Artículos
Calidad del sueño y rendimiento académico en los alumnos del Plantel “Dr. Ángel Ma. Garibay Kintana” de la UAEMéx
Sleep quality and academic performance in the students of the campus Dr. Angel Ma. Garibay Kintana from UAEMéx
Calidad del sueño y rendimiento académico en los alumnos del Plantel “Dr. Ángel Ma. Garibay Kintana” de la UAEMéx
Revista RedCA, vol. 4, núm. 11, pp. 124-143, 2021
Universidad Autónoma del Estado de México

Recepción: 10 Agosto 2021
Aprobación: 09 Septiembre 2021
Publicación: 05 Octubre 2021
Resumen: La calidad del sueño tiene importancia capital en variables como la memoria, atención, plasticidad cerebral, el aprendizaje y el rendimiento escolar. El objetivo del presente estudio fue estimar la relación de la calidad del sueño con el rendimiento escolar en los alumnos del Plantel Dr. Ángel Ma. Garibay Kintana (PDAMGK) de la escuela preparatoria de la Universidad Autónoma del Estado de México (UAEMéx). Participaron 372 alumnos de quinto semestre, 148 hombres (16.9 ± 0.5) y 224 mujeres (16.9 ± 0.4) a quienes se les aplicó en línea el cuestionario Índice de Calidad del Sueño de Pittsburgh. Sus resultados se correlacionaron con los promedios generales del primer examen parcial. Se halló que a pesar de que en su mayoría duermen más de 7 horas, los alumnos presentan un índice general de calidad regular del sueño, condición que es causada por factores perturbadores como despertares nocturnos, ruidos, entre otros, así como una latencia provocada por agentes como el televisor, el teléfono. Lo anterior se relaciona con la disfunción diurna de los estudiantes. Se encontró que la calidad del sueño está relacionada con el rendimiento académico (rho Spearman= 0.27, p<0.025), lo que nos lleva a estimar que la calidad del sueño es un buen predictor del desempeño escolar.
Palabras clave: Sueño, rendimiento académico, bachillerato, calidad del sueño, higiene del sueño.
Abstract: The quality of sleep is of paramount importance in variables such as memory, attention, brain plasticity, learning and school performance. The objective of this study was to estimate the relationship between sleep quality and school performance in the students of the Dr. Angel Ma. Garibay Kintana Campus (PDAMGK) of the preparatory school of the Autonomous University of the State of Mexico (UAEMex). 372 fifth semester students participated, 148 men (16.9 ± 0.5) and 224 women (16.9 ± 0.4) to whom the Pittsburgh Sleep Quality Index questionnaire was applied online. Their results were correlated with the general averages of the first midterm exam. It was found that despite the fact that most of them sleep more than 7, the students present a general index of regular sleep quality, a condition that is caused by disturbing factors such as nocturnal awakenings, noise, among others, as well as a latency caused by agents like the television, the telephone. This is related to the diurnal dysfunction of the students. Sleep quality was found to be related to academic performance (rho Spearman = 0.27, p <0.025), which leads us to estimate that sleep quality is a good predictor of school performance.
Keywords: Sleep, academic performance, high school, sleep quality, sleep hygiene.
Introducción
El sueño se define como un estado de desprendimiento perceptivo reversible caracterizado por una falta de respuesta al medio ambiente. Es una actividad psicofisiológica periódica de ritmo circadiano, diferenciable del estado de vigilia por modificaciones integradas de la actividad nerviosa superior, de la actividad neurovegetativa y de las regulaciones neuroendocrinas (Kryger & Dement, 2011, González de Rivero, 1993). En los registros electroencefalográficos se puede corroborar que es un proceso activo que se desarrolla en varias fases que se diferencian entre sí por los cambios en las pautas de actividad eléctrica cerebral.
El papel del sueño es primordial en el desarrollo psicofisiológico humano. Se ha reportado que las horas del sueño son mayores durante los primeros años de vida y van disminuyendo conforme crecemos. Es decir, entre más pequeños somos, más horas de sueño necesita nuestro cerebro para su desarrollo normal. Así, en la adolescencia, el cerebro necesita dormir entre 8 y 10 horas (Ayala y Mexicano, 2010). Tener un sueño adecuado en calidad y en cantidad en esta etapa tiene algunos efectos positivos como: aumentar la secreción de la hormona del crecimiento; incremento en la síntesis de proteínas, borrar recuerdos innecesarios para consolidar los más importantes; consolidar la memoria; la plasticidad neuronal y, por supuesto, consolidar el aprendizaje (Ebrahim, Howard, Kopelman, Sharief & Williams, 2002; Soriano Mas, 2007).
Por otro lado, los estudios experimentales han encontrado que la privación del sueño conlleva alteraciones orgánicas y mentales en variables como deterioro de la atención, tiempos de reacción, tareas psicomotoras, funciones ejecutivas, fuerza muscular, la memoria, el aprendizaje por supuesto, entre otras más. En casos extremos, su privación absoluta conduce a la muerte (Feldman, 2006). Particularmente, se ha observado que la privación de la fase de Movimientos Oculares Rápidos (MOR) en sujetos que aprenden una tarea, tiene repercusiones negativas en la retención del material a aprender (Karni, citado por Soriano Mas, 2007).
De esta manera, resulta fácil inferir que un sueño de mala calidad y cantidad en los estudiantes tiene consecuencias negativas en su desempeño académico. Seo y So (2014) encontraron que estudiantes coreanos que dormían hasta cuatro horas presentaban un desempeño académico pobre, a diferencia de aquellos que dormían hasta 10 horas.
Pavón (1994), refiere que el rendimiento académico es un indicador del nivel de aprendizaje alcanzado por el alumno en su proceso educativo en función de los objetivos programáticos previstos; para Vigo (2006), es la expresión de capacidades cognitivas y de características psicológicas del estudiante, desarrolladas y actualizadas a través del proceso de enseñanza de enseñanza-aprendizaje.
Durante el sueño se produce un proceso neuroquímico que fija el conocimiento adquirido, producto del estudio, ya que tal conocimiento se retiene y lograr formar parte de las estructuras cognitivas del cerebro, con lo cual se asegura el recuerdo y se alcanza la claridad necesaria para aprender en profundidad (Witman & Young, 2011).
Así entonces, los problemas de sueño tendrán un impacto negativo en variables tales como la atención, la memoria, el razonamiento y, por ende, en el rendimiento académico (Tynjälä, Kannas y Levälahti, 1997). En diferentes estudios ha sido demostrado que la pérdida del sueño REM (Movimientos oculares rápidos) altera la memoria, por tanto, su relación con el aprendizaje (Iglowstein, Jenni, Molinari & Largo, 2003). Por otro lado, existe evidencia de la relación funcional entre la cantidad de horas dormidas repercute directamente en el rendimiento escolar (Dewald, Meijer, Oort, Kerkhof y Bögels, 2010; Sáez, Santos, Salazar y Carhuancho-Aguilar, 2013). Así entonces, las consecuencias de un mal dormir van más allá de un simple malestar o somnolencia.
En el PDAMGK como resultado de los índices de reprobación en asignaturas correspondientes a las ciencias duras, se han llevado a cabo diversas acciones para abatirlos. Los resultados parecen ser satisfactorios al observar las estadísticas institucionales (UAEM, 2014, UAEM, 2017). No obstante, la reprobación sigue aun existiendo en una proporción de la población de los alumnos en asignaturas como matemáticas. Lo anterior, no es un asunto exclusivo del PDAMGK, otras universidades reportan esta misma situación en sus escuelas del nivel medio superior (cfr. Mendoza, Cardoso, y Cerecedo, 2014).
Una serie de estudios en este plantel, han encontrado que los factores que están relacionados con el índice de reprobación son la falta de hábitos de estudio, puesto que los alumnos no organizan su tiempo de estudio y no planean adecuadamente sus sesiones, asimismo, una alta dependencia hacia los dispositivos móviles, especialmente el teléfono celular. Sin embargo, el principal motivo de la presente investigación fue que en tales estudios los alumnos reportaron irregularidades en la cantidad de horas dormidas. Hubo quienes manifiestan dormir más de diez horas y quienes duermen cuatro (González, Sánchez, Mendoza y Gutiérrez, 2016 y 2018).
Como se mencionó anteriormente, investigaciones ya realizadas en estratos de alumnos reprobadores del PDAMGK han detectado algunos factores que determinan su bajo rendimiento, pero sabemos que el desempeño escolar es una variable en la que, como un embudo, convergen diversos factores causales. Así, en esta investigación el foco de atención se orientó hacia el fenómeno del sueño y su relación que guarda con el desempeño académico. La relación entre estas variables se ha reportado en estudios como los de Wolfson y Carskadon (2003), Dewald, Meijer, Oort, Kerkhof, y Bögels (2010), Taras y Potts-Datema (2005), por sólo mencionar algunos.
Una revisión de la literatura nos permitió encontrar que en México son pocos los estudios que han investigado sobre la relación de estas dos variables en el nivel medio superior (por ejemplo, Lombardo-Aburto et al., 2011). Por ello, se considera que este documento aporta más información o evidencia sobre el correlato entre estas dos variables y contribuye al conocimiento de los factores influyentes en el rendimiento académico del nivel medio superior de la UAEMéx. Debido a esto, el objetivo fue describir la relación entre la calidad y cantidad de sueño y el rendimiento académico de los alumnos del Plantel “Dr. Ángel Ma. Garibay Kintana”, de la Escuela Preparatoria de la UAEMéx.
Método
Participantes
Se trabajó con una muestra probabilística de 372 alumnos de quinto semestre, de los turnos matutino y vespertino, 148 hombres (16.9 ± 0.5) y 224 mujeres (16.9 ± 0.4), inscritos en el periodo 2020A. Tipo de estudio
Se realizó un estudio de tipo descriptivo, con elementos de un estudio de tipo correlacional.
Instrumentos
Se aplicó el Índice de calidad de sueño de Pittsburg y sobre el abuso de sustancias (Buysse y cols., 1989). Este instrumento explora cómo se ha dormido en el último mes y cómo califica su dormir. Las sustancias que se indagan es el alcohol, tabaco y café su frecuencia y cantidad en el último mes
El Índice de Calidad del Sueño de Pittsburg proporciona una puntuación global de la calidad del sueño y puntuaciones parciales en siete componentes distintos: calidad subjetiva del sueño, latencia del sueño, duración del sueño, eficiencia habitual del sueño, alteraciones del sueño, uso de medicación hipnótica y disfunción diurna.
El puntaje total del cuestionario “Índice de sueño” se interpreta mediante las siguientes normas:
| Calidad del sueño | Puntuación total PSQ1 |
| Muy buena | 0 a 4.1 |
| Buena | 4.1 a 6.1 |
| Regular | 6.2 a 10.8 |
| Mala | 10.9 a 12.5 |
| Muy mala | 12.6 a 21 |
Procesamiento
Se empleó el programa estadístico SPSS V.22® y se calcularon los siguientes estadísticos: Para probar diferencias entre proporciones obtenidas se aplicó el estadístico z para proporciones poblacionales, con un nivel de error de α/2= 0.025 (dos colas).
Para estimar la correlación entre la calidad del sueño y el rendimiento académico se aplicó la prueba de r Spearman, con un nivel de error de p/2 = 0.025 (dos colas).
Resultados
Calidad subjetiva del sueño
En la tabla uno se puede ver la calificación que da el estudiante a su sueño. En la tercera columna se muestra que la mayoría de ellos percibe su sueño como bastante bueno o muy bueno (48% + 9%), proporción que se diferencia significativamente de la suma de las categorías “bastante mala” y “muy mala” (z=2.476, p>0.025).
| Hombres n (%) n=148 | Mujeres n (%) n=224 | Totales n (%) n=372 | |
| Muy buena | 22 (15) | 13 (6) | 35 (9) |
| Bastante buena | 75 (51) | 103 (46) | 178 (48) |
| Bastante mala * | 46 (31) | 100 (45) | 146 (39) |
| Muy mala | 5 (3) | 8 (4) | 13 (3) |
La tabla muestra las frecuencias y porcentajes en cada estrato de la muestra. En la tercera columna los porcentajes corresponden considerando el total de la muestra (n=372). * Existe diferencia entre las proporciones de hombres y mujeres (p<0.025)
Asimismo, podemos ver que, comparando entre hombres y mujeres, la única categoría en la que existen diferencias significativas corresponde a la de “Bastante mala” y en donde las mujeres opinan que su sueño está así. Es decir, se puede inferir que 45% de la población femenina del PDAMGK evalúa que su sueño es bastante malo. Más adelante se verá cómo se relaciona con otros reactivos. Para las autoridades escolares los porcentajes de las categorías “Bastante mala” y “Muy mala” deben ser importantes puesto que son alumnos que no están durmiendo bien y para un adolescente en desarrollo y para el aprendizaje la calidad del sueño es vital.
Latencia del sueño
Definida como el tiempo en que una persona pasa del estado de vigilia a la primera etapa del sueño No REM (Ayala y Mexicano, 2010), la tabla dos muestra una distribución homogénea de los porcentajes en todas las categorías en ambos sexos
| Hombres n(%) n=148 | Mujeres n (%) n=224 | Totales n (%) n=372 | |
| Muy buena | 58 (39) | 74 (33) | 132 (35) |
| Bastante buena | 20 (14) | 40 (18) | 60 (16) |
| Bastante mala | 41 (28) | 66 (29) | 107 (29) |
| Muy mala | 29 (20) | 44 (20) | 73 (20) |
La tabla muestra las frecuencias y porcentajes en cada estrato de la muestra. En la tercera columna los porcentajes corresponden considerando el total de la muestra (n=372). En todas las categorías no existe diferencia entre las proporciones de hombres y mujeres (p<0.025)
A diferencia de la calidad subjetiva del sueño, podemos reparar que los porcentajes de la tabla dos, no tienen diferencias significativas, tanto si se comparan los estratos de hombres contra mujeres, ni tampoco cuando tomamos los porcentajes correspondientes a la columna total y comparamos entre la categoría Muy buena y Bastante mala (z=1.7524, p>0.025). Esto nos indica que existe una irregularidad en el tiempo que tardan los adolescentes de este plantel en conciliar el sueño. Comparando esta tabla con la uno y la tres, vemos que si bien los alumnos reportan en su mayoría dormir más de siete horas (tabla 3), número adecuado para su edad, esta cantidad de horas no es representativo de su calidad, ya que, de acuerdo a ellos, algunas variables que están afectando su calidad son el tiempo que tardan en dormir (la latencia).
Duración del sueño
A pesar de que en el componente anterior (latencia), se presenta una irregularidad entre las categorías y entre los sexos, la tabla 3 muestra que la duración del sueño es buena, ya que, en la tercera columna, en la categoría de >7 horas, se ubica el porcentaje más alto (61%). Se puede inferir que más de la mitad de la población estudiantil del PDAMGK duerme más de 7 horas.
| Hombres n (%) n=148 | Mujeres n (%) n=224 | Totales n (%) n=372 | |
| >7 horas* | 39 (26) | 189 (84) | 228 (61) |
| 6 – 7 horas* | 40 (27) | 22 (10) | 62 (17) |
| 5 – 6 horas* | 62 (42) | 8 (4) | 70 (19) |
| < 5 horas | 7 (5) | 5 (2) | 12 (3) |
La tabla muestra las frecuencias y porcentajes en cada estrato de la muestra. En la tercera columna los porcentajes corresponden considerando el total de la muestra (n=372). * Existe diferencia entre las proporciones de hombres y mujeres (p<0.025)
Ahora, por sexo, se encontraron diferencias entre los intervalos de horas dormidas. Si sólo consideramos el grupo de varones, se nota que sería el estrato que presenta más diversidad en el número de horas que duermen, ya que, incluso 42% de ellos reportó dormir entre 5 y 6 horas, a diferencia de las mujeres, cuyo mayor porcentaje (84%) se ubica en las que duermen más de siete horas.
Eficiencia habitual del sueño
Este concepto se refiere a la relación que existe entre el tiempo en cama y el tiempo dormido, multiplicado por 100. Si ambos tiempos se asemejan la eficiencia es alta, pero si la mayor parte del tiempo en cama se está despierto, entonces la eficiencia se reduce.
| Hombres n (%) n=148 | Mujeres n (%) n=224 | Totales n (%) n=372 | |
| >85% | 80 (54) | 143 (64) | 223 (60) |
| 75 – 84% | 22 (15) | 41 (18) | 63 (17) |
| 65 – 74% | 32 (22) | 14 (6) | 46 (12) |
| <65%* | 14 (9) | 26 (12) | 40 (11) |
La tabla muestra las frecuencias y porcentajes en cada estrato de la muestra. En la tercera columna los porcentajes corresponden considerando el total de la muestra (n=372). * Existe diferencia entre las proporciones de hombres y mujeres (p<0.025).
La tabla 4 muestra que en la muestra general más de la mitad de los alumnos presentan una eficiencia igual o mayor de 85%, es decir, reportan dormir casi las mismas horas que están en la cama. En este mismo sentido, se encontró que no existen diferencias significativas entre los hombres y mujeres en los diferentes índices de la eficiencia, salvo en la categoría de <65%. Si comparamos esta tabla con aquella referente a la duración del sueño podemos decir que, en el caso de los hombres a pesar de que duermen menos, su tiempo de dormir es eficiente, aunque definitivamente, los intervalos de 6 -7 ó 5 a 6 horas, no son adecuados para su edad, sobre todo, considerando que su cerebro se encuentra en una etapa crucial de desarrollo.
Perturbaciones del sueño
De acuerdo al índice de Pittsburgh, se preguntan aspectos que perturban a la persona, por ejemplo, sentir frío o calor, roncar, pesadillas, ir al baño, despertares en la madrugada.
| Hombres n (%) n=148 | Mujeres n (%) n=224 | Totales n (%) n=372 | |
| Muy buena | 6 (4) | 4 (2) | 10 (3) |
| Bastante buena | 89 (60) | 129 (58) | 218 (59) |
| Bastante mala | 49 (33) | 87 (39) | 136 (37) |
| Muy mala | 4 (3) | 4 (2) | 8 (2) |
La tabla muestra las frecuencias y porcentajes en cada estrato de la muestra. En la tercera columna los porcentajes corresponden considerando el total de la muestra (n=372). No existe diferencia entre los porcentajes de hombres y mujeres (p<0.025)
Si sumamos los porcentajes de las categorías “Muy buena” y “Bastante buena” de la tercera columna de la tabla 5 podemos inferir que más de la mitad (62%) de los alumnos del plantel duerme bien, a pesar de reportar algunos eventos como ruidos, levantarse para ir al baño o sentir frío calor o incluso dolores físicos, entre otros. Lo anterior, tanto para alumnos como para alumnas, ya que se observa en la tabla que no hubo diferencias significativas al comparar los porcentajes. Esta tabla también puede ayudar a explicar la referente a la de la eficiencia del sueño, en virtud de que no duermen las mismas horas que están en la cama.
Por otro lado, se puede inferir que 39% de la población estudiantil (tercera columna, últimas dos categorías) presenta interrupciones durante la noche y esto afecta su sueño. Incluso, si retomamos la tabla 1, y unimos los porcentajes de las últimas categorías de la tercera columna, se observa que su porcentaje (42%) es muy cercano al que ahora se comenta, la tabla cinco, es posiblemente la explicación de tal número.
Continuando con la columna 3, la proporción 39% en comparación al 62% no resulta significativa (z=6.273, p> 0.025), no obstante, estamos hablando de adolescentes que se encuentran en desarrollo y se esperaría que los porcentajes de cualquier variable que afecte su salud idealmente deben ser mínimos.
Es importante que mencionar que el cuestionario aplicado, pregunta sobre otros perturbadores del sueño como el teléfono celular, luces encendidas, televisiones, entre otros. Muchos alumnos reportaron dormirse con el celular a su lado, con la televisión o luces encendidas.
Uso de medicación hipnótica
Este rubro se refiere a la frecuencia de ingesta de algún medicamento. La tabla seis muestra los resultados hallados.
| Hombres n (%) n=148 | Mujeres n (%) n=224 | Totales n (%) n=372 | |
| Ninguna en el último mes* | 136 (92) | 189 (84) | 325 (87) |
| Menos de una vez a la semana* | 5 (3) | 22 (10) | 27 (7) |
| Una o dos veces a la semana | 4 (3) | 8 (4) | 12 (3) |
| Tres veces o más a la semana | 3 (2) | 5 (2) | 8 (2) |
La tabla muestra las frecuencias y porcentajes en cada estrato de la muestra. En la tercera columna los porcentajes corresponden considerando el total de la muestra (n=372). * Existe diferencia entre las proporciones de hombres y mujeres (p<0.025).
Se puede ver en la tabla 6 que el bajo el porcentaje de alumnos que ingiere algún medicamento, ya sea por prescripción médica o, incluso, autosuministrados. Asimismo, podemos ver que, en las categorías de los porcentajes más altos, no existe diferencia significativa entre los varones y las mujeres. Vale decir que en el cuestionario se preguntaba sobre el consumo de cafeína antes de dormir. Varios adolescentes manifestaron tener este hábito.
Disfunción diurna
Se refiere a la somnolencia que ha padecido la persona durante el día durante la realización de actividades como hacer la tarea, ir en el auto; además incluye la evaluación de “los ánimos” con que se siente la persona durante el día para hacer cosas.
| Hombres n (%) n=148 | Mujeres n (%) n=224 | Totales n (%) n=372 | |
| Muy buena* | 32 (22) | 19 (8) | 51 (14) |
| Bastante buena* | 50 (34) | 49 (22) | 99 (27) |
| Bastante mala* | 28 (19) | 70 (31) | 98 (26) |
| Muy mala* | 38 (26) | 86 (38) | 124 (33) |
La tabla muestra las frecuencias y porcentajes en cada estrato de la muestra. En la tercera columna los porcentajes corresponden considerando el total de la muestra (n=372). * Existe diferencia entre las proporciones de hombres y mujeres (p<0.025).
De la tabla siete, si consideramos en la tercera columna las categorías bastante mala y mala, 59% de los alumnos se siente en malas condiciones para realizar sus actividades cotidianas durante el día. Retomando la tabla de calidad subjetiva, vemos que se refleja aquí ese sueño de calidad regular. Se puede ver en la tabla 7, que en todas las categorías las diferencias entre varones y mujeres son significativas. Además, si de nuevo tomamos de cada sexo los porcentajes de las dos categorías “Muy buena y Bastante buena” y los sumamos para compararla con la suma de las otras dos categorías, encontramos que quienes presentan más problemas de disfunción diurna son el estrato de las mujeres.
Puntuación total del índice de sueño
Como se comentó en el apartado anterior, para obtener el puntaje total del cuestionario, se realizó una tabla de normas de cinco categorías. La gráfica uno muestra el índice total por sexo y del plantel

Considerando la tabla de interpretación se observa que los puntajes del índice de calidad del sueño ubican a la población del PDAMGK en una condición de calidad regular.
Rendimiento académico y calidad del sueño
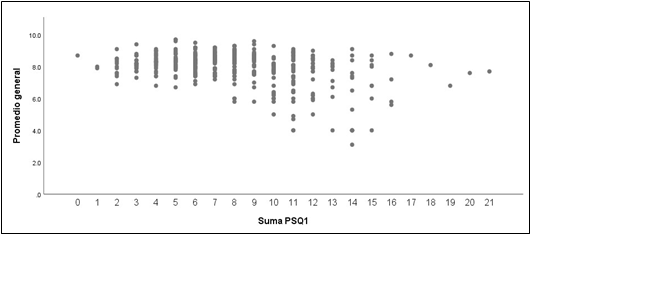
El objetivo principal de esta investigación fue estimar la correlación entre el promedio general y el índice de calidad de sueño. La gráfica dos muestra visualmente la correspondencia entre las dos variables.

El promedio general de aprovechamiento académico de los alumnos fue de 8.0. Dicho esto, en la gráfica se especifica que el índice de correlación obtenido es moderado (0.27), número que nos indica que la calidad del sueño es predictor moderado para estimar el aprovechamiento académico. Como se vio en las tablas anteriores, así como el promedio general de aprovechamiento académico de un alumno es un número que varía dependiendo de las calificaciones que el estudiante obtenga en cada unidad de aprendizaje, así también el índice general de la calidad del sueño refleja a la vez la variabilidad que hay en sus componentes, ya que como se analizó en la calidad subjetiva del sueño, tal vez existen alumnos que estiman dormir bien, cuando en realidad puede ser que no, ya que en la disfunción diurna muchos de ellos, especialmente las mujeres, calificaron su disfunción como bastante mala o muy mala.
Discusión
En la calidad subjetiva del sueño vimos que sus algunos porcentajes se acumularon en las categorías intermedias de interpretación lo que nos llevaba a sugerir un punto intermedio en el que se pudiera calificar este componente como “Regular”. La razón también se funda en el resultado final que obtuvieron los alumnos al promediar los puntajes totales y obteniendo un total de 8.1 y que, al contrastarlo con las normas de interpretación, vemos que cae precisamente en la categoría regular. Autores como Sierra, Jiménez y Martín (2002) sugieren que una puntuación mayor que 5 puntos del índice total se comience a interpretar como dificultades en el dormir, así que tener normas como las que elaboramos en este estudio pueden ser útiles.
En la latencia del sueño podemos afirmar que existen factores que están perturbando el inicio del sueño de los estudiantes. Uno de ellos, ahora podemos afirmar que es el uso del celular, ya que en un estudio reciente en esta misma población estudiantil se halló que el alumno reconocía un uso desmedido y descontrolado de este dispositivo (González Molina, Sánchez Estrada, Mendoza Novo y Gutiérrez Chávez, 2018). Por otro lado, otro factor posible de influencia es la proporción alta de estudiantes (79.30%) que reportaron haber inferido café, esta sustancia se ha encontrado tener efectos en la latencia del sueño (Sabanayagam y Shankar, 2011, Sierra, Jiménez Navarro & Martín Ortiz, 2002)
Respecto a las horas dormidas, se sabe que el número de horas de sueño efectivo recomendado para un adolescente es de 8 – 10 horas (Ayala y Mexicano, 2010). La inconsistencia observada en los varones llama la atención puesto que se ha reportado una correlación entre las horas por debajo del rango recomendado con un estado de salud pobre (Shankar, Charumathi & Kalidindi, 2011), sobrepeso (Jean-Louis, et al., 2014) y deterioro en funciones cognitivas (Kronholm et al., 2009)
De lo anterior y relacionándolo con la eficiencia del sueño, hallamos que los hombres tienen horas de sueño más inconsistentes y de estos un porcentaje de 31% tienen una eficiencia menor de hasta 74%. Hallamos nuevamente, correlatos entre hábitos como la toma de cafeína y eficiencias de sueño menores (Sabanayagam y Shankar, 2011) y como se mencionó anteriormente, un gran porcentaje de los alumnos del PDAMGAK informaron ingerir café con frecuencia.
Vimos que la calidad subjetiva del sueño se presenta en 42% de los estudiantes y se encuentra asociado con las perturbaciones del sueño que sufren los estudiantes durante la noche. Es de llamar la atención que este porcentaje se presente en una población que se encuentra en desarrollo y maduración y la importancia del sueño para el desarrollo de su cerebro es vital (Ayala y Mexicano, 2010). Este porcentaje es similar a los de nivel que reportan estudios como los del IMSS (2010), aunque difiere lo que reporta este instituto son personas diagnosticadas con un trastorno del sueño crónico, mientras que el porcentaje de alumnos del PDAMGK que se comenta, no se sabe si corresponde a un trastorno transitorio o crónico. Llama la atención que en dicho estudio quienes presentan mayores problemas de sueño son las mujeres a diferencia de lo que encontramos aquí, que los hombres reportaron más variabilidad en la calidad.
En reportes de poblaciones mexicanas se ha encontrado que quienes padecen más problemas de sueño son las mujeres y, como consecuencia de ello, sus actividades diurnas se afectan (Collado Ortiz, Sánchez Escandón, Almanza Islas, Arch Tirado, & Arana Lechuga, (2016). Sin embargo, en el PDAMGK las mujeres reportan una calidad de sueño que no corresponde a lo reportado en su disfunción diurna. Tal vez tal disfunción tenga una explicación en el tipo de alimentación, la afectación hormonal, es una cuestión que se puede investigar posteriormente.
Las variaciones en los puntajes de los siete componentes que se acaban de discutir, lógicamente contribuyen a la puntuación promedio o total del índice de la calidad del sueño, sin embargo, este indicador es muy importante porque nos arroja un
Si bien, tenemos presente que este estudio se llevó a cabo en una condición totalmente extraordinaria debido a la pandemia que estamos viviendo y que, por lo tanto, podríamos inferir que las variables que afectan al rendimiento académico y al sueño se potencializan por el encierro y las clases en línea, en los estudios sobre la correlación entre estas dos variables llevados a cabo en años anteriores al fenómeno del COVID 19 muestran resultados semejantes al que ahora reportamos (véase, por ejemplo, Durán Agüero, et al., 2017, Peltzer, & Pengpid, 2015). Dichos estudios, tanto en México como en el extranjero.
Dicho lo anterior, podemos afirmar que a pesar de una condición tan extraordinaria como la pandemia, mantiene la fuerza de relación entre las dos variables que aquí estudiamos.
Conclusiones
Se estima que los alumnos de PDAMGK presentan en general una calidad de sueño regular. No se considera adecuado para su etapa de desarrollo.
Existen factores como el uso no controlado del celular, la televisión, consumo de cafeína, ruidos externos, entre otros, que están influyendo para que se presente una amplia latencia del sueño en los alumnos y, esta a su vez, está influyendo en su calidad del dormir.
La información anterior, coincide con el resultado de su eficiencia del sueño. Se estima que sólo 60% de los alumnos presentan una eficiencia mayor del 85%. Es decir, no todos duermen el tiempo total que están en su cama.
Relacionado con ello, se encontró que existen factores y eventos perturbadores como ruidos externos, el clima, luz, entre otros que alteran el sueño de los adolescentes.
Se estima que más de la mitad de los alumnos del plantel (61%) duermen más de 7 horas; dato aparentemente adecuado, puesto que esta cantidad no se ve reflejada en la calidad del dormir. El alumno, tiene un sueño de cantidad, más no de calidad.
También, respecto al número de horas que duermen, los hombres presentan más inconsistencia a diferencia de las mujeres.
La condición regular de la calidad del sueño de los alumnos provoca que en ellos se presente una disfunción diurna “Falta de ganas” de hacer cosas.
En general las mujeres duermen mejor que los hombres, aunque son ellas quienes presentan más problemas de las actividades diurnas y califican su propio sueño como de mala calidad.
Existe una relación entre la calidad del sueño de los alumnos y su promedio académico. Es decir, que los alumnos cuya calidad de sueño es mala presentan un rendimiento académico bajo y, por el contrario, aquellos con una buena calidad del sueño presentan un rendimiento académico alto.
Consideramos que la fuerza del correlato que existe entre las variables sueño y rendimiento escolar se conserva a pesar de la condición en la que los alumnos se encuentran de encierro ante esta pandemia y por ello, la calidad del sueño se confirma como un predictor del rendimiento académico.
Referencias
Ayala Guerrero, F. y Mexicano Medina, G. (2010). Efecto del dolor sobre el sueño. México: Mente Abierta.
Collado Ortiz, M., Sánchez Escandón,O., Almanza Islas, J. Arch Tirado, E. & Arana Lechuga, Y. (2016). Epidemiología de los trastornos del sueño en población mexicana: seis años de experiencia en un centro de tercer nivel. An Med (Mex); 61 (2),87-92. Recuperado de https://www.medigraphic.com/pdfs/abc/bc2016/bc162b.pdf
Dewald, J. F., Meijer, A. M., Oort, F. J., Kerkhof, G. A., & Bögels, S. M. (2010). The influence of sleep quality, sleep duration and sleepiness on school performance in children and adolescents: A meta-analytic review. Sleep Medicine Reviews, 14(3), 179–189. doi:10.1016/j.smrv.2009.10.004
Durán Agüero, S., Rosales Soto, G., Moya Cantillana, C., & García Milla, P. (2017). Insomnio, latencia al sueño y cantidad de sueño en estudiantes universitarios chilenos durante el periodo de clases y exámenes. Salud Uninorte, 33(2),75-85. Recuperado de https://www.redalyc.org/articulo.oa?id=817/81753189002
Ebrahim, I. O., Howard, R. S., Kopelman, M. D., Sharief, M. K., & Williams, A. J. (2002). The hypocretin/orexin system. Journal of the Royal Society of Medicine, 95(5), 227– 230. https://doi.org/10.1258/jrsm.95.5.227
Feldman Robert, S. (2006). Psicología con aplicaciones en países de habla hispana. México: Mc Graw Hill.
González Molina, M., Mendoza Novo, G., Sánchez Estrada, M. y Gutiérrez Chávez, C. (2016). Factores que determinan el deficiente aprovechamiento escolar en los alumnos del plantel Ángel Ma. Garibay Kintana 4° semestre. Generación 2014-2017, condiciones y alternativas (Informe final del proyecto de investigación 3990/2016SF). Toluca, Estado de México: Universidad Autónoma del Estado de México.
González Molina, M., Mendoza Novo, G., Sánchez Estrada, M. y Gutiérrez Chávez, C. (2018). La adicción tecnológica y desempeño neuropsicológico de la concentración, memoria y atención en el rendimiento escolar de los alumnos del Plantel “Dr. Ángel Ma. Garibay Kintana (Informe final del proyecto de investigación 4524/2018/CI.UAEM/SIEA). Toluca, Estado de México: Universidad Autónoma del Estado de México.
González de Rivera, J. (1993). Psicopatología del sueño. Focus on Psychiatry. 4, 76- 87. https://www.psicoter.es/_arts/93_A122_08.pdf
Iglowstein I., Jenni, O., Molinari, L. & Largo, R. (2003). Sleep duration from infancy to adolescence: reference values and generational trends. Pediatrics 2003; 111, 302-7. doi: 10.1542/peds.111.2.302.
IMSS (2010). Guía práctica clínica GPC, diagnóstico y tratamiento de los trastornos del sueño, evidencias y recomendaciones. Recuperado de www.imss.gob.mx/sites/all/statics/guiasclinicas/385GER.pdf
Jean-Louis, G., Williams, N. J., Sarpong, D., Pandey, A., Youngstedt, S., Zizi, F., & Ogedegbe, G. (2014). Associations between inadequate sleep and obesity in the US adult population: Analysis of the national health interview survey (1977–2009). BMC Public Health, 14, 290. Recuperado de https://europepmc.org/article/PMC/3999886
Kronholm, E., Sallinen, M., Suutama, T., Sulkava, R., Era, P., & Partonen, T. (2009). Selfreported sleep duration and cognitive functioning in the general population. Journal of Sleep Research, 18, 436–446. Recuperado de https://onlinelibrary.wiley.com/doi/full/10.1111/j.1365-2869.2009.00765.x#references-section
Kryger, M., Roth, T. & Dement, W. (2011). Principles and practice of sleep medicine. Missouri: Elsevier Saunders Press.
Lombardo-Aburto, E., & Velázquez-Moctezuma, J., & Flores-Rojas, G., & Casillas-Vaillard, G., & Galván-López, A., & García-Valdés, P., & Rosique-MacGregor, L., & Rodríguez-López, L. (2011). Relación entre trastornos del sueño, rendimiento académico y obesidad en estudiantes de preparatoria. Acta Pediátrica de México, 32 (3), 163-168. Recuperado de http://www.redalyc.org/pdf/4236/423640329005.pdf
Mendoza, J., Cardoso, E. y Cerecedo, M. (2014). Factores que influyen en el rendimiento escolar en la educación media superior: estudio diagnóstico en la asignatura de matemáticas en el Estado de México. Revista Iberoamericana para la Investigación y el Desarrollo Educativo, 12. Recuperado de http://ride.org.mx/1-11/index.php/RIDESECUNDARIO/article/view/776/758
Pavón, A. (1994). Asertividad: un entrenamiento dirigido a profesores de primaria. México: Pirámide.
Peltzer, K. & Pengpid, S. (2015): Sleep duration and health correlates among university students in 26 countries. Psychology, Health & Medicine, (21), 2-13. DOI:10.1080/13548506.2014.998687
Tynjälä J, Kannas L, Levälahti E (1997) Perceived tiredness among adolescents and its association with sleep habits and use of psychoactive substances. J Sleep Res. 6(3), 189-98. doi: 10.1046/j.1365-2869.1997.00048.x.
Sáez G, J., & Santos R, G., & Salazar C, K. y Carhuancho-Aguilar, J. (2013). Calidad del sueño relacionada con el rendimiento académico de estudiantes de medicina humana. Horizonte Médico, 13 (3), 25-32. Recuperado de http://www.redalyc.org/pdf/3716/371637130004.pdf
Sabanayagam, C. & Shankar, A. (2011). The association between active smoking, smokeless tobacco, second-hand smoke exposure and insufficient sleep. Sleep Med 12(1),7-11. Doi: 10.1016/j.sleep.2010.09.002.
Seo, D., & So, W. (2014). Sleep duration and school performance in Korean adolescents. Salud Mental, 37 (5), 407-41. Recuperado de https://www.redalyc.org/articulo.oa?id=58232671007
Shankar, A., Charumathi, S., & Kalidindi, S. (2011). Sleep duration and self-rated health: The national health interview survey 2008. Sleep, 34, 1173–1177. Recuperado de https://www.ncbi.nlm.nih.gov/pmc/articles/PMC3157658
Sierra, J. C., Jiménez Navarro, C. & Martín Ortiz, J. (2002). Calidad del sueño en estudiantes universitarios: importancia de la higiene del sueño. Salud Mental, 25(6), 35-43. Recuperado de https://www.redalyc.org/articulo.oa?id=582/58262505
Soriano Mas, C. (Coord.). (2007). Fundamentos de neurociencia. Barcelona: Editorial UOC
Taras, H., & Potts-Datema, W. (2005). Sleep and Student Performance at School. Journal of School Health, 75 (7), 248–254. doi:10.1111/j.1746-1561.2005.tb06685.x
UAEM (2014). Agenda Estadística 2013. Toluca, México: Universidad Autónoma del Estado de México. Recuperado de http://planeacion.uaemex.mx/docs/AE/2013/AE_2013.pdf
UAEM (2017). Agenda Estadística 2016. Toluca, México: Universidad Autónoma del Estado de México. Recuperado de http://planeacion.uaemex.mx/docs/AE/2016/AE_2016.pdf
Vigo, A. (2006). Influencia de los hábitos de estudio en el rendimiento académico de los estudiantes del I año del Instituto Superior Tecnológico Huando-Huaral. (Tesis de licenciatura). Instituto Superior Tecnológico Huando, Perú.
Witman, M. & Young, R. (2011) Update on Pediatric Sleep-Disordered Breathing. Pediatr Clin North Am.58(3), 571-89. doi: 10.1016/j.pcl.2011.03.013
Wolfson, A. R., & Carskadon, M. A. (2003). Understanding adolescent’s sleep patterns and school performance: a critical appraisal. Sleep Medicine Reviews, 7(6), 491–506. doi:10.1016/s1087-0792(03)90003-7