Artigos
INTERAÇÕES DA LINGUAGEM E DA MATEMÁTICA: CESARO - COMO SOMATÓRIA PARA CERTAS SÉRIES DIVERGENTES
INTERACCIONES DEL LENGUAJE Y LAS MATEMÁTICAS: CESARO - COMO SUMA DE CIERTAS SERIES DIVERGENTES
INTERACTIONS OF LANGUAGE AND MATHEMATICS: CESARO - LIKE SUMMATION FOR CERTAIN DIVERGENT SERIES
INTERAÇÕES DA LINGUAGEM E DA MATEMÁTICA: CESARO - COMO SOMATÓRIA PARA CERTAS SÉRIES DIVERGENTES
Revista EntreLínguas, vol. 9, e023007, 2023
Araraquara SP: Universidade Estadual Paulista Júlio de Mesquita Filho Faculdade de Ciências e Letras Campus de Araraquara
Recepção: 20 Novembro 2022
Revised: 25 Dezembro 2022
Aprovação: 19 Janeiro 2023
Publicado: 22 Março 2023
RESUMO: A matemática tem sua linguagem especial, incluindo gramática e símbolos compartilhados por matemáticos universalmente, independentemente de sua língua materna. Como a matemática é a mesma em todo o mundo, ela pode servir como uma linguagem global. A ideia de atribuir certos valores finitos específicos a determinadas séries divergentes é chamada de Soma de Cesaro. Este artigo tenta analisar a interação entre matemática e linguagem, considerando Cesaro - como soma para certas séries divergentes. Para atingir esse objetivo, polinômios eulerianos são utilizados. Além disso, um novo método de determinação de valores de soma de Cesaro integrando funções geradoras particulares é definido sobre os intervalos fechados e limitados para uma série de potência infinita geral cujos coeficientes são milésimas potências de números naturais. As respostas obtidas fornecem novos insights sobre a compreensão do processo de soma de Cesaro e oferecem uma grande generalização e também revelam a misteriosa interação da matemática e da linguagem.
PALAVRAS-CHAVE: Linguagem, Matemática, Polinômios eulerianos, Relação de recorrência, Cesaro - como soma.
RESUMEN: Las matemáticas tienen su lenguaje especial, que incluye la gramática y los símbolos compartidos por los matemáticos universalmente, independientemente de su lengua materna. Como las matemáticas son las mismas en todo el mundo, pueden servir como un lenguaje global. La idea de asignar ciertos valores finitos específicos a ciertas series divergentes se llama Cesaro Sum. Este artículo trata de analizar la interacción entre matemática y lenguaje, considerando a Cesaro - como suma de ciertas series divergentes. Para lograr este objetivo, se utilizan polinomios eulerianos. Además, se define un nuevo método para determinar los valores de la suma de Cesaro integrando funciones generadoras particulares sobre los intervalos cerrados y acotados para una serie general de potencias infinitas cuyos coeficientes son m-ésimas potencias de números naturales. Las respuestas obtenidas brindan nuevos conocimientos para comprender el proceso de suma de Cesaro y ofrecen una gran generalización y también revelan la misteriosa interacción de las matemáticas y el lenguaje.
PALABRAS CLAVE: Lenguaje, Matemáticas, Polinomios eulerianos, Relación de recurrencia, Cesaro - como suma.
ABSTRACT: Mathematics has its special language including grammar and symbols shared by Mathematicians universally, regardless of their mother tongue. Since mathematics is the same all across the globe, math can serve as a global language. The idea of assigning certain specific finite values to given divergent series is called Cesaro Summation. This paper attempts to analyze the interaction between mathematics and language, considering Cesaro - like summation for certain divergent series. To meet that aim, Eulerian polynomials are utilized. Also, a novel method of determining Cesaro - Like summation values by integrating particular generating functions is defined over the closed and bounded intervals for a general infinite power series whose coefficients are mth powers of natural numbers. The answers obtained provide new insights into understanding the Cesaro - Like summation process and offer a great deal of generalization and also reveal the mysterious interaction of mathematics and language.
KEYWORDS: Language, Mathematics, Eulerian polynomials, Recurrence relation, Cesaro - like summation.
Introdução
A linguagem matemática é considerada uma grande extensão da linguagem natural utilizada na ciência e na matemática para expressar resultados com precisão, concisão e sem ambiguidade. (RIMM-KAUFMAN et al., 2015; HOFMANN; MERCER, 2016; PURPURA; REID, 2016).
A linguagem e a matemática não parecem ser disciplinas tão separadas quanto se pode imaginar. A matemática tem sua notação ou linguagem peculiar, incluindo símbolos exclusivos da matemática, como o símbolo ‘=’ (LEHRL et al., 2020; PURPURA; REID, 2016; MARTIN; RIMM-KAUFMAN, 2015).
O conceito de atribuir certos valores para séries divergentes infinitas foi atribuído ao matemático italiano Ernesto Cesaro (BLUMS et al., 2017; ULATOWSKI et al., 2016; GENLOTT; GRÖNLUND, 2016). A soma de Cesaro discute sobre o limite da sequência de somas parciais de uma dada série (LEYVA et al., 2015). Desde que essa ideia surgiu, vários matemáticos a generalizaram de várias formas (REDISH; KUO, 2015; PENG et al., 2020). Neste artigo, determinarei a soma de Cesaro para duas séries divergentes infinitas específicas relacionadas à soma de potências usando funções geradoras adequadas. Encontramos polinômios eulerianos para realizar tal tarefa. Alguns gráficos são exibidos para verificar os resultados obtidos.
Métodos
Polinômios Eulerianos
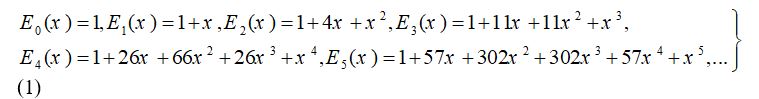
Os polinômios eulerianos são uma classe de polinômios cujos coeficientes ocorrem na contagem do número de permutações com descidas particulares. Os primeiros polinômios eulerianos são dados por

Notamos que os coeficientes dos polinômios eulerianos, chamados de números eulerianos, são simétricos e, portanto,
sempre que n é um número inteiro positivo ímpar.
Gerando funções
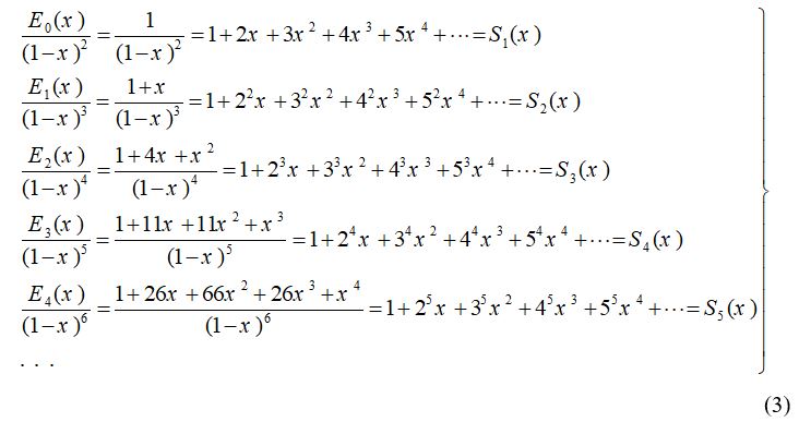
Primeiro, notamos as seguintes funções geradoras de séries infinitas cujos coeficientes estão relacionados a m-ésimas potências de números naturais.
Se m é um inteiro positivo, suponhamos que

Para qualquer número real x, notamos de (2), que
é uma série de potências infinita em x que é divergente para todo x tal que
. Além disso, os coeficientes de
são m-ésimas potências dos números naturais.
De (1) e (2), obtemos as seguintes equações:

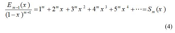
Em geral, para qualquer inteiro positivo m, temos

Assim
se comporta como as funções geradoras para cada m para a série de potência
.
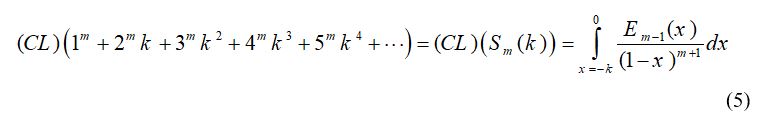
Cesaro - como somatória
O Cesaro - como somatória para a série de poder
em x = k é definido como

onde k é qualquer número real positivo. Aqui CL refere-se a Cesaro - Como processo de soma.
Provamos agora um teorema relacionado a encontrar Cesaro - Como soma para a série de potências
.
Teorema 1
O Cesaro - Como a soma das séries de potências
para
em x = k é dado por

onde
são polinômios eulerianos avaliados em x = -k e k é qualquer número real positivo.
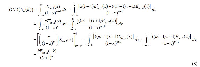
Prova: Usando (6), obtemos 
Notamos que a função
é contínua em
, portanto, a integral definida acima existe. Sabemos que os polinômios eulerianos satisfazem a relação de recorrência

Agora usando (7) e a fórmula de Integração por partes, obtemos

Isso completa a prova.
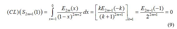
Corolário
Se m é um inteiro positivo, então 
Prova: Usando (1-8) obtemos

Isso completa a prova.
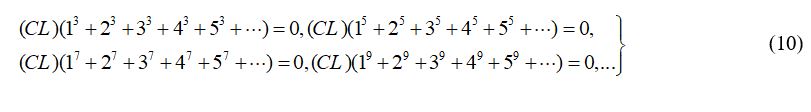
De (9), notamos que

Resultados e discussão
Nesta seção, tentamos verificar os resultados obtidos na seção 4 usando gráficos de funções geradoras de
em x = k, onde k é um número real positivo.

Se considerarmos o intervalo [-1, 0] então com k = 1, m = 2 obtemos
. Isso verifica o cálculo mostrado na Figura 1.

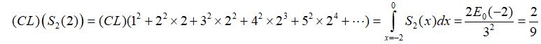
Se considerarmos o intervalo [-2, 0] então com k = 2, m = 2 obtemos
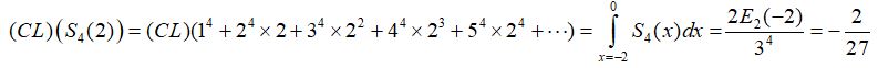
. Isso verifica o cálculo mostrado na Figura 2.

Se considerarmos o intervalo [-1, 0] então com k = 1, m = 3 obtemos
. Isso verifica o cálculo mostrado na Figura 3.

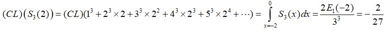
Se considerarmos o intervalo [-2, 0] então com k = 2, m = 3 obtemos
. Isso verifica o cálculo mostrado na Figura 4.

Se considerarmos o intervalo [-1, 0] então com k = 1, m = 4 obtemos
. Isso verifica o cálculo mostrado na Figura 5.

Se considerarmos o intervalo [-2, 0] então com k = 2, m = 4 obtemos
Isso verifica o cálculo mostrado na Figura 6.

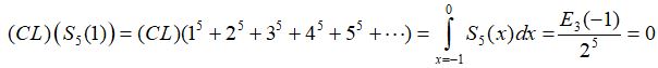
Se considerarmos o intervalo [-1, 0] então com k = 1, m = 5 obtemos
. Isso verifica o cálculo mostrado na Figura 7.

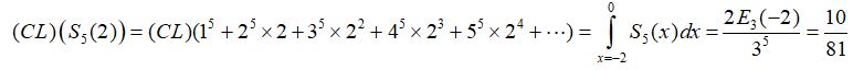
Se considerarmos o intervalo [-2, 0] então com k = 2, m = 5 obtemos
. Isso verifica o cálculo mostrado na Figura 8.

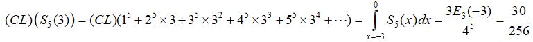
Se considerarmos o intervalo [-3, 0] então com k = 3, m = 5 obtemos
. Isso verifica o cálculo mostrado na Figura 9.

Se considerarmos o intervalo [-1, 0] então com k = 1, m = 6 obtemos
. Isso verifica o cálculo mostrado na Figura 10.

Se considerarmos o intervalo [-2, 0] então com k = 2, m = 6 obtemos
. Isso verifica o cálculo mostrado na Figura 11.

Se considerarmos o intervalo [-3, 0] então com k = 3, m = 6 obtemos
Isso verifica o cálculo mostrado na Figura 12.
Conclusão
Considerando a ideia de Cesaro - Como soma para uma determinada série de potências
, obtive uma boa expressão fechada para computar
para qualquer número real positivo k. A resposta dada pelo Teorema 1 deste trabalho é uma expressão racional obtida em função de k. Assim, escolhendo valores positivos de conveniência de k, por meio dessa expressão racional, podemos gerar quantos valores de somatório Cesaro - Como soma de valores que desejamos
Curiosamente, para o processo de soma descrito neste artigo, notamos que Cesaro - Como soma valores de soma de potências ímpares de números naturais são sempre zero. Doze figuras foram exibidas usando o software on-line gratuito Desmos para calcular integrais definidas para verificar a fórmula obtida no teorema 1. Portanto, as ideias apresentadas neste artigo nos fornecem o caminho para obter vários valores de soma de Cesaro - como somatória de valores para cada k positivo e para positivo inteiro m tal que
. Podemos generalizar a forma como definimos o Cesaro - como somatória em si e tentar obter outros resultados interessantes.
REFERÊNCIAS
BLUMS, A. et al. Building links between early socioeconomic status, cognitive ability, and math and science achievement. Journal of Cognition and Development, v. 18, n. 1, p. 16-40, 2017.
GENLOTT, A. A.; GRÖNLUND, Å. Closing the gaps-Improving literacy and mathematics by ict-enhanced collaboration. Computers & Education, n. 99, p. 68-80, 2016.
HOFMANN, R.; MERCER, N. Teacher interventions in small group work in secondary mathematics and science lessons. Language and education, v. 30, n. 5, p. 400-416, 2016.
LEHRL, S. et al. Long-term and domain-specific relations between the early years home learning environment and students’ academic outcomes in secondary school. School Effectiveness and School Improvement, v. 31, n. 1, p. 102-124, 2020.
LEYVA, D. et al. Teacher-child interactions in Chile and their associations with prekindergarten outcomes. Child development, v. 86, n. 3, p. 781-799, 2015.
MARTIN, D. P.; RIMM-KAUFMAN, S. E. Do student self-efficacy and teacher-student interaction quality contribute to emotional and social engagement in fifth grade math?. Journal of school psychology, v. 53, n. 5, p. 359-373, 2015.
PENG, P. et al. Examining the mutual relations between language and mathematics: A meta-analysis. Psychological Bulletin, v. 146, n. 7, p. 595, 2020.
PURPURA, D. J.; REID, E. E. Mathematics and language: Individual and group differences in mathematical language skills in young children. Early Childhood Research Quarterly, v. 36, p. 259-268, 2016.
REDISH, E. F.; KUO, E. Language of physics, language of math: Disciplinary culture and dynamic epistemology. Science & Education, v. 24, n. 5, p. 561-590, 2015.
RIMM-KAUFMAN, S. E. et al. To what extent do teacher-student interaction quality and student gender contribute to fifth graders’ engagement in mathematics learning?. Journal of Educational Psychology, v. 107, n. 1, p. 170, 2015.
ULATOWSKI, F. et al. Recognizing the limited applicability of Job plots in studying host-guest interactions in supramolecular chemistry. The Journal of organic chemistry, v. 81, n. 5, p. 1746-1756, 2016.
Notas
Autor notes