Contenido
Estudio comparativo de los usos del tiempo en las ciudades de Rosario y Buenos Aires, Argentina
Estudio comparativo de los usos del tiempo en las ciudades de Rosario y Buenos Aires, Argentina
Población de Buenos Aires, vol. 15, núm. 27, pp. 31-47, 2018
Gobierno de la Ciudad de Buenos Aires
Recepción: 24 Octubre 2017
Aprobación: 01 Junio 2018
Resumen: El presente trabajo estudia los patrones de uso del tiempo de la población de las ciudades de Buenos Aires y Rosario, Argentina, sobre la base de las Encuestas de Uso del Tiempo realizadas en 2005 y 2010, respectivamente. Ambos relevamientos utilizan en su metodología el “diario de actividades” del día anterior y el mismo codificador de actividades, el cual es una reformulación del Clasificador Internacional de Actividades de Uso del Tiempo (ICATUS) de Naciones Unidas. A partir de un estudio comparativo de los principales resultados, se pretende determinar cuáles son las similitudes y diferencias en el “día promedio” de los habitantes de las ciudades de Rosario y Buenos Aires, desagregando por género y diferenciando días “laborables” y “no laborables”. De este modo, se busca visibilizar los nexos entre los usos del tiempo (o cantidad de vida) y la calidad de vida. Además, se estudian los tiempos simples y compuestos y el vínculo entre trabajo no remunerado y los patrones demográficos.
Palabras clave: Rosario, Ciudad de Buenos Aires, Usos del tiempo, Trabajo no remunerado, Género.
Abstract: The present paper studies the time use patterns of the population living in the cities of Buenos Aires and Rosario, Argentina, based on Time-Uses Surveys data. The survey was performed in 2005 for the city of Buenos Aires and in 2010 for the city of Rosario. Both surveys consider the "activity diary" of the previous day and the same activity encoder as methodological approach. The latter is a reformulation of the International Classification of Activities for Time-Use Statics (ICATUS). Based on a comparative study of the main results, this paper tries to determine the similarities and differences between the "average day" of the inhabitants of the cities of Rosario and Buenos Aires, disaggregating by gender and differentiating between "working" and "non-working" days. Also, this analysis tries to visibilize the links between the uses of time (quantity of life) and the quality of life. In addition, simple and compound times and the link between unpaid work and demographic patterns are analized.
Keywords: Rosario, City of Buenos Aires, Uses of time, Unpaid work, Gender.
Introducción
Las Encuestas de Uso del Tiempo permiten conocer el tiempo que las personas destinan a realizar distintas actividades. Al brindar información sobre cómo la población distribuye su tiempo, constituyen herramientas de visibilización y valoración tanto social como económica del trabajo doméstico y de cuidados no remunerado y han sido consideradas como el mejor instrumento para realizar estas mediciones (UNSD, 2005, p. 7); por lo tanto, resultan esenciales para el análisis de las relaciones de género ya que proporcionan datos sobre elementos poco visibles socialmente, como lo es el trabajo no remunerado que las mujeres realizan a través de estas actividades domésticas y de cuidados (Araya, 2003). La medición del trabajo no remunerado resulta importante para modificar la percepción que tiene la sociedad en su conjunto acerca de su relevancia, ya que permite poner este volumen de trabajo en relación con los trabajos “visibles” realizados para el mercado.
El trabajo-mercancía es solo uno de los tipos de trabajo, por lo cual es importante considerar la suma de todas las formas de trabajo, suma que sirve de base a cada sociedad para proporcionar subsistencia y bienestar a sus miembros (Aguirre, Cabrera y Calvo, 2008, p. 5).
Este tipo de encuestas cobró relevancia a partir de que la Plataforma de Acción de la IV Conferencia Mundial sobre la Mujer en Beijing (1995) instó a los países a diseñar e implementar “medios estadísticos apropiados para reconocer y hacer visible en toda su extensión el trabajo de las mujeres y todas sus contribuciones a la economía nacional, incluso en el sector no remunerado y en el hogar” (Punto 68.b), a través de “estudios periódicos sobre el uso del tiempo para medir cuantitativamente el trabajo no remunerado” (Punto 206.g.i.) (UN Women, 1995).
En América Latina y el Caribe hay dos eventos impulsados por la Comisión Económica para América Latina y el Caribe (CEPAL) que plantean la necesidad de realizar mediciones del uso del tiempo: el Consenso de Quito en el año 2007 y la Undécima Conferencia Regional sobre la Mujer (Brasilia, 2010). A partir de estas Conferencias Regionales y de la Conferencia de la OIT (Organización Internacional del Trabajo) 2008, se incorpora al enfoque derivado de la Plataforma de Acción de Beijing, la importancia del cuidado y la utilización de la información obtenida de las mediciones estadísticas para el diseño de políticas públicas (Aguirre y Ferrari, 2014).
Las Encuestas de Uso del Tiempo empezaron a implementarse en los países centrales de Europa en los años 70 y en América Latina y el Caribe a partir de la década de los 80. De manera complementaria, a mediados de los 70, con la creación de la International Association for time Use Research (IATUR), se aborda un tratamiento científico de las Encuestas de Uso del Tiempo y se elaboran normas metodológicas para su realización.
En América Latina y el Caribe, existen al menos 18 países que realizaron mediciones de uso del tiempo: Cuba, México, Nicaragua, Guatemala, Brasil, Bolivia, Uruguay, Costa Rica, Argentina, El Salvador, Ecuador, Panamá, Perú, República Dominicana, Colombia, Venezuela, Chile y Honduras. Estos países llevaron a cabo las encuestas aplicando distintas metodologías, persiguiendo diferentes objetivos y, por lo tanto, empleando diversos instrumentos y estrategias de relevamiento.
En la República Argentina, la Dirección General de Estadística y Censos del Gobierno de la Ciudad de Buenos Aires (DGEyC) realizó la primera Encuesta de Uso del Tiempo (EUT) en el año 2005; dicha encuesta abarcó únicamente el aglomerado de la Ciudad Autónoma de Buenos Aires (CABA). La implementación se realizó a través de la incorporación de un módulo específico a la Encuesta Anual de Hogares (EAH), y la población de referencia incluyó a las personas con edades comprendidas entre 15 y 74 años de edad inclusive, siendo seleccionada, posteriormente, de cada hogar una persona al azar.
En la ciudad de Rosario, en el año 2010, a partir de un convenio entre la Facultad de Ciencias Económicas y Estadística de la Universidad Nacional de Rosario (UNR), el Fondo de Desarrollo de las Naciones Unidas para la Mujer (UNIFEM, hoy ONU Mujeres) y el Programa de Voluntarios de Naciones Unidas (UNV), se concretó una Encuesta de Uso de Tiempo y Voluntariado donde también se recolectó información acerca de las actividades que varones y mujeres desarrollan a lo largo de un día.
Las EUT realizadas en la Ciudad de Buenos Aires (CABA) en 2005 y en Rosario en 2010 utilizaron el instrumento de recolección “diario de actividades del día de ayer” que permite conocer todas las actividades que desarrollan varones y mujeres y captar actividades simultáneas. Esta metodología habilita una mejor identificación del trabajo doméstico y de cuidados que suele hacerse al mismo tiempo con otras actividades. Las actividades se clasificaron de acuerdo con la primera versión del Clasificador Internacional de Actividades de Uso del Tiempo (International Classification of Activities for Time-Use Statics –ICATUS–) de Naciones Unidas.
Más recientemente, el Instituto Nacional de Estadística y Censos (INDEC) implementó una Encuesta de Uso del Tiempo (denominada Encuesta sobre Trabajo No Remunerado y Uso del Tiempo) con una cobertura nacional como módulo particular dentro de la Encuesta Anual de Hogares Urbanos (EAHU) durante el tercer trimestre de 2013 (Calero, Dellavalle, Zanino, 2015). La población de referencia abarcó a los/as miembros de los hogares incluidos en la muestra con edad mayor o igual a los 18 años. Los parámetros estimados se refieren a poco más de 26 millones de personas residentes en hogares de localidades de 2.000 y más habitantes de todo el país. En este relevamiento se utilizó un cuestionario basado en un “listado corto de actividades” que no es comparable con el diario de actividades utilizado en las EUT abordadas en el presente estudio.
Por último, en mayo de 2016 se llevó a cabo una prueba piloto sobre el uso del tiempo de mujeres y varones de la Ciudad Autónoma de Buenos Aires, utilizando dos estrategias de indagación: el “listado corto de actividades” y el “diario de actividades”, referidos al día anterior a la entrevista. Su evaluación permitió comprobar que el diario de actividades facilitó la captación de la simultaneidad de actividades.1 Tomando en cuenta las conclusiones obtenidas de la prueba piloto, entre el 7 de setiembre y el 15 de diciembre de 2016 se realizó la Encuesta sobre Uso del Tiempo en la Ciudad de Buenos Aires (UT-CABA 2016) cuyo objetivo consistió en producir información sobre el tiempo que las personas (mujeres y varones, jóvenes, personas mayores) dedican diariamente a diferentes actividades; trabajo remunerado, actividades domésticas, el cuidado, el esparcimiento, los viajes y traslados, etc.2 (DGEyC, 2017).
En este contexto, el presente trabajo tiene como objetivo efectuar una comparación entre la CABA y Rosario utilizando los principales resultados siguiendo la clasificación ICATUS de Naciones Unidas, que describe el tiempo que cotidianamente dedican las mujeres y varones a diferentes actividades tales como trabajo para el mercado, cuidado del hogar y niños/as, estudio, esparcimiento, etcétera.
Esta comparación resulta relevante dado que se trata de dos de los principales centros urbanos de la Argentina, con dinámicas propias por ser centros económicos de aglomerados socioeconómicos muy importantess (Gran Buenos Aires y Gran Rosario). Por otro lado, se diferencian en que Buenos Aires, además de ser capital del país (mientras que Rosario no es siquiera capital de provincia), es un aglomerado sustancialmente más grande que Rosario. De esta manera, la comparación es fundamental para poder detectar patrones y diferencias intrínsecas en la distribución y las dinámicas de los usos del tiempo.
Para ello, en el primer apartado se presenta, ante todo, una breve caracterización de las dos ciudades con el objetivo de poder captar similitudes y diferencias que, en parte, puedan explicar patrones diferenciales de uso del tiempo. En el siguiente punto de ese mismo apartado, se detallan algunos indicadores referidos al mercado de trabajo (remunerado) en ambas ciudades. Seguidamente, se realiza una breve descripción demográfica de ambos centros urbanos. Luego se hace una breve comparación entre las cuestiones metodológicas y operativas de ambas encuestas que, aunque con continuidad entre sí, presentan algunas diferencias que pueden ser significativas. En el segundo apartado, se detallan las características metodológicas de las dos encuestas, y en el tercero se analizan comparativamente los patrones de tiempo simple (intragénero e intergénero) por ciudad y se mencionan las principales diferencias en cuanto al tiempo con simultaneidad. Por último, se refuerza la importancia de este tipo de análisis sobre patrones de uso del tiempo para los estudios sobre las condiciones de vida de la población en aglomerados urbanos.
Caracterización de las Ciudades de Buenos Aires y Rosario
Características generales
Ciudad Autónoma de Buenos Aires
La Ciudad Autónoma de Buenos Aires (CABA) es una de las veinticuatro entidades federales y es la capital de la República Argentina. Pertenece a la región centro-este del país y está situada a orillas del Río de la Plata en la llanura pampeana. Actualmente, la Ciudad cuenta con una población estable de cerca de 3 millones de habitantes, en una superficie de 203 km2.
Fue fundada a mediados del siglo XVI y se le otorgó su autonomía en la Reforma Constitucional llevada a cabo en la Argentina en 1994. Como capital de la Nación, concentra funciones administrativas y gubernamentales del Estado Nacional.
Es la principal ciudad de la región Metropolitana de Buenos Aires y una unidad urbano-funcional con más de 13 millones de habitantes. La organización de esta región presenta un centro metropolitano que concentra las principales actividades administrativas, financieras, bancarias, comerciales y de servicios propias de un centro de negocios. El particular desarrollo socio-histórico del país dio lugar a la concentración de los mayores porcentajes de Producto Bruto Interno y Producto Bruto Industrial.
Ciudad de Rosario
La Ciudad de Rosario está ubicada en el centro-este argentino, en la Provincia de Santa Fe. Es la tercera ciudad más poblada de Argentina después de Buenos Aires y Córdoba. Según el Censo Nacional de Población y Vivienda de 2010, el municipio de Rosario contaba con 948.312 habitantes. Constituye un importante centro cultural, económico, educativo, financiero y de entretenimiento.
Está situada en la margen occidental del río Paraná, en la Hidrovía Paraná-Paraguay. Sobre dicho río, está enclavado un puerto de 140 ha que maneja cargas generales así como a granel.
Rosario es núcleo de una región de gran importancia económica, encontrándose en una posición geográfica estratégica con relación al MERCOSUR, gracias al tránsito fluvial y al transporte terrestre. Cerca del 80% de la producción de cereales, aceites y sus derivados se exporta de los puertos del Gran Rosario. Es la principal metrópoli de una de las zonas agrarias más productivas de la Argentina y es centro comercial, de servicios y de una industria diversificada. Genera el segundo Producto Bruto Geográfico urbano de la Argentina después del aglomerado Gran Buenos Aires.
Desde 1997, se lleva a cabo un programa municipal de descentralización de tareas materializado en 6 Distritos (Centro, Norte, Sur, Oeste, Noroeste y Sudoeste).
Mercado de trabajo remunerado de las ciudades de Buenos Aires y Rosario
Para el cuarto trimestre de 2005, momento de la realización de la EUT, la Tasa de Actividad de la CABA era del 54,4%, la de Empleo del 50,1% y la de Desocupación del 8%. La subocupación demandante en la misma ciudad era del 5,5% y la no demandante del 3,8%. En un informe de la Dirección General de Estadística y Censos del Gobierno de la Ciudad de Buenos Aires (2007), basado en el estudio de la evolución de los principales indicadores del mercado laboral, se presenta la evolución de la tasa de actividad, empleo y desocupación según sexo para el período 2002-2006.
En el Cuadro 1 se observa que la disminución de las tasa de Desocupación es compartida por ambos sexos, pero que ha sido la fuerza de trabajo masculina la que se ha beneficiado en mayor medida: si se toma como base el año 2002, la tasa masculina alcanza un valor 65% menor en el año 2006, mientras que, en el mismo período, la desocupación femenina disminuye un 58%. Ambos sexos comparten la tendencia creciente de las tasas de Actividad y Empleo, pero, si se focaliza en el período 2005/2006, es posible observar algunas especificidades: mientras que los varones presentan aumentos tanto en la tasas de Actividad como de Empleo, en las mujeres, en el año 2005, se observan disminuciones de ambas tasas.
Por otro lado, para el segundo trimestre de 2010, momento del relevamiento de la EUT, la tasa de Actividad en Rosario era del 46,8%, la de Empleo del 42,6 y la de Desocupación del 9%. La subocupación demandante era del 6,6% y la no demandante del 2,9%. Según un informe del IPEC, para el cuarto trimestre de 2010 existían en el aglomerado Rosario 44.973 trabajadores desocupados, de los cuales un 82,4% eran antiguos trabajadores (individuos que trabajaban pero perdieron su empleo), mientras que el 17,6% estaba en la búsqueda de su primer trabajo. Del total de mujeres desocupadas, el 20,9% buscaba su primer empleo (un porcentaje superior al de varones con el 14,7%). Estas cifras reflejan una mayor participación de las mujeres en el mercado laboral, tendencia constante para los cuatro trimestres de 2010. De los nuevos trabajadores, el 55,6% son mujeres –dato que es validado por el hecho de que la población femenina representa en la ciudad un 53% de la misma–. En el mismo informe, se destaca que, de los ocupados, el 60,7% son varones mientras que el 39.3% son mujeres; ahora, si se habla de desocupación, el 54,6% son varones y el 45,4% mujeres. Los varones son los que más participación tienen en la PEA así como dentro de los ocupados; pero en los desocupados, la brecha de porcentaje de mujeres y varones se achica. Esto supondría, como se señaló, una mayor participación de las mujeres en el mercado laboral.

Características socio-demográficas de las ciudades de Buenos Aires y Rosario
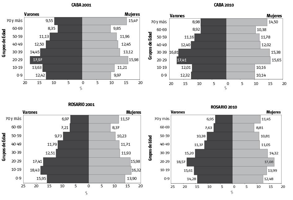
Sintéticamente, en esta sección se analizan determinados aspectos que podrían incidir tanto en la carga como en la distribución del trabajo de cuidado y doméstico no
Sintéticamente, en esta sección se analizan determinados aspectos que podrían incidir tanto en la carga como en la distribución del trabajo de cuidado y doméstico no remunerado, a través de lo observado en las pirámides poblacionales (Gráfico 1).
Comparando los datos obtenidos de los Censos Nacionales de Población y Vivienda de 2001 y de 2010, de manera general, se puede afirmar que la Ciudad de Buenos Aires supera tres veces a Rosario en cantidad de habitantes para los dos años contemplados. Esto significa una tasa de crecimiento poblacional similar en dicho periodo, correspondiente al 4% aproximadamente.
La Ciudad de Buenos Aires tiene una población más feminizada que la de Rosario. En este sentido, a nivel promedio, la población femenina representa para Buenos Aires el 54,67% en 2001 y el 53,99% en 2010, mientras que para Rosario se registra una población femenina promedio del 52,65% y del 52,52% respectivamente. La mayor diferencia entre las ciudades se presenta en el rango comprendido entre 55 y 59 años para ambos años.
Respecto del envejecimiento de la población, las dos localidades muestran un descenso paulatino de la tasa de natalidad, el cual es más reciente para la ciudad de Rosario, con un incremento de la población envejecida.
Con la finalidad de establecer alguna relación entre las diferencias encontradas en las variables analizadas en este trabajo y la distribución del ingreso en ambas ciudades, relevamos los porcentajes de personas bajo la línea de pobreza en los períodos en que se realizaron las encuestas en las ciudades de Buenos Aires y Rosario (Gráfico 2).3
El Gráfico 2 refleja que la Ciudad de Buenos Aires tiene menos personas bajo la línea de pobreza en todos los períodos analizados. Según datos de la Encuesta Permanente de Hogares, el Ingreso Per Cápita Familiar de la Ciudad Autónoma de Buenos Aires prácticamente duplica el promedio de ingresos estimados para el total de aglomerados urbanos del país. Si analizamos los dos momentos en que se hicieron las Encuestas de Uso del Tiempo en Buenos Aires (2005) y en Rosario (2010), un dato que puede tener relevancia al momento de estudiar los datos de ambas encuestas es la importante disminución de las personas bajo la línea de pobreza en el año 2010 respecto de 2005 en ambas ciudades.


Características metodológicas
Como hemos mencionado, las Encuestas de Uso del Tiempo (EUT) de la Ciudad de Buenos Aires y de Rosario se relevaron mediante la implementación del diario de actividades del día de ayer. Dicho instrumento permite indagar sobre todas las actividades que mujeres y varones realizan en forma simultánea, facilitando una mejor cuantificación del trabajo doméstico y de cuidados no remunerado que suelen hacerse al mismo tiempo con otras actividades.4
En el Cuadro 2 se presenta el resumen de las principales características tanto de la Encuesta de Uso del Tiempo de Rosario como de su antecesora de Buenos Aires.
| Cuadro 2 Descripción metodológica de las Encuestas de Uso del Tiempo de Buenos Aires y Rosario | |||
| CABA | Rosario | ||
| Cobertura y período | |||
| Año | 2005. Noviembre y Diciembre | 2010. Mayo, Junio y Julio | |
| Cobertura | Ciudad de Buenos Aires | Ciudad de Rosario | |
| Zonas abarcadas | No se incluyeron las villas de emergencia, hoteles, pensiones, casas tomadas e inquilinatos | Se incluyeron los asentamientos irregulares/villas | |
| Financiamiento | Dirección General de Estadísticas y Censos de la CABA | UNIFEM (hoy ONU Mujeres) y UNV (Voluntarios de Naciones Unidas) | |
| Distribución de roles | |||
| Diseño encuesta | Equipo de investigación del Instituto de Ciencias de la Universidad Nacional de General Sarmiento, coordinado por Valeria Esquivel | Equipo de investigación de la Facultad de Ciencias Económicas y Estadística con colaboración de Valeria Esquivel | |
| Trabajo de campo | DGEyC de CABA | IPEC | |
| Carga y primer procesamiento | DGEyC de CABA | Diseño de tabulados, carga de la información, rutinas de consistencia y cuadros básicos por el IPEC | |
| Administradores del cuestionario | El diario fue administrado por los/as encuestadores/as, quienes codificaban en la DGEyC | El diario fue administrado por los/as encuestadores/as, quienes codificaban en el IPEC | |
| Herramientas metodológicas | |||
| Formularios/ Cuestionarios | Hogar, Vivienda e Individual son los utilizados en la Encuesta Anual de Hogares | Hogar, Vivienda e Individual son los utilizados en la Encuesta Permanente de Hogares | |
| El modulo Encuesta Uso del Tiempo fue desarrollado por Valeria Esquivel | El modulo Encuesta Uso del Tiempo es igual al desarrollado por Valeria Esquivel | ||
| No hubo Modulo de Voluntariado. | El Modulo Voluntariado fue desarrollado por el equipo de investigación de la Facultad de Ciencias Económicas y Estadística de la UNR (a pedido de UNV) | ||
| Tipo de Encuesta | Encuesta de tareas (no lista corta de actividades) | Encuesta de tareas (no lista corta de actividades) | |
| Se utilizó el diario de actividades del día de ayer. | Se utilizó el diario de actividades del día de ayer. | ||
| Clasificador | Clasificación de las actividades basadas en la Clasificación Internacional de Actividades para Estadísticas de Uso del Tiempo (ICATUS) | Clasificación de las actividades basadas en la Clasificación Internacional de Actividades para Estadísticas de Uso del Tiempo (ICATUS) | |
| Sobre la población encuestada | |||
| Población encuestada | 1.408 Hogares | 1.001 Hogares | |
| 1.408 personas respondieron la EUT | 2.318 personas respondieron la EUT | ||
| Rango de edades | Mayores de 14 años y menores de 75 | Mayores de 14 años (sin límite superior de edad) | |
| Criterio de selección | Se encuestó a un único miembro del hogar. Seleccionado al azar, intentando que no fuera quien responde la EAH | Se encuestó a todos los miembros del hogar. | |
| Distribución por día de la semana | Lunes | 16% | 17% |
| Martes | 16% | 18% | |
| Miércoles | 15% | 16% | |
| Jueves | 13% | 15% | |
| Viernes | 18% | 10% | |
| Sábado | 7% | 7% | |
| Domingo | 14% | 16% | |
| Distribución por género | Varones | 42% | 45% |
| Mujeres | 58% | 55% | |
| Distribución por rol en el hogar | Jefe/a | 57% | 42% |
| Cónyuge | 25% | 26% | |
| Hijo/a | 12% | 26% | |
| Otros miembros | 6% | 6% | |
| Fuente: Elaboración propia. | |||
En el relevamiento realizado en la ciudad de Rosario, se pudieron mejorar algunas cuestiones de representatividad –como el hecho de incluirse los asentamientos irregulares/villas de emergencia–. Adicionalmente, la encuesta realizada en dicha ciudad incluyó a una mayor cantidad de encuestados/as en términos absolutos, siendo que incluso en la Ciudad de Buenos Aires vive una mayor cantidad de personas.
Otro elemento que merece destacarse es que, mientras que en la Ciudad de Buenos Aires se poseen datos socioeconómicos de todo el hogar pero un diario de actividades por hogar, en la ciudad de Rosario, además de los datos socioeconómicos de todos los miembros del hogar, se dispone de los diarios de actividades de todos los mayores de 14 años de cada hogar, lo que permite trabajar mejor con los hogares como unidad de estudio. En cambio, en el caso de la Ciudad de Buenos Aires, es necesario “simular” hogares si se quiere evaluar la dinámica interna. Este punto es importante a la hora de establecer la pobreza de tiempo y/o medidas de pobreza compuestas de tiempo e ingreso, ya que es necesario conocer la distribución de los tiempos hacia adentro de un hogar para poder determinar su pertenencia a una u otra categoría en estudio.5 Por otro lado, no se observan diferencias notorias en la distribución de la muestra por día, por género o por rol en el hogar.
Patrones de uso del tiempo en Buenos Aires y Rosario
Patrones de tiempo simple
En esta sección, se presenta información que permite visualizar cómo las mujeres y varones en la ciudad de Rosario y Buenos Aires distribuyen entre las diferentes actividades las 24 horas de un día, en promedio. Para ello, se utilizó como variable el tiempo simple, es decir el resultante de dividir cada bloque horario de 30 minutos por el número de actividades de dicho bloque6 y promedio para toda la población encuestada (es decir, promediando tiempos positivos con tiempos nulos).
En primer lugar, se presenta una comparación intragénero por ciudad, para luego presentar las diferencias entre géneros, relativamente más estudiadas y con evidencias de fuerte división sexual del trabajo en ambas ciudades (Esquivel, 2009; Ganem, Giustiniani y Peinado, 2012 y 2014). A su vez, esta información, en un primer momento, se presenta para el promedio de los siete días de la semana (lunes a domingo), para luego indagar sobre las diferencias que se expresan al tomar por un lado los días típicamente de trabajo remunerado (lunes a viernes) y por otro los días de fin de semana (sábado y domingo) en los que, en principio, se reduce fuertemente el peso del trabajo remunerado. Seguidamente, se estudia la relación entre trabajo no remunerado y patrones demográficos.
Posteriormente se presentan algunos resultados de la comparación de los tiempos con simultaneidad, es decir aquellos patrones que surgen del hecho de que las actividades principales (por ejemplo, cocinar) habitualmente se realizan en conjunto con otra actividad (por ejemplo, escuchar la radio).
Patrones de uso de tiempo simple entre mujeres
En los Cuadro 3, 4 y 5 se compara a las mujeres de las ciudades de Buenos Aires y Rosario y se estudia la distribución del tiempo simple durante toda la semana (lunes a domingo), en los días típicamente laborables o días de la semana (lunes a viernes) y, finalmente, en los días en principio no laborables o días del fin de semana (sábado a domingo).
• Las mujeres de la Ciudad de Buenos Aires dedican una mayor proporción de su tiempo a realizar trabajo remunerado, equivalente a 1,14 veces el tiempo dedicado por las mujeres de la ciudad de Rosario a realizar dicho trabajo.
• Para el caso del trabajo no remunerado, las mujeres de la ciudad de Rosario dedican una mayor proporción de su tiempo a realizar este tipo de tareas, equivalente a 1,02 veces el tiempo que le dedican las mujeres de la Ciudad de Buenos Aires. Lo mismo ocurre con otras actividades: las mujeres de la ciudad de Rosario les dedican más tiempo, lo que equivale a 1,04 veces el tiempo dedicado por las mujeres de la Ciudad de Buenos Aires.
• Para el trabajo no remunerado, el principal factor explicativo lo constituye el trabajo doméstico no pagado para el uso de propio hogar y el cuidado no pagado de niños y/o adultos no remunerados, aunque el tiempo dedicado al voluntariado y ayudas no pagadas a otros hogares de parientes es mayor en la Ciudad de Buenos Aires.
• Dentro de otras actividades, el factor explicativo lo constituyen el tiempo dedicado a la educación, a actividades relacionadas con los medios de comunicación y a actividades de cuidados personales, aunque el tiempo dedicado a actividades relacionadas con el tiempo libre es mayor en la Ciudad de Buenos Aires.
• Al considerar los grandes grupos de actividades, se puede observar que, a tiempos similares dedicados a trabajo no remunerado, mientras que las mujeres le dedican más tiempo en la Ciudad de Buenos Aires, en la ciudad de Rosario ocupan más tiempo en realizar otro tipo de actividades.
• Dentro del trabajo remunerado, el único factor explicativo lo constituye el trabajo para el mercado. En cambio, en otras actividades, las mujeres rosarinas dedican más tiempo a la educación, a las actividades relacionadas con los métodos de comunicación y a las actividades de cuidados personales; las actividades relacionadas con el tiempo libre no constituyen un factor de diferencia importante.
• Nuevamente las mujeres dedican más tiempo a realizar trabajo remunerado en la Ciudad de Buenos Aires, mientras que en la ciudad de Rosario ocupan más tiempo en trabajo no remunerado. En lo que respecta a otras actividades, se puede decir que, tanto en la ciudad de Rosario como en la de Buenos Aires, las mujeres destinan tiempos similares.
• En cuanto al trabajo no remunerado, el factor explicativo lo constituyen el trabajo doméstico no pagado para uso del propio hogar y el cuidado no pagado de niños y/o adultos no remunerados, aunque en este rubro el tiempo dedicado al voluntariado y ayudas no pagadas a otros hogares de parientes amigos y vecinos es mayor en la Ciudad de Buenos Aires.
Patrones de uso de tiempo simple entre varones
Comparamos aquí a los varones de las ciudades de Buenos Aires y Rosario, y estudiamos la distribución del tiempo simple, durante toda la semana (lunes a domingo), en los días típicamente laborables o días de la semana (lunes a viernes) y, finalmente, en los días en principio no laborables o días del fin de semana (sábado a domingo) (Cuadros 6, 7 y 8).
• Los varones de la Ciudad de Buenos Aires dedican una mayor proporción de su tiempo a realizar trabajo remunerado, equivalente a 1,17 veces el tiempo destinado a ese tipo de trabajo por los varones de la ciudad de Rosario.
• Para el caso del trabajo no remunerado, los varones de la ciudad de Rosario ocupan una mayor proporción de tiempo en estas actividades, equivalente a 1,10 veces el tiempo que le dedican los varones de la Ciudad de Buenos Aires. Lo mismo ocurre con otras actividades: son los varones de la ciudad de Rosario los que les destinan mayor cantidad de tiempo, equivalente a 1,04 veces el tiempo que les dedican los varones de la Ciudad de Buenos Aires.
• Para el trabajo no remunerado, los tiempos más relevantes están constituidos por el trabajo doméstico no pagado para el uso de propio hogar y el cuidado no pagado de niños y/o adultos no remunerados. A su vez, también es mayor el tiempo dedicados por los varones de Rosario a los voluntarios y ayudas no pagadas a otros hogares de parientes.
• Dentro de otras actividades, el tiempo destinado a la educación es similar en ambas ciudades, mientras que los factores explicativos de la diferencia están constituidos por actividades relacionadas con los medios de comunicación, con actividades de cuidados personales y con actividades relacionadas con el tiempo libre; respecto de todas ellas, el tiempo dedicado es mayor en la ciudad de Rosario.
• Los tiempos dedicados al trabajo no remunerado son similares en ambas ciudades; los varones destinan más tiempo a realizar trabajo remunerado en la Ciudad de Buenos Aires; en la ciudad de Rosario, los varones ocupan más tiempo en otro tipo de actividades.
• En otras actividades, los varones de ambas ciudades dedican el mismo tiempo a la educación, mientras que, al considerar el tiempo destinado a las actividades relacionadas con el tiempo libre, con los medios de comunicación y con cuidados personales, son los varones de la ciudad de Rosario quienes ocupan una mayor cantidad de tiempo.
• Nuevamente, se advierten tiempos similares dedicados a realizar trabajo no remunerado, pero una diferencia en cuanto al tiempo destinado al trabajo remunerado: a diferencia de lo que ocurre en los días de semana, son los varones de la ciudad de Rosario los que le dedican mayor cantidad de tiempo; y en cuanto a otras actividades, en ambas ciudades los varones destinan tiempos similares.
• Dentro del trabajo no remunerado, el principal elemento lo constituyen el trabajo doméstico no pagado para uso del propio hogar y el cuidado no pagado de niños y/o adultos no remunerados, aunque en este rubro el tiempo dedicado al voluntariado y ayudas no pagadas a otros hogares de parientes, amigos y vecinos es mayor en la Ciudad de Buenos Aires.
• En cuanto a otras actividades, se evidencia que los factores explicativos son el tiempo para las actividades relacionadas con el tiempo libre y las actividades de cuidados personales: los varones de la ciudad de Rosario dedican más tiempo a las primeras, mientras que los varones de la Ciudad de Buenos Aires insumen más tiempo en las segundas.
| Cuadro 3 Mujeres. Tiempo simple promedio, lunes a domingo, por grupos de actividades (en horas y minutos) | ||
| Buenos Aires | Rosario | |
| Subtotal trabajo remunerado | 2:45 | 2:14 |
| Trabajo para el mercado | 2:45 | 2:14 |
| Subtotal trabajo no remunerado | 4:17 | 4:25 |
| Trabajo doméstico no pagado para el uso del propio hogar | 3:03 | 3:05 |
| Cuidado no pagado de niños y/o adultos no remunerados | 0:58 | 1:07 |
| Voluntariados y ayudas no pagadas a otros hogares de parientes, amigos y vecinos | 0:16 | 0:13 |
| Subtotal otras actividades | 16:53 | 17:15 |
| Educación | 0:42 | 0:51 |
| Actividades relacionadas con el tiempo libre | 2:56 | 2:53 |
| Actividades relacionadas con los medios de comunicación | 2:28 | 2:38 |
| Actividades de cuidado personal | 10:47 | 10:53 |
| Total | 24:00 | 24:00 |
| Fuente: Elaboración propia basada en Ganem, Giustiniani y Peinado (2012) y Esquivel (2009). | ||
| Buenos Aires | Rosario | |
| Subtotal trabajo remunerado | 3:24 | 2:43 |
| Trabajo para el mercado | 3:24 | 2:43 |
| Subtotal trabajo no remunerado | 4:32 | 4:35 |
| Trabajo doméstico no pagado para el uso del propio hogar | 3:11 | 3:11 |
| Cuidado no pagado de niños y/o adultos no remunerados | 1:04 | 1:09 |
| Voluntariados y ayudas no pagadas a otros hogares de parientes, amigos y vecinos | 0:17 | 0:15 |
| Subtotal otras actividades | 16:01 | 16:42 |
| Educación | 0:50 | 1:03 |
| Actividades relacionadas con el tiempo libre | 2:22 | 2:24 |
| Actividades relacionadas con los medios de comunicación | 2:23 | 2:35 |
| Actividades de cuidado personal | 10:26 | 10:40 |
| Total | 24:00 | 24:00 |
| Fuente: Elaboración propia basada en Ganem, Giustiniani y Peinado (2012) y Esquivel (2009). | ||
| Buenos Aires | Rosario | |
| Subtotal trabajo remunerado | 1:04 | 0:45 |
| Trabajo para el mercado | 1:04 | 0:45 |
| Subtotal trabajo no remunerado | 3:38 | 3:56 |
| Trabajo doméstico no pagado para el uso del propio hogar | 2:45 | 2:48 |
| Cuidado no pagado de niños y/o adultos no remunerados | 0:41 | 1:00 |
| Voluntariados y ayudas no pagadas a otros hogares de parientes, amigos y vecinos | 0:12 | 0:08 |
| Subtotal otras actividades | 19:14 | 19:18 |
| Educación | 0:20 | 0:12 |
| Actividades relacionadas con el tiempo libre | 4:28 | 4:24 |
| Actividades relacionadas con los medios de comunicación | 2:42 | 2:48 |
| Actividades de cuidado personal | 11:44 | 11:54 |
| Total | 24:00 | 24:00 |
| Fuente: Elaboración propia basada en Ganem, Giustiniani y Peinado (2012) y Esquivel (2009). | ||
Patrones de uso de tiempo simple entre mujeres y varones
En ambas ciudades se observa que los varones duplican a las mujeres en horas dedicadas al trabajo de mercado, en tanto que ellas dedican en promedio tres veces más de tiempo que los varones al trabajo no remunerado.
Por ejemplo, si analizamos de lunes a domingo (Cuadros 2 y 5), se aprecia que las mujeres de la ciudad de Rosario destinan 2:14 horas en promedio al trabajo de mercado y 4:25 horas en promedio al trabajo no remunerado, mientras que los varones de esta ciudad dedican en promedio, 4:28 horas al trabajo de mercado y 1.42 horas al trabajo no remunerado. Este patrón se repite en la Ciudad de Buenos Aires, donde las mujeres ocupan en promedio 2:45 horas en el trabajo de mercado y 4:17 horas en el trabajo no remunerado, mientras que los varones dedican en promedio 5:14 horas al trabajo de mercado y 1:33 horas al trabajo no remunerado. También se observa que tanto los varones como las mujeres de la Ciudad de Buenos Aires dedican en promedio más tiempo a las actividades de mercado que sus pares de la ciudad de Rosario, mientras que estos destinan, en promedio, mayor cantidad de horas al trabajo no remunerado.
Respecto del tiempo que ocupan las actividades de educación, tiempo libre, comunicación y cuidados personales, se constata una mayor igualdad en la Ciudad de Buenos Aires, donde las mujeres dedican más tiempo a estas actividades durante la semana, mientras que los varones lo hacen durante el fin de semana; pero, en el promedio de lunes a viernes, la cantidad de horas destinadas a estas actividades es de 17 horas. Por otra parte, en la ciudad de Rosario, son los varones quienes dedican mayor cantidad de horas a estas actividades, tanto en la semana como durante el fin de semana; por eso, el promedio semanal de ellos es de 17:50 horas, mientras que el de ellas es de 17:15 horas.

| Buenos Aires | Rosario | |
| Subtotal trabajo remunerado | 6:40 | 5:14 |
| Trabajo para el mercado | 6:40 | 5:14 |
| Subtotal trabajo no remunerado | 1:30 | 1:42 |
| Trabajo doméstico no pagado para el uso del propio hogar | 1:05 | 1:11 |
| Cuidado no pagado de niños y/o adultos no remunerados | 0:21 | 0:24 |
| Voluntariados y ayudas no pagadas a otros hogares de parientes, amigos y vecinos | 0:04 | 0:07 |
| Subtotal otras actividades | 15:47 | 17:03 |
| Educación | 0:56 | 1:00 |
| Actividades relacionadas con el tiempo libre | 2:22 | 2:46 |
| Actividades relacionadas con los medios de comunicación | 2:27 | 2:48 |
| Actividades de cuidado personal | 10:02 | 10:29 |
| Total | 24:00 | 24:00 |
| Fuente: Elaboración propia basada en Ganem, Giustiniani y Peinado (2012) y Esquivel (2009). | ||
| Cuadro 8 Varones. Tiempo simple promedio, sábado y domingo, según grupos de actividades (en horas y minutos) por ciudad | ||
| Buenos Aires | Rosario | |
| Subtotal trabajo remunerado | 1:52 | 1:54 |
| Trabajo para el mercado | 1:52 | 1:54 |
| Subtotal trabajo no remunerado | 1:38 | 1:37 |
| Trabajo doméstico no pagado para el uso del propio hogar | 1:07 | 1:08 |
| Cuidado no pagado de niños y/o adultos no remunerados | 0:24 | 0:23 |
| Voluntariados y ayudas no pagadas a otros hogares de parientes, amigos y vecinos | 0:07 | 0:06 |
| Subtotal otras actividades | 20:25 | 20:29 |
| Educación | 0:10 | 0:10 |
| Actividades relacionadas con el tiempo libre | 4:53 | 5:08 |
| Actividades relacionadas con los medios de comunicación | 3:00 | 3:04 |
| Actividades de cuidado personal | 12:22 | 12:07 |
| Total | 24:00 | 24:00 |
| Fuente: Elaboración propia basada en Ganem, Giustiniani y Peinado (2012) y Esquivel (2009). | ||
Trabajo no remunerado y patrones demográficos
Una dimensión importante a tener presente es cómo estos patrones de uso del tiempo de varones y mujeres “promedio” se modifican al tener en cuenta algunas de las variables que definen características personales y/o del hogar, visibilizando las heterogeneidades dentro de dichos patrones y posibles determinantes, o al menos condicionantes. En esta sección el foco se pone sobre los principales componentes del trabajo no remunerado (doméstico y de cuidados), en función de la edad de las personas y su nivel de ingresos.
En lo que se refiere a los grupos etarios, se aprecia que la mayor carga del trabajo doméstico no remunerado (Gráfico 3) se concentra primeramente sobre las mujeres (con mayor intensidad en las rosarinas) y sobre la población de entre 40 y 74 años.7 La brecha mujeres-varones es menor en las personas entre 15 y 24 años (aunque tampoco se puede hablar de una situación equitativa), lo cual puede tener su origen en que no son los/as encargados/as principales del trabajo doméstico no remunerado, sino que sean quienes lo complementen. Frente al planteo de que “las nuevas generaciones son más igualitarias” casi por un fenómeno natural o que se autorregula, se observa que también en la población de 75 años y más tiende a ser menos desigual la distribución del trabajo doméstico no remunerado, con lo cual pareciera tener más relación con la participación o no en el trabajo remunerado que con un fenómeno que se vaya a solucionar por sí solo.
Se destaca que la mayor intensidad de las mujeres de la Ciudad de Buenos Aires se alcanza recién en el tramo que se inicia a los 40 años, mientras que las mujeres de Rosario la incrementan ya en el tramo de 25 a 39 años. Luego siempre las rosarinas dedican más tiempo que las de la Ciudad de Buenos Aires.
En lo que se refiere al trabajo de cuidados no remunerado (Gráfico 4), por supuesto que la presencia o no de menores y/o adultos dependientes condiciona la realización o no de dichas tareas, y, según la situación, los tiempos necesarios. De todas maneras, nuevamente el trabajo de cuidados no remunerado recae principalmente sobre las mujeres, con una mayor preponderancia en el tramo de 25 a 39 años (muy influido por el inicio de la maternidad y, por lo tanto, con una mayor intensidad asociada, que impacta menos que el fenómeno de la paternidad) que luego vuelve a ser más que significativo en el tramo de 65 a 74 (probablemente relacionado con la aparición de las abuelas cuidadoras de nietos). Sin embargo, por ejemplo, los varones justamente en el tramo de 65 a 74 es cuando menos trabajo de cuidados no remunerado realizan.
Estos datos reflejan un comportamiento diferencial entre la Ciudad de Buenos Aires y la de Rosario, a la hora de complementar el cuidado no remunerado que recae principalmente sobre las madres. En este sentido, en cuanto al salto en la cantidad de trabajo doméstico que realizan las mujeres de entre 25 y 39 años en ambas ciudades, en la ciudad de Rosario se anticipa en el tramo de 15 a 24 años (posiblemente asociado a maternidades más tempranas y al rol de las tías jóvenes y/o hermanas como cuidadoras), mientras que en la Ciudad de Buenos Aires se da con un salto en el trabajo de cuidados no remunerado de las mujeres mayores a 65 años.
También merece destacarse el fenómeno de los “abuelos cuidadores” en la ciudad de Rosario, reflejado en el tramo de 75 años y más, donde son los varones quienes más cuidan (Ganem et. al., 2015).


Patrones de uso del tiempo con simultaneidad
En esta sección el foco se desplaza brevemente hacia los tiempos con simultaneidad que surgen del hecho de que el diario de actividades permite captar con qué otras actividades se realizan las actividades principales. De esta manera, por ejemplo, se puede determinar si las personas se dedican exclusivamente a cuidar o si, al mismo tiempo que están cuidando, están viendo televisión, están limpiando, etcétera.
Si bien en la ciudad de Rosario se mantiene la mayor extensión del día promedio para las mujeres –lo cual, a largo plazo, también tiene consecuencias sobre la calidad de vida y el bienestar–, en la Ciudad de Buenos Aires quienes más tiempo con simultaneidad presentan son los varones.
Es importante destacar que la diferencia de horas entre varones y mujeres en Rosario es casi de tres, mientras que en la Ciudad de Buenos Aires es menor a una hora.
| Varones | Mujeres | |
| Ciudad de Buenos Aires | 29:38 | 28:25 |
| Ciudad de Rosario | 27:56 | 30:40 |
| Fuente: Elaboración propia basada en Ganem, Giustiniani y Peinado (2012) y Esquivel (2009). | ||
Conclusiones
A pesar de que las actividades no remuneradas son esenciales para la dinámica del sistema social, generan valor económico y tienen un rol clave en el funcionamiento de las políticas públicas, no se las estudia con la misma intensidad que el trabajo remunerado, lo cual es reflejo de la invisibilización a la que son sometidas esas actividades realizadas fundamentalmente por las mujeres (Ganem, Giustiniani y Peinado, 2014). Por ello, el presente trabajo intenta dar cuenta de las diferencias existentes tanto en los patrones de usos del tiempo de los habitantes de las ciudades de Buenos Aires y de Rosario, como entre varones y mujeres en ambas ciudades.
La medición de los usos del tiempo muestra las ventajas de abandonar la concepción, propia de la economía hegemónica y en especial de la teoría neoclásica, de que solo aquello que pasa por el mercado existe y, por lo tanto, es susceptible de medición y de relevancia para la economía. Esto permite obtener una visión más integral de una realidad compleja y dinámica pero no “natural”, sino socialmente determinada y transformable a partir de la acción colectiva (Ganem, Giustiniani y Peinado, 2012).
En este sentido, ambas Encuestas de Uso del Tiempo dan cuenta de que las mujeres trabajan en total más tiempo que los varones, ya que para estas investigaciones se considera trabajo tanto el trabajo productivo (de mercado) como el reproductivo (doméstico, de cuidados y voluntariado).
Adicionalmente la medición del trabajo no remunerado, que comprende las actividades domésticas, las correspondientes al cuidado de personas y las realizadas en carácter de voluntariado a la comunidad, resultan esenciales para avanzar en un correcto análisis del sistema económico ya que este tipo de trabajo se constituye en uno de los principales agregados económicos y posee características que lo constituyen en pilar de la reproducción del sistema en su conjunto (Rodríguez Enríquez, 2005; Rodríguez Enríquez, Ganem, Giustiniani y Peinado, 2011).
Entre las principales conclusiones se destaca que las mujeres de la Ciudad de Buenos Aires dedican una mayor proporción de su tiempo a realizar trabajo remunerado, en comparación con las de Rosario, mientras que las de la ciudad de Rosario destinan más tiempo que las de Buenos Aires a realizar trabajo no remunerado. Esta lógica se repite, además, los días no laborables, y con leves diferencias en tiempos promedios se replica en varones. Esto resulta fundamental para comprender y visibilizar cómo estos tipos de trabajos se encuentran profundamente entrelazados entre sí. En este sentido, jornadas de trabajo remunerado extensas (como aparecen en la Ciudad de Buenos Aires) y no remunerado (como en Rosario) son un condicionante de la posibilidad de realización de otras actividades más vinculadas con el tiempo libre o el cuidado personal.
Por otro lado, se aprecia claramente cómo el trabajo de cuidado de personas no remunerado, que recae principalmente sobre las mujeres en la edad reproductiva (y en muy menor medida sobre los varones), se despliega junto a una estrategia de “complementos” en la ciudad de Rosario por las más jóvenes (tías, hermanas, etc.) y en la Ciudad de Buenos Aires por las mayores de 65 años.
Por último, al evaluar los tiempos con simultaneidad, en la Ciudad de Buenos Aires, quienes más tiempo presentan son los varones, mientras que, en la ciudad de Rosario, se observa la mayor extensión del día promedio para las mujeres, lo cual, a largo plazo, tiene consecuencias sobre la calidad de vida y el bienestar. Se destaca que la diferencia en horas entre varones y mujeres en Rosario es casi de tres, mientras que en la Ciudad de Buenos Aires es menor a una hora.
A partir de estos elementos empíricos se puede sustentar y avalar la necesidad de utilizar indicadores de “cantidad de vida” (uso del tiempo) y sus contradicciones con la “calidad de vida” como objetivo de las sociedades; y, en este sentido, es fundamental trabajar activamente para eliminar las desigualdades sociales existentes, como la de género, en el acceso a una mayor calidad de vida.
Referencias
Aguirre, R., M. Cabrera y C. Calvo (2008), Uso del tiempo y trabajo no remunerado en el Uruguay. Módulo de la Encuesta Continua de Hogares Septiembre 2007, Montevideo, Editorial UNIFEM.
Aguirre, R. y F. Ferrari (2014), Las encuestas sobre uso del tiempo y trabajo no remunerado en América Latina y el Caribe. Caminos recorridos y desafíos hacia el futuro, Santiago de Chile, Naciones Unidas.
Araya, M. J. (2003), Un acercamiento a las Encuestas sobre Uso del Tiempo con orientación de género. CEPAL, Serie Mujer y Desarrollo, 50.
Calero, A., R. Dellavalle y C. Zanino (2015), “Uso del tiempo y economía del cuidado”, Secretaría de Política Económicas y Planificación del Desarrollo. Documento de Trabajo Nº 9.
Dirección General de Estadística y Censos (2007), Encuesta Anual de Hogares: Evolución de los principales indicadores del mercado laboral. Informe de Resultados N° 337, Buenos Aires, DGEyC.
Dirección General de Estadística y Censos (2016), Encuesta sobre Uso del Tiempo en la Ciudad de Buenos Aires, UT-CABA 2016. Objetivos, marco conceptual y aspectos metodológicos, Buenos Aires, DGEyC del Gobierno de la Ciudad de Buenos Aires.
Esquivel, V. (2009), Uso del tiempo en la ciudad de Buenos Aires, Los Polvorines, Universidad Nacional de General Sarmiento.
Esquivel, V. (2014), La Pobreza de Ingreso y Tiempo en Buenos Aires, Argentina. Un ejercicio de medición de la pobreza para el diseño de políticas públicas, Panamá, PNUD.
Gandini, L. y S. Parker (2013), “Diario versus cuestionario: una comparación de metodologías para la medición del trabajo remunerado y no remunerado”, en L. Gandini y M. Padrón Innamorato (coords.), Población y trabajo en América Latina: abordajes teórico-metodológicos y tendencias empíricas recientes, Río de Janeiro, ALAP, Serie Investigaciones Nº 14.
Ganem, J., M. Geli, P. Giustiniani, G. Peinado, L. Andreozzi, F. Gallo y S. Long (2015), “Adultos y adultas mayores en Rosario: ¿cuidados y/o cuidadores?”, ponencia presentada en las XII Jornadas Argentinas de Estudios de Población, Salta, septiembre de 2015, Asociación de Estudios de Población de la Argentina (AEPA).
Ganem, J., P. Giustiniani y G. Peinado (2012). Los usos del tiempo en la ciudad de Rosario. Un análisis económico y social, Rosario, Foja Cero.
Ganem, J., P. Giustiniani y G. Peinado (2014), “El trabajo remunerado y no remunerado en Rosario. La desigual distribución de los tiempos entre varones y mujeres”, en Revista Estudios Sociales Contemporáneos, 11, Mendoza, IMESC, pp .88-100.
Geli, M., P. Giustiniani, L. Andreozzi, J. Ganem, G. Peinado, F. Protti, V. Álvarez y A. Cevini (2017), “Pobreza de ingresos y de tiempo en la ciudad de Rosario”, ponencia presentada en las Vigésimosegundas Jornadas Anuales Investigaciones en la Facultad de Ciencias Económicas y Estadística, Rosario, septiembre de 2017.
Ministerio de Economía y Hacienda, Subsecrataría de Programación Económica (2017), Documento de Trabajo Nº 8.
Rodríguez Enríquez, C. (2005), La economía del cuidado: un aporte conceptual para el estudio de políticas públicas, Buenos Aires, CIEPP, Documento de Trabajo 44.
Rodríguez Enríquez, C., J. Ganem, P. Giustiniani y G. Peinado (2011), “Medición del trabajo voluntario realizado por las ONG en los programas destinados a las mujeres víctimas de violencia en la Provincia de Santa Fe”, ponencia presentada en las Decimosextas Jornadas "Investigaciones en la Facultad" de Ciencias Económicas y Estadística, Rosario, noviembre 2011.
United Nations Entity for Gender Equality and the Empowerment of Women (UN Women) (1995), Platform for Action and the Beijing Declaration: Fourth World Conference on Women, Beijing (China), UN Women.
United Nations Statistics Division (UNSD) (2005), Guide to Producing Statistics on Time Use: Measuring Paid and Unpaid Work, Nueva York, UN Department of Economic and Social Affairs.
Notas