number of edits or the length of segments. Findings show that technical or temporal efforts are not always equivalent. Although progress in time measurement may be profitable for industries, understanding phenomena such as the cognitive processes and the associated cognitive effort in task performance can improve post-editing services in terms of time and quality; as well as, enhance translation competence. This assertion was demonstrated by Koglin et al. (2020) in their study on translating and post-editing metaphors. Their findings revealed that post-editing metaphors required less cognitive effort in contrast to translating metaphors from scratch.
Here, cognitive effort refers to the mental effort for reading texts, making adjustments to MT products, selecting the desired output, and reflecting on the chosen solutions (Lacruz, 2017). In this particular case, the post-editing task involved reading and comprehending a specialized text, as defined by Cabré (1999, 2007), as a written or oral production generated within specific professional settings. This approach is adopted due to the lack of available information on comprehending specialized texts for post-editing purposes. Similarly, considering that terminology plays a significant role in determining the level of specialty of texts and that may entail additional effort, attention is also directed in the processing of TUs concerning the focus of attention for reading with post-editing purposes.
2.2 Specialized discourse
This paper is framed within the Communicative Theory of Terminology (CTT) by Cabré (1999) which states that specialized texts comprise both oral and written texts occurring under distinctive production, transmission, and reception conditions. These texts adhere to a specific structure dictated by a particular field of knowledge. Specialized discourse occurs within professional settings, where interaction between producers and recipients revolves around topics within a given field of knowledge. Therefore, TUs are regarded as the core of this discourse and hold significant importance for post-editors in terms of recognizing, processing, and comprehending TUs within various usage contexts.
The aforementioned information highlights the various degrees of specialized discourse, particularly within scientific or technical texts, as emphasized by Cabré (2007) and Ferraresi (2019), which are crucial in fields including terminology or translation research. Prieto (2008) further asserted that degrees of specialization stem from linguistic choices made per the specialized communicative context. These choices are determined by text producers, considering variables such as terminological density or terminological variation, to ensure comprehension by target audiences. Factors including the amount of TUs (Cabré, 2000), the context of usage, the discursive conditions, and the source serve as indicators in determining the degree of specialization. Such factors pose a challenge for translators and post-editors in their endeavors.
Research on terminology and specialized discourse has been a subject of interest and extensive study among terminologists and applied linguists. However, empirical research on these fields has recently sparked interest in areas such as terminology, translation, and neurosciences, among others. Within the realm of terminology and degree of specialization, a particular focus of interest has been on describing TUs within their linguistic context. Additionally, studies have explored the similarities and differences between specialized and general texts as highlighted by Cabré and Estopá (2005).
Studies focusing on terminology from a process perspective remain limited, underscoring the necessity to empirically explore how participants process TUs during translation or post-editing tasks. Such inquiries aim to glean insight into the cognitive processes involved in this processing. The cognitive sciences provide support for this endeavor by offering the means of empirically testing hypotheses concerning language within authentic usage contexts.
2.3 Comprehension and post-editing
Danks and Griffin (1997) emphasized the significance of comprehension for translation purposes. They claimed that comprehension for translation encompasses an additional effort, as translators must consider aspects including conditions of the discourse producer, the target audience, and the author's intention when reading and comprehending texts for translation purposes. Furthermore, they highlighted the involvement of both the source and target language lexicons in the translation process. Translators are thus prompted to mentally search for appropriate language equivalents in the target language and culture during the source language comprehension phase. This suggests that translators and post-editors also rely on both source and target languages to ensure the production of a high-quality final product. Consequently, attention and WM cognitive processes are likely involved when engaging with specialized discourse. While Bailer and Tomitch’s (2020) study investigates the role of working memory during reading tasks from a general perspective and elucidates how comprehension may vary among individuals, her findings also contribute to understanding the reading process for postediting purposes by offering insights into the cognitive processes involved in achieving thorough text comprehension.
According to their model, comprehension comprises a variety of interconnected factors that contribute to the production of a target text. From a translation process perspective, Danks and Griffin (1997) argue that comprehension entails multiple levels of processing, ultimately leading to the production of an adequate target text. Their model posits an interaction between the top and down levels in both languages and cultures.
Their proposal indicates that while source text comprehension is essential, it is not a solitary process. Instead, translators' backgrounds are crucial in generating potential reformulations in the target language, while simultaneously comprehending the source language and culture. This perspective indicates that when translating specialized text, translators and post-editors may require greater cognitive resources, particularly concerning both the source and target languages. Furthermore, their model implies that translators and post-editors also need a thorough understanding of machine-translated source texts to make proper adjustments.
2.4 Attention and Working Memory (WM)
Attention and WM are two cognitive processes that have traditionally been studied independently; however, attention plays a crucial role in WM, as it oversees the activation, maintenance, and manipulation of representations within working memory (Kiyonaga & Egner, 2013). Cowan (1999, 2005) and Cowan et al. (2021) proposes an embedded-processes model of WM that highlights the comprehensive relationship between memory and attention. According to Cowan’s model allocation is central to the processing stimuli, enhancing his pivotal role in working memory processes.
Cowan et al. (2021, p. 45) defines WM as “the ensemble of components of the mind that hold a limited amount of information temporarily in a heightened state of availability for use in ongoing information processing.” Given that memory storage is distributed throughout the cerebral cortex and its access is contingent upon attention, a thorough understanding of attention is likely crucial for effective information processing. Consequently, a better understanding and allocation of attention lead to improved activation of WM, thereby enhancing performance in tasks such as specialized text reading and comprehension for post-editing purposes.
In this context, the Embedded-Processes Model proposed by Cowan (1999, 2005) and Cowan et al. (2021) is employed, illustrating the interplay between memory and attention during the processing of various stimuli. Long-term memory is depicted as a reservoir of information while WM involves two levels of activation in long-term memory. This model also comprises two processing phases that operate independently of sensory modality. The first phase, lasting milliseconds, pertains to motor persistence, whereas the second phase, lasting seconds, involves storage conceived as a memory trace of the stimulus in question. During the latter phase, attention is used to activate a subset of characteristics consistent with the stimulus in long-term memory. Within the activated portion of long-term memory, a specific subset within the attentional focus is also activated. The process is triggered by the recording of sensory information and is governed by the central executive component of WM (Cárcamo, 2018).

Information from WM originates from various hierarchical levels, such as long-term memory, a subset of activated long-term memory, and a subset of activated memory within the focus of attention and awareness. Additionally, processing capacities differ across these levels with the focus of attention being limited in duration. These processes are cooperatively controlled by voluntary and involuntary mechanisms, such as the central executive and the attentional orienting system, respectively. Even stimuli with unchanged physical attributes over time, despite being irrelevant to individuals, still activate certain characteristics in memory without eliciting awareness. Within perception, awareness enhances the quantity of characteristics encoded, and, while in memory, it facilitates the availability of new episodic representations for explicit recall (Cowan, 1999).
Attention is considered to regulate the activation of representations in long-term memory to be used in short-term memory. Within WM, these representations are activated, but only one receives the focus of attention and undergoes processing (Kiyonaga & Egner, 2013). To study attention, researchers often use the eye-tracking technique which enables the identification of Areas of Interest (AOI) during the reading process. Indicators such as fixations and refixations provide insights into the level of attention allocated to certain areas in a text.
3. Experimental procedure
This case study comprised both quantitative and qualitative data. Eye tracker data was juxtaposed to a retrospective protocol. Muñoz Martín (2017) suggests that computational translatology should not be limited to quantitative information nor should cognitive translatology solely rely on qualitative information. Instead, there is a growing trend to employ methodological approaches that incorporate quantitative and qualitative data to comprehensively explore phenomena. In this context, a retrospective protocol was used to complement the eye-tracker data, enabling a nuanced understanding of a postediting process.
3.1 Participants
Three trained native Spanish translators, comprising one male and two females voluntarily agreed to participate in this case study. None of them reported having any visual or neurological condition that would hinder their participation. Similarly, all participants reported having a minimum of one year of experience as freelance translators in English/Spanish, and Spanish/English language combination pairs, which are the most in-demand combinations within the Colombian context. Additionally, all three participants mentioned possessing both declarative and procedural knowledge in the field of translation. Prior to the study, they all signed an informed consent and provided sociodemographic information.
3.2 Method and materials
The specialized text was rated as high level, based on the criteria established by Prieto (2008)1. It consisted of an abstract containing 227 words, taken from The Journal of Pharmacology and Therapeutics. The translation from English to Spanish was conducted using Google's automatic translator, a machine-learning system that processes information through neural networks2.
The decision to use this machine translation tool was based on previous research findings on post-editing (Carl et al., 2011; Carl et al., 2015). Similarly, Teneche Sánchez (2014) suggested this tool as one of the most effective among various machine translation systems. For data collection, an Eye-tracker was used in conjunction with a retrospective verbalization3. The eye-tracking technique compiles quantitative data and has seen increasing application in translation studies for examining cognitive processes. Hvelplund (2014) highlights an advantage of this technique, which lies in the ability to precisely reflect translators' focus of attention both spatially and temporally.
The eye tracker enables researchers to discern various types of eye movements including fixations, saccades, and refixations. As described by Rayner and McConkie (1977, p. 186), “the eye does not move smoothly in reading but rather executes a series of rapid movements (saccades), each followed by a relatively long period during which time the eye is relatively stationary (fixation)”. Similarly, Korpal (2015, p. 3) states that the number of refixations and regressions during a reading task is an indicator of cognitive effort; additionally, they “are believed to be of a corrective nature and in studies involving reading they often result from comprehension problems”.
3.3 Procedure
First, the participants signed an informed consent and completed a demographic survey. Second, each of them was asked to read a machine-translated text produced by Google for subsequent post-editing purposes. For this, the participants had 2.5 minutes and were placed in front of the monitor and the eye-tracker, at a distance of 50 cm, in a dark room, without visual and auditory distractions. The automatic translated text was presented on a single screen, black background, white text, and size 18 pt. Participants were instructed to rest their chins on a chin rest to minimize gaze deviations. Third, to verify the purpose of the reading, the participants orally highlighted the segments that needed adjustments for an adequate finished product. This data was not analyzed for this case study. The focus of this study was to analyze the working memory and the focus of attention during post-editing. Then, the participants verbalized their reading comprehension process and indicated which lexical units caused the greatest effort for comprehension. Verbalizations were compared with eye-tracker data, specifically examining the number and durations of fixations4.
4. Analysis and results
For the data analysis, first, adhering to Rayner’s (1998) data quality criteria, fixations occurring between 200 and 250 ms were the subject of analysis. Second, the identification of the lexical units that posed the greatest comprehension challenge was conducted. Third, the number and duration of fixations and refixations extracted from the eye-tracker scan path were compared with the lexical units derived from verbalizations (see Figure 3). This comparative analysis facilitated the identification of the AOI corresponding to specific lexical units, namely the acronyms of the following terms: Adenocarcinoma Ductal Pancreático (PDA), Microambiente Tumoral Único (TME), Invasión Perineural (PNI), and two single syntagmatic units, Mecanismos autocrinos y paracrinos and Hipertrofia neural dramática.
Subsequently, these AOI were subjected to a descriptive statistical analysis considering the number and duration of fixations, along with the frequency of refixations. Furthermore, the fixation and refixation data were juxtaposed with the participants’ verbalizations to confirm the findings obtained from the eye tracker.

4.1 Average fixation count within AOI
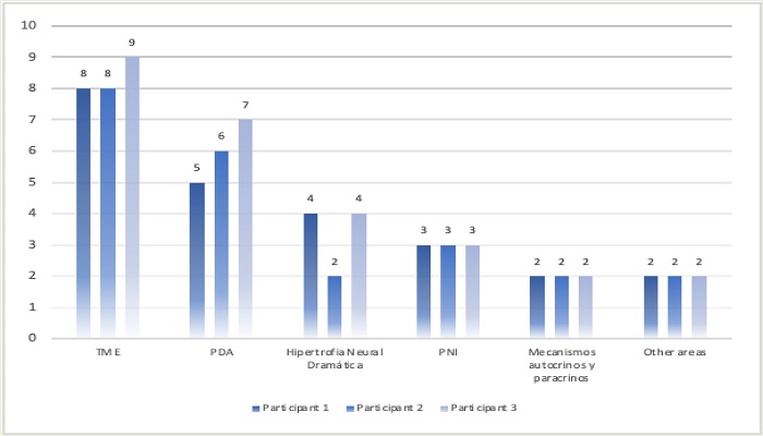
The three participants exhibited a similar number of fixations for the AOI associated with the acronyms, TME, PDA, and PNI. Specifically, the average number of fixations for TME was 19.76, with a range from 19 to 20, and a SD of 0.577. For PDA, the average number of fixations was 19, ranging from 16 to 22, with an SD of 3. Regarding PNI, the average fixation count was 16, with a range from 14 to 18, respectively, and an SD of 2. Concerning Mecanismos Autocrinos y Paracrinos, the average number of fixations was 15, with a range from 10 to 20, and a SD of 5. For Hipertrofia Neural Dramática the average number of fixations was 16.67, ranging from 10 to 24 and a SD of 7.024 (See Table 1).

Regarding the number of fixations, Participant 1 exhibited 20 fixations for the TME acronym, 19 fixations for the PDA acronym, and 14 fixations for the PNI acronym. Participant 2, in turn, displayed 19 for the TME acronym, 22 fixations for the PDA acronym, and 16 fixations for the PNI acronym. Finally, Participant 3 exhibited 20 for the TME acronym, 16 fixations for the PDA acronym, and 18 fixations for the PNI acronym.
Concerning the other two AOIs, there was a variability in the number of fixations among participants. In the Hipertrofia Neural Dramática AOI, Participant 1 recorded 10 fixations, Participant 2 recorded 16 fixations, and Participant 3 recorded 24 fixations. Conversely, for Mecanismos Autocrinos y Paracrinos AOI, Participant 1 registered 15 fixations, Participant 2 recorded 20, and Participant 3 recorded 10.
Furthermore, a low average is observed for other TUs different from those selected as AOI. On average, 2 fixations were evidenced for areas distinct from those defined as AOIs (See Figure 4).

Additionally, the syntagmatic units Mecanismos autocrinos y paracrinos and Hipertrofia neural dramática, along with the acronyms TME and PDA exhibited the highest number of fixations. Notably, TME displayed a greater number of fixations despite its fewer occurrences in the text compared to the other TUs.
In contrast to verbalizations, the aforementioned findings suggest that the TUs within a text entail the greatest demand for comprehension among post-editors. Similarly, the acronyms also present a challenge, both in terms of understanding and post-editing. All three participants reported the need to repeatedly go back to the expansion of the acronym to grasp its meaning in context. Participant 1 mentioned: “The segments that required the most effort were those that ... were represented ... by acronyms ... because the acronyms were in English ... I had to go back several times each time they were mentioned to recall what they stood for ...”.
4.2 Average Fixation duration within the AOI
Consistent with the previous results, the TME acronym exhibited an average fixation time of 1,259.33 ms, ranging from a minimum of 1,180 ms to a maximum of 1,400 ms, with an SD of 122.153 ms. The PDA acronym showed an average fixation time of 1,138.33 ms, with a minimum of 1,020 ms, and a maximum of 1,230 ms. along with an SD of 107.51 ms. For the PNI acronym, the average fixation time was 656 ms, ranging from a minimum of 652 ms to a maximum of 660 ms, with an SD of 4 ms. Regarding the Hipertrofia Neural Dramática syntagmatic unit, the average fixation duration was 973.33 ms, with a minimum of 960 ms, a maximum of 990 ms, and an SD of 15.275 ms. As for the Mecanismos Autocrinos y Paracrinos syntagmatic unit, the average fixation duration was 766.67 ms, a minimum of 760 ms, a maximum of 775 ms, along with an SD of 7.638 ms (See Table 2).

Participants 1, 2, and 3 devoted more time to processing acronyms, namely, TME with fixation durations of 1,400 ms, 1,180 ms, and 1,198 ms; and PDA with fixation durations of 1,230 ms, 1,020 ms, and 1,165 ms, respectively. Despite PNI also being an acronym, it showed shorter fixation durations of 660 ms, 652 ms, and 656 ms, respectively, in contrast with TME and PDA acronyms. The fixation durations for Hipertrofia Neural Dramática were 970 ms, 990 ms, and 960 ms, respectively, while for Mecanismos Autocrinos y Paracrinos syntagmatic unit, they were 775 ms, 760 ms, and 765 ms (See Figure 5).

Zagermann et al. (2016, p. 79-80) claim that “the fixation time has been related to the level of cognitive processing with a high fixation duration indicating an increased strain on the working memory”. Moreover, processing that demands more effort is frequently associated with heightened task difficulty (Hvelplund, 2014). In this particular case study, the heightened task difficulty becomes apparent during the reading and comprehension process particularly, when dealing with acronym post-editing in the absence of the acronym expansion.
Participant 2 expressed that the primary challenge lay in understanding acronyms “I have a doubt, but I think it has to do with the fact that I don't quite understand this sentence: TME is composed by cellular components that arrange different signaling mechanisms to cause tumorigenesis and the disease progression. I underlined it because tumorigenesis refers to a tumor's origin or appearance, but I don't understand why the cellular components arrange signaling mechanisms. This is my doubt, that's why I underlined it, and that favors the tumor's appearance. This is something I would search about on the internet, before leaving it like that”.
4.3 Number of refixations in the AOI
Refixations denote instances when the gaze returns to a point of interest. In this context, despite the fewer occurrences in the text compared to the PDA acronym, the TME acronym exhibited an average number of refixations of 8.33, ranging from 8 to 9 with an SD of 0.57. The PDA acronym exhibited an average number of refixations of 6, ranging from a minimum of 5 to a maximum of 7 along with an SD of 1. PNI exhibited an average number of refixations of 3, with both the minimum and maximum being a 3 and an SD of 0. Hipertrofia Neural Dramática exhibited an average number of refixations of 3.33, with a minimum of 2, a maximum of 4, and an SD of 1.155. Finally, Mecanismos Autocrinos y Paracrinos exhibited an average number of refixations of 2, with a minimum and a maximum of 2 and SD of 0 (See Table 3).

All participants showed similar behavior in terms of the number of fixations for each TUs of interest. Specifically, for the TME acronym, Participants 1 and 2 exhibited 8 refixations each, while Participant 3 had 9 refixations. Regarding the PDA acronym, Participant 1 recorded 5 refixations, Participant 2 recorded 6 refixations, and Participant 3 recorded 7 refixations. For the PNI acronym, all participants had 3 refixations. Concerning the syntagmatic units, Participant 1 had 4 refixations for Hipertrofia Neural Dramática, Participant 2 had 2 refixations, and Participant 3 had 4 refixations. For Mecanismos Autocrinos y Paracrinos, all participants exhibited 2 refixations (See Figure 6).

On the one hand, these refixations indicate the heightened need for focused attention to facilitate better information retrieval. This also implies that WM might have facilitated participants in recalling the acronym and its expansion at the beginning of the text. However, as indicated in the verbalizations, it appears that memory storage was not effectively activated for recalling the meaning of the acronym when needed.
On the other hand, according to Cowan et al. (2021) model, refixations within an AOI might indicate that the information processed by WM had not been adequately stored in the long-term memory. Therefore, this difficulty in retrieving proper information may impede the participant’s ability to fulfill the assigned task in this study. The eye-tracker findings revealed that all participants revisited the acronyms multiple times to recall their meanings, despite the expanded forms of those acronyms being provided at the beginning of the text. This is further supported by the following statement of Participant 3: “I had to go back several times to the acronym mentioned to remember what it referred to, and then I had to check PNI ... to understand the term.”
Similarly, this also suggests that comprehension was challenging possibly due to a lack of familiarity with the specialized nature of the subject area. Refixations, being corrective, often indicate comprehension difficulties in reading studies. When a reader fails to identify the most appropriate point of interest, the word must be re-examined for proper understanding (Korpal, 2015). Participant’s 2 statement supports this: “The segments that generated the most effort … are those that … are very specific terms and those that were given by acronyms; it is a text that has a lot of medical terminology that I am unfamiliar with; I did not comprehend that part ... I had to reread it to understand it, especially because of the technical aspect of the language.”
In this case study, verbalizations also demonstrated that refixations accounted for both making necessary adjustments to reach a high-quality finished product and to enhance comprehension of the text: “... The acronyms in English are wrong. It is necessary to maintain a consistency of the acronyms; I point out the first segment that says ‘overall survival rate combined with the lowest stage compared to any other cancer’ because I need a pause there. The sentence is very long.” (Participant Two).
4. Discussion
The studies conducted on postediting have shed light on various discursive aspects including word order, segment length, spelling, syntactic as well as morphosyntactic features. Moreover, they have favored the assessment of the effort expended by translators and post-editors, offering valuable insights for further research and contributions to this field of knowledge.
These contributions, while significant in studying postediting adjustments, may not offer sufficient insight into the handling of terminology. Hence, this endeavor aims to present evidence of the behavior of three participants when dealing with TUs. The findings underscore the importance of memory and attention in a specialized text-reading process for post-editing. Implicit in this task is the critical role of text comprehension in identifying proper adjustments to the raw product.
This discussion is approached from three primary perspectives in light of the aforementioned findings: specialized discourse (Cabré, 1999, 2007), the WM model (Cowan, 1999, 2005; Cowan et al., 2021), and the translation process (Danks & Griffin, 1997).
Firstly, the examination of specialized discourse is conducted through TUs, which are exemplified in this case study by acronyms and syntagmatic units. In terms of specialized discourse, the findings suggest the significance of language and cultural knowledge, alongside the importance of disciplinary expertise.
The latter aspect was evident as participants assumed the role of post-editors, requiring them to comprehend the raw source product to identify segments to be adjusted. Consequently, TUs emerge as focal points demanding special attention due to the knowledge they convey. This aligns with Cabré (1999), who emphasized the pivotal role of terminology. The findings underscore the need for translators and post-editors to effectively manage terminology and identify appropriate terminological resources for conducting searches.
These findings also illustrate the significance of the attentional control required, particularly given the level of specialty of the text. Factors including the field of knowledge, expertise in translating, text comprehension, and terminology management, especially acronyms and syntagmatic units, play a decisive role in producing a high-quality product meeting publishable standards. This was evident in the increased number of fixations and refixations observed for these lexical units compared to others.
Additionally, the increased number of fixations on acronyms, based on Cowan (2005) and Cowan et al. (2021), indicates that the focus of attention is directed toward aspects relevant to the stimulus. In this context, acronyms and syntagmatic units, which are commonly used in specialized texts (Giraldo Ortiz, 2008) attract heightened attention. Similarly, the duration and number of fixations and refixations in the acronyms, along with the participants’ verbalizations coincide with Giraldo Ortiz’s (2008, 2012) findings regarding acronyms in specialized discourse. These acronyms are often challenging for non-experts to understand, but facilitate comprehension for experts. In this case, acronyms represented a difficulty for translators and post-editors as they lacked expertise or familiarity with the field of knowledge.
Secondly, in accordance with Cowan’s et al. (2021) model, the authors highlight the involvement of WM and attention and how the latter plays a role in activating a portion of long-term memory to execute a reading task for post-editing purposes.
The findings suggest that all participants accessed long-term storage systems, particularly lexical memory and semantic memory storage systems to perform this post-editing task. Access to these memory systems relies on the ability to exercise control over the focus of attention whether in terms of cognitive flexibility (shifting focus to select another information option) or cognitive stability (maintaining focus to analyze the selected information). This cognitive control exhibited by participants may pertain to the central executive level as proposed by Cowan (1999, 2005) and Cowan et al. (2021).
From a translation perspective, the findings suggest that translators and post-editors direct their focus of attention toward key syntagmatic and pragmatic text conditions conducive to text comprehension. In this instance, the focus of attention lies on TUs represented by acronyms and syntagmatic units. This attention entails concentrating on and filtering relevant information to be processed by WM to facilitate comprehension of TUs within their usage context. This phenomenon is also observed in Gómez Romero et al. (2019), who noted an increased number and duration of fixations on the TUs of interest compared to other lexical units. Participants’ visual attention was similarly focused on TUs in both source and target texts, notwithstanding individual differences among participants. Additionally, it was indicated that spending more time fixating on TUs implies a greater cognitive effort for comprehension purposes, particularly by non-experts.
The fixation numbers and time spent on TUs suggest that the participants may not have been thoroughly familiar with the terminology or the field of knowledge. This could be attributed to a deficiency in storing information in their long-term memory. This observation aligns with Cowan's WM model which suggests that long-term memory operates at two interconnected levels within the functioning of working memory: a portion of activated long-term memory and a subset associated with the focus of attention. Accordingly, the activation of information pertinent to TUs in the participant’s long-term memory seems to have been minimal, indicating that such information had not been previously stored.
Thirdly, Danks and Griffin’s (1997) model of the translation process outlines several levels of reading processing: phonological, orthographic, lexical, phrasal, propositional, microstructure, and situation model. These levels comprise both top-down and bottom-up processes that facilitate text comprehension for translation purposes.
Concerning the identification of refixations during this task execution, akin to the translation process, it could stem from the dynamic and interactive processes undertaken by translators during their comprehension phase. When translating a text, translators engage in a dual activity: initially, they focus on comprehending and acquainting themselves with the semantic content of the source text, while simultaneously considering various translation options (Danks & Griffin, 1997). This dual cognitive demand might account for revisiting text or terminological segments that have been previously read.
Translators/post-editors are likely to use similar strategies, often navigating back and forth within the text to enhance comprehension and identify suitable adjustments. Therefore, refixations during translation and post-editing might not necessarily signal a lack of comprehension. Instead, revisiting sections of the text can contribute to producing more refined end products. While Korpal (2015) indicates refixations as indicative of comprehension difficulties, evidence reveals that in postediting tasks refixations may primarily concern ensuring text consistency across specialized domains, terminological accuracy, and effective knowledge transmission, rather than solely comprehension-related issues.
4. Conclusion
Based on the preceding discussion, the authors proposed the following representation (see Figure 7) to illustrate a specialized text reading and comprehension process tailored for post-editing purposes. This representation merges various aspects from the Danks and Griffin (1997) model with the Cowan et al. (2021) model. It primarily illustrates the intersectionality among terminology, specialized translation, and cognitive sciences, offering potential insights into exploring cognitive processes in translation and post-editing tasks.

The source text, being a machine-translated specialized text, requires thorough comprehension, considering the interactive reading processes, involving both top-down and bottom-up processing levels of translators, along with their prior knowledge. This process aligns with the well-described models of reading from psycholinguistics outlined by Kintsch and Van Dijk (1978), Kintsch (1988), Gernsbacher (1990), Just and Carpenter (1992), Goldman and Varma (1995), Goldam et al. (1996).
Translators and post-editors must engage in reading for comprehension purposes, particularly, in specialized reading and comprehension tasks for post-editing purposes. In this particular case study, they anticipate the required adjustments for the MT source text. To achieve this, they consider various factors including discursive and textual conditions as well as linguistic, communicative, and neurocognitive aspects of TUs, comprising acronyms and syntagmatic units.
This reading process also comprises cognitive processes such as attention and memory, which collectively facilitate the activation of WM, essential for task performance. Drawing from Cowan's working memory model, this activation involves two interconnected levels of long-term memory: first, the activation of a portion of long-term memory; and second the activation of more specific attributes within that portion, corresponding to the focus of attention. In this case study this focus was directed toward TUs, specifically acronyms and syntagmatic units. Such cognitive processes enable the production of a refined post-edited product.
It would be significant to further conduct similar studies involving larger sample sizes, integrating analyses of pupil dilation across diverse language pairs, and utilizing a variety of text genres and proficiency levels. Such endeavors would effectively broaden the scope of inquiry, and deepen the study of reading comprehension from a cognitive perspective.
References
Alves, F., Szpak, K. S., Gonçalves, J. L., Sekino, K., Aquino, M., Araújo e Castro, R., Koglin, A., Fonseca, N. B., & Mesa-Lao, B. (2016). Investigating Cognitive Effort in Post-Editing: A Relevance-Theoretical Approach. In S. Hansen-Schirra & S. Grucza (Eds.), Eyetracking and Applied Linguistics (pp. 109–145). Language Science Press. https://doi.org/10.17169/langsci.b108.296
Alves, F., & Hurtado Albir, A. (2017). Evolution, Challenges, and Perspectives for Research on Cognitive Aspects of Translation. In J. W. Schwieter & A. Ferreira (Eds.), The Handbook of Translation and Cognition (pp. 537–554). John Wiley & Sons.
Bailer, C., & Tomitch, L. M. B. (2020). Leitura no cérebro: processos no nível da palavra e da sentença. Cadernos de Tradução, 40(2), 149–184. https://doi.org/10.5007/2175-7968.2020v40nesp2p149
Cabré, M. T. (1999). La terminología. Representación y comunicación. Una teoría base comunicativa y otros artículos. Universitat Pompeu Fabra.
Cabré, M. T. (2000). La enseñanza de la terminología en España: problemas y propuestas. Hermēneus: Revista de Traducción e Interpretación, 2, 41–94.
Cabré, M. T. (2007). Constituir un corpus de textos de especialidad: condiciones y posibilidades. In M. Ballard & C. Pineira-Tresmontant (Eds.), Les corpus en linguistique et en traductologie (pp. 89-106). Artois Presses Université.
Cabré, M. T., & Estopá, R. (2005). Unidades de conocimiento especializado: caracterización y tipología. In M. T. Cabré & C. Bach (Eds.), Coneixement, llenguatge i discurs especialitzat (pp. 78–83). Universitat Pompeu Fabra.
Cárcamo, B. (2018). Modelos de la Memoria de Trabajo de Baddeley & Cowan: una revisión bibliográfica comparativa. Revista Chilena de Neuropsicología, 13(1), 6–10. http://dx.doi.org/10.5839/rcnp.2018.13.01.02
Carl, M., Dragsted, B., Elming, J., Hardt, D., & Jakobsen, A. L. (2011). The Process of Post-Editing: A Pilot Study. In B. Sharp, M. Zock, M. Carl & A. L. Jakobsen (Eds.), Proceedings of the 8th International NLPCS Workshop. Special Theme: Human-Machine Interaction in Translation (pp. 131–142). Samfundslitteratur.
Carl, M., Gutermuth, S., & Hansen-Schirra, S. (2015). Post-editing Machine Translation: Efficiency, Strategies and Revision Processes in Professional Translation Settings. In A. Ferreira & J. Schwieter (Eds.), Psycholinguistic and Cognitive Inquiries into Translation and Interpreting (pp. 145–174). John Benjamins Publishing Company.
Cowan, N. (1999). An Embedded-processes Model of Working Memory. In A. Miyake & P. Shah (Eds.), Models of Working Memory: Mechanisms of Active Maintenance and Executive Control(pp. 62–101). Cambridge University Press.
Cowan, N. (2005). Working Memory Capacity. Psychology Press.
Cowan, N., Candice, C. M., & Naveh-Benjamin, M. (2021). An Embedded-processes Approach to Working Memory. How is it Distinct from Other Approaches and to what Ends? In R. Logie, V. Camos & N. Cowan (Eds.), Working Memory. State of the Science (pp. 44–84). Oxford University Press. https://doi.org/10.1093/oso/9780198842286.003.0003
Daems, J., Vandepitte, S., Hartsuiker, R. J., & Macken, L. (2017). Identifying the Machine Translation Error Types with the Greatest Impact on Post-editing Effort. Frontiers Psychology, 8(1282), 1–15. https://doi.org/10.3389/fpsyg.2017.01282
Danks, J. H., & Griffin, J. (1997). Reading and Translation. In J. H. Danks, G. M. Shreve, S. B. Fountain & M. K. McBeath (Eds.), Cognitive Processes in Translation and Interpreting (pp. 161–175). Sage.
De Gibert, O., & Aranberri, N. (2019). Estrategia multidimensional para la selección de candidatos de traducción automática para post-edición. Linguamática, 11(2), 3–16. https://doi.org/10.21814/lm.11.2.277
Ferraresi, A. (2019). How specialized (or popularized)? Terminological Density as a Clue to Text Specialization in the Domain of Food Safety. Lingue e Linguaggii, 29, 17–39. https://doi.org/10.1285/i22390359v29p17
Fonseca, N. B. de L., Nunes, L. P., & Vieira, M. R. (2024). Esforço temporal em processos de escrita e de pós-edição acadêmicas na área de educação. Cadernos de Tradução, 44(1), 1–18. https://doi.org/10.5007/2175-7968.2024.e96629
García, I. (2012). A Brief History of Post-Editing and of Research on Post-Editing. In A. Pym & R. A. Assis (Eds.), Special Issue on Translation Studies (pp. 291–312). Várzea da Rainha Impressores, S. A.
Gernsbacher, M. A. (1990). Language Comprehension as Structure Building. Lawrence Erlbaum Associates, Inc.
Giraldo Ortiz, J. J. (2008). Análisis y descripción de las siglas en el discurso especializado de genoma humano y medio ambiente. [Doctoral thesis]. Universitat Pompeu Fabra. https://repositori.upf.edu/handle/10230/11792?show=full
Giraldo Ortiz, J. J. (2012). Caracterización de las siglas especializadas: el caso de los ámbitos de genoma humano y medio ambiente. Lenguaje, 40(2), 507–532. https://doi.org/10.25100/lenguaje
Goldman, S. R., & Varma, S. (1995). CAPing the Construction-integration Model of Discourse Comprehension. In C. A. Weaver, S. Mannes & C. R. Fletcher (Eds.), Discourse Comprehension: Essays in Honor of Walter Kintsch (pp. 337–358). Lawrence Erlbaum Associates, Inc.
Goldman, S. R., Varma, S., & Coté, N. (1996). Extending Capacity-constrained Construction Integration: Toward "Smarter" and Flexible Models of Text Comprehension. In B. K. Britton & A. C. Graesser (Eds.), Models of Understanding Text (pp. 73–113). Lawrence Erlbaum Associates, Inc.
Gómez Romero, Y. A., Giraldo Ospina, D. L., Naranjo Ruiz, M., Pineda Rojas, J., & Suarez de la Torre, M. (2019). Terminología experimental y traducción especializada: un estudio sobre la distribución de la atención visual y la presión de tiempo. Terminàlia, 20, 20–29.
Hvelplund, K. T. (2014). Eye Tracking and the Translation Process: Reflections on the Analysis and Interpretation of Eye-Tracking Data. In R. Muñoz Martín (Ed.), Minding Translation (pp. 201–223). Universitat d’Alacant.
Just, M. A., & Carpenter, P. A. (1992). A Capacity Theory of Comprehension: Individual Differences in Working Memory. Psychological Review, 99(1), 122–149. https://doi.org/10.1037/0033-295X.99.1.122
Kasperavičienė, R., Motiejūnienė, J., & Patašienė, I. (2020). Avaliação da qualidade da produção de tradução automática: abordagem de avaliação cognitiva em um experimento com rastreamento ocular. Texto Livre, 13(2), 271–285. https://doi.org/10.35699/1983-3652.2020.24399
Kintsch, W., & Van Dijk, T. A. (1978). Toward a Model of Text Comprehension and Production. Psychological Review, 85(5), 363–394. https://doi.org/10.1037/0033-295X.85.5.363
Kintsch, W. (1988). The Role of Knowledge in Discourse Comprehension: A Construction Integration Model. Psychological Review, 95(2), 163–182. https://doi.org/10.1037/0033-295X.95.2.163
Kiyonaga, A., & Egner, T. (2013). Working memory as Internal Attention: Toward an Integrative Account of Internal and External Selection Processes. Psychonomic Bulletin & Review, 20(2), 228–242. https://doi.org/10.3758/s13423-012-0359-y
Koglin, A., Moura, W., & Silveira, J. (2020). Uma investigação empírica do esforço cognitivo despendido para pós-editar metáforas traduzidas automaticamente em comparação com a tradução manual de metáforas. Calestroscópio, 8, 55–76. https://doi.org/10.58967/caletroscopio.v8.n.2020.4573
Koponen, M., Aziz, W., Ramos, L., & Specia, L. (2012). Post-editing Time as a Measure of Cognitive Effort. In S. O’Brien, M. Simard, & L. Specia (Eds.), Proceedings of the AMTA 2012 Workshop on Post-editing Technology and Practice(pp. 11–20). Association for Machine Translation in the Americas.
Koponen, M., & Salmi, L. (2017). Post-editing Quality: Analysing the Correctness and Necessity of Post-editor Corrections. Linguistica Antverpiensia, New Series: Themes in Translation Studies, 16, 137–148. https://doi.org/10.52034/lanstts.v16i0.439
Korpal, P. (2015). Eye-tracking in Translation and Interpreting Studies: The Growing Popularity and Methodological Problems. In L. Bogucki & M. Deckert (Eds.), Accessing Audiovisual Translation (pp. 199–212). Peter Lang.
Krings, H. P. (2001) Repairing Texts: Empirical Investigations of Machine Translation Post-editing Process.The Kent State University Press.
Lacruz, I. (2017). Cognitive Effort in Translation, Editing, and Post-Editing. In J. Schwieter & A. Ferreira (Eds.), Handbook of Translation and Cognition (pp. 386–401). Wiley & Sons.
Muñoz Martín, R. (2008). Apuntes para una traductología cognitiva. In L. Pegenaute, J. A. Decesaris, M. Tricás & E. Bernal (Eds.), Actas del III Congreso Internacional de la Asociación Ibérica de Estudios de Traducción e Interpretación. La traducción del futuro: mediación lingüístca y cultural en el siglo XXI(pp. 65–75). PPU.
Muñoz Martín, R. (2017). Looking Toward the Future of Cognitive Translation Studies. In J. Schwieter & A. Ferreira (Eds.), The Handbook of Translation and Cognition (pp. 555–572). Wiley Blackwell.
Peña, A. A. (2023). Challenging Machine Translation Engines: Some Spanish-English Linguistic Problems put to the Test. Cadernos de Tradução, 43, 1–26. https://doi.org/10.5007/2175-7968.2023.e85397
Popovic, M., Lommel, A., Burchardt, A., Avramidis, E., & Uszkoreit, H. (2014). Relations between Different Types of Post-Editing Operations, Cognitive Effort, and Temporal Effort. In M. Cettolo, M. Federico, L. Specia & A. Way (Eds.), Proceedings of the 17th Annual Conference of the European Association for Machine Translation(pp. 191–198). European Association for Machine Translation.
Prieto, J. A. (2008). Información Gráfica y grados de especialidad en el discurso científico-técnico: un estudio de corpus. [Doctoral thesis]. Universidad de Granada. https://digibug.ugr.es/handle/10481/1895
Rayner, K. (1998). Eye movements in reading and information processing: 20 years of research. Psychological Bulletin, 124(3), 372–422. https://doi.org/10.1037/0033-2909.124.3.372
Rayner, K., & McConkie, G. W. (1977). Perceptual Processes in Reading: The perceptual Spans. In A. S. Reber & D. L. Scarborough (Eds.), Toward a Psychology of Reading: The Proceedings of the CUNY Conferences (pp. 183–206). Lawrence Erlbaum.
Snover, M., Dorr, B., Schwartz, R., Micciulla, L., & Makhoul, J. (2006). A Study of Translation Edit Rate with Targeted Human Annotation. In M. Cettolo, M. Federico, L. Specia & A. Way (Eds.), Proceedings of the 7th Conference of the Association for Machine Translation of the Americas: Visions for the Future of Machine Translation (pp. 223–231.). Association for Machine Translation in the Americas.
Specia, L., & Farzindar, A. (2010). Estimating Machine Translation Post-Editing Effort with HTER. In V. Zhechev (Ed.), Proceedings of the Second Joint EM+/CNGL Workshop Bringing MT to the User: Research on Integrating MT in the Translation Industry (JEC 10) (pp. 33–43). Association for Machine Translation in the Americas.
Temnikova I. (2010). Cognitive Evaluation Approach for a Controlled Language PostEditing Experiment. In Proceedings of the International Conference on Language Resources and Evaluation(pp. 17–23). European Language Resources Association.
Teneche Sánchez, M. F. (2014). Evaluación de tres traductores automáticos en línea cuando traducen unidades especializadas eventivas (Español-Inglés). [Master’s dissertation]. Universidad Autónoma de Manizales. https://repositorio.autonoma.edu.co/handle/11182/90
Zagermann, J., Pfeil, U., & Reiterer, H. (2016). Measuring Cognitive Load using Eye Tracking Technology in Visual Computing. In M. Sedlmair, P. Isenberg, T. Isenberg, N. Mahyar, & H. Lam (Eds.), BELIV '16: Proceedings of the Sixth Workshop on Beyond Time and Errors on Novel Evaluation Methods for Visualization (pp. 78–85). Association for Computing Machinery.
Notes
Author notes
dgiraldo@autonoma.edu.comnaranjo@autonoma.edu.comercedessuarez@autonoma.edu.co
Conflict of interest declaration