Articulo de Investigación Científica y Tecnológica
Accidentes de trabajo con pérdida de capacidad laboral: Características de siniestros calificados por una administradora de riesgos laborales
Work-related accidents with loss of work ability. Characteristics of claims qualified by an Occupational Risks Insurance
Accidentes de trabajo con pérdida de capacidad laboral: Características de siniestros calificados por una administradora de riesgos laborales
Revista Colombiana de Salud Ocupacional, vol. 11, no. 1, e-6485, 2021
Facultad Ciencias de la Salud, Universidad Libre
Received: 02 July 2020
Accepted: 05 April 2021
Resumen
Objetivo: Caracterizar los accidentes de trabajo (AT) con pérdida de capacidad laboral calificada (PCLC) en el periodo 2014 a 2016 en lesionados por AT afiliados a una Administradora de Riesgos Laborales (ARL).
Métodos: Estudio observacional, de tipo descriptivo, con una población de estudio de 9,854 registros de AT calificados con PCLC y sus respectivas variables; la exploración de datos incluyó análisis univariado.
Resultados: La accidentalidad calificada fue mayor en hombres (84.2%), el tipo de calificación de perdida relevante fue la incapacidad parcial permanente (91.2%), la edad de mayor incidencia con PCLC fue 27-44 años, con origen propio del trabajo (86.3%) y accidentes de tránsito (10.0%) de PCLC, la clase de riesgo III y el sector económico infraestructura y obras civiles presentaron la mayor incidencia, las perdidas calificadas se originaron por caídas a nivel (21.6%) y con diagnóstico más representativo de amputación traumática de mano y de la muñeca (10.0%).
Conclusiones: El análisis de la PCL derivada de AT posibilita acercamientos orientados a establecer sectores, patologías y tipos de riesgos problemáticos que en materia de seguridad y salud en el trabajo precisan estrategias de control específicas. Es importante resaltar que actividades económicas clasificadas en clase de riesgosIII, que aparentemente no representan riesgo alto o máximo, están concentrando un número representativo de accidentes de trabajo con pérdida de capacidad laboral, así mismo, caídas a nivel, contrario a lo que se espera, representan PCL más significativas que caídas de alturas.
Palabras clave: Accidente de trabajo+ evaluación de la discapacidad+ riesgo laboral+ riesgo III+ caídas+ pérdida capacidad laboral.
Abstract
Objective: To characterize work accidents (TA) with loss of qualified work ability (PCLC) was carried out in the period 2014 to 2016 for AT injuries, affiliated with an Occupational Risk Manager (ARL).
Methods: This is a descriptive, quantitative study with a study population of 9,854 PCLC-qualified TA registries and their respective variables; the data exploration included univariate analysis
Results: Accident rate was concentrated in the male gender with 84.2%, the type of relevant loss rating was the IPP with 91.2%, the age with the highest incidence with PCLC was comprised between 27 to 44 years, the own origin of work and transit accidents represented 86.3% and 10% of PCLC, respectively, class III risk and infrastructure and civil works were the ones with the highest incidence (16.6%), the losses classified in 21.6% originated from falls to the level and with the most representative diagnosis of traumatic amputation of the hand and wrist (10%).
Conclusions: The analysis of PCL derived from AT enables approaches aimed at establishing sectors, pathologies and types of problematic risks that in the field of occupational safety and health require specific control strategies. It is important to highlight that economic activities classified in risk class III, which apparently do not represent high or maximum risk, are concentrating a representative number of work accidents with loss of work capacity, likewise, falls to level, contrary to what is expected, represent PCL more significant than falls from heights
Key words: Work accident, evaluation of disability, occupational risk, risklevel, falls, loss of qualified work ability.
Introducción
El accidente de trabajo constituye uno de los riesgos laborales legalmente consagrados en la legislación de los países. Las estadísticas de ocurrencia a nivel nacional e internacional dan cuenta de que es una contingencia que requiere ser mirada con detenimiento a fin de poder caracterizar las variables que contribuyen en este accidente y cuantificar de manera adecuada el efecto negativo sobre la calidad de vida de la población laboral y de la sociedad en general.1-3
Según datos de la Organización Internacional del Trabajo, el número de accidentes y enfermedades relacionados con el trabajo, que anualmente cobra más de 2 millones de vidas, parece estar aumentando debido a la rápida industrialización de algunos países en desarrollo. En sus últimas estimaciones, indicó que además de las muertes relacionadas con el trabajo, cada año los trabajadores son víctima de unos 268 millones de accidentes no mortales que causan ausencias de al menos tres días del trabajo y unos 160 millones de nuevos casos de enfermedades profesionales.4
La OIT había calculado que los accidentes y las enfermedades profesionales son responsables de que alrededor del 4% del Producto Interno Bruto (PIB) mundial se pierda en concepto de pago de compensaciones y ausencias del trabajo.
Las últimas estadísticas a nivel nacional publicadas por la Cámara Técnica de Riesgos Profesionales de la Federación de Aseguradores Colombianos (Fasecolda) reportó que en el 2018, de cada 100 trabajadores afiliados, 6.2 sufrieron un accidente de trabajo y de cada 100 mil trabajadores, a 99.6% les diagnosticaron una enfermedad de origen laboral. En este mismo año se presentaron 645,119 accidentes, 10,450 con enfermedades calificadas y 567 muertes fatales.5 En el 2019 se presentaron 611.275 accidentes, con 504 enfermedades laborales calificadas y 492 siniestros; para el año 2020 se reportaron 450,110 accidentes de trabajo con 35,524 enfermedades profesionales calificadas y 454 muertes calificadas.6
En Colombia dentro del marco legislativo, la ley 1562 de 2012 define el accidente de trabajo como: “Todo suceso repentino que sobrevenga por causa o con ocasión del trabajo, y que produzca en el trabajador una lesión orgánica, una perturbación funcional o psiquiátrica, una invalidez o la muerte”.7 Desde lo técnico, la norma internacional ISO 45001 introduce el término de incidente, como “suceso que surgen del trabajo o en el trascurso del trabajo que podrán tener o tienen como resultado lesiones y/o deterioro de la salud”, es decir que, si el evento genera lesiones y/o deterioro de la salud, este incidente se denomina accidente.8 “En países europeos utilizan el término lesión por accidente de trabajo, dado que el de accidente demarca algo inevitable y las lesiones por estos eventos se conciben evitables”.9
Desde el punto de vista conceptual, legal o técnico, el accidente es un fenómeno que impacta negativamente sobre la salud e integridad física del trabajador, pero adicionalmente genera un sinnúmero de efectos negativos en materiales, insumos, equipos, maquinaria, ambiente y finanzas; manifestándose en costos directos e indirectos,10 que impactan a empresarios empleados, actores del Sistema General de Riesgos Laborales (SGRL). Acarrean muertes, discapacitados, pérdidas económicas y de calidad de vida, de tiempo, dolor a trabajadores y familias; generando grandes costos para el Sistema General de Seguridad Social en Salud (SGSSS) y en particular al SGRL. Adicionalmente, golpean la eficiencia y desarrollo organizacional y se traducen en daño económico para la sociedad. En síntesis, el accidente de trabajo deja huella en la empresa, el trabajador, la familia y la sociedad.11,12 En este aspecto es importante resaltar que el accidente de trabajo y sus consecuencias no tienen preferencia de trabajador u organización, ocurren en empresas de cualquier actividad económica, independientemente de la clase de riesgo que le corresponda en la clasificación industrial internacional uniforme de actividades económicas adoptada por Decreto 1607 de 2002,13 y que en coherencia con esta clasificación, para efectos de cotización al sistema de riesgos laborales, estas se agrupan en cinco clases de riesgo en conformidad con el artículo 2.2.4.2.5.7 del Decreto 1072 de 2015;14 que corresponden a las clases a que hizo referencia el Decreto 1295 de 1994 en su artículo 26: mínimo, bajo, medio, alto y máximo.
En términos de pérdidas de salud, dependiendo de la gravedad de la lesión del accidente de trabajo puede derivar en incapacidad temporal, en incapacidad parcial permanente, en invalidez o en la muerte. Algunos de estos estados causan la pérdida permanente de las habilidades, las destrezas, las aptitudes y/o potencialidades del orden físico, mental y social, que impiden desempeñarse adecuadamente en un determinado trabajo. Es decir, originan pérdida de capacidad laboral. Una lesión causada por un accidente de trabajo puede alterar el estado de salud del individuo, significando que el trabajador pueda perder la capacidad de esfuerzo y de la producción que le aseguraba su subsistencia y la de sus dependientes.15
En Colombia, la determinación de los grados de incapacidad permanente parcial e invalidez por lesiones debidas a riesgos profesionales, se hace de acuerdo con el Manual Único para la Calificación de la Pérdida de Capacidad Laboral y Ocupacional -2015 (MUCPCLO).16 Para efectos de calificación de la capacidad laboral calificada, en este manual el rango de calificación oscila entre un mínimo de 0% y un máximo de 100%, correspondiendo, 50% a la valoración de las deficiencias y 50% a la valoración del rol laboral, rol ocupacional y otras áreas ocupacionales.
Para procesos de calificación de capacidad laboral calificada deperiodos anteriores al MUCPCLO del año 2015, la calificación de la capacidad laboral calificada se hacía con base en la normativa vigente a la fecha. Dado que el presente artículo, incluye accidente de trabajo calificados en años anteriores al referido, se hace referencia a las normas que regulan la calificación de la capacidad laboral calificada, a saber: Decreto 917 de 1999, Decreto 1971 de 1999, Decreto 2463 de 2001, Ley 962 de 2005, Sentencia C425 de 2005; entre otras. El Manual Único para la Calificación de la Invalidez contenido en el Decreto 917 de 1999,17 que estipulaba tres aspectos a evaluar en la capacidad laboral calificada con sus respectivos pesos porcentuales: deficiencia (50%), discapacidad (20%) y minusvalía (30%).
El número de muertos y de discapacitados por accidente de trabajo indefectiblemente conducen a capacidad laboral calificada, que refieren carga de enfermedad específica para el SGRL y de hecho, para el sistema de salud y el país, lo que motivó la necesidad de realizar una análisis descriptivo con enfoque cuantitativo del comportamiento de la accidentalidad laboral con capacidad laboral calificada; con el objetivo de favorecer la identificación de tendencias por edad, sexo, clases de riesgo, sector económico, diagnósticos, tipos y origen del riesgo; a fin de que estos hallazgos permitan a los actores del SGRL implementar controles y estrategias específicas orientadas a su disminución, y a su vez se empleen para la definición de políticas, toma de decisiones y definición de recursos en materia de prevención de accidente de trabajo, que a su vez son objetivos propios de estudios de carga de enfermedad,18-20 como el que deriva este artículo, que en conjunto se orientó a la aproximación a la carga de enfermedad atribuida al accidente de trabajo.
Materiales y métodos
Se realizó un estudio observacional, de tipo descriptivo, que incluyó la exploración de las variables de registro por parte de la Aseguradora de Riesgos Laborales (ARL), conformadas, entre otras por: tipo de calificación, edad en siniestro, sexo, categoría de diagnóstico, tipo de atención, origen del siniestro, tipo de riesgo, situación del siniestro, clase de riesgo y sector económico.
La unidad de análisis estuvo conformada por 9,854 registros deaccidente de trabajo con capacidad laboral calificada entre los años 2014 a 2016 por una ARL del territorio nacional. Estos registros constituyen el censo de los accidentes de trabajo con pérdida de capacidad laboral.
Se excluyeron los registros de accidente de trabajo con calificación de pérdida de capacidad laboral inferior al 5% y registros de afiliados accidentados con información incompleta de las variables de estudio. Como instrumento de recolección de la información se utilizó una plantilla prediseñada de Microsoft Excel, en donde se consignaron todas las variables del estudio. Posteriormente fue exportada a SPSS versión 21, programa en el que se realizó el análisis estadístico.
Se realizó el análisis univariado de la información según el tipo de variable. Las variables cualitativas se describen como frecuencias y porcentajes y las variables cuantitativas se describen como promedios acompañados de sus respectivas desviaciones estándar.
Resultados
Pérdida de la capacidad laboral calificada por sexo
De un total de 9,854 accidente de trabajo con pérdida de capacidad laboral calificados entre el periodo 2014-2016, la accidentalidad calificada se concentró en el género masculino con el 84.2%, el sexo femenino represento sólo el 15.8%, lo que se traduce en una razón de 1:5. La pérdida de capacidad laboral inferior al 20% fue común para ambos sexos, con mayor incidencia en el sexo masculino, en mujeres con promedio de 15.0 % y en el género masculino de 19.8%.
Accidentes de trabajo con pérdida de la capacidad laboral por tipo de calificación
La incapacidad parcial permanente engloba el mayor número de casos de accidente de trabajo calificados con el 91.2%, seguida de los eventos fatales (4.7%) y en tercer lugar la invalidez (4.2%).
Accidentes de trabajo con pérdida de la capacidad laboral por origen del siniestro
El origen propio del trabajo abarco el 83.8%, seguido del origen tránsito con el 12.0% y violencia con 2.0%. La distribución de eventos con pérdida de capacidad laboral calificada por todos los orígenes se detalla en la Tabla 1.

Accidentes de trabajo con pérdida de la capacidad laboral por situación del siniestro
El 74% de los accidentes de trabajo calificados presentaron situación terminada, mientras que el 26% situación activa; es decir casi una tercera parte de los accidentes de trabajo fueron calificados. Ésta última situación puede deberse a: que las víctimas presenten patologías que se pueden volver crónicas y generan deterioro paulatino, por lo que precisa nuevas evaluaciones, o bien, el mejoramientos o empeoramientos del estado de salud que requieren evaluaciones periódicas o demandan tratamiento, terapias, entre otras; cuyo objetivo en todo caso, se orienta a mejorar el estado de salud del trabajador afectado. Se resalta que el mayor número de siniestros en situación terminada lo ocupó la incapacidad parcial permanente con el 93.2%, seguida de la mortalidad (5.0%) y en último lugar la invalidez (1.8%).
Accidentes de trabajo con pérdida de la capacidad laboral por clase de riesgo
Para el Sistema general de Riesgos Laborales colombiano las empresas se clasifican en cinco clases de riesgo de acuerdo con la actividad económica principal que desarrollan; la clase de riesgo III, o riesgo medio, fue la de mayor importancia en pérdida de capacidad laboral representando el 34%, seguida de la clase V (22%). La mortalidad, con sólo un 4.7%, reflejó cierto nivel de impacto en participación en clase IV y V, con 1.3% y 1,3%, respectivamente. La distribución de invalidez fue casi homogénea en todas las clases de riesgo, y en total alcanzó el 4.2%. La clase III registró el mayor número de casos de incapacidad parcial permanente calificada seguida de la clase V (Tabla 2).

Aspectos de la calificación de la pérdida de capacidad laboral por clase de riesgo
En cuanto a la deficiencia, en todas las clases de riesgo hubo predominio de deficiencias con calificación cercana al 5%, pero luego de atenuarse la calificación en 10%, vuelve a incrementarse entre los valores del 15%-19%. La clase de riesgo III es la que presentó mayor predominio de calificación de deficiencias cercanas a 5%, lectura a partir de la cual la calificación se atenúa en las demás clases de riesgo (Figura 1).

Con relación a la discapacidad, la clase de riesgo III registró su mayor valor en discapacidad menor de 4%, seguida de la clase V. Las calificaciones se atenúan en los demás intervalos. En la primera mitad de la muestra, la discapacidad registró valores cercanos al 1% con independencia de la clase de riesgo; luego de atenuarse hacia la calificación del 2.5%, vuelven a incrementar con calificación superior al 4.7%.
En la minusvalía, el 50% de los siniestros registraron baja calificación de minusvalía, independientemente de la clase de riesgo, todas con valores fueron cercanos a 2.2%. En los terceros cuartiles las clases de riesgo registraron valores cercanos a 5.4%-7.5%; luego de atenuarse las minusvalías en este último valor, reaparecen frecuentemente en calificaciones desde 13% a 22%. La clase de riesgo III es la que registró el mayor número de casos calificados con minusvalías, con valores inferiores a 6%, seguidas de la clase V. Los rangos de calificación mayores al 12% son atenuados en cantidad en todas las clases (Figura 2).

Accidentes de trabajo con pérdida de la capacidad laboral por sector económico
Tres sectores concentraron gran parte de la siniestralidad calificada: Infraestructura y obras civiles con 1,635 eventos (16.6%), servicios generales con 1,247 (12.7%) y temporales con 1,246 (12.6%), que en total representa el 41.9% de la siniestralidad calificada. Como puede observarse en la Figura 3, la incapacidad parcial permanente, la invalidez y la muerte de mayor frecuencia recaen igualmente en los mismos sectores.

Accidentes de trabajo con pérdida de la capacidad laboral por categoría de diagnóstico
El 83.2% de los casos calificados (n= 8,202) se ubicaron en 27 categorías de diagnóstico, pero en sólo cinco categorías se ubicó el 46% de los accidente de trabajo. A saber, amputación traumática de la muñeca y de la mano (12%), fractura de la muñeca y de la mano (11%), fractura de la pierna inclusive el tobillo (8%), fractura del antebrazo (8%) y luxación, esguince y torcedura de las articulaciones y ligamentos de la rodilla (7%); que en general conllevan a designar como parte del cuerpo afectada las extremidades, superior e inferior, y como naturaleza de la lesión más representativas la amputación y la fractura. La categoría sobresaliente en incapacidad parcial permanente y en invalidez fue la amputación traumática de la mano y muñeca y en mortales los traumatismos de regiones no especificadas del cuerpo; lo que puede estar asociado con politraumatismos que acarrean este tipo de eventos.
Accidentes de trabajo con pérdida de la capacidad laboral por tipo de riesgo
Las caídas a nivel representaron el tipo de riesgo de mayor importancia, reportando el 21.6%, en segundo y tercer orden figuró el atrapamiento (14.0%) y las pisadas, golpes o choque (9.7%). Las caídas a diferente nivel, categorizadas en dos tipos de riesgo están aportando un total 397 accidentes de trabajo con pérdida de capacidad laboral (4%). Este tipo de accidentes, caídas a diferente nivel, representó un porcentaje menor que los asociadas a otros tipos de riesgo de mayor participación entre los que figuran: pisadas golpes o choques (9.7) caída de objetos(8.0%), Sobresfuerzo asociado a manipulación de cargas (7.7%),sin información (6.5%) y lesión por accidente de tránsito (6.5%), otro (5.8%) y golpes por o contra objetos (5.6%) (Figura 4).

Accidentes de trabajo con pérdida de la capacidad laboral por edad
La mayor siniestralidad correspondió al rango de edad comprendido entre los 27-44 años. El grupo de edad masculino de mayor participación en las calificaciones fue el de 27-35 años y en el femenino de 36-44 años.
El tipo de riesgo, denominado en otros estudios como tipo de accidente, resalta las caídas a nivel como el riesgo de mayor impacto en pérdida de capacidad laboral, aportando el 21.6% en edades de 37-45 años en ambos sexos, en segundo orden figuró el atrapamiento con 14.0% y el de mayor incidencia en el rango de edad comprendido entre los 28-36 años. Las caídas a diferente nivel, registraron 397 accidente de trabajo (4%) en mayor impacto en edades de 37-54 años, porcentaje que es inferior a la participación registrada por otro tipo de accidente como pisadas y choques (9.7%), caída de objetos (8.0%) y sobresfuerzos (7.7%),mostrando mayores frecuencias en sexo masculino.
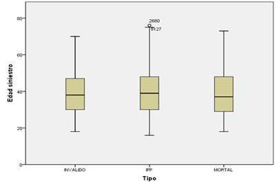
El 50% de los casos calificados como invalidez o muerte registraron edades cercanas a los 39 años y la incapacidad parcial permanente ocurrieron hacia los 40 años, la presencia de atípicos en este tipo de calificación significa que reaparecen en edades superiores a los 70 años (Figura 5). Los orígenes deportivo, SOAT, tránsito y violencia inician su ocurrencia en edades tempranas (19-20 años). La clase de riesgo III es la que a más temprana edad presenta accidente de trabajo, la cual ocurre hacia los 31 años.

Discusión
La Organización Mundial de la Salud en el 2011, es su informe mundial sobre discapacidad, estimó que el 15% de la población mundial vivía con algún tipo de discapacidad.21 En américa latina, Brasil ocupa el primer lugar en prevalencia (23.9%) y Colombia en nivel intermedio (6.3%);22 por sexo el 6.5% de los hombres y el 6.1% de las mujeres tienen alguna discapacidad. En este estudio, el número de eventos calificados con pérdida de capacidad laboral (9,854) con población promedio de afiliados para los años estudiados de 2,330,037 trabajadores genera una prevalencia de 0.4%.
Las cifras 2011-2015 de los indicadores generales del sistema de riesgos laborales, (23 en coherencia con los resultados de este estudio, relativos a frecuencia de pérdida de capacidad laboral, refieren la incapacidad parcial permanente como el tipo de calificación, seguida de la muerte y la invalidez. Resulta prudente advertir que más que las cifras brutas de frecuencia de accidentalidad, la pérdida de capacidad laboral está definiendo nuevas rutas para evaluar indicadores del sistema, pues el número absoluto de eventos pagados no refleja el impacto real del siniestro en la salud de las personas ni tampoco en las finanzas de las empresas y del propio sistema. Así mismo, los indicadores del sistema de riesgos laborales acotan, tal como se encontró en este estudio que las clases de riesgo III y V concentran el mayor número de eventos de incapacidad parcial permanente; la primera, refleja una clase de riesgo catalogada como baja, pero con un potencial de discapacidad mayor y sugiere la planeación de mecanismos de intervención en los sectores que hacen parte de ella, y los que corresponde por su diferenciación como centros de trabajo; pues después del sector de infraestructura; los de servicios temporales y comercio, ubicados dentro de esta clase, lideran la pérdida de capacidad laboral.
El análisis efectuado en este articulo, da cuenta que si bien las caídas en alturas participan con muertos y discapacitados, son las caídas a nivel las que más eventos con pérdida de capacidad laboral calificada agregan (21.6%), lo que obviamente impacta las tasas nacionales de mortalidad, incapacidad permanente parcial e invalidez. En relación con la mortalidad un estudio del Fondo de Riesgos Laborales de este tipo de eventos reportó 58 muertos por caídas en el año 2000,24 (sin caracterización de la tipología), cifra mayor que el registrado en el último año de este estudio (2016) que correspondió a 28 eventos mortales calificados, lo que representa más del 48% del estudio nacional.
La Segunda Encuesta Nacional de Condiciones de Trabajo (ENCT) evidenció resultados similares a los de este estudio en cuanto al departamento de ocurrencia, origen del siniestro (tipo de riesgo) y la clase de riesgo, dado que en la ENCT. Bogotá, Antioquia y Valle del Cauca lideraron la accidentalidad reportada 2009 al 2012, situación que se relaciona por ser las entidades territoriales que tienen mayor población y centros de trabajo; igualmente la clase de riesgo III fue la de mayor porcentaje en accidente de trabajo (33.8%) y el origen propios del trabajo el de mayor participación en siniestralidad laboral (93.3%).
La investigación de accidente de trabajo reportados a una ARL,25 mostró resultados similares a los encontrados en esta caracterización. En relación con el mecanismo involucrado (tipo de riesgo), el 80% de la accidentalidad laboral se concentró en pisadas, golpes o choques, otro mecanismo, caída de personas, y caída de objetos. De otro lado el estudio coincidió con respecto al liderazgo del género masculino en accidente de trabajo, dado que el 86% de los accidentes reportados a la ARL fueron de sexo masculino. Se aclara que ese estudio, (al igual que la ENCT) cubrió el total de accidente de trabajo reportados a la ARL, y no sólo los calificados con pérdida de capacidad laboral
Conclusiones
La caracterización de accidentes con pérdida de capacidad laboral podrá ampliar el espectro de variables analizadas a fin de poder contar con una amplia descripción sociodemográfica de la población accidentada y de facilitar el estudio de categorías de análisis propias de la notificación de evento y de su respectiva calificación cuando aplica; la base de datos insumo de esta investigación, no incluyó variables tales como: parte del cuerpo afectada, agente de la lesión, agente del accidente, grado de escolaridad, salario, lugar de residencia, composición familiar, estrato socioeconómico, estado civil, ocupación, turno de trabajo, tiempo en el cargo u oficio; lo cual constituyo una limitante para un análisis más amplio de aspectos que directa o indirectamente se relacionan con los accidentes de trabajo.
Se hace necesario hacer un listado técnico de conceptos alrededor de los variables objetos de registro y de calificación de accidente de trabajo, que permitan configurar una fuente de información común para todas las ARL, a fin de orientar estudios de corte nacional que faciliten el análisis general de la accidentalidad laboral reportada y calificada con pérdida de capacidad laboral, dado que los estudios utilizan terminología diferente para referir el mismo concepto.
Referencias
1. Cuervo D, Moreno M.Análisis de la siniestralidad en el sistema de riesgos laborales colombiano:reflexiones desde la academia.Universitas. 2017; (135):131-63.
Marín I, Español EP. Accidentes de trabajo: una reflexión crítica sobre la elaboración de índices de incidencia. Rev Gestión Púb. Priv. 2001; (6): 43-61.
Betancourt Ó. Salud y seguridad en el trabajo en el Ecuador.Arch Prev Riesgos Labor. 2010; 13(3): 142-8.
Ortiz L La Norma OHSAS 18001: 2007 y los accidentes laborales en la empresa VEHYSA SA de la ciudad de Ambato. Universidad Técnica de Ambato; 2013.
. Fasecolda. Comunicado de prensa; 2019..
Consultor Salud. La accidentalidad laboral del país disminuyó en 30% en 2020; 2021. https://consultorsalud.com/la-accidentalidadlaboral-en-colombia-disminuyo/.
Congreso de la República de Colombia. Ley 1562 de 2012:Por la cual se modifica el Sistema de Riesgos Laborales y se dictan otras disposiciones en materia de Salud Ocupacional. Bogotá; 2012.
Instituto Colombiano de Normas Técnicas y Certificación. Norma Técnica Colombiana NTC-ISO 45001:Sistemas de gestión de la seguridad y salud en el trabajo-requisitos con orientación para su uso. Bogotá: ICONTEC; 2018.
Benavides FG, Delclos J, Benach J, Serra C. Lesiones por accidentes de trabajo, una prioridad en salud pública. Rev Esp Salud Publica. 2006; 80(5): 553-65.
Castañeda-Borrayo Y, Mireles-Pérez ABI, González-Ramos AM, Pérez-García C, Navarro-Trujillo LR. Costos directos e indirectos por amputaciones en mano derivadas de accidentes de trabajo. Rev Med Inst Mex Seguro Soc. 2010; 48(4):367-75.
Duque N, Yánez M. Perspectivas diferenciadas del análisis de la accidentalidad laboral. Rev Omnia. 2016; 21(3): 313-31.
Carrillo SR, Dieste SW. Tendencias actuales en el análisis económico de la morbilidad laboral. Rev Cubana Hig Epidemiol. 2000; 38(1):60-7.
Ministerio de Trabajo de Colombia.Decreto 1607 de 2002 Por el cual se modifica la Tabla de Clasificación de Actividades Económicas para el Sistema General de Riesgos Profesionales y se dictan otras disposiciones. Bogotá; 2002. Available from: https://www.minsalud.gov.co/Normatividad_Nuevo/DECRETO 1607DE 2002.pdf.
Hernández PH, Monterrosa AF, Muñoz RD. Cultura de la prevención para la seguridad y la salud en el trabajo en el ámbito colombiano. Advocatus. 2017; 14(28): 1-15.
Lobato CJR. Calificación y valoración de la enfermedadprofesional: Análisis de la situación actual y propuestas de mejora.Med Segur Trab (Madr). 2016; 62: 87-95.
Ministerio de Trabajo y Protección Social de Colombia.Manual único para la calificación de la pérdida de la capacidad laboral y ocupacional Decreto 1507 de 2014. Bogotá; 2014.
Ministerio de Trabajo de Colombia. Decreto 917 de 1999 por el cual se modifica el Decreto 692 de 1995. Bogota´; 1999.
Peñaloza R, Salamanca N, Rodríguez J.Estimación de la carga de la enfermedad para Colombia. Bogota´: Editorial Pontificia Universidad Javeriana; 2013.
Murray CJL. Cuantificación de la carga de enfermedad: la base técnica del cálculo de los años de vida ajustados en función de la discapacidad. Bol Ofic Sanit Panam. 1995; 118(3): 221-43.
Duque MOG. Carga de la enfermedad. CES Salud Pública. 2012;3(2):289-95.
World Health Organization. World report on disability 2011. Genova: World Health Organization; 2011. Available from: .
Departamento Administrativo Nacional de Estadística. Censo general 2005: discapacidad personas con limitaciones permanentes. Bogota´; 2005. Available from: .
Ministerio de Trabajo de Colombia.Indicadores del sistema general de riesgos laborales cifras 2011-2015. Bogotá; 2016.Available from:http://fondoriesgoslaborales.gov.co/documents/infoestadistica/2015/INFORME INDICADORES SGRL 2011 -2015.pdf.
Ministerio de la Protección Social de Colombia. Accidente mortal en el trabajo. Bogotá; 2020. Available from: https://www.minsalud.gov.co/sites/rid/1/ACCIDENTE%20MORTAL%20EN%20EL%20%20TRABAJO.pdf.
Pérez MM, Muñoz AM. Accidentalidad laboral reportada por las empresas afiliadas a una Administradora de Riesgos Laborales, enero-diciembre, 2011. Rev Fac Nac Salud Pública.2014;32(2):67-75.
Author notes
Autor de correspondencia: Rosa Estela Arboleda Tamayo. E-mail: rearboleda@elpoli.edu.co