Dossier central
Contaminación del aire en la zona urbana de Puerto Vallarta, México[1]
Air pollution in the urban area of Puerto Vallarta, Mexico
Poluição do ar em áreas urbanas de Puerto Vallarta, México
Pollution de l’air dans les zones urbaines de Puerto Vallarta, Mexico
Contaminación del aire en la zona urbana de Puerto Vallarta, México[1]
Revista Bitácora Urbano Territorial, vol. 31, núm. 2, pp. 27-43, 2021
Universidad Nacional de Colombia
Recepción: 30 Mayo 2020
Aprobación: 29 Octubre 2020
Resumen: El material particulado es un conjunto de materia dispersa en la atmósfera, condensada y emitida directamente al aire o formada de manera secundaria; este contaminante pone en riesgo la salud pública, específicamente de las vías respiratorias, debido a las concentraciones que hoy se observan en diferentes zonas urbanas. El objetivo de este artículo fue evaluar la concentración de PM10 y PM2.5 en la zona urbana de Puerto Vallarta y su relación con los sistemas atmosféricos (sistema de alta presión, corriente en chorro, anticiclón, jets de niveles bajos, etc.). Se realizó un monitoreo en el periodo de estiaje del 2018-2019 en 10 distintos puntos de la ciudad, los cuales fueron escogidos de acuerdo con la alta concurrencia de autos. Las mediciones se realizaron en el horario de 8:00 a 10:30 a.m., en intervalos de 10 minutos y con el monitor en tiempo real PM2.5/PM10 HoldPeak HP-5800F. El sitio con mayor concentración de PM2.5 fue El Pitillal, con 13.7 μg/m3, y el de menor concentración fue Mojoneras, con 7.6 μg/m3; los valores en el centro de la zona urbana tendieron a estar dentro de la norma. En el caso de la concentración de PM10, el sitio con los valores más altos fue CUC, con 66.4 μg/m3, mientras que el de menor valor fue El Centro, con 23.9 μg/m3; los valores en el noreste del municipio fueron aceptables. En cuanto al IMECA, la zona urbana se encuentra dentro de los estándares saludables establecidos por la ley, aunque se pudo observar que en algunas zonas, específicamente en Las Juntas, las concentraciones medias de PM10 sobrepasan el valor máximo que establece la Norma Oficial Mexicana.
Palabras clave: calidad ambiental, contaminación, planificación urbana, material contaminante.
Abstract: Particulate matter is a set of matter dispersed in the atmosphere, condensed and emitted directly into the air or formed in a secondary way; this pollutant puts public health at risk, specifically of the respiratory tract, due to the concentrations observed today in different urban areas. The objective of this article was to evaluate the concentration of PM10 and PM2.5 in the urban area of Puerto Vallarta and its relationship with atmospheric systems (high pressure system, jet stream, anticyclone, low level jets, etc.). Monitoring was carried out during the 2018-2019 dry season at 10 different points in the city, which were chosen according to the high number of cars. Measurements were taken during the hours of 8:00 to 10:30 a.m., at 10-minute intervals and with the PM2.5/PM10 HoldPeak HP-5800F real-time monitor. The site with the highest PM2.5 concentrations was El Pitillal, with 13.7 μg/m3, and the lowest concentration was Mojoneras, with 7.6 μg/m3, in the center of the urban area the trend showed normal values. In the case of PM10 concentration, the site with the highest values was CUC, with 66.4 μg/m3, while the lowest value was El Centro with 23.9 μg/m3, in the northeast of the municipality the values were acceptable. In terms of IMECA, the urban area is within the healthy standards established by law, although it could be observed that in some areas, specifically in Las Juntas, the average concentrations of PM10 exceeded the maximum value established by the Mexican Official Standard.
Keywords: environmental quality, pollution, urban planning, polluting material.
Resumo: A matéria particulada é um conjunto de matéria dispersa na atmosfera, condensada e emitida directamente para o ar ou formada de forma secundária; este poluente põe em risco a saúde pública, especificamente as vias respiratórias, devido às concentrações que se observam hoje em dia em diferentes zonas urbanas. O objectivo deste artigo era avaliar a concentração de PM10 e PM2,5 na zona urbana de Puerto Vallarta e a sua relação com os sistemas atmosféricos (sistema de alta pressão, jacto, anticiclone, jactos de baixo nível, etc.). A monitorização foi realizada no período de águas baixas de 2018-2019 em 10 pontos diferentes da cidade, que foram escolhidos de acordo com a elevada simultaneidade dos automóveis. As medições foram feitas durante as horas das 8:00 às 10:30, a intervalos de 10 minutos e com o monitor em tempo real PM2.5/PM10 HoldPeak HP-5800F. O site com a maior concentração de PM2,5 foi El Pitillal com 13,7 μg/m3, e a menor concentração foi Mojoneras, com 7,6 μg/m3, com a tendência dos valores dentro da norma para o centro da área urbana. No caso da concentração de PM10, o sítio com os valores mais altos foi o CUC, com 66,4 μg/m3, enquanto o valor mais baixo foi o El Centro, com 23,9 μg/m3, apresentando valores aceitáveis na norma para o nordeste do município. Relativamente ao IMECA, a área urbana está dentro dos padrões saudáveis estabelecidos por lei, embora se possa observar que em algumas áreas, especificamente em Las Juntas, as concentrações médias de PM10 excedem o valor máximo estabelecido pela Norma Oficial Mexicana.
Palavras-chave: material particulado, poluição, crescimento urbano, fenômenos atmosféricos.
Résumé: Les particules sont un ensemble de matières dispersées dans l’atmosphère, condensées et émises directement dans l’air ou formées de manière secondaire ; ce polluant met en danger la santé publique, notamment des voies respiratoires, en raison des concentrations qui sont observées aujourd’hui dans différentes zones urbaines. L’objectif de cet article était d’évaluer la concentration de PM10 et PM2.5 dans la zone urbaine de Puerto Vallarta et sa relation avec les systèmes atmosphériques (système de haute pression, jet stream, anticyclone, jets de basse altitude, etc.) Le suivi a été réalisé pendant la période d’étiage 2018-2019 en 10 points différents de la ville, choisis en fonction de la forte concomitance des voitures. Les mesures ont été effectuées entre 8h00 et 10h30, à intervalles de 10 minutes et avec le moniteur en temps réel PM2.5/PM10 HoldPeak HP-5800F. Le site présentant la plus forte concentration de PM2,5 était El Pitillal, avec 13,7 μg/m3, et la plus faible concentration était Mojoneras, avec 7,6 μg/m3, avec la tendance des valeurs dans la norme vers le centre de la zone urbaine. Dans le cas de la concentration de PM10, le site présentant les valeurs les plus élevées était le CUC, avec 66,4 μg/m3, tandis que la valeur la plus faible était El Centro avec 23,9 μg/m3, présentant des valeurs acceptables dans la norme vers le nord-est de la municipalité. En ce qui concerne l’IMECA, la zone urbaine est dans les normes saines établies par la loi, bien qu’on puisse observer que dans certaines régions, en particulier à Las Juntas, les concentrations moyennes de PM10 dépassent la valeur maximale établie par la norme officielle mexicaine.
Mots clés: qualité de l’environnement, pollution, planification urbaine, matériau polluant.
Las partículas suspendidas, aeropartículas o material particulado (PM), son un conjunto de materia dispersa en la atmósfera, condensada y emitida directamente al aire o formada de manera secundaria (Ramírez et al., 2018). La composición física y química de las partículas varía dependiendo de la localización, la estacionalidad y el clima de la región (Morales et al., 2019).
Las partículas se clasifican por su origen y tamaño. Según su génesis, se diferencian en primarias y secundarias; las primarias son emitidas directamente a la atmósfera (humo, polvo) y las secundarias se forman en la atmósfera, como resultado de reacciones químicas a partir de gases precursores (Toledo et al., 2008). El tamaño es una parte fundamental, ya que, entre más pequeño sea el diámetro de la partícula, mayor su capacidad de penetrar en áreas profundas del sistema respiratorio. El diámetro del PM ha permitido clasificarlo en cuatro grandes grupos: partículas suspendidas totales (PST) de 100 µm (micras), partículas respirables de ≤ 10 µm (PM10), partículas finas de ≤ 2.5 µm (PM2.5) y partículas ultrafinas de ≤ 1 µm (PM1) (Pérez-Vidal et al., 2010). Dependiendo del tamaño, podrían depositarse en el sustrato, o bien mantenerse suspendidas en el aire (Ramírez-Leal et al., 2018). El PM, pone en riesgo la salud del hombre debido a las concentraciones que hoy se observan en diferentes zonas urbanas (Organización Mundial de la Salud, 2018, Zapata, et al., 2019 ).
La exposición humana a partículas en suspensión se ha relacionado con el deterioro del sistema respiratorio (Dockery y Pope, 1994). El PM10 tiene la capacidad de entrar en las vías respiratorias (Morales et al., 2019); sin embargo, el PM2.5 podría llegar a los bronquiolos terminales y a los alveolos, donde posteriormente esas partículas serían fagocitadas por macrófagos alveolares, atravesarían la barrera alveolo capilar y se transportarían a otros órganos por medio del sistema circulatorio (Morales y Leiva, 2006). Por lo tanto, la contaminación del aire podría suscitar un daño pulmonar, tanto en adultos como en niños, causando asma, bronquitis, enfisema y cáncer (Kim y Fergusson, 1993; Pope y Dockery, 2006, Cozzi, et al., 2010). La gravedad de los efectos nocivos va a depender de la concentración del material particulado, la duración de exposición y la vulnerabilidad de las personas expuestas (Bascom et al., 1996).
Por ello, la OMS (2018) ha establecido estándares de calidad de aire para los contaminantes presentes en él, considerando las partículas finas como unas de las más dañinas para la salud humana. En México, se desarrolló la Norma Oficial Mexicana NOM-025-SSA1-2014, que define los valores límites permitidos para la concentración de PM10 y PM2.5 en el aire, con el afán de garantizar la protección de la salud en la población. Esta norma menciona que el límite para PM10 es de 75 microgramos por metro cúbico (μg/m3), y de 45 μg/m3 para PM2.5, en promedio (Secretaría de Salud, 2014).
Se ha observado que la zona urbana de Puerto Vallarta ha crecido aceleradamente en los últimos años, como resultado del crecimiento demográfico y de una concentración económica regional; además, este municipio se caracteriza por un alto crecimiento poblacional por migración. A partir de los años 90 del siglo pasado, el crecimiento ha sido de 6.5% anual y se estima que llegará a tener 400 mil habitantes en el 2020 (Viera y Canchola, 2020).
La ubicación geográfica de Puerto Vallarta convierte a esta ciudad en un polo de desarrollo turístico y de infraestructura urbana que, aunada a la migración, ha contribuido a la urbanización de ciudades medias en Jalisco. De esta manera el desarrollo urbano se debe a la apertura de fuentes de empleo y al incremento de la calidad de vida de los pobladores. Sin embargo, el proceso de modernización se ha encaminado a la industria turística, generando grandes problemas de ocupación del terreno y de uso del transporte. Por esa razón se deben establecer políticas públicas en relación a movilidad urbana, con el fin de disminuir la concentración de PM10 y PM2.5 en las zonas de mayor afluencia vehicular.
Considerando lo anterior, existe un instrumento encaminado a regular las emisiones atmosféricas —Reglamento de Ecología para el municipio de Puerto Vallarta, Jalisco. Capítulo II.- De la Prevención y Control de la Contaminación Atmosférica— en el que se señala como Fuentes móviles a los vehículos automotores; lo mismo ocurre en el Artículo 72, párrafo II.- Este Reglamento menciona que establecerá medidas para retirar de la circulación, con apoyo de la Dirección de Seguridad Pública, Tránsito y Bomberos, a los vehículos automotores que rebasen los límites máximos permisibles de emisiones contaminantes a la atmósfera. En él párrafo III, se proponen medidas de tránsito y vialidad en coordinación con la unidad encargada del Tránsito Municipal, para evitar que los niveles de concentración de contaminantes en la atmósfera, emitidos por los vehículos automotores, rebasen los límites máximos permisibles que determinen las normas ecológicas. De esta manera se pretenden establecer políticas públicas en relación con la disminución de PM. La razón es que Puerto Vallarta se considera una ciudad central y pieza clave para la conurbación de la región de Bahía de Banderas, por lo que seguirá incrementado el emplazamiento urbano trayendo consigo varios cambios sociales y ambientales.
El monitoreo atmosférico es una herramienta que permite determinar los niveles de contaminación del aire y las condiciones meteorológicas que favorecen el transporte y la dispersión de los contaminantes; sus aportaciones son fundamentales para establecer medidas de control de la contaminación y políticas para proteger la salud de la población, se requiere monitorear la calidad del aire, que podría influir en la incidencia de las enfermedades respiratorias. Con esta información se podrían tomar decisiones de planeación urbana y prevenir posibles contingencias médicas relacionadas con la contaminación atmosférica. En esta investigación el objetivo es evaluar el nivel de PM2.5 y PM10 en el área urbana y determinar las zonas que presentan mayor incremento de partículas.
Materiales y Métodos
Área de Estudio
El municipio de Puerto Vallarta se encuentra al oeste del estado de Jalisco, en las coordenadas 20º59’00’’ de latitud norte y 105º33’00’’de longitud oeste (Figura 1). Cuenta con una extensión territorial de 1,300.67 km2 (H. Ayuntamiento de Puerto Vallarta, 2018-2021). De acuerdo con el INEGI (2015), Puerto Vallarta contaba con una población de 275,640 habitantes. El clima es semitropical y húmedo, la temperatura máxima es de 31°C, en el verano, y la mínima de 19°C, en el invierno; la media anual es de 25°C. La temporada de lluvias abarca desde mediados del mes de junio hasta finales del mes de octubre, continuando con lluvias aisladas hasta mediados de noviembre; el municipio tiene una precipitación media anual de 1,417 mm.

Localización del área de estudio y distribución geográfica de los puntos de muestreo en el área urbana de Puerto Vallarta, Jalisco, México
Principales zonas de afluencia vehicular.
Instituto Nacional de Estadística, Geografía e Información (INEGI). Elaboración propiaSe realizaron muestreos en nueve sitios distintos de la zona urbana de Puerto Vallarta: Centro Universitario de la Costa (CUC), Juntas, Mojoneras, Coapinole, Pitillal, Marina, Administración Portuaria Integral (API), Las Glorias, Ex-regional y Centro (Figura 1). Los sitios se seleccionaron y diferenciaron de acuerdo con su ubicación en el marco urbano, su altitud, el tránsito vehicular y la densidad conforme a los criterios de Quintero (2017), que consisten en el aforo y concentración de la población (Tabla 1).

Nota: Cada punto fue seleccionado de acuerdo a la concentración poblacional
Elaboración propia.En cada sitio se llevó a cabo el registro de datos con el aparato Hold Peak HP-5800F, a una altura aproximada de 2 metros sobre la altitud de la estación que, por medio de un sensor óptico, mide de forma precisa la concentración de PM2.5 y PM10, dando resultados en microgramos por metro cúbico (μg/m3).
El principio óptico se da gracias un diodo que posee la habilidad de emitir un haz de luz que puede o no ser visible, la diferencia al llegar al foto detector indica la densidad de partículas. El sistema de monitoreo cuenta con un reloj de tiempo real RTC, que etiqueta los promedios del periodo de 10 minutos con fecha y hora, respaldado por una batería. El promedio se determina sumando todos los valores que se adquieren en el periodo, a partir de que se energiza la unidad, y se divide entre el número de iteraciones; es decir, si se enciende, por ejemplo, en el minuto 6 con 10 segundos y ocurren 134 iteraciones, se divide la sumatoria de las lecturas entre 134, el promedio se almacenará de manera permanente a los 10 minutos horarios, es decir a la hora y 10 minutos y corresponderá a los datos promediados de 4 minutos. En el siguiente periodo, el número de iteraciones aumentará, ya que ahora serán de 10 minutos exactos. En caso de apagar la unidad antes de los 10 minutos horarios, este último periodo no se guardará de forma permanente. Los datos instantáneos, o de tiempo real, pueden ser visualizados en una terminal ASCCII, configurada a 9600 baudios, paridad ninguna, 8 bits de datos y 1 de paro, conectados a través del conector USB del sistema. Este procedimiento se realizó cada 10 minutos en un horario de 8:00 a.m. a 10:30 a.m., por cinco días entre los meses febrero a mayo del 2018 y 2019, considerados como el periodo de estiaje.
Así, se calcularon los promedios y la desviación estándar de las concentraciones de PM2.5 y PM10 de cada sitio. Estos resultados se migraron al programa ArcGis, versión 10.3 (ESRI, 2015), para realizar una interpolación de la Distancia Inversa Ponderada (IDW) y así realizar la representación espacial de la concentración de PM de cada sitio.
Simultáneamente, se elaboró una base de datos atmosféricos de los termodiagramas a partir de datos provenientes de la página del Laboratorio de recursos aéreos de la NOAA, así como también del Centro de Vuelo Espacial de la NASA, para identificar los sistemas atmosféricos presentes y las inversiones térmicas registradas, de acuerdo con las concentraciones de PM10 obtenidas en cada una de las fechas de los muestreos, para descartar o asociar la variación de los datos con referencia a dichas variables.
Además, se utilizaron los intervalos de concentración para asignación de colores propuestos para el Índice Metropolitano de la Calidad de Aire (IMECA) y, de acuerdo con la coloración en la que se situaron los valores promedio de PM10 y PM2.5 de los años 2018 y 2019, se determinó si el nivel de calidad era bueno (0-60), regular (61-120), malo (121-220), muy malo (221-320) o extremadamente malo (>320) (Secretaría del Medio Ambiente, 2006) (Tabla 2).

Nota: Los valores están convertidos de IMECAS a micras
Modificado de Secretaría de Medio Ambiente, 2006.Finalmente, se realizó una correlación bivariada entre los casos de enfermedades reportadas y los promedios de las concentraciones de PM2.5 y PM10, donde se utilizaron el coeficiente de correlación (r) y el programa Past (Hammer et al., 2001) para verificar si existía una correlación entre estas.
Resultados
Se observó que, en el año 2019, Las Juntas, Mojoneras, Coapinole, Marina, Crucero API, Ex-Regional y Las Glorias tuvieron promedios de PM2.5 menores a los del año 2018, mientras que el CUC y Pitillal mostraron mayores concentraciones en comparación con dicho año (Gráfica 1)

Nota: Principales zonas de concentraciones
Elaboración propia.En el caso de PM10, la concentración de partículas del año 2019 se redujo solamente en Las Juntas, Mojoneras, Coapinole y Walmart, en comparación con el año anterior. En el resto de los sitios, dichos valores aumentaron levemente con respecto al 2018 (Gráfica 2).

Tomando en cuenta los valores IMECA, las concentraciones de PM10 de la primera mitad del 2018 presentan un nivel regular de calidad en los sitios CUC, Las Juntas y Coapinole, mientras el resto de las zonas de muestreo presentaron un nivel de calidad bueno. En ese mismo año, las concentraciones de PM2.5 mostraron un nivel regular en las Juntas y Coapinole, mientras que los demás sitios tuvieron un nivel bueno. Para el año 2019, se observaron niveles buenos de calidad de aire tanto en PM2.5 como PM10, con excepción del sitio CUC que presentó un nivel regular en concentraciones de material particulado de 10 μm (Tabla 3).

Nota: De acuerdo con la coloración indicada por la Secretaría del Medio Ambiente (2006) para los IMECAS, el color verde expresa un nivel de calidad bueno, mientras que el color amarillo hace referencia a un nivel de calidad regular
Elaboración propiaEn el año 2018, se observó que el sitio con mayor concentración de PM2.5 fue las Juntas, con un promedio de 53.4μg/m3. En esta región se concentra la mayor cantidad de vehículos de carga, lo cual favorece la concentración de material particulado. A Las Juntas siguieron las localidades de las Glorias y el Coapinole; cabe resaltar que las tres mencionadas se localizan en zonas urbanas. La zona de menor concentración fue la colonia del Centro, con un promedio de 5 μg/m3, en donde el efecto de brisa marina favorece las bajas concentraciones. En la Marina se observan valores promedios de 7 μg/m3, pues el efecto de brisa marina influye mucho, evidenciándose en la cartografía con colores rojo y azul, respectivamente (Figura 2). Respecto a la concentración de PM10, el sitio que obtuvo mayor concentración fue Las Juntas, con 207.6 μg/m3; las partículas suspendidas son afectadas por los vehículos de doble carga y por la concentración de vehículos, negocios y personas, como se presenta en el mapa. Por otra parte, se muestra una coloración azul clara en el sitio con el menor valor, la Marina, con 10.0 μg/m3, lo cual coincide con lo reportado por las PM2.5 (Figura 3). En dicho año, los valores observados se encuentran dentro de los límites permitidos y no muestran afectaciones a la población a corto plazo, conforme a la NOM-025-SSA1-201.

Nota: La imagen representa las zonas con mayor concentración de vehículos.
Elaboración propia.

Nota: La imagen representa las zonas con mayor concentración de vehículos
Elaboración propia.En el año 2019 se observó que el sitio con mayor concentración de PM2.5 fue la colonia del Pitillal con un promedio de 13.7μg/m3, cabe resaltar que esta colonia se encuentra en una zona urbana en el corazón de la ciudad y es en donde mayor afluencia de personas se da, por el comercio local. El sitio de menor concentración fue Mojoneras, con un promedio de 6.6 μg/m3; está colonia se encuentra en una zona rural en crecimiento. La localidad de Las Juntas presentó los niveles más altos de PM2.5, superiores a 30 μg/m3; se observa que ese resultado coincide con lo reportado en el 2018; los resultados se evidencian en la cartografía con colores rojo y azul, respectivamente (Figura 4). Respecto a la concentración de PM10, el sitio que obtuvo un promedio mayor fue CUC con 66.4 μg/m3; cabe resaltar que esta zona de muestreo se encuentra en un área rural, en pleno crecimiento urbano, y puede ser un foco de atención a corto y mediano plazo. Por otra parte, se muestra en color azul claro el sitio con el menor valor: el Centro, con 23.9 μg/m3; esos datos coinciden con lo reportado en el 2018 (Figura 5). En ese año, los valores se encontraban dentro de los límites permitidos conforme a la NOM-025-SSA1-201. Los resultados actuales, entonces, aportan información importante con el propósito de proteger la salud de la población en general y, en particular, de los grupos más susceptibles a enfermedades cardiorrespiratorias.

Nota: La imagen representa las zonas con mayor concentración de vehículos
Elaboración propia.

Nota: La imagen representa las zonas con mayor concentración de vehículos
Elaboración propia.Según la información brindada por la Secretaría de Salud del municipio de Puerto Vallarta, las enfermedades respiratorias que más afectan a la población son faringitis, amigdalitis estreptocócicas, neumonías, bronconeumonías, otitis media aguda, tuberculosis respiratoria e infecciones respiratorias agudas, siendo predominantes estas últimas. El mes con mayor incidencia de enfermedades, en la primera mitad del año 2018, fue enero, con 9,489 casos.
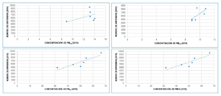
Se realizó la prueba de t para dos muestras dependientes, mediante los datos obtenidos de la correlación bivariada entre los promedios mensuales de PM2.5 en la primera mitad del 2018 y el número de casos de enfermedades respiratorias de esos mismos meses. Así, se determinó que hubo una correlación positiva, aunque no fue significativa (r=0.33; p=0.51), mientras que en las mediciones de PM2.5 en 2019 se determinó que hubo una correlación positiva significativa (r=0.70; p=0.11) (Figura 6).
En el caso de las partículas PM10 y el número de casos de enfermedades respiratorias, se determinó que existe correlación positiva y significativa entre ambas variables: r=0.87; p=0.02, para 2018, y r=0.92; p=0.08 para 2019. Lo anterior indica que, ante una mayor concentración de material particulado, el número de casos por enfermedades respiratorias aumentó (Figura 6).

Nota: Comparación de las concentraciones del PM y su relación con enfermedades cardiorrespiratorias.
Elaboración propia con datos de Secretaría de Salud.En la región de estudio y con relación a los sistemas atmosféricos, la dirección de los vientos presentes en los meses de febrero, marzo, abril y mayo del 2019, fue hacia el suroeste de la zona urbana del municipio. Por otro lado, se observó, entre los días 27 al 29 de marzo y 01 al 05 de abril del 2019, presencia de algunos sistemas atmosféricos, en donde se registraron las concentraciones de material particulado más altas y más bajas al momento del estudio.
El 29 de marzo, se registró un sistema de alta presión, así como un giro anticiclónico en la zona sur de México, estas condiciones propiciaron una atmósfera estable (Figura 7). En el termodiagrama, se observó la presencia de una inversión térmica intensa y con escaso espesor, por debajo de los 50 m, con una humedad relativa bastante baja, así como con vientos débiles procedentes de la región noreste de México (Figura 7). Estas situaciones favorecieron el aumento en la concentración de partículas suspendidas en el aire PM10 y PM2.5.

Nota: Monitoreo en tiempo real de los sistemas atmosféricos
Fuente: https://ready.arl.noaa.gov y https://weather.msfc.nasa.gov.El día 2 de abril se observaron vientos occidentales, asociados a un jet de niveles bajos que arrastra humedad del Pacífico, favoreciendo cielos nublados en la región noroeste. Además de esto, se observó la presencia de flujos altos, contenidos de humedad en niveles bajos (superficiales) que se elevan por las montañas; es decir, formación de nubes en las cadenas montañosas aledañas a Puerto Vallarta (Figura 8). En el termodiagrama se observa que existía la presencia de una inversión térmica moderada o de media intensidad, pero con niveles de humedad muy altos que favorecieron que las partículas se combinaran con las moléculas de agua y cayeran al suelo, dando como resultado la disminución de partículas PM10 y PM2.5 suspendidas en el aire (Figura 8).

Nota: Monitoreo en tiempo real de los sistemas atmosféricos
Fuente: https://ready.arl.noaa.gov y https://weather.msfc.nasa.gov.Conclusión
Las concentraciones obtenidas de PM10 en los puntos muestreados, específicamente en Las Juntas, sobrepasan el valor máximo que establece la Norma Oficial Mexicana. Si bien los sistemas atmosféricos presentan en su mayoría patrones subsidentes, las concentraciones elevadas de PM no tienen relación alguna con patrones naturales, por lo que se puede concluir que las concentraciones, tanto de PM2.5 como de PM10, están dadas por fuentes de emisiones antropogénicas, asociadas al crecimiento urbano, la deforestación, los incendios forestales etc.
En ambos años la tendencia de mayores concentraciones de PM, como consecuencia del efecto de la brisa marina y la dirección promedio de los vientos en el momento del estudio, fue en el suroeste de Puerto Vallarta. También, la presencia de sistemas de alta presión, las inversiones térmicas medianas y altas, así como los niveles altos de humedad, influyeron en las concentraciones de material particulado en el aire.
En el caso de PM10, se observó una mayor concentración en el centro de la zona urbana. Esto podría deberse a la frecuencia de la circulación de volteos y camiones con emisión de humo negro. Asimismo, en el CUC se percibió que en las zonas aledañas al crucero existen terrenos deforestados o con poca vegetación, lo cual propicia el levantamiento de partículas por el viento desde el suelo. A pesar de la diferencia observada en la cartografía, la prueba estadística determinó que no existe una diferencia significativa entre ambos años, lo que indica que las concentraciones de PM se han mantenido estables. En cuanto a la relación que existe entre el material particulado y las enfermedades respiratorias, se pudo identificar que para PM2.5 no existe una correlación, mientras que para PM10 sí la hubo.
De forma general, se puede concluir que el municipio tiene un nivel de calidad de aire bueno, con base en los intervalos que determina el IMECA (Secretaría del Medio Ambiente, 2006) y los límites permisibles que establece la NOM-025-SSA1-2014. El único sitio que mostró un nivel de calidad regular en el momento del estudio fue el CUC, donde las recomendaciones indican que se pueden realizar actividades al aire libre, pero es posible que niños, adultos mayores o personas con enfermedades puedan presentar molestias.
Para el Municipio en Términos de las Capacidades de Planeación y las Políticas Urbanas
A continuación, se presentan cuatro sugerencias para tener en cuenta a nivel municipal. Primero, se recomienda el reconocimiento de los puntos de emisión o causa de contaminantes y de los elementos de regulación urbana a nivel de reglamentos y normativas de ordenamiento. Segundo, en la temporada anual de periodos de sequía e incendios, se sugiere aumentar los niveles de humedad a nivel ciudad, ya sea por regadío de asfalto y lotes baldíos o, a nivel hogar, de calles y viviendas, lo cual disminuirá las partículas suspendidas. Tercero, durante la estación de incendios forestales, es necesario continuar con el programa preventivo de monitoreo de incendios y de dispersión de partículas contaminantes en la ciudad. Cuarto, en el caso de las emisiones industriales, hay que aplicar la normativa de protección aplicable según la Secretaría de Medio Ambiente y la regulación de la Comisión Federal para la Protección contra Riesgos Sanitarios. Derivadas de los resultados de este estudio, y del reconocimiento de los umbrales señalados en esta investigación, estas recomendaciones pueden formar parte de una propuesta para los sistemas de monitoreo ambiental y para la planificación.
Sugerencia sobre las Estaciones de Monitoreo y a la Luz de las Capacidades de Gestión Municipales y Estatales
Es necesario contar con un centro de monitoreo atmosférico de la calidad del aire, que permita conocer si la calidad del aire es mala, regular o buena para la salud de la población. Para llevar a cabo un análisis, es necesario contar con mínimo tres estaciones de monitoreo automáticas (una en el sur, otra en el norte y, la tercera, en el Centro de Puerto Vallarta). Con esta información se pretende conocer los niveles de calidad del aire en las principales zonas urbanas del municipio, y el estado real que guarda la calidad del aire, así como de la tendencia de la misma. Todo esto permitirá evaluar si las medidas establecidas en IMECA están siendo efectivas, ya que, a través de estas mediciones, se puede saber si la tendencia de las concentraciones de los contaminantes en la atmósfera es ascendente o descendente. Esas medidas se harán conforme a la Norma Oficial Mexicana NOM-025-SSA1-2014, que determina los valores límites permitidos para la concentración de PM10 y PM2.5 en el aire, todo esto con el afán de garantizar la protección de la salud en la población.
Es necesario seguir realizando este tipo de monitoreos en Puerto Vallarta, así como también en el municipio de Bahía de Banderas, para conocer cómo se distribuyen las concentraciones de material particulado de la zona conurbana, ya que, en los últimos años, ambas ciudades han experimentado un importante crecimiento. También se propone el establecimiento de estaciones de monitoreo permanente, para tener un estudio más completo sobre la calidad del aire, conforme lo expiden las Normas Oficiales Mexicanas, y, a partir de ello, poder tomar decisiones de planeación urbana que ofrezcan un beneficio a la población. Esto se plantea con el afán de evitar contingencias ambientales, como las de las grandes ciudades, que puedan provocar un aumento en la incidencia de enfermedades respiratorias.
Referencias
BASCOM R. BROMBERG PHILIP A, COSTA DANIEL L, , DOUGLAS W. ROBERT D., MARK W. DOCKERY., WILLIAM LAMBERT FRAMPTON, SAMET JONATHAN M.,. SPEIZER FRANK E, UTELL MARK. (1996). Health effects of outdoor air pollution. American Journal of Respiratory and Critical Care Medicine, 153(2), 477-498. https://doi.org/10.1164/ajrccm.153.2.8564086
COZZI, F., ADAMI, G., BARBIERI, P., REISENHOFER, E., APOSTOLI, P., & BOVENZI, M. (2010). Toxic elements content in PM10 samples from coastal area of the Northern Adriatic Sea. Central European Journal of Chemistry, 8(5), 1014–1026. https://doi.org/10.2478/s11532-010-0074-3
DOCKERY, D. W., Y C. A. POPE. (1994). Acute respiratory effects of particulate air pollution. Annual Review of Public Health, 15(1), 107-132. https://doi.org/10.1146/annurev.pu.15.050194.000543
ENVIRONMENTAL SYSTEMS RESEARCH INSTITUTE (ESRI). (2015). ArcGIS 10.3. 1 for desktop.
H. AYUNTAMIENTO DE PUERTO VALLARTA. 2018-2021. (30 DE ENERO DEL 2019). El puerto que queremos. Medio Físico. https://www.puertovallarta.gob.mx/2018-2021/Ciudad/localizacion.php
HAMMER, Ø., D. A. T. HARPER Y P. D. RYAN. (2001). PAST: Paleontological statistics software package for education and data analysis. Palaeontologia Electronica 4(1): 9.
INSTITUTO NACIONAL DE ESTADÍSTICA Y GEOGRAFÍA (INEGI). (2015). Información de México para niños: Número de habitantes por municipio, Puerto Vallarta. https://www.inegi.org.mx/app/indicadores/?t=0200001000000000&ag=14067#tabMCcollapse-Indicadores
KIM, N., Y J. FERGUSSON. (1993). Concentrations and sources of cadmium, copper, lead and zinc in house dust in Christchurch, New Zealand. Science of the Total Environment, 138(1-3), 1-22. https://doi.org/10.1016/0048-9697(93)90400-z
MORALES, R. G., Y M. A. LEIVA (2006). Distribución y concentraciones críticas de material particulado en la ciudad de Santiago. En: Morales, R. G. (Ed.). Contaminación atmosférica urbana: Episodios críticos de contaminación ambiental en la ciudad de Santiago (pp. 107-172). Editorial Universitaria SA.
MORALES GARCÍA, S.S., RODRÍGUEZ ESPINOSA, P.F., JONATHAN, M.P. ET AL. (2014). Characterization of As and trace metals embedded in PM10 particles in Puebla City, México. Environ Monit Assess, 186, 55–67. https://doi.org/10.1007/s10661-013-3355-4.
MORALES HERNÁNDEZ J.C., PONCE PELAYO F., CORNEJO LÓPEZ, V. M., Y CARRILLO GONZÁLEZ, F. M. (2019). Evaluación de la concentración de partículas PM10 en la zona urbana de Puerto Vallarta, Jalisco, y su relación con los fenómenos atmosféricos. En Rodríguez Esteves, J. M. (Ed), Riesgo de desastres en México: eventos hidrometeorológicos y climáticos (pp. 223-241). IMTA.
ORGANIZACIÓN MUNDIAL DE LA SALUD (OMS). (2018). World Health Organization: What is Air Pollution? http://www.searo.who.int/topics/air_pollution/what-is-air-pollution.pdf?ua=1
PÉREZ-VIDAL, H., M. A. LUNAGÓMEZ-ROCHA Y L. ACOSTA-PÉREZ. (2010). Análisis de partículas suspendidas totales (PST) y partículas fracción respirable (PM10), en Cunduacán, Tabasco. Universidad y Ciencia, 26(2), 151-162. http://www.scielo.org.mx/pdf/uc/v26n2/v26n2a3.pdf
POPE, C. A., Y D. W. DOCKERY. (2006). Health Effects of Fine Particulate Air Pollution: Lines that Connect. Journal of the Air & Waste Management Association, 56(6), 709-742. https://doi.org/10.1080/10473289.2006.10464485
QUINTERO-GONZÁLEZ, J. R. (2017). Del concepto de ingeniería de tránsito al de movilidad urbana sostenible. Ambiente y Desarrollo, 21(40), 57-72. https://doi.org/10.11144/Javeriana.ayd21-40.citm
RAMÍREZ-LEAL, R., M. CRUZ-CAMPAS Y H. ESTUARDO-MORENO. (2018). Characterization of PM10 Particles by SEM-EDS. Microscopy and Microanalysis, 24(1), 1070–1071. https://doi.org/10.1017/S1431927618005834
SECRETARÍA DE MEDIO AMBIENTE Y RECURSOS NATURALES (SEMARNAT). (2013). Calidad del aire: una práctica de vida. Cuadernos de divulgación ambiental.
SECRETARÍA DE SALUD. (2014). Norma Oficial Mexicana NOM-025-SSA1-2014, Salud ambiental. Valores límite permisibles para la concentración de partículas suspendidas PM10 y PM2.5 en el aire ambiente y criterios para su evaluación. Diario Oficial de la Federación.
SECRETARÍA DEL MEDIO AMBIENTE. (2006). Aviso por el que se da a conocer el Proyecto de Norma Ambiental para el Distrito Federal PROY-NADF-009-AIRE-2006, que establece los requisitos para elaborar el Índice Metropolitano de la Calidad del Aire. Gaceta Oficial del Distrito Federal
TOLEDO, V. E., DE ALMEIDA-JUNIOR, P. B., QUITERIO, S. L., ARBILLA, G., MOREIRA, A., ESCALERIA, V., & MUREIRA, J. C. (2008). Evaluation of levels, sources and distribution of toxic elements in PM10 in a suburban industrial region, Río de Janeiro, Brazil. Environmental Monitoring and Assessment, 139, 49–59. https://doi.org/10.1007/s10661-007-9815-y
VIERA MEJÍA, D.V., MICHEL CACHONLA, J. E. 2020. Descripción geográfica de la Costa de Jalisco. En Morales Hernández J. C., Cruz Romero B. (Ed), Caracterización de la Costa de Jalisco: Relación con la variabilidad climática, cambio de uso de suelo y aspectos socioeconómicos (pp. 1-25). E-Dae, S. de R.L. de C.V.
ZAPATA-CARBONELL, JOSÉ GONZÁLO, BAUTISTA, FRANCISCO, RENDÓN-VON OSTEN, JAIME, LAGUNES-ESPINOZA, LUZ DEL CARMEN, PALMA-LÓPEZ, DAVID JESÚS, CEJUDO-RUIZ, FREDY RUBÉN, GOGUICHAICHVILI, AVTO, & FRAUSTO-MARTÍNEZ, OSCAR. (2019). Geochemical characterization and spatial distribution of heavy metals from urban dust in Chetumal, Mexico. Ingeniería, investigación y tecnología, 20(3), 1-9. https://dx.doi.org/10.22201/fi.25940732e.2019.20n3.027
Notas