Recepción: 24 Junio 2015
Aprobación: 20 Febrero 2017
DOI: https://doi.org/https://dx.doi.org/10.15446/bitacora.v27n2.52095
Resumen: El proceso de metropolización ha llevado a muchos territorios de los entornos de las ciudades a un conflicto de intereses entre la pervivencia del soporte natural y de los usos agrícolas tradicionales, así como la implantación o generalización de nuevos usos al servicio de lo urbano. La irrupción y la potencia de las infraestructuras necesarias para la conectividad metropolitana, ajenas a la geografía heredada, y la incesante construcción del suelo, van aislando estos espacios intermedios hasta llevarlos a su desaparición por falta de funcionalidad. El artículo presenta un modelo de integración funcional, temporal y paisajística que reconoce el valor de las preexistencias y las potencia como parte de un futuro híbrido, aplicándolo en el caso de La Vega Sur de Granada (España). A través de la evaluación del territorio soporte se buscan las pautas para una estructura basada en la mezcla de usos del suelo que encuentra en la interpretación de sus corredores suburbanos la oportunidad de una nueva cohesión territorial.
Palabras clave: corredor, multifuncionalidad, cohesión territorial, espacio rural, sostenibilidad.
Abstract: The metropolisation process has led many territories around cities to a conflict of interest between the survival of natural geographic base and traditional agricultural practices and the introduction or spread of new functions at the service of the urban network. The irruption and power of the necessary infrastructure for metropolitan connectivity without any consideration about the inherited geography, and the continuing construction of the soil, get isolating these intermediate natural space to take them to their disappearance for lack of functionality. A model of functional integration, temporal and landscape that recognizes the value of pre-existing territories and strengthens them as part of a hybrid future is investigated. In this article the case of the South Vega de Granada is studied. Through the evaluation of the territorial base, several guidelines for a structure based on the mixture of land uses is sought, and in which the interpretation of theirs suburban corridors could be a starting point for a new territorial cohesion.
Keywords: corridor, multifunctionality, territorial cohesion, rural space, sustainability.
Resumo: O processo de metropolização levou a que muitos territórios periféricos assistissem a um conflito de interesses entre a sobrevivência da estrutura natural ou de usos agrícolas tradicionais e a implementação generalizada de novas ocupações ao serviço do urbanismo. O surgimento e o peso das infraestruturas necessárias para a conectividade metropolitana, incompatível com a geografia herdada, são conjugadas com uma construção e ocupação do solo incessante, isolando esses espaços naturais e lavando-os ao desaparecimento por falta de funcionalidade. Este artigo apresenta uma investigação assente num modelo de integração funcional, temporal e paisagístico, que reconhece o valor das preexistências, potenciando-as como parte de um futuro hibrido. A investigação fundamenta-se no estudo de caso da “Veja Sur” de Granada. Através da avaliação da base territorial, são procuradas várias directrizes para uma estrutura baseada na mistura de usos do solo e em que a interpretação dos seus corredores suburbanos poderá constituir um ponto de partida para uma nova coesão territorial.
Palavras-chave: corredor, multifuncionalidade, coesão territorial, espaço rural, sustentabilidade.
Introducción
El urbanismo es una disciplina que trata siempre de recomponer entidades complejas a través del análisis de elementos concretos. Utiliza con frecuencia un método constructivo que, observando partes o componentes del conjunto, le sirva para valorar su protagonismo, generar jerarquías o dominancias, y así poder formarse, con criterios fundamentados, una idea del objeto de estudio o de intervención.
“Construir la cultura desde una cimentación extensiva, con capacidad crítica para seleccionar el pasado, y con óptica de largo alcance en sus criterios de aprovechamiento y utilidad” (de Solà-Morales, 1981: 3) es el objetivo del presente artículo sobre los corredores suburbanos que conectan a la ciudad de Granada (España) con los pueblos de la denominada Cornisa Sur, en su área Metropolitana. Comprender y valorar las líneas tradicionales del territorio puede servir para guiar la planificación futura del espacio agrario que atraviesan y, de este modo, resolver una situación actual dominada por la incertidumbre de una condición ambivalente: su percepción natural, como vacío de la entidad mayor metropolitana, y su presión urbana, como espacio demandado al servicio de los asentamientos colindantes.
Granada, como muchas otras ciudades mediterráneas y españolas, se mantuvo concentrada durante muchos siglos en una posición interfluvial, hasta el primer tercio del siglo XX cuando sufrió un fuerte desarrollo urbano. El espacio agrícola periurbano, denominado La Vega de Granada, cuya extensión es mucho más grande que aquel en contacto directo con la ciudad,2 fue considerado tanto un motor económico como un valor paisajístico incuestionable, lo que provoco que la planificación urbanística tratara siempre de desarrollar la ciudad de forma compacta en los entornos de los ríos Beiro (al norte) y Genil (al sur), olvidándose de desarrollos más generosos o ligados a las formas centrales, como sucedió en otras ciudades españolas con el mecanismo que conocemos como “los ensanches”.3
No obstante, el surgimiento en Granada del Área Metropolitana,4 compuesta por 33 municipios interconectados por todo tipo de infraestructuras, pero esencialmente ligados a través del conjunto geográfico de La Vega, ha cambiado radicalmente la percepción de los espacios naturales periféricos, entre los cuáles se encuentra La Vega Sur que centra el caso de estudio que aquí se presenta. A través de sus paisajes y movimientos diarios se observa hoy un espacio teórico en deriva, perdido en el intento de comprender lo que sucede, e infinitamente más lento que una realidad urbana en mutación permanente.
Para corregir el rumbo y alcanzar un verdadero significado de la ciudad (Aymonino, 1981), se hace necesario en este ámbito, no solo identificar los elementos importantes de ese espacio intermedio, sino también entender “su entrelazamiento temporal y espacial”, lo que constituye un primer objetivo marco de la investigación. Al mismo tiempo, la caracterización de dichos ámbitos territoriales que algunos autores han hecho como “capital natural”, apoyados en las definiciones de lugar natural y de icono natural (Echavarren, 2010), puede ayudar a incorporar al paisaje estudiado una dimensión importante como “recurso identificado o reconocido” más allá de su percepción material, cultural y emotiva.
De esta manera, si no queremos ver distorsionado este territorio con transformaciones insensibles a su propia naturaleza, partiríamos de una necesidad urgente de entendimiento de esos corredores bajo los supuestos antes mencionados: entrelazamiento espacial y temporal, y recurso reconocido. La apuesta que se refleja aquí es la de atender a esta necesidad perentoria mediante la valoración del proceso de transformación y desplazamiento de los elementos que en el tiempo han venido aportando referencias al significado del lugar, tanto desde un punto de vista técnico y formal, como a través de la caracterización de su organización y funcionalidad interna, y del estudio de sus múltiples relaciones. De nuevo, una observación atenta de los fenómenos no solo ayuda a comprender el objeto en cuestión, sino que permite sustentar criterios de intervención verdaderamente justos con un futuro equilibrado y positivo (Rivas, 2015).
Carreteras suburbanas hoy: infraestructuras para la mezcla
En general, puede decirse que las líneas del territorio –los canales de distribución y acceso, las carreteras suburbanas o interurbanas– forman parte del vivir diario de una manera cada vez más constante, en especial, en entornos metropolitanos. Tomándolas como objeto de estudio es posible comprender, quizás de una manera más sintética que con otro tipo de formas, las potencialidades del territorio.
Así, los ámbitos suburbanos, agrarios o simplemente rurales que conforman buena parte de las realidades metropolitanas en transformación se sitúan cada vez más en una posición fronteriza, no solo espacialmente. Esto se hace evidente al observar el mapa de poblamiento de Andalucía y la posición de vegas como la de Granada (véase Figura 1). El debate se encuentra entre la especialización y la competitividad que da el mix funcional, entre el proteccionismo y la oportunidad de implantar funciones urbanas “globales” que permitan el desarrollo económico. Por ello, es en estos paisajes destinados a una mezcla permanente donde se hace necesario compatibilizar una mirada estructural de la ordenación territorial con otra sensible ante los hechos locales, sectoriales o referidos a patrones del paisaje que allí se produzcan.

Desde un punto de vista disciplinar, los caminos suburbanos son líneas conectoras del territorio que permiten aproximaciones reconocidas, ligadas al urbanismo, la ordenación del territorio o la ecología paisaje.
Por ejemplo, desde una perspectiva funcional, fue Robert Venturi quién trató de definir y comprender el tipo de ciudad que se desarrollaba a lo largo de las nuevas carreteras. Su acercamiento al Strip de Las Vegas permitió reconocer como ciudad entornos infraestructurales con parámetros de urbanidad desconocidos para entonces (Venturi, Scott y Izenour, 1972).
Las funciones de conexión, intercambio, constitución de ecosistemas, entre otras, se suman en la concepción de corredor que, desde el surgimiento de la ecología del paisaje hasta nuestros días, ha venido construyéndose (Forman, 1995). Así, corredor es tanto una fuente, un hábitat o un sumidero, así como un filtro o una barrera.
Recientemente, el geógrafo portugués Álvaro Domingues nos ha situado ante aquellas carreteras que, teniendo un origen suburbano, mantienen su condición “rural” aunque a su alrededor se produzca un proceso de intensificación urbana. Su libro A rua da Estrada (Domingues, 2009) analiza el comportamiento de la urbanidad que se desarrolla en torno a los caminos y que, bien sea por su informalidad o por su transitoriedad, no suele ser reconocida por el planeamiento ni la administración. A través de esa urbanidad pseudorural se nos desvela una ciudad intermedia, híbrida, agregativa y lineal cuyo papel no solo no está obsoleto, sino que soporta como puede y sin ayudas la integración y la cohesión territorial actual en contextos como el del caso de estudio que aquí se presenta.
Estas aproximaciones conceptuales, asimiladas a las infraestructuras lineales objeto de estudio aquí, permiten entenderlas como instrumentos operativos con una gran capacidad para establecer tanto relaciones cercanas como lejanas. Así, esos caminos suburbanos sirven de comunicación territorial del asentamiento metropolitano (de forma radial principalmente en los extremos sur y norte) y, al mismo tiempo, cruzan un espacio rural más lento y poroso que justifica sus tamaños, posiciones y continuidades. Esta multifuncionalidad le confiere una suma de velocidades y ritmos diversos que le permiten convertirse en herramientas de lectura de lo que sucede, al igual que en soporte de futuras intervenciones o estrategias.
Siguiendo este enfoque, la investigación profundiza en dos líneas de trabajo: (1) el modo en que estos caminos o carreteras suburbanas pueden servirnos para evaluar el territorio desde una perspectiva integradora, y (2) cómo debería ser su urbanización para hacerlo pertenecer a su medio ambiente de una forma orgánica y constructiva, y también desarrollar su dimensión como recurso.
Desde la primera óptica, el trabajo trata de generar una metodología de aproximación y análisis del territorio basado en la multifuncionalidad, y en el desarrollo sostenible del área servida por la carretera. Desde la segunda, la investigación remarca los aspectos principales a desarrollar en el proyecto de las carreteras o caminos descritos (las condiciones de su sección, sus bordes, su condición de eje pero también de elemento propio de una red), en la medida en que este pueda servir para una regeneración y revitalización del territorio de La Vega Sur de Granada.
Análisis de la realidad territorial de La Vega de Granada: un espacio en transformación
La Vega de Granada designa un espacio vertebrado por el río Genil que supera el entorno periurbano de la ciudad de Granada y su área metropolitana.5 Desde un punto de vista geográfico, constituye una llanura de inundación amplia suavemente inclinada hacia el oeste, con una extensión de 50 km. de este a oeste y 35 km. de norte a sur, y con una superficie total aproximada de 1.500 km.2 (Junta de Andalucía, 2012).
En su conjunto, La Vega es un territorio tradicional de base agraria con implicaciones económicas constantes en el desarrollo urbano del Área Metropolitana. Fruto de una historia dilatada, es un espacio de un gran valor patrimonial y contiene muy diversos elementos arquitectónicos, industriales y paisajísticos de cada una de sus etapas históricas, resultando un mosaico singular de cultivos, vegetación de riberas y acequias, perspectivas sobre la ciudad y otros asentamientos, red de acequias y secaderos, entre otros.
Esto ha dado lugar a unas características como elemento territorial (morfológicas, tipológicas, urbanización, parcelación y edificación) que presenta variaciones de densidades, funciones y paisajes según ámbitos o unidades internas, lo que lleva a considerarla no como una unidad, sino como una realidad diversa, plural y heterogénea (Torres Rodríguez, et al., 2013).
Desde la época nazarí (finalizada con la conquista de la ciudad por los Reyes Católicos en 1492), la evolución y uso de La Vega ha experimentado una trayectoria larga de altibajos que se ha caracterizado por la explotación agraria para el abastecimiento humano a pequeña y mediana escala, y por la implantación de los cultivos industriales a gran escala de lino, cáñamo, remolacha azucarera, tabaco, entre otros (Ayuntamiento de Granada, 2001).6
Con el tiempo, la ciudad fue adquiriendo un papel central dentro de un sistema mayor, regional y suprarregional. El crecimiento y desarrollo urbanos, así como la obsolescencia paulatina de la agricultura, motivaron a que la riqueza agrícola de La Vega haya ido cediendo paso a la especulación urbanística y a la pérdida de prestigio de la agricultura en el presente.
Estas características se reconocen en la aparición de usos del suelo específicos diversos –no necesariamente ligados a la actividad agrícola–, en el abandono o la infrautilización de suelos tradicionales, y en la necesidad de revitalización y recuperación que presenta el ámbito. Es aquí, a la luz de esta observación, donde las carreteras suburbanas pueden y deben tomar un papel protagonista.
Superar la visión proteccionista que ha llevado a mitificar posiciones centrales de La Vega y a percibir este espacio geográfico como indivisible e inmutable, al igual que la visión mecanicista de los transportes y del urbanismo miope que sólo usa este espacio “natural” para conectar una y otra vez la entidad supramunicipal, son los grandes retos de la propuesta hacia la cual se orienta esta investigación.
La oportunidad del espacio geográfico que constituye La Vega está basada en su valor como lugar abierto, intermedio a las centralidades y ocupaciones urbanas, pero transmisor de los procesos territoriales de épocas pasadas. Al mismo tiempo, posee un conjunto de cualidades que lo hacen ser un instrumento necesario para el desarrollo sostenible futuro de la ciudad (Aguilera, 2008): gran accesibilidad, cercanía de las centralidades –funcional, histórica, turística–, capacidad de organización formal de lo metropolitano, espacialmente apto para albergar nuevas funciones urbanas, parte del sistema de espacios libres de la ciudad, entre otros.
Esta doble condición de oportunidad y patrimonio heredado permite imaginar, sobre la base de sus corredores, un nuevo territorio de arquitecturas, flujos y funciones que armonicen los tiempos superpuestos que se presentan allí.
Situación actual de La Vega Sur. Articulación y estructura radial
El crecimiento al sur de Granada sólo se entiende si se tiene en cuenta la geografía del asentamiento, ya que la presencia del río Genil condicionó la inercia de las formas lineales de la ciudad, deformando los ejes de dirección norte-sur y situando el origen de las relaciones metropolitanas del sur en los dos puentes antiguos del río Genil (Puente Blanco y Puente Verde).7 Esta deformación configuró una malla de líneas radiales y circulares en lugar de una malla reticular isótropa, que estableció unas relaciones territoriales muy especiales de proximidad y distancia entre la ciudad y los asentamientos exurbanos.
La dirección radial está protagonizada por un conjunto de caminos suburbanos que tienen los extremos definidos por el núcleo al que comunican: Huétor Vega, Monachil, La Zubia, entre otros. Para todos ellos, Granada, además, es un lugar de intercambio, asumiendo un papel predominante y estructurador también en el crecimiento sur al interior de la ciudad. De esa forma, por ejemplo, los equipamientos urbanos se sitúan en el borde de estos caminos-calle de mayor accesibilidad y visibilidad. Cada eje adquiere un carácter desde el punto de vista de los espacios colectivos y en función de las tramas locales adyacentes (véase Figura 2).
Si nos referimos al área aún rural servida por los corredores, sus características ambientales han propiciado a lo largo de la historia la explotación agrícola en las vegas de los ríos Genil y Monachil (afluente del anterior), y el desarrollo de su contorno, buscando la proximidad y, a su vez, la protección de las propiedades.
Ya desde la Edad Media se establecieron las relaciones de dependencia entre las poblaciones de la Cornisa Sur y la capital, constituyéndose como alfoz de Granada.8 Este alfoz marca el límite de un ámbito urbano común en el que se han desarrollado unas formas de habitar que, a través de su simbología, han conformado un paisaje característico época tras época.9 El crecimiento de dichos núcleos de borde ha dado lugar hoy en día a un continuo urbano que limita y encierra a La Vega Sur (Figura 2)

La situación al sur de este conglomerado urbano, sumada a la consolidación de la carretera Bailén-Motril y al crecimiento de núcleos de La Vega Central al oeste (principalmente Armilla y Churriana), terminan por desconectar La Vega Sur del resto del espacio agrícola, lo cual genera dos incertidumbres: (1) se pone en riesgo la supervivencia de La Vega al quedar aislada y sometida a fuertes presiones económicas por la introducción de nuevas actividades puramente urbanas, y (2) se constata la presentación de múltiples iniciativas de planificación especial que siendo contradictorias paralizan su desarrollo.
Todo esto pone de manifiesto la necesidad de proponer un modelo sostenible a corto plazo para La Vega Sur en el que se encuentren mecanismos de renovación de los modos de explotación agrícola que la hagan rentable, al tiempo que permitan su coexistencia con las actividades urbanas.
Evaluación territorial de los corredores de La Vega Sur: la carretera de La Zubia
El AMS de Granada está articulada por cinco corredores que se enlazan radialmente desde el espacio de la ribera del río Genil con los núcleos históricos situados en la denominada Cornisa Sur y mencionados en el apartado anterior. Estos corredores son, de norte a sur y en correspondencia con tales núcleos: el camino de Huétor Vega, el camino de Monachil, la carretera de la Zubia, el camino de Dílar y, finalmente, el camino de los Ogíjares, y arman en este ámbito del AM a La Vega Sur como su soporte geográfico más reconocible.
El corredor de la carretera de la Zubia es el que asume más flujo rodado dentro del AMS, ya que el núcleo urbano La Zubia es el que más ha incrementado el suelo urbanizable en los últimos años. Su reflejo en el interior del distrito sur, como eje central que aglutina sistemas generales dotacionales y de espacios libres, lo convierte en la espina articuladora de todo el ámbito. Actividades comerciales, industriales, agroganaderas y residenciales se suman a unos márgenes endurecidos por la urbanización reciente, siendo cada vez más difícil el paso peatonal y la continuidad del verde en sus márgenes (véase Figura 3)
Frente a la conectividad tradicional representada por estos caminos, los planteamientos recientes de la gobernanza metropolitana imponen el uso de nuevas carreteras que vengan a reconfigurar el mapa de la accesibilidad de ese territorio, sin comprender su más que segura afección en cuanto a actividades humanas y del hábitat en su conjunto.
La planificación subregional y sectorial en Andalucía –especialmente la planificación de las infraestructuras viarias– ha actuado de catalizador necesario para la difusión en el territorio de estructuras urbanas de baja densidad basadas en el uso intensivo del automóvil (Susino, Casado y Feria, 2007).
La crisis económica, la incertidumbre territorial de estos procesos y la toma de conciencia sobre las problemáticas del modelo de crecimiento seguido constituyen una ocasión ideal para la generación de un modo nuevo de análisis y una propuesta nueva de planificación que fije como meta la sostenibilidad territorial (Riechmann, 2006), y donde el paisaje sea considerado como uno de los elementos centrales. Tanto la entrada en vigor de las Recomendaciones para la aplicación del Convenio Europeo del Paisaje en 2008 en España, como la aprobación local del Plan de Ordenación del Territorio de Andalucía (POTA) (Junta de Andalucía, 2006) avalarían este proceso de cambio (Torres Rodríguez, et al., 2013) que hace a la política territorial andaluza asumir la centralidad de las cuestiones ambientales y un uso más sostenible de los recursos.
Bajo esta óptica, la reflexión necesaria sobre los caminos suburbanos se orienta hacia nuevas reurbanizaciones que los hagan compatibles con las necesidades actuales, actualizando o reconfigurando su superficie (Busquets, 2006), pero, sobre todo, manteniendo viva su integración paisajística, su capacidad multimodal y agregativa.
Así, los corredores suburbanos, ejemplificados principalmente en el caso de estudio de la carretera de La Zubia, se convierten en las líneas fundamentales de la red territorial, una especie de arquitectura condensadora de relaciones donde las actividades agrícolas se intensifican y se disponen los puntos de comercialización, transformación y almacenamiento. En el corredor se dulcifican las funciones urbanas, se sitúan restaurantes en antiguos cortijos, espacios de ocio al aire libre y tejidos residenciales de baja densidad, entre otros. Por ello, más allá de su descripción física, precisa de una aproximación a su posición polifacética en el territorio: (1) son caminos radiales de origen suburbano, (2) se imbrican con el soporte territorial y (3) son una extensión de la forma urbana central.
Finalmente, esta aproximación permite reconocer el corredor tipo mediante tres sistemas superpuestos que llevan aparejados una serie de variables a considerar: (1) como conector metropolitano: viajes origen-destino, usos ligados a la carretera, entre otros. (2) Formando parte del sistema geográfico: adaptación a las actividades rurales y naturales, vegetación ligada a los cursos de agua, funciones de corredor ecológico y más. (3) Como calle urbana: comercios aislados y restaurantes, rutas peatonales y parques, tejidos residenciales, equipamientos cotidianos, para mencionar unos cuantos.
Márgenes de maniobra para los caminos agrícolas de primer orden
El urbanismo de hoy tiene que ser capaz de reflexionar sobre la necesidad o no de ciertas infraestructuras –de transporte principalmente– y, sobre todo, cómo han de estar diseñadas y construidas, según políticas más complejas de distribución de los usos del suelo, con base en una nueva cultura de la sostenibilidad y la eficiencia, esto es, evitando las soluciones aisladas y unidimensionales.
La convivencia de la naturaleza y el artificio en los contextos metropolitanos sigue siendo un asunto interesante sobre el que profundizar, y un campo de investigación necesario para ser reconocido y repensado. En el camino de interpretar las posibilidades de lo que existe para el nuevo proyecto deberíamos considerar el lugar como un material urbano y territorial, a la manera en que Viganò (1999), de Solà-Morales (2008), Zardini (2005) y otros autores nos enseñan, cada uno desde sus escalas propias.
La cuestión sería cómo coadyuva el cambio de percepción de estas carreteras vistas como corredores a la concepción compleja y multicapa con que hoy debemos entender el espacio territorial, más aún cuando este conserva –como lo hace La Vega Sur– pautas del espacio natural o soporte. Por ejemplo, el modelo TEQUILA para la cohesión territorial10 lo define en forma de un árbol que entiende ese lugar como una convergencia de tres dimensiones: la eficiencia, la calidad y la identidad territoriales (Abrahams, 2014), y que aquí se ha aplicado al AMS de Granada (véase Tabla 1).

Si analizamos el ámbito de nuestro objeto de estudio en función de estas condiciones para la cohesión territorial, se observa, por un lado, que muchas de ellas, como el policentrismo y la compacidad de los núcleos, son cualidades intrínsecas del territorio. Por otro lado, evaluar positivamente la cohesión del ámbito supondría la implementación de políticas que refuercen la red urbana basada en los caminos tradicionales de La Vega, mejorando el transporte público, aprovechando los recursos, invirtiendo en accesibilidad y en dotación infraestructural y, al mismo tiempo, preservando los valores base del territorio que son el desarrollo de la vocación territorial, la cooperación ciudad-campo, y la calidad de los paisajes urbanos y rurales.
Las posibilidades de intervención en la carretera de La Zubia, desde la perspectiva de la evaluación territorial de su vega, pasan, en primer lugar, por domesticar la infraestructura sin menospreciarla, sin borrarla o anularla, sino encontrando la fórmula para que se integre en el tejido circundante, incorporándola al paisaje como un elemento positivo (Smets, 2001).
En segundo lugar, el camino o la carretera debe continuar contagiándose de su ambiente en cuanto a sus características y cualidades. Esto es muy importante en el caso presentado aquí dado el carácter especial del entorno atravesado por la carretera. Lo anterior supone la consideración de espacios de borde capaces de albergar espacio y dotar de sentido al paso por los lugares, recuperando sus márgenes, arcenes y accesos desde situaciones existentes de conflicto, y entregándoselos al conjunto de la sociedad en forma de espacio natural y cultural integrado.
Como tercera línea de trabajo surgiría la creación de una red. Esta vega, como muchas otras en las áreas metropolitanas mediterráneas y en otros contextos, es una red espacial que necesita ser desenlazada: ámbitos naturales que dependen de lo urbano y viceversa, lugares interiores a la ciudad fuertemente vinculados al paisaje abierto, entre otros. Geografías naturales y artificiales que se funden y reclaman ser comprendidas según sus posibilidades reales de transformación, inmersas en procesos que las cambian pero con una fuerte huella histórica y, en ese sentido, con una fragilidad considerable.
Resultados: el futuro de los corredores como elemento de la matriz ecológica
De acuerdo con lo anterior, se ha tratado de establecer la conexión entre “elemento” y “ámbito”,11 tanto como instrumento de análisis y lectura de una realidad múltiple, como guía para una planificación basada en la integración de funciones y superposición de lo urbano, lo rural y lo natural.
También, siguiendo criterios para una mayor y mejor cohesión del territorio, se ha llevado a cabo una evaluación previa de la situación de La Vega Sur, y se han definido pautas para una intervención futura en el proyecto de los corredores en general y de la carretera de La Zubia en particular que permita un desarrollo sostenible conjunto.
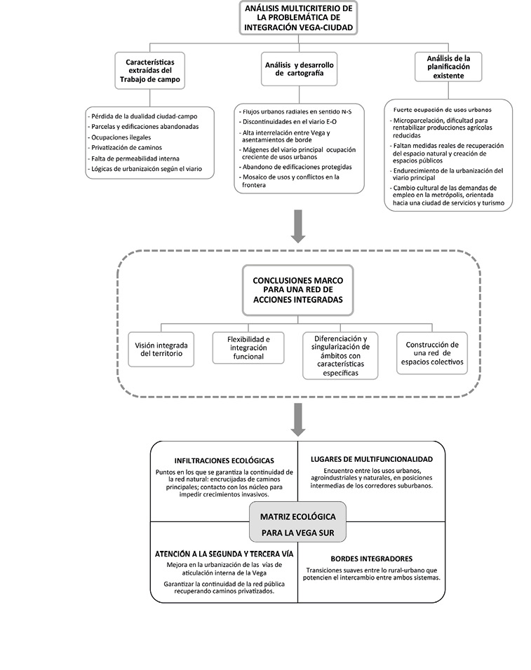
De forma sintética, se presentan a continuación los resultados del análisis multicriterio con el que se propone abordar el futuro de la matriz ecológica de La Vega Sur como un espacio territorial derivado de las exigencias funcionales, ambientales, de eficiencia e identitarias detectadas (véase Tabla 2). Los trabajos de campo, los análisis de la evolución histórica y socioeconómica del área, así como la producción de cartografías críticas son los instrumentos de análisis y fuente de datos principales. La producción de sentido objetivo con relación al territorio y la obtención de criterios para lanzar una operatividad necesaria quedan reflejadas en estas aportaciones.

A la vista de estos resultados, cabe decir que la metodología desarrollada ha priorizado la definición de actitudes y criterios ante el proyecto sobre los corredores y no tanto, como en muchas ocasiones viene sucediendo desde la planificación, la elaboración de un muestrario de acciones para hoy y problemas para el mañana. Pueden deducirse de este modo consideraciones irrenunciables a partir de las cuales el proyecto puede adoptar múltiples formalizaciones, siendo la base para políticas públicas que incidan en aspectos concretos sin romper el equilibrio del territorio. Dichas consideraciones clave son las siguientes:
Visión integrada del territorio: sin una diferenciación inicial entre lo urbano y lo rural, sino como una multiplicidad de cosas urbanas. Estudio del espacio periurbano de la ciudad (ámbitos, tipos, entre otros), y de las características de los diversos suelos no urbanizables considerados como La Vega de Granada por el planeamiento urbanístico y territorial vigente.
Flexibilidad e integración funcional: Demandas urbanas: educativa, espacio público, cultural y ocio. Coexistencia y flexibilidad: convivencia entre elementos de considerable valor patrimonial y paisajístico, y construcciones relativamente actuales con usos de carácter misceláneo. Patrimonio: valoración del componente agua y del componente clima, reflejados en la red de acequias de riego tradicionales que irrigan toda La Vega y de las grandes masas arbóreas (choperas y vegetación límite de parcelas).
Diferenciación y singularización: necesidad de diferenciar internamente los territorios de La Vega: vega de desarrollo, del conocimiento, creativa, industrial, menos erosionada, entre otras, y necesidad de replantear la diversidad y la jerarquía vial del conjunto limítrofe (área urbana y área rural).
Construcción de una red de espacios colectivos: imprescindibles para introducir la valoración social del paisaje a través del reconocimiento y la identificación del mencionado capital natural (Echavarren, 2010).
La matriz ecológica para el ámbito de La Vega Sur (véase Tabla 2) enmarca los factores a considerar y, sobre todo, el modo de garantizar el equilibrio entre funciones, y la conservación de un tipo de paisaje híbrido y activo mediante la formulación de cuatro herramientas o acciones básicas: (1) infiltraciones ecológicas, (2) lugares de multifuncionalidad, (3) atención a las segundas y terceras vías, y (4) bordes integradores.
La investigación nos lleva al entendimiento de un corredor interconectado, un eje principal de la estructura de La Vega, pero cuyo potencial está en su capacidad aglutinadora de redes superpuestas. La posibilidad de La Vega Sur dentro del AM en la que se conserven los valores agrícolas, por la vigencia de sus explotaciones y, a su vez, responda a la demanda socioeconómica desde lo urbano, radica en la creación de una matriz ecológica. Una matriz de convergencia, cuyo léxico recoge las posibilidades híbridas evitando el conflicto habitual entre las categorías parcelación agrícola-edificada, camino-carretera-calle, público-colectivo-privado, entre otras.
Multifuncionalidad del paisaje y criterios de sostenibilidad
Se apuesta por la multifuncionalidad del espacio agrario periurbano como una cualidad del mismo, basada en que en paralelo al desempeño de sus funciones agrarias se llevan a cabo funciones de carácter ecológico, paisajístico, patrimonial, cultural, social, estético, entre otras, que generan servicios (directos o indirectos) a la población.
El reconocimiento de estas otras funciones y de los servicios generados permite el conocimiento detallado del territorio, la valoración integral del espacio más allá de su valor productivo o económico, la profundización en la identidad del espacio agrario periurbano y el enriquecimiento de la visión del espacio para la toma de decisiones.
El presente trabajo pone de manifiesto la importancia económica del sector agrícola para este territorio, una oportunidad de empleo y desarrollo económico que debe buscar la compatibilidad con otros usos y mecanismos de integración paisajística para la mejora de la biodiversidad del ámbito.
Paisaje, territorio y matriz ecológica también se identifican aquí como conceptos convergentes. Así, el paisaje es entendido de manera inclusiva, donde las aportaciones de distintos puntos de vista –la arqueología del paisaje, la ecología o la multifuncionalidad– se suman para entenderlo polisémicamente como: (1) paisaje cultural (Pinto Correia y Vos, 2002), (2) estructura espacial (Forman, 1995; Turner, 1998), y (3) valor territorial (Torres Rodríguez, et al., 2013).
Por otro lado, el territorio se entiende como un entorno de fricciones permanentes que necesita recuperar sentido, orden y dirección a través de aquellos lugares construidos que Rosa Barba (1982) denominaba auténticas puertas de la red del paisaje. Se necesitan proyectos en los que el valor de lo que existe se iguale con la arquitectura que viene en procesos de poca ocupación y mucha activación, suelos redibujados prácticamente como son pero transformados definitivamente para funciones nuevas.
Un corredor como el que representa la carretera de La Zubia, en tanto formalización deseable de la multifuncionalidad, es uno de esos lugares construidos, y para ello ha de funcionar como una verdadera membrana que acoge actividades de diferente naturaleza posicionadas de múltiples formas con respecto a la línea central. Esta membrana permite el intercambio con el medio de manera selectiva pero constante.
Los corredores urbanos son, por lo tanto, una encrucijada temporal que funciona como tal, con un pasado de movilidad suburbana, un presente de periferia metropolitana y la potencialidad de un futuro urbano en el que exista una correspondencia entre su configuración espacial y la multiplicidad de funciones derivadas de la convivencia de sistemas.
Como afirman Casariego Ramírez y Ley Bosch (2004), se trataría de un eje periférico tanto en el sentido negativo que le da su falta de coherencia, como en el clásico sentido positivo que se le ha venido dando a lo periférico en la literatura urbanística desde los años ochenta del siglo veinte (de Solà-Morales, 1992), al ser capaz de ofrecer múltiples posibilidades de futuro, conjugando las condiciones para ser una centralidad de la ciudad dispersa y una realidad de vacío expectante para un nuevo estado de urbanidad.
En esta membrana los vacíos son igual de importantes que los nodos urbanos, necesarios para el equilibrio del conjunto. Los vacíos pertenecen al tejido agrícola de La Vega Sur y su contacto con el corredor no debe significar un riesgo para su pervivencia, sino más bien una oportunidad de visibilizar su valor ambiental. La presencia en el corredor de los cultivos y su continuidad entre las dos márgenes es muestra de que el camino forma parte del tejido agrícola y desde él se ramifican los accesos particulares, y por lo tanto, no son dos sistemas en conflicto, sino dos piezas de un ecosistema común.
Conclusiones
La evolución urbana ha llevado a la disolución de las fronteras entre campo-ciudad, entre natural-urbano y, con ello, a una transformación de los modos de habitar y del léxico urbano. Por eso, en este artículo se reivindica la atención a los espacios intermedios del territorio, lugares en transición en los que es necesario un tipo de proyecto sensible a todas las redes del territorio como clave para la pervivencia de los sistemas natural y agrícola, y como oportunidad de una forma nueva del espacio urbano.
Por un lado, es esencial desentrañar las tramas de la realidad física, profundizar en el conocimiento de las acciones y los procesos que se dan cita en el ámbito de estudio. Por otro, asociar un repertorio programático adecuado que proyecte el área hacia un futuro más esperanzador en términos de competitividad y generación de conocimiento y, por último, valorar las herencias paisajísticas y etnológicas del lugar.
En La Vega Sur de Granada se reconoce una estructura de corredores suburbanos en los que se condensan las relaciones entre sistemas y de los cuales depende la cohesión del territorio intermedio. Estamos ante una forma de ciudad en red en la que es necesario generar y potenciar lugares de contacto en los que se materialice el intercambio entre las distintas redes territoriales.
Por eso, su proyecto ha de ser sensible a esta condición fronteriza, osmótica, tratando de velar y fortalecer si cabe la permanencia de los espacios heredados, sacando partido de esta mezcla para proponer un modo nuevo de relación con el medio.
Referencias
ABRAHAMS, G. (2014). “What ‘is’ territorial cohesion? What does it ‘do’? Essentialist versus pragmatic approaches to using concepts”. European Planning Studies, 22 (10): 2134-2155. Consultado en: http://www.tandfonline.com/doi/full/10.1080/09654313.2013.819838?scroll=top&needAccess=true
AGUILERA, F. (2008). Análisis espacial para la ordenación paisajística de la aglomeración urbana de Granada. Granada: Universidad de Granada.
AYMONINO, C. (1981). El significado de las ciudades. Madrid: Blume.
AYUNTAMIENTO DE GRANADA. (2001). Plan General de Ordenación Urbana. Consultado en: http://www.granada.es/inet/wpgo.nsf/xinicio
BARBA, R. (1982). “El projete del lloc. Entre l’análisi de l’entorn i el disseny de l’espai exterior”. Quaderns d’Arquitectura, 153: 60-67.
BRAVO, B. (2016). La ciudad doméstica. La construcción de la primera periferia al sur de Granada. Granada: Universidad de Granada.
BUSQUETS, J. (2006). Ciudades x formas: una nueva mirada hacia el proyecto urbanístico. Cities x lines: a new lens for the urbanistic project. Rovereto: Nicolodi.
CASARIEGO RAMÍREZ, J. y LEY BOSCH, P. (2004). Reconducir la periferia. San Cristóbal de la Laguna, la recuperación del área de la carretera de Cuesta-Taco. Las Palmas: Exploraciones EX4.
de SOLÀ-MORALES, M. (2008). De cosas urbanas. Barcelona: Gustavo Gili.
de SOLÀ-MORALES, M. (1992). “Proyectar la periferia”. Revista UR, 9: 2-3.
de SOLÀ-MORALES, M. (1981). “La identidad del territorio”. Quaderns d’arquitectura i urbanisme, 1: 3.
DOMINGUES, A. (2009). A rua da Estrada. Porto: Dafne.
ECHAVARREN, J. M. (2010). “Conceptos para una sociología del paisaje”. Revista Papers, 95 (4): 1107-1128
FORMAN, R. T. T. (1995). Land mosaic: the ecology of landscapes and regions. Nueva York: Cambridge University Press.
JUNTA DE ANDALUCÍA. (2012). Plan Especial de Ordenación de La Vega de Granada. Documento para la concertación. Andalucía: Secretaría General de Ordenación del Territorio y Urbanismo.
JUNTA DE ANDALUCÍA (2006). Decreto 206/2006, de 28 de noviembre de 2006. Andalucía: Consejería de Obras Públicas y Transportes, Secretaría General de Ordenación del Territorio.
MARGALEF, R. (1992). “En los márgenes de los sistemas ecológicos”. Revista UR, 9: 7.
MARTÍN, A. (2011). El efecto Cerdà. Ensanches mayores y menores. Barcelona: Universitat Politecnica de Catalunya.
PINTO CORREIA, T. y VOS, W. (2002). “Multifunctionality in Mediterranean landscapes - past and future”. En: R. H. G. Jongman (ed.), Proceedings of the frontis workshop on the future of the European cultural landscape. Holanda: Wageningen, pp. 135-164.
RIECHMANN, J. (2006). Biomímesis. Ensayos sobre imitación de la naturaleza, cosocialismo y autocontención. Madrid: Los libros de la catarata.
RIVAS, J. L. (2015). “Un urbanismo de la observación. Metodologías prospectivas en torno a la idea de calle ciudad en tres capitales andaluzas (Córdoba, Málaga y Granada)”. Eure, 41 (123): 131-158.
RIVAS, J. L. (2009). La travesía más transparente. La visión de Córdoba, Málaga y Granada desde su Calle Ciudad. Granada: Universidad de Granada.
SMETS, M. (2001). “The contemporary landscape of Europe’s infrastructure”. Revista Lotus Internacional, 110: 110-115.
SUSINO, J., CASADO, J. M. y FERIA, J. M. (2007). “Transformaciones sociales y territoriales en el incremento de la movilidad por razón de trabajo en Andalucía”. Cuadernos de geografía, 81-82: 71-91.
TORRES RODRÍGUEZ, A. J. et al. (2013). “Nuevas metodologías en los procesos de planificación del territorio: aplicación al caso andaluz (PLANPAIS)”. Madrid, ponencia presentada en el XI Congreso Español de Sociología.
TURNER, T. (1998). Landscape planning and environmental impact design. London: UCL Press.
VENTURI, R., SCOTT, D. e IZENOUR, S. (1972). Learning from Las Vegas. London: The MIT Press.
VIGANÒ, P. (1999). La cittá elementare. Ginevra-Milano: Skira.
ZARDINI, M. (2005). Sense of the city: an alternate approach to urbanism. Quebec: Canadian Centre for Architecture.
Notas