Recepción: 31 Mayo 2016
Aprobación: 03 Agosto 2016
Resumen: Este trabajo constituye una propuesta, plausible de ser empleada por organismos oficiales, que combina la teoría demográfica con métodos estadísticos de series de tiempo para describir el comportamiento histórico de la tasa de mortalidad por edad simple y sexo en la Ciudad Autónoma de Buenos Aires (CABA) y pronosticar con métodos probabilísticos la esperanza de vida. La aplicación comprende dos modelos: el modelo de Lee y Carter (LC), precursor de los modelos probabilísticos demográficos para el pronóstico de la mortalidad; y el modelo para datos funcionales (MDF) de Hyndman y Ullah, uno de los últimos propuestos en el área. Entre los resultados se puede destacar que los métodos empleados presentan pronósticos similares tanto para las tasas como para la esperanza de vida. También se brindan intervalos de confianza para valores futuros. El modelo LC proporciona los pronósticos con menor error porcentual: 2,02% versus 3,57% para MDF. No obstante, este último método permite describir de un modo más completo el comportamiento de la tasa de mortalidad a través de los años.
Palabras clave: Modelos demográficos-estadísticos, tasas de mortalidad, tendencia, pronósticos e intervalos de confianza..
Abstract: This paper is a proposal plausible to be employed by government agencies, which combines demographic theory with statistical methods of time series to describe the historical behavior of the mortality rate by simple age and sex in Ciudad Autónoma de Buenos Aires (CABA) and to predict with probabilistic methods life expectancy. The application includes two models: the Lee and Carter model (LC), the precursor of demographic probabilistic models for forecasting mortality; and the functional data model (MDF) from Hyndman and Ullah, one of the last arising in the area. Among the results, it can be noted that the methods provide similar forecasts for rates and for life expectancy. Confidence intervals for future values are also provided. The LC model provides forecasts with lower percentage error, 2.02%, versus 3.57% for MDF. However, the latter method better describes the mortality behavior through the years.
Keywords: Demographic-statistical models, mortality rates, trend, forecasts and confidence intervals...
Introducción
El análisis de la mortalidad y la esperanza de vida de una ciudad, región o país no solo brinda indicios sobre la calidad de vida y el estado sanitario de una población, sino que el estudio de la evolución y la proyección de dichos indicadores también constituye un insumo indispensable para delinear políticas públicas. Si, además, el análisis se realiza por edad y sexo, se generan resultados aún más informativos.
En la confluencia de la demografía y la estadística, los términos “proyección” y “pronóstico” tienen una estrecha vinculación; en demografía, el término “proyección” se emplea al referirse a la elaboración de cifras futuras de población, mientras que en estadística se usa el término “pronóstico” al denominar las cifras estimadas a través de un modelo estadístico para un horizonte futuro tanto de las componentes demográficas como para el resultado de la interacción de las mismas: el pronóstico de la población.
Más allá de la disciplina, resulta inevitable que una proyección o pronóstico contenga incertidumbre. Si bien en demografía resulta más sencillo describir la situación actual a través de determinados indicadores, las tendencias en los nacimientos, muertes y migraciones están sujetas a cambios impredecibles. Por esta y otras razones, combinar los métodos demográficos con los estadísticos enriquece los resultados que se pueden obtener. En relación con esta incertidumbre, cuando se elabora una proyección, los errores que se cometen varían de acuerdo con el horizonte de pronóstico, el nivel de desarrollo del país y su tamaño. Si bien las tendencias generales en la mortalidad, la fecundidad y la migración pueden discernirse y proyectarse para el futuro con una “confianza” (en el uso no estadístico de la palabra) razonable, a la tendencia particular de un país, región o ciudad se halla asociada una sustancial incertidumbre. Cuantificar esta incertidumbre resultaría de gran utilidad para los usuarios de las proyecciones; y, dado que los escenarios que se elaboran como parte de una proyección tienen diferentes implicaciones en el futuro, conocer una medida de la incertidumbre asociada a cada resultado que se presenta permite decidir sobre la base de mayor información. Sin embargo, en la actualidad, generalmente, la posible variación en los resultados se expresa proveyendo escenarios alternativos con variantes para la fecundidad (y, con menos frecuencia, para la mortalidad y la migración). De este modo, los escenarios alto y bajo se utilizan para indicar un rango de posibles futuros; no obstante, ninguna probabilidad específica se asocia a estos resultados.
La fecundidad, la mortalidad y la migración constituyen las componentes de crecimiento de la población, y, en la actualidad, organismos tales como las Naciones Unidas y otras instituciones referentes en el área son los encargados de determinar los niveles y probables patrones para cada una de ellas. Luego de establecer ciertos supuestos, los niveles y patrones se combinan con información relativa a la estructura existente por edad y sexo y, mediante una serie de cálculos conocidos como “método de las componentes”, se obtiene la proyección de la población por edad y sexo.
Por otro lado, los métodos probabilísticos para el pronóstico de la población están ganando rápidamente reconocimiento. La principal ventaja de dichos métodos reside en la llamada “consistencia probabilística” a través de todas las variables pronosticadas y sus índices derivados (Lee y Tuljapurkar, 1994). En cambio, no se puede medir la incertidumbre asociada a las proyecciones mediante la construcción de escenarios bajo-medio-alto, dado que resulta imposible construir escenarios que reflejen simultáneamente la incertidumbre en todas las variables de interés. Si el rango alto-bajo se diseña para contener las fluctuaciones a corto plazo en las tasas demográficas, luego será demasiado amplio para indicar la incertidumbre del tamaño de la población a largo plazo, dado que algunas fluctuaciones a corto plazo suelen cancelarse en el largo plazo. Aunque estas fluctuaciones se mantengan dentro de los límites de los escenarios bajo y alto, otras medidas demográficas derivadas (tales como la proporción de la población de una determinada edad o ciertas relaciones de dependencia) pueden verse afectadas mucho más y exceder los niveles definidos por estos escenarios. En síntesis, los escenarios alto y bajo no representan extremos consistentes a lo largo de todos los parámetros demográficos. Esto propició el desarrollo de métodos probabilísticos de pronóstico, que, cada vez con mayor aceptación (Alho, 2000), son implementados por las agencias de estadísticas oficiales −como las de Holanda y Estados Unidos, por mencionar algunos ejemplos− para producir sus pronósticos nacionales, Los mayores avances en cuanto al desarrollo de modelos probabilísticos se presentan en relación con la mortalidad; en cambio, la fecundidad y las migraciones han recibido menor atención por parte de los investigadores.
Un pronóstico que incluye distribuciones de probabilidad permite incorporar la noción de incertidumbre de manera explícita a través de una probabilidad, proporcionando de ese modo resultados más informativos. Se pueden pensar los resultados demográficos futuros como valores desconocidos con una distribución de probabilidad. En este contexto, el pronóstico puntual es la media o la mediana de esta distribución, y, dada la distribución, se pueden obtener fácilmente los límites de un intervalo de confianza. Los resultados son condicionales a la información que se tiene en el momento de la previsión.
La irrupción más clara y concisa de los métodos probabilísticos de pronóstico en el área demográfica la concretó el método propuesto por Lee y Carter (Lee y Carter, 1992). El mismo posee actualmente numerosas variantes y extensiones. Originalmente, los autores proponían una metodología que permite modelar y extrapolar las tendencias observadas en las tasas de mortalidad a largo plazo e implementar dicha metodología para pronosticar hasta el año 2065.
Como síntesis, García Guerrero y Ordorica Mellado (2012), a partir de la aplicación del modelo de Lee y Carter a datos de México, concluyen:
Finalmente, es importante resaltar la virtud del método presentado, al permitir tener intervalos de confianza de las estimaciones de la mortalidad. El enfoque estocástico reconoce que el comportamiento demográfico no sigue leyes determinadas, sino que la demografía, que al final de todo estudia conjuntos humanos, está sujeta a las leyes del azar. Además, el método permite realizar ajustes continuos a los pronósticos, pensando también en el número de muertes que se podrían evitar para alcanzar una meta en la esperanza de vida (García Guerrero y Ordorica Mellado, 2012).
Además, Guerrero Guzmán y González Pérez (2007) desarrollan un trabajo basado en la aplicación del modelo a datos de México evaluando el impacto de los resultados sobre el sistema previsional.
Por otro lado, Lee y Rofman (1994) realizan una aplicación a datos de Chile, y en sus conclusiones sostienen que la síntesis de técnicas estadísticas de series de tiempo y modelos demográficos tiene grandes ventajas; afirman que un modelo simple es útil para completar vacíos en los datos de edad y períodos de tiempo y, además, en algunos casos, se emplea para ajustar el subregistro y proyectar la mortalidad, con obvias ventajas dentro de la estructura “estadística-demográfica” integrada.
En la Argentina, se difundió el primer trabajo sobre el modelo de Lee y Carter con datos a nivel país en el año 2011 (Blaconá y Andreozzi, 2011); posteriormente, se realizó una comparación entre distintos métodos de estimación (Andreozzi y Blaconá, 2012).
En los últimos años, Hyndman y Ullah (2007), siguiendo el paradigma de datos funcionales1, proponen suavizar la mortalidad mediante regresiones spline penalizadas, para luego ajustar un modelo utilizando una descomposición en componentes principales. El enfoque de datos funcionales permite modelar la mortalidad, la fecundidad y las migraciones, para obtener como producto final la proyección estocástica de población. Acerca de esta metodología, García Guerrero y Ordorica Mellado (2012) afirman:
El último y más reciente exponente es el trabajo de Hyndman y Booth (2008). Estos autores proponen un método muy innovador para pronosticar las poblaciones basándose en modelos de datos funcionales. A grandes rasgos, su método trata de modelar las tasas vitales por edad y sexo de acuerdo con modelos funcionales con coeficientes estimados con series de tiempo. La migración es estimada como la diferencia entre los datos poblacionales históricos y los pronosticados para cada año. Para eliminar el error de pronóstico, se utiliza la transformación de Box-Cox. Después, con el fin de hacer más robusto el pronóstico, se asume que los nacimientos y las defunciones siguen una distribución de Poisson. Finalmente, se utiliza el método de simulación de Montecarlo para pronosticar la población total. Esta nueva técnica parece ser muy robusta, y sería muy interesante que se desarrollara en trabajos futuros con el fin de comparar los pronósticos aquí propuestos (García Guerrero y Ordorica Mellado, 2012).
Si bien los métodos antes presentados generan pronósticos de las tasas de mortalidad, uno de los índices más útiles para medir el nivel general de la mortalidad es la Esperanza de Vida al Nacer (EVN), la cual estima el nivel de la mortalidad con más precisión que la tasa bruta de mortalidad porque es independiente de la estructura por edad de la población. La EVN es el índice que mejor mide el nivel general de dicha componente y permite, además, comparar los niveles de distintas poblaciones en distintos momentos históricos (Arriaga, 2014). Los modelos de pronóstico probabilísticos generan tasas de mortalidad por edad para períodos futuros, y, a partir de estos resultados, es posible derivar los pronósticos de la Esperanza de Vida al Nacer, y sus correspondientes intervalos de confianza.
En este trabajo se aplican el modelo de Lee y Carter (1992) −precursor de los modelos probabilísticos de pronóstico en mortalidad− y el modelo para datos funcionales de Hyndman y Ullah (2007) −uno de los últimos modelos propuestos en el área− sobre datos de mortalidad de la Ciudad Autónoma de Buenos Aires, de 1980 a 2014, para obtener pronósticos puntuales y por intervalos de las tasas de mortalidad por edad en el período 2015-2024. Asimismo, a partir de las tasas de mortalidad pronosticadas, se obtienen los pronósticos para la Esperanza de Vida al Nacer con sus respectivos intervalos.
En la segunda sección de este estudio, se presenta una breve reseña de la situación demográfica de la Ciudad Autónoma de Buenos Aires (CABA); en el tercer apartado, se describen en forma resumida los modelos estadísticos utilizados; en la cuarta sección, se realiza el análisis empírico para datos de la CABA y se calculan los pronósticos de mortalidad y EVN con sus respectivos intervalos de pronóstico; finalmente, en la quinta sección se presentan las conclusiones.
Breve reseña de la situación demográfica de la Ciudad Autónoma de Buenos Aires
A fin de situar el análisis de la mortalidad en su contexto, a continuación, se realiza una breve descripción demográfica del mencionado núcleo urbano. La Ciudad Autónoma de Buenos Aires (CABA) posee una importancia indiscutible en la vida política, económica y social de la Argentina. Este hecho también se pone de manifiesto al comparar el tamaño de la población con el total de habitantes del país, porción que, naturalmente, resulta mayor aún si se lo refiere a la población urbana.
En la CABA, desde comienzos del siglo pasado, se evidencia una tendencia declinante de la mortalidad y de la natalidad. Sin embargo, el descenso en la mortalidad se manifestó previo al de la natalidad. Luego, la evolución combinada de los diferentes ritmos de decrecimiento en ambos fenómenos fue modificando el crecimiento natural de la población. Si se evalúa la población de 65 años y más, la misma representaba el 9% de la población en 1960; para el año 1991, aumentó al 16%, y en el año 2013 alcanzó el 17,6% con una diferencia marcada entre géneros: 14,8% en varones y 20,1% en mujeres, según la Encuesta Nacional de Gastos de los Hogares (INDEC, 2013).
La evolución de la mortalidad se puede caracterizar por dos indicadores: la Esperanza de Vida al Nacer y la Tasa de Mortalidad infantil, ya que los mismos no están afectados por la estructura por edades de la población. En la CABA, la EVN se ha incrementado en 41 años desde 1887 a 1991; pero, si se tiene en cuenta el efecto diferencial en la mortalidad por sexo, en el mismo período las mujeres aumentaron su esperanza de vida en 43 años mientras que los hombres la incrementaron en 39 años. Para 2010 (Tabla 1), la EVN era de 80,4 años para las mujeres y de 74,1 para los varones.
Modelos probabilísticos para pronosticar la mortalidad
Como ya se describió en la Introducción, los modelos probabilísticos presentan numerosas ventajas: permiten cuantificar la incertidumbre asociada a las cifras obtenidas y generan una descomposición del comportamiento de la mortalidad por edad y sexo. Dicha descomposición resulta de gran utilidad para describir la tendencia en el tiempo y el comportamiento particular de los grupos etarios. La irrupción más clara y concisa de los métodos probabilísticos de pronóstico en el área demográfica fue la aparición del método propuesto por Lee y Carter (1992); y uno de los últimos modelos propuestos siguiendo este tipo de metodología, pero bajo el llamado “paradigma de datos funcionales”, es el modelo de Hyndman y Ullah (2007). En el presente trabajo, ambos modelos se aplican a datos de la Ciudad Autónoma de Buenos Aires (CABA). En primer lugar, se presenta una breve descripción de los mismos.

Modelo de Lee y Carter
El modelo de Lee y Carter (1992) (LC) es un modelo demográfico-estadístico que permite realizar proyecciones de las tasas de mortalidad. En términos generales, se puede definir como un modelo de carácter extrapolativo para una serie de tiempo univariada, ya que no incorpora información acerca de efectos tecnológicos o sociales en la mortalidad, esto es, no busca incorporar información externa (variables exógenas) ni opiniones sobre posibles acontecimientos futuros. Básicamente, el modelo proyecta la tendencia histórica observada durante el período de estudio del que se dispone de datos. El modelo LC combina un modelo demográfico de pocos supuestos con métodos estadísticos de series de tiempo, por lo cual es capaz de proveer una base probabilística a las proyecciones, así como intervalos de predicción. El cambio en el nivel de mortalidad general se representa en el modelo por el cambio de un solo índice. El modelo LC permite a cada tasa específica de mortalidad decrecer exponencialmente sin restricciones.
Para utilizar el modelo LC se requiere, inicialmente, revisar la calidad de la información disponible y sus limitaciones, ya que el único insumo es el registro histórico de tasas de mortalidad por grupos de edad. Es importante señalar que el modelo, por construcción, tiene la ventaja de que las tasas no necesitan tener la misma periodicidad. No obstante, se requiere que los datos abarquen un período considerable de tiempo; en tal sentido, una regla propuesta es que cubran al menos un período de 30 años de historia reciente.
Una vez que se han obtenido los datos y se ha validado su calidad, la etapa siguiente del método consiste en ajustar el modelo a los datos originales y evaluar su desempeño histórico.
Al aplicar el modelo de Lee y Carter a tasas de mortalidad, las mismas se descomponen en dos parámetros a y b (también llamado base) y un índice kt que representa el nivel general de la mortalidad. La premisa básica del modelo es que existe una relación lineal entre el logaritmo de las tasas específicas de mortalidad mx,t y dos factores explicativos: el intervalo de edad, x , y el tiempo, t. La ecuación que describe esto es:
(1)aplicando logaritmo:
(2)donde,
mx,t: tasa específica de mortalidad para el intervalo de edad x y año t;
ax: parámetro de forma. El conjunto de dichos parámetros describe el patrón de mortalidad según la edad;
bx: parámetro de sensibilidad. Representa el cambio en la mortalidad en el intervalo que se inicia a la edad x, frente a cambios en el índice kt,;
ex,t: error aleatorio;
w: inicio del último intervalo de edad
Con ax se denomina el parámetro de “forma”; y el conjunto de las estimaciones de dicho parámetro para cada uno de los grupos etarios describe la forma general o el patrón de las tasas de mortalidad específicas por edad. Dicho parámetro se estima como el promedio aritmético simple sobre el tiempo de los logaritmos de las tasas específicas de cada edad.
El parámetro bx (o base, o función base), llamado de “sensibilidad”, describe el cambio en la mortalidad en el intervalo de edad x frente a cambios en el índice kx. El parámetro de sensibilidad representa la intensidad en el crecimiento o decrecimiento de la tasa de mortalidad para un grupo de edad a través del tiempo.
En el modelo LC el índice kt estimado es lineal, lo cual hace que la mortalidad en cada grupo de edad cambie a su propia tasa exponencial. Por lo tanto, en este modelo no pueden presentarse valores negativos de las tasas de mortalidad. Al hacer todas las tasas de mortalidad dependientes del parámetro kt , el método difiere mucho de pronosticar cada tasa específica de mortalidad de manera independiente. Esto evita tener que calcular las distintas covariancias entre los errores. Además, todas las tasas individuales están restringidas a pertenecer al sistema general de mortalidad que se ajusta a los datos históricos observados.
Posteriormente, a través de métodos de series de tiempo, se pronostica el índice general de mortalidad y, finalmente, se pronostican las tasas de mortalidad específicas por edad, tanto en forma puntual como por intervalos de confianza.
Modelos para datos funcionales
Durante los últimos años, se han desarrollado múltiples enfoques para pronósticos probabilísticos (Booth et al., 2006), y, dentro de esta categoría, han cobrado una particular relevancia los métodos para datos funcionales (Ramsay y Silverman, 2005). Estos métodos, de reciente aparición, constituyen un nuevo marco para el análisis de series de tiempo, que ha sido adoptado, entre otras finalidades, para realizar pronósticos de todas las componentes demográficas (Hyndman y Ullah, 2007). El modelo para datos funcionales es una extensión del modelo LC, en el sentido de que descompone la mortalidad de acuerdo con su comportamiento en el tiempo y con los patrones etarios. La diferencia radica en dos puntos: primero, el modelo para datos funcionales se aplica siempre sobre los datos suavizados (funciones de los datos observados); segundo, se emplean múltiples bases y no un único índice, como se plantea en el caso de LC, denominado kt . Un aporte interesante a este enfoque lo hacen Hyndman, Booth y Yasmeen (2013) al introducir la idea de pronósticos coherentes en el paradigma de datos funcionales. La idea principal de esta propuesta radica en que la diferencia entre los pronósticos de grupos de interés debe permanecer constante a través del tiempo, reproduciendo la relación presente en los datos observados. Los grupos de interés pueden ser subregiones geográficas o géneros, por mencionar algunas posibilidades.
En el presente trabajo se emplea un enfoque de datos funcionales para generar pronósticos probabilísticos demográficos de la mortalidad. Este enfoque permite cuantificar la incertidumbre asociada a los pronósticos demográficos a través del cálculo de intervalos de pronóstico, permitiendo, además, obtener una descomposición de la componente demográfica, útil para describir su tendencia en el tiempo y su comportamiento particular para cada una de las edades. Su insumo básico son las tasas observadas, calculadas a partir de cifras de hechos vitales y población. Por otro lado, se emplean pronósticos coherentes para obtener cifras según sexo que respeten la diferencia que se observa en los datos históricos.
Pronósticos de la mortalidad para la Ciudad Autónoma de Buenos Aires, por edad y género
Los insumos básicos de ambos modelos lo constituyen las cifras de población y el número de defunciones por edad y género en el período 1980-2014, ambos proporcionados por la Dirección General de Estadística y Censos de la Ciudad de Buenos Aires. La información se encuentra desagregada en 19 grupos: 0 años, 1 a 4 años y los grupos quinquenales 5 a 9, 10 a 14, etc., hasta el grupo abierto final “85 años y más”. Para realizar los cálculos necesarios, se emplea el software R (R Core Team, 2014).
El primer paso para la aplicación de los modelos estadísticos (LC y MDF) es realizar un suavizado de las tasas observadas a través de los grupos etarios. Si bien, en principio, LC no requiere este suavizado, esto permite obtener una función suave de las edades y, a través de ellas, tasas para cada edad simple aunque los datos originales sean informados por grupos etarios.
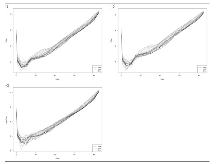
En la Figura 1 se presentan las tasas de mortalidad de la Ciudad de Buenos Aires, para el total de la población (1a) y varones (1b) y mujeres (1c), insumo base para ambos modelos de pronóstico. Las curvas para cada año muestran la forma típica del patrón de la mortalidad: alta al inicio de la vida, con un descenso hasta antes de los 10 años, seguido de un aumento hasta su pico alrededor de los 20 años, fenómeno presente principalmente en varones. Este valor alto está vinculado, en esta y en la mayoría de las poblaciones, a accidentes de tránsito, muertes relacionadas con el consumo de drogas y muertes violentas en general. Según la Organización Mundial de la Salud (OMS) la adolescencia es el período de la vida en el cual el individuo adquiere su madurez reproductiva, transita los patrones psicológicos de la niñez a la adultez y establece su independencia socioeconómica, características que comprenden a varones y mujeres cuyas edades están entre los 10 y 24 años. Serfaty et al. (2007) sostienen que, en la Argentina, este grupo asciende a un 27% de la población y que, en los últimos tiempos, se ha profundizado el conocimiento que se tiene acerca de ellos. Si bien no se enferman clínicamente con frecuencia, son más vulnerables a las causas de mortalidad vinculadas a la violencia: los accidentes, el suicidio y el homicidio. Luego de este pico, las tasas presentan un leve descenso, para volver a subir, de forma sostenida, hasta las edades avanzadas.
Un aspecto que se destaca visualmente es la caída marcada en los niveles de mortalidad a través del tiempo, fenómeno que se da en todas las edades excepto para el pico de los 20 años, franja en la que parece existir una caída más leve o fluctuante. La caída general en los niveles de mortalidad se atribuye principalmente a las mejoras en la medicina cuando se evalúan dinámicas de largo plazo (períodos de estudio de 100 años o más), por lo cual el descenso que se observa en el presente período de tiempo puede obedecer, en parte, a estas causas y a otras más específicas del proceso histórico particular de la Argentina.

Otro fenómeno destacable se muestra en la Figura 1b: las curvas de mortalidad de los varones presentan una cresta entre los 20 y 40 años en la década de los 90, aproximadamente desde 1991 a 1997. Según un informe de la Dirección de Estadística del GCBA (2013), la tasa promedio de mortalidad por SIDA de CABA durante la década de los 90 era de 12 por cien mil, reduciéndose a 7,7 en el año 2002. La tasa se incrementó notoriamente entre 1990 y 1996, especialmente durante el bienio 1994-1996 donde se ubicó el valor máximo del período (18,8 por cien mil en 1996); a partir de 1997 comienza a descender. Más aún, la desagregación por sexo evidencia la presencia de sobremortalidad masculina: la tasa promedio del período para los varones quintuplica la tasa observada en mujeres (19,1 por cien mil en varones y 4,1 por cien mil en mujeres). Por ello, una hipótesis sería que el comportamiento de las curvas podría estar ligado a este fenómeno específico.
Modelo de Lee y Carter para la mortalidad de la Ciudad de Buenos Aires
Al aplicar el modelo de LC, se obtiene un índice general de mortalidad kt , que representa el comportamiento global de la mortalidad a través del tiempo. El mismo se presenta en la Figura 2, y, más allá de las fluctuaciones, indica que la mortalidad desciende en el período en estudio; además, una estructura similar se manifiesta en varones y mujeres (Figuras A.2 y A.3 del Anexo). Sin embargo, un resultado que resulta interesante, más allá del índice en sí mismo, es el parámetro b, llamado de forma. Dicho parámetro indica de qué manera cada grupo etario contribuye al comportamiento general; en este sentido, el grupo que más aporta al descenso es el grupo de 1 a 4 años, dado que presenta los valores más altos en la estimación de este parámetro. Por otro lado, la franja de los 10 a los 20 años y los mayores de 80 son los que en menor medida presentaron descenso en el período en estudio. Sin embargo, resulta interesante evaluar los comportamientos según sexo, ya que estos son altamente disímiles, Los varones presentan el grupo de 10 a 20 años con un aporte prácticamente nulo al descenso general, mientras que el coeficiente b para mayores de 80 años muestra un valor similar al observado para la mortalidad del total, con valores relativamente bajos (Figura 2a). Además se manifiestan dos pequeñas crestas alrededor de los 30 años y entre los 40 y 45 años, implicando que para estos grupos también se presenta un descenso moderado de la mortalidad en el período estudiado. En cuanto a las mujeres, si bien el grupo de 1 a 4 años es el que más aporta al descenso en la mortalidad general, como sucede con los varones, en las edades de 20 a 40 años y 70 a 80 años también contribuyen, aunque en menor medida (Figura A.3 del Anexo).
Con el fin de calcular los pronósticos, se predice el índice general mediante modelos para series de tiempo (los pronósticos se muestran en la Figura 1, kt con línea negra), y, suponiendo que el comportamiento del parámetro b permanece estable, se construyen los valores estimados de las tasas de mortalidad para años futuros. Para mayores detalles metodológicos, es posible consultar Lee y Carter (1992).

En la Tabla 2 se presentan los pronósticos de las tasas de mortalidad. A modo informativo, se seleccionan edades y años; no obstante, las tasas se obtienen para edades simples y para el período 2015-2021. Si bien algunos pronósticos del índice kt presentan valores negativos, los pronósticos de la tasa de mortalidad, por la forma del modelo, como es lógico, son todos positivos.

A partir de los pronósticos de las tasas de mortalidad, es posible obtener, a través del uso de tablas de vida, los pronósticos de las Esperanzas de Vida al Nacer. En este caso se presentan los valores hasta el año 2024 (Tabla 3).

Por ejemplo, para el año censal 2020, el pronóstico puntual de la EVN para el total de la población es de 78,49 años, y es de esperar con un 80% de confianza que el verdadero valor se encuentre en el intervalo 77,00-79,96; mientras que, si se discrimina por sexo, se espera que los varones alcancen una EVN de 75,3 años y con un intervalo de pronóstico de 73,89-76,83; en cambio, en el caso de las mujeres, se espera que presenten una EVN de 81,1 años, valor bastante superior a la de los varones, en el intervalo 79,59-82,44.
Modelo de datos funcionales de la mortalidad de la Ciudad de Buenos Aires
La aplicación del modelo de datos funcionales (MDF) a las tasas de mortalidad permite descomponer las tasas mediante coeficientes, bases y una media. Esta descomposición se realiza para el total de la población, los varones y las mujeres.
La Figura 3 presenta la media, las bases, los coeficientes funcionales estimados y el pronóstico de los coeficientes con sus intervalos de pronóstico del 80% de confianza para el total de la población, mientras que las Figuras A.4 y A.5 del Anexo muestran los mismos resultados para varones y mujeres. Estas figuras se deben interpretar por columna: en primer lugar −primer recuadro de la fila superior−, se representa el comportamiento promedio de la mortalidad a través de las edades; luego, a partir de la segunda columna, la fila superior contiene las bases y la inferior los coeficientes; entonces, cada columna contiene un par coeficientebase que debe interpretarse en forma conjunta.
Por ejemplo, en el caso de la mortalidad del total de la población (Figura 3), el primer coeficiente muestra un decrecimiento de la mortalidad a través del tiempo (segunda columna), pero, para interpretarlo correctamente, este comportamiento debe ponerse en correspondencia con su base asociada (recuadro de la fila superior), ya que la misma indica en qué edades se manifiesta este descenso y con qué intensidad. En este caso, la media estimada representa el perfil promedio de la mortalidad a lo largo de la vida (obtenido como el promedio de las funciones a través de los años). Por otro lado, la primera base funcional indica que el decrecimiento se da especialmente en los primeros años de vida (mortalidad infantil y primeros años) y en menor medida para los mayores de 40 años. Sin embargo, ese decaimiento no es tan notorio para personas de alrededor de 20 años. Este hecho se refleja en la base, ya que la misma adquiere un valor cercano a cero para la mencionada edad.
La segunda y tercera base junto con sus respectivos coeficientes representan comportamientos acerca de diferencias entre determinados grupos etarios; puntualmente, la segunda base antagoniza el comportamiento del intervalo de 5 a 10 años versus el grupo etario 20 a 30. Luego los coeficientes describen la dinámica temporal de esta diferencia. Del mismo modo, la tercera base se refiere a comportamiento de la mortalidad en las edades avanzadas en contraposición a la de los niños; luego, los coeficientes indican la fluctuación de esta diferencia a través de los años bajo estudio.

Al igual que en el modelo LC, a partir de las tasas de mortalidad se calculan las esperanzas de vida para años futuros por sexo con sus respectivos intervalos de pronóstico (Tabla 4).
La interpretación de la Tabla 4 es equivalente a la de la Tabla 3, y los resultados son similares utilizando ambos modelos.

Por último, imponiendo restricciones que permitan obtener pronósticos estimados coherentes por género, se hallan los nuevos valores y sus respectivos intervalos de pronóstico, respetando las condiciones establecidas.
Los pronósticos realizados por los tres métodos (modelo LC, MDF, pronósticos Coherentes) no difieren sustancialmente; no obstante, esta última metodología mantiene la diferencia observada entre sexos en los pronósticos obtenidos. Por ejemplo, para el año 2020, con una confianza del 80%, se espera que la esperanza de vida para varones caiga en el intervalo de 73,98 a 75,96 años y para mujeres entre 80,35 y 82,25 años. Sin embargo, este supuesto puede ponerse en duda debido a los cambios culturales que hicieron variar el rol de mujer y su actividad en la vida laboral. Esto hace suponer, como ha sucedido en otros países, que la diferencia observada en las tasas de mortalidad y la EVN entre ambos sexos se va reduciendo, como muestra para la mortalidad la Figura 4.
Con el fin de comparar la bondad predictiva de los distintos métodos propuestos, en una segunda etapa se eliminaron los datos de los últimos 5 años y se recalcularon las estimaciones de los pronósticos para, luego, mediante el coeficiente MAPE2 calcular el porcentaje de error cometido por cada modelo (Tabla 6).
El modelo LC presenta un porcentaje de error sustancialmente menor que el de los otros dos métodos, si bien, los resultados de los tres pueden considerarse satisfactorios.



Conclusiones
Este trabajo combina la teoría demográfica con métodos estadísticos de series de tiempo para describir el comportamiento histórico de la tasa de mortalidad en la CABA y pronosticar, con métodos probabilísticos, la esperanza de vida por sexo para los próximos 10 años. Entre los resultados, se puede destacar:
Los modelos estadísticos permiten medir la incertidumbre de las proyecciones de la mortalidad (o eventualmente otra componente demográfica) y calcular la esperanza de vida. Proporcionar un intervalo de pronóstico de estos indicadores demográficos resulta más informativo que la mera proyección puntual, principalmente porque, en contraposición con la lógica de los escenarios, provienen de una distribución de probabilidad cuantificando así la incertidumbre asociada al resultado mediante un coeficiente de confianza. Los tres métodos proporcionan intervalos de confianza con una precisión similar.
Los tres métodos empleados en este trabajo (modelo LC, MDF, pronósticos Coherentes) proporcionan pronósticos similares, tanto para la tasa de mortalidad por edad y sexo como para la EVN. Sin embargo, se puede destacar que el MDF permite interpretar mejor el comportamiento de la mortalidad a través de los años, en tanto que el modelo de LC, considerando pronósticos a cinco años de la EVN calculada para el total de la población, presenta menor porcentaje de error (2,02% LC contra 3,57% MDF). No obstante, hay que destacar que ambos métodos arrojan valores altamente satisfactorios. En cuanto a los pronósticos Coherentes, es dudoso el supuesto de que se mantendrá la diferencia histórica entre sexos. Asimismo, este aspecto puede ser la causa por la cual el modelo es el que presenta mayor error porcentual de pronóstico.
Los intervalos de pronóstico de la esperanza de vida se podrían asociar a las proyecciones de la misma según distintos escenarios. En los primeros, los límites vienen dados en función del comportamiento probabilístico histórico de dicho indicador, cuantificando la incertidumbre que existe al proyectar. Los segundos proyectan valores de máximo y mínimo sobre la base de supuestos sobre el comportamiento demográfico futuro de la población.
Un punto a destacar es que los modelos funcionales pueden emplearse para la fecundidad y la componente migratoria; y estos resultados, junto con lo obtenido para la mortalidad, permiten desarrollar proyecciones probabilísticas de la población (así como medidas derivadas de las tasas, como la tasa global de fecundidad, que se deriva de las tasas de fecundidad, o la relación de dependencia, que se obtiene a partir de la población por edades, entre otros. Asimismo, cada medida derivada se estima en forma puntual y con sus correspondientes intervalos de confianza).
Estos resultados son especialmente importantes al momento de delinear políticas públicas, porque los intervalos proveen información acerca de los valores inferiores y superiores que se pueden esperar con un grado de incertidumbre dado. La implementación de estos métodos por parte de los organismos oficiales de estadística (en este caso de la CABA) es accesible porque se utiliza como único insumo los datos que la Ciudad recaba y los cálculos se realizan utilizando el software libre R. Por tal motivo, este trabajo constituye una propuesta para emplear metodologías que han sido incorporadas por agencias estadísticas de diversos países del mundo.
Bibliografía
Alho, J. M. (2000), “A statistical look at Modeen’s forecast of the population of Finland in 1934”, en Yearbook of Population Research in Finland, vol. 36, Helsinki, Väestöliitto, pp. 107-20.
Andreozzi, L. y M. T. Blaconá (2011), “The Lee Carter method, for estimating and forecasting mortality: an application for Argentina”. Documento presentado al ISF 2011-Prague-Proceedings. Disponible en http://www.forecasters.org/submissions/ANDREOZZILUCIAISF2011.pdf.
Arriaga, E. (2014), Análisis demográfico de la mortalidad, Buenos Aires, Centro de Investigaciones y Estudios sobre Cultura y Sociedad/CONICET/UNC.
Blaconá, M. T y L. Andreozzi (2012), “Comparación de métodos de estimación del modelo de Lee y Carter”, en Estadística, 64 (182 y 183), Santiago de Chile, Instituto Interamericano de Estadística, pp.57-84.
Booth, H., R. Hyndman, L. Tickle y P. de Jong (2006), “Lee-Carter mortality forecasting: A multicountry comparison of variants and extensions”, en Demographic Research. 15 (9), Rostock, Max Planck Institute for Demographic Research, pp. 289-310.
Dirección General de Estadística y Censos (DGEyC) (2003), “Mortalidad por SIDA. La mortalidad por SIDA en la Ciudad de Buenos Aires a partir de la década de los 90”, en Informe de resultados N° 84, Buenos Aires, DGEyC, 8 de octubre.
García Guerrero, V. M. y M. Ordorica Mellado (2012), “Proyección estocástica de la mortalidad mexicana por medio del método de Lee-Carter”, en Estudios Demográficos y Urbanos, vol. 27, núm. 2, mayo-agosto, México, El Colegio de México, pp. 409-448. Disponible en http://www.redalyc.org/articulo.oa?id=31226408004.
Guerrero Guzmán, V. M. y C. González Pérez (2007), “Pronósticos estadísticos de mortalidad y su impacto sobre el sistema de pensiones de México”. Trabajo ganador del Premio de Pensiones 2007 otorgado por la Comisión Nacional del Sistema de Ahorro para el Retiro. Consultado en http://www.consar.gob.mx/premio_pensiones/premio_2007.shtml.
Hyndman, R. y H. Booth (2008), “Stochastic population forecast using functional data models for mortality, fertility and migration”, en International Journal of Forecasting, 24, Medford, International Institute of Forecasters, pp. 323-342.
Hyndman, R. y M. Ullah (2007), “Robust forecasting of mortality and fertility rates: A functional data approach”, en Computational Statistics and Data Analysis, 51, La Haya, International Association for Statistical Computing, pp. 4942-4956.
Hyndman, R., H. Booth y F. Yasmeen (2013), “Coherent Mortality Forecasting: The ProductRatio Method With Functional Time Series Models”, en Demography, 50 (1), Silver Spring, Population Association of America, pp. 261-283.
Instituto Nacional de Estadística y Censos (INDEC) (2013), Encuesta Nacional de Gastos de los Hogares ENGHo 2012/2013, Buenos Aires, INDEC.
Lee, R. D. y L. Carter (1992), “Modeling and Forecasting the Time Series of U.S. Mortality”, en Journal of the American Statistical Association, 87, Alexandria, American Statistical Association, pp. 659-71.
Lee, R. D. y R. Rofman (1994), “Modelación y Proyección de la Mortalidad en Chile”, en Notas de Población, XXII, núm. 59, Santiago de Chile, CEPAL, pp. 182-213, junio.
Lee, R. y S. Tuljapurkar (1994), “Stochastic population forecasts for the United States: Beyond high, medium, and low”, en Journal of the American Statistical Association, 89, Alexandria, American Statistical Association, pp. 1175-1189.
Ramsay, J. O. y B. W. Silverman (2005), Functional data analysis, Nueva York, Springer. 2nd Ed. R Core Team (2014), R: A language and environment for statistical computing, Viena (Austria), R Foundation for Statistical Computing. En http://www.R-project.org/.
Serfaty, E., L. Foglia, A. Masautis y G. Negri (2007), “Mortalidad por causas violentas en adolescentes y jóvenes de 10- 24 años”, en Revista Vertex, 40, CABA, Polemos, pp. 25-30.
Anexos

Anexos

Anexos

Anexos

Anexos

Anexos

Anexos

Anexos

Anexos

Anexos

Anexos

Anexos

Notas
[2]