Artículo original
Protocolo estandarizado para el seguimiento poblacional del pavón, Oreophasis derbianus: propuesta de métodos de campo y analíticos
Standardized protocol for monitoring the Horned Guan population, Oreophasis derbianus: a proposal for field and analytical methods
Protocolo estandarizado para el seguimiento poblacional del pavón, Oreophasis derbianus: propuesta de métodos de campo y analíticos
Huitzil, vol. 18, núm. 1, 2017
Sociedad para el Estudio y Conservación de las Aves en México, A.C. (CIPAMEX)
Recepción: 22 Abril 2016
Aprobación: 13 Diciembre 2016
Financiamiento
Fuente: FODECYT
Nº de contrato: 033-2007
Resumen: La estimación robusta del tamaño poblacional de especies de fauna silvestre es un requisito fundamental en estudios ecológicos y en el diseño e implementación de estrategias de conservación. Sin embargo, en varios casos, estas estimaciones carecen de exactitud, precisión, representatividad y comparabilidad. Esto ha ocasionado que la información generada para las poblaciones de una determinada especie sea difícilmente generalizable y que su aplicación sea limitada. Éste es el caso del pavón, Oreophasis derbianus, un ave endémica de Mesoamérica y en peligro de extinción. En este trabajo presentamos una propuesta de protocolo de muestreo en campo y métodos analíticos estandarizados para el estudio poblacional de esta especie. La propuesta está basada en nuestra experiencia en el estudio de la especie y en la aplicación de la teoría del muestreo de distancias. El propósito de este protocolo estandarizado es generar datos de campo de calidad para obtener estimaciones robustas de la abundancia poblacional de O. derbianus. Este protocolo lo desarrollamos y evaluamos principalmente en la Reserva de la Biosfera El Triunfo, en Chiapas, México, pero también fue replicado en otras tres localidades en México y Guatemala. Su desarrollo y evaluación incluyó muestreos mensuales en campo durante casi diez años y la impartición de talleres de capacitación teórico-prácticos a personal de campo para la adecuada implementación de este protocolo. Como resultado de esta experiencia, definimos una serie de lineamientos básicos y factibles que proponemos sea un estándar como métodos de muestreo y analíticos de las poblaciones de O. derbianus para asegurar la calidad y comparabilidad de los datos generados en campo. Finalmente, presentamos estimaciones de la densidad poblacional de O. derbianus en las cuatro localidades estudiadas y discutimos el significado de su variación espacial y temporal en el contexto de esta propuesta.
Palabras clave: Cracidae, densidad, muestreo de distancias, monitoreo, capacitación, bosque mesófilo de montaña, Chiapas, Guatemala.
Abstract: Robust estimates of population size of wildlife are a fundamental requirement in ecological studies and to design and implement strategies for conservation. However, in some cases these estimates lack exactitude, precision, and are neither representative nor comparable. This has brought difficulty to make generalizations and has limited the applicability of the information produced from species populations. This is the case of the Horned Guan, Oreophasis derbianus, a Mesoamerican endemic and endangered bird species. Here, we propose a standardized protocol of field and analytical methods for the study of this species populations. This proposal is based on our experience in the species monitoring and in the use of the distance sampling theory. The aim of this standardized protocol is to produce high quality field data to have robust estimates of the population abundance of the Horned Guan. We developed and assessed this protocol mainly in El Triunfo Biosphere Reserve, but it was also replicated in three other localities in Mexico and Guatemala. Its development and assessment included monthly gathering of field data for about 10 years and training workshops to field personnel for the appropriate implementation of this protocol. Based on this experience, we defined some basic and feasible guidelines that we propose to be regarded as standard sampling and analytical methods for the study of the Horned Guan populations to assure quality and comparability of the field data gathered. Finally, we give estimates of the population density of the Horned Guan in the four localities we studied and discuss the meaning of their spatial and temporal variation within the context of this proposal.
Keywords: Cracidae, density, distance sampling, monitoring, training, tropical montane cloud forest, Chiapas, Guatemala.
Editor asociado: Swen C. Renner
Introducción
La comprensión de los patrones espaciales y temporales en la dinámica poblacional de especies animales es una condición básica en estudios ecológicos y en el desarrollo de estrategias de manejo adecuadas para su conservación. Para entender estas dinámicas se deben cumplir algunos puntos fundamentales: (1) las estimaciones de la presencia y abundancia de las especies deben ser robustas; (2) estas estimaciones deben ser espacial y temporalmente representativas, y (3) deben ser comparables en espacio y tiempo (e.g., Williams et al. 2012). Sin embargo, tales condiciones básicas rara vez son alcanzadas en estudios o programas de monitoreo (Sutherland 2006, Fuller 2012, Fedy et al. 2014), lo que es particularmente cierto en el caso de algunas especies de fauna tropical amenazada. Esto es debido a que sus tamaños poblacionales son generalmente reducidos y, en ocasiones, también por su naturaleza elusiva, lo que implica tener que invertir grandes esfuerzos de muestreo para obtener tamaños de muestra suficientes. Asimismo, también pueden existir restricciones presupuestales y logísticas para realizar estudios, sobre todo de mediano y largo plazos, así como una falta de capital humano adecuadamente capacitado (Thompson 2004, Suwanrat et al. 2015, Kattan et al. 2016).
Actualmente se han logrado avances conceptuales, metodológicos y técnicos para hacer más factible el cumplimiento de estas condiciones básicas para entender los patrones poblacionales de especies. Por ejemplo, se han propuesto métodos de muestreo y analíticos más robustos para estimar la presencia (Peterson y Bayley 2004, MacKenzie et al. 2004, 2006) y la abundancia (Buckland et al. 1993, 2004) poblacional de especies a partir de sus probabilidades de detección en campo, así como también herramientas para generar modelos poblacionales predictivos a partir de datos empíricos (Lacy et al. 2013). Por otra parte, los equipos de campo se han vuelto más accesibles con respecto al costo y disponibilidad, lo que hace más eficiente el trabajo durante el muestreo (Silveira et al. 2003, Thompson 2004, Rivas-Romero y Soto-Shoender 2015).
El pavón, Oreophasis derbianus, es una especie de crácido globalmente amenazada (Brooks y Strahl 2000, Cancino y Brooks 2006, IUCN 2015), de distribución geográfica restringida (del Hoyo y Motis 2004, Delacour y Amadon 2004, del Hoyo y Kirwan 2015) y fuertemente dependiente del bosque mesófilo de montaña en buen estado de conservación (González-García 2012). En los últimos lustros se han llevado a cabo algunos estudios formales e iniciativas incipientes de monitoreo para evaluar su estado poblacional en México y Guatemala (González-García 1992, 2012, Gómez de Silva et al. 1999, Rivas-Romero y Cóbar 2008, Quiñónez-Guzmán 2011); sin embargo, los resultados de estos estudios no necesariamente son comparables ni espacial ni temporalmente porque tanto los métodos de obtención de datos en campo como los analíticos han sido diversos. Esto ha ocasionado que la información generada sea difícilmente generalizable y que su aplicación sea limitada. En este trabajo, con nuestra experiencia de más de 10 años de estudio de la especie, proponemos una serie de lineamientos de muestreo y analíticos estandarizados para entender los patrones espaciales y temporales de la abundancia de O. derbianus en toda su área de distribución geográfica. Esta propuesta busca generar información científica de calidad y comparable con la cual se puedan guiar acciones eficaces de manejo para la conservación de esta especie.
Métodos
Áreas de estudio
El desarrollo y la evaluación del protocolo de muestreo aquí propuesto para entender los patrones espaciotemporales de la abundancia de O. derbianus los realizamos en cuatro áreas naturales protegidas (Figura 1), dos en México: la Zona Núcleo I de la Reserva de la Biosfera El Triunfo (RBET) y en la Reserva de la Biosfera Volcán Tacaná (RBVT), y dos en Guatemala: Volcán San Pedro (VSP) y en la Reserva de la Biosfera Sierra de las Minas (RBSM).

En la RBET trabajamos en seis senderos en un rango altitudinal de entre 1800 y 2440 msnm. En este rango altitudinal, la asociación Quercus-Matudaea-Hedyosmun-Dendropanax es una característica importante del bosque mesófilo de montaña (Long y Heat 1991, González-Espinosa et al. 2011). La reserva está ubicada en la porción central de la Sierra Madre de Chiapas y tiene una extensión de 119,117 ha con cinco zonas núcleo (21% de su superficie). La precipitación media anual varía entre 3000 y 4000 mm, con una temporada relativamente seca de noviembre a abril y una lluviosa de mayo a octubre (Arreola et al. 2004).
En la RBVT recorrimos siete senderos en las localidades de Chiquihuite, Benito Juárez el Plan y Agua Caliente, en un rango altitudinal de entre 2070 y 3630 msnm. La vegetación a lo largo de los senderos es principalmente bosque mesófilo de montaña caracterizado por Quercus benthamii, Q. laurina, Clethra mexicana, Amphitecna montana, Dendropanax arboreus, Wimmenia montana y Beilschmiedia steyermarkii. Es común también encontrar agrupaciones de Chiranthodendron pentadactylon que alcanza su mejor desarrollo en las laderas del volcán (Viñals 1993, CONANP 2013). La RBVT tiene una superficie de 6,378 ha y está ubicada al sureste de Chiapas, en la frontera con Guatemala (DOF 2003).
En el VSP trabajamos en dos senderos dentro del Parque Regional Municipal Chuwanimajuyu, departamento de Sololá. El parque tiene una superficie de 354 ha con un rango altitudinal de 1800 a 3020 msnm, pero el volcán está cubierto por bosque a partir de los 2400 m hasta su cima. Su vegetación es un bosque latifoliado heterogéneo, caracterizado principalmente por las asociaciones vegetales de Quercus pilicaudalis-Arbutus xalapensis-Ceanothus azureus-Galium mexicanum-Salvia lasiantha y de Saurauia subalpina-Meliosma dives-Synardisia venosa-Solanum appendiculatum-Maianthemun flexuosum (Pardo 2007, Pardo et al. 2009).
En la RBSM realizamos las observaciones en tres senderos, en un rango altitudinal de 2160 a 2780 msnm en el sitio conocido como “Las Cabañas”, dentro de la zona núcleo de la reserva. En este sitio la vegetación está constituida principalmente por bosque nuboso (Land 1962, Suchini et al. 2002) dominado por lauráceas (Persea y Ocotea) y encinos (Quercus sapotaefolia y Quercus sp.). La RBSM tiene una extensión de 242,642 ha y se localiza al este de Guatemala (FDN 2003).
Oreophasis derbianus
El pavón, pavón cornudo o pavo de cacho es un crácido que habita fundamentalmente en bosques mesófilos de montaña en buen estado de conservación. Es endémico de las tierras altas de Mesoamérica. En México se distribuye desde la región de Los Chimalapas en Oaxaca hasta la Sierra Madre de Chiapas, entre los 1600 y 3500 msnm, y en Guatemala su distribución continúa hacia el este hasta la Sierra de las Minas, entre los 2000 y 3600 msnm. Con base en referencias bibliográficas y su modelo de nicho ecológico, probablemente se distribuya hasta el oeste de Honduras, pero a la fecha no hay ningún registro que confirme su presencia (del Hoyo 1994, del Hoyo y Motis 2004, Delacour y Amadon 2004, González-García et al. 2006, Martínez-Morales et al. 2013; Figura 1). Globalmente, la IUCN (2015) lo considera como “endangered”, criterio C2a(i), y el Grupo de Crácidos del Grupo de Especialistas en Galliformes de la IUCN lo clasifica como una especie con una prioridad de conservación inmediata (Cancino y Brooks 2006). En México está considerado en peligro de extinción (SEMARNAT 2010a). Su estado de conservación responde a que se asume una declinación continua en su distribución y tamaño poblacional debido al efecto sinérgico de la destrucción y fragmentación de su hábitat por el establecimiento de plantaciones de café, la agricultura, la ganadería, los asentamientos humanos y las actividades mineras, y por la cacería de subsistencia y el tráfico ilegal al que ha estado sujeto (González-García 1993, 1997, Vannini y Rockstroh, 1997, del Hoyo y Motis 2004). Entre los principales factores naturales de afectación a esta especie y su hábitat están los incendios, huracanes y la actividad volcánica (Andrle 1967, González-García 2001, del Hoyo y Motis 2004). Asimismo, se ha estimado que la distribución geográfica de O. derbianus sufrirá una notable contracción debido a la pérdida de cobertura boscosa (Rojas-Soto et al. 2012, Martínez-Morales et al. 2013) y a los efectos del cambio climático (Peterson et al. 2001, Peterson y Navarro-Sigüenza 2016). Todos estos factores adversos operan de manera sinérgica entre sí y en conjunto con las características de la historia de vida de la especie como la edad tardía de la primera reproducción, la baja tasa de reproducción, entre otras (e.g., Møller y Liang 2013).
Toma de datos en campo
En la RBET iniciamos el trabajo en campo para desarrollar y evaluar de manera empírica esta propuesta de protocolo estandarizado durante el periodo de diciembre de 2004 a junio de 2005, y de diciembre de 2009 a septiembre de 2016. A partir de marzo de 2011, y después de la implementación de talleres de capacitación de toma de datos en campo para el personal de la RBET, evaluamos el proceso de toma de datos mediante un acompañamiento mensual hasta diciembre de 2016.
El muestreo en campo para la estimación de la abundancia de la especie lo basamos en la teoría y métodos del muestreo de distancias (distance sampling; Buckland et al. 1993, 2004), dado que la conducta y hábitos de O. derbianus hacen muy factible la aplicación de este método a diferencia de otras especies de crácidos como Penelopina nigra, con quien co-ocurre en su área de distribución, pero que al ser una especie más evasiva dificulta la toma de datos. Hasta septiembre de 2016 acumulamos casi 1,320 km de recorridos mensuales en senderos para detectar la presencia de O. derbianus en la RBET. Estos recorridos mensuales los realizamos en seis senderos (rango 1.4 - 3.0 km; longitud total = 15.8 km), que a su vez geo-referenciamos, medimos y marcamos cada 50 m. Estos senderos fueron mantenidos transitables (fuera del periodo de muestreo) para tener un desplazamiento eficiente durante la toma de datos. Los muestreos fueron realizados fundamentalmente por FGG, MAMM, JLRS, CAGR y cinco guardaparques de la RBET, pero en diversas ocasiones también se incorporaron otros guardaparques, monitores comunitarios, investigadores, estudiantes y voluntarios como parte del proceso de capacitación. Generalmente, recorrimos los senderos en grupos aleatorios de 1 a 3 (rango 1 a 7) observadores para evaluar el efecto del tamaño del grupo en la probabilidad de detección de la especie. Asignamos aleatoriamente quiénes recorrerían los diferentes senderos y mantuvimos un registro de quiénes realizaban los recorridos. Cada uno de los grupos fue encabezado por al menos un observador experimentado en la detección de pavones. Recorrimos los senderos a una velocidad aproximada de 1 km/h y en relativamente buenas condiciones climáticas (sin lluvia, viento fuerte, ni neblina) para maximizar la probabilidad de detección visual y auditiva del pavón. Los muestreos los realizamos por la mañana desde aproximadamente la salida del sol.
En 2004-2005, AAS también realizó muestreos vespertinos desde aproximadamente 3 h antes de la puesta del sol. En cada evento de detección de la especie registramos la distancia perpendicular del individuo detectado o del punto central del grupo de individuos al sendero (Figura 2), así como el número de individuos, sexo (cuando fue posible la distinción), edad (adulto, juvenil, pollo) y eventos conductuales (e.g., forrajeo, cortejo, baños en tierra). Medimos la distancia perpendicular del registro al sendero con un telémetro láser u óptico, o con cinta métrica, dependiendo de las condiciones específicas del registro (distancia al registro, pendiente, visibilidad, accesibilidad). Las mediciones de las distancias perpendiculares las hicimos directamente al individuo o grupo de individuos detectado en un plano horizontal y si esto no era posible, a una referencia de su posición, pero siempre en un plano horizontal (Figura 3). Las detecciones auditivas consistieron fundamentalmente en vocalizaciones de cortejo del macho (González-García 1995) y, puesto que los pavones permanecen en sus perchas durante la vocalización (González-García 2005), generalmente fue posible obtener su registro visual para posteriormente medir la distancia perpendicular de detección. Cuando hubo hembras próximas o asociadas a estos machos durante la temporada reproductiva, también fueron detectadas ya sea antes o después de la detección del macho.


En la RBVT, JRA y colaboradores recorrieron, de febrero de 2010 a marzo de 2013, siete senderos (rango 1.0 - 2.0 km; longitud total = 12.0 km). En el VSP, JARR y colaboradores recorrieron mensualmente dos senderos de 1.0 y 1.5 km, de octubre de 2007 a septiembre de 2008. En ambas localidades, los senderos fueron recorridos a una velocidad promedio de 0.5 km/h debido a lo pronunciado de la pendiente. En la RBSM, JMQG recorrió quincenalmente tres senderos (rango 2.0 - 3.0 km; longitud total = 8.0 km) de abril a diciembre de 2009. En esta localidad, los senderos fueron recorridos a una velocidad promedio de 1 km/h por la mañana y por la tarde.
Estimación de la abundancia
Estimamos la abundancia de O. derbianus en las cuatro localidades y en diferentes tiempos para evaluar el desempeño de nuestra propuesta de métodos de muestreo y analíticos estandarizados. En la evaluación de este protocolo analizamos visualmente los histogramas de las distancias perpendiculares de detección, analizamos las gráficas de la probabilidad de detección en función de las distancias perpendiculares y evaluamos el ajuste del modelo que describe la función de detección a los datos empíricos, así como la variación en la precisión de las estimaciones de abundancia (EE e IC).
Estimamos la densidad de O. derbianus con el programa Distance 6.0 (Thomas et al. 2010). La estimación fue con base en su ciclo anual (en la RBET) que consiste en una temporada reproductiva de octubre a mayo y la subsecuente temporada no reproductiva de junio a septiembre. En los análisis organizamos los datos en estratos considerando como primer estrato el año, como subestrato-1 la temporada, como subestrato-2 el mes y como unidad de muestra cada uno de los senderos recorridos en el mes. En los análisis incluimos las detecciones de O. derbianus realizadas tanto en el recorrido de ida como en el de regreso sobre los senderos (remuestreo), siempre y cuando tuviésemos la certeza de que fueran individuos distintos a los detectados previamente ya sea por la presencia de rasgos individuales distintivos o por su ubicación a lo largo del sendero; no obstante, el esfuerzo de muestreo por sendero siempre fue la longitud del sendero (l) y no la longitud total del recorrido (2l). Por ejemplo, en un sendero de 3 km de longitud, el esfuerzo de muestreo sería de 3 km y no de 6 km. Analizamos los registros como grupos de individuos debido a que, en ocasiones, no hubo independencia en el registro de individuos (e.g., parejas, hembra con pollos). En la estimación de la densidad, el tamaño del grupo lo calculamos como un promedio de los tamaños de grupo observados. Para los datos de la RBET, no consideramos como covariable a los diferentes grupos de observadores, ya que éstos fueron conformados y asignados a los diferentes senderos de manera aleatoria. Previo al análisis, eliminamos los datos de distancia más lejanos (5-10% de los registros o cuando la probabilidad de detección era ≤ 0.10) para facilitar el ajuste de la función de detección, como lo sugieren Buckland et al. (1993, 2004). Evaluamos el ajuste relativo de los cuatro modelos alternativos y sus series de expansión, disponibles en el programa Distance, para estimar la probabilidad de detección; seleccionamos el mejor modelo con base en el menor valor de aicc (Buckland et al. 1993, 2004).
Capacitación para el muestreo en campo
De 2009 a 2011 y después en 2015 y 2016 realizamos (FGG, MAMM, JLRS) nueve talleres teórico-prácticos de capacitación sobre aspectos de la historia natural de O. derbianus, del método del muestreo de distancias para su estudio y del uso de equipo de campo. En estos talleres capacitamos a personal de las reservas (guardaparques y responsables de monitoreo) y a monitores comunitarios y voluntarios, tanto de México como de Guatemala. La capacitación incluyó el entrenamiento para la detección visual y auditiva de la especie; la identificación de otras evidencias de presencia (e.g., plumas, excretas, aleteos, lluvia de semillas), así como la implementación del método del muestreo de distancias y la toma sistemática de datos en campo. Estos talleres se realizaron en la RBET, en la RBVT y en la finca cafetalera Arroyo Negro que colinda con la Zona Núcleo V de la RBET.
Resultados
Con base en el desarrollo y la evaluación del método de muestreo implementado para la toma de datos en campo y su análisis, definimos una serie de lineamientos básicos que proponemos sean adoptados como un estándar para el estudio de las poblaciones de O. derbianus en toda su área de distribución y asegurar así que se obtengan datos de calidad y comparables para su análisis.
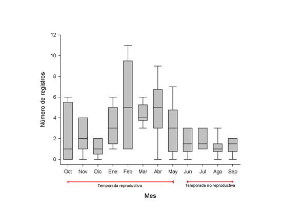
Preferentemente, el muestreo de las poblaciones debe ser mensual durante todo el año, incluyendo sus temporadas reproductiva y no reproductiva, pero si existieran restricciones logísticas o presupuestales, se deberá priorizar su periodo reproductivo que es cuando existe mayor probabilidad de detección de individuos (Figura 4).

Propuesta de protocolo de muestreo estandarizado
Establecimiento de senderos. Debido a la topografía compleja del hábitat de O. derbianus, la disponibilidad y el espaciamiento de senderos son factores limitantes, por lo que es importante considerar los siguientes puntos:
a) Idealmente, se debe muestrear más de un sendero por localidad; debe buscarse que su disposición considere la heterogeneidad ambiental y sean espacialmente independientes; es decir, procurar que haya una distancia >500 m entre senderos. Esta distancia la definimos con base en la ubicación de territorios de individuos machos a lo largo de los senderos muestreados en la RBET. En caso de que la distancia entre los senderos sea <500 m, se deberá evaluar su independencia, por ejemplo, a través de la identificación individual de los pavones detectados.
b) Procurar que los senderos tengan una longitud de ≈3 km para optimizar el esfuerzo de muestreo y a la vez evitar el sesgo por fatiga del observador.
c) En áreas poco extensas o con pendientes muy pronunciadas, se deberá considerar establecer al menos dos senderos con una longitud mínima de 1 km.
d) Los senderos deben ser transitables durante todo el periodo de muestreo y se deben geo-referenciar, medir y marcar cada 50 m para facilitar la ubicación de los registros y permitir estimar la velocidad de recorrido durante el muestreo (véase abajo).
e) Las marcas en los senderos deben ser visibles, legibles y perdurables para ser funcionales durante todo el periodo de muestreo. Si se planea realizar un muestreo de largo plazo (monitoreo), las marcas deberán ser permanentes (e.g., de aluminio, acrílico, gravoplay).
Colecta de datos en campo. Con el fin de generar datos de calidad que permitan hacer estimaciones robustas de los parámetros poblacionales del pavón es importante considerar lo siguiente:
a) Se debe iniciar el recorrido del sendero a la hora de salida del sol para incluir el periodo de mayor actividad de O. derbianus. Por ejemplo, en la RBET, el mayor número de re gistros visuales y auditivos se generaron en las primeras horas de la mañana (Figura 5).
b) Con base en el análisis de la variación en el tamaño del grupo de observadores, encontramos que el número adecuado de observadores para optimizar la detección de pavones durante el recorrido de un sendero es de dos, ya que se incrementa la probabilidad de detección de O. derbianus; asimismo, se debe evitar la presencia de más de tres observadores. Se recomienda un grupo de tres observadores cuando imperen razones de seguridad durante el muestreo.
c) Si el número de observadores es suficiente, el muestreo de varios senderos en un mismo sitio se puede realizar de manera simultánea.
d) La integración de los equipos de observadores debe ser aleatoria entre recorridos para evitar que la composición del grupo se constituya en una covariable de la probabilidad de detección del pavón.
e) Durante el muestreo, los observadores deben estar atentos para detectar la presencia del pavón, evitar conversar y usar ropa de colores discretos.
f) Los observadores deben desplazarse uno detrás de otro (“fila india”) sobre el sendero, a una distancia de ≈10 m uno del otro. El sendero se debe recorrer a una velocidad de ≈1 km/h para optimizar la detección de individuos; sin embargo, en sitios con una pendiente muy pronunciada, una velocidad de 0.5 km/h puede ser adecuada.
g) Los observadores deben concentrarse en la detección de cualquier indicio que evidencie la presencia del pavón, observando al frente, a los lados y hacia arriba durante el muestreo, y realizando paradas de 15 a 30 s cada 100 m aproximadamente.
h) La distancia perpendicular del registro al centro del sendero debe ser medida con precisión mediante el empleo de un telémetro o una cinta métrica.
i) En sitios con pendiente, la distancia perpendicular del pavón o pavones al sendero siempre debe ser medida en un plano horizontal (Figura 3).
j) Si se detectan individuos solitarios, la distancia perpendicular se tomará al individuo, pero si se detectan grupos de individuos, la distancia deberá tomarse al punto central del grupo de individuos (Figura 2). Como dato adicional, es conveniente hacer referencia al lado del sendero en que se hizo el registro (e.g., izquierda o derecha, este u oeste). Esta información puede ser útil al remuestrear un mismo sendero para disminuir la probabilidad de duplicar registros.
k) La ubicación exacta de cada registro se debe definir con la lectura de sus coordenadas (geográficas o proyectadas) con el empleo de un GPS y hacer siempre referencia al datum utilizado (e.g., WGS84). Alternativamente, la ubicación del registro puede ser definida también con respecto a las marcas ubicadas cada 50 m a lo largo del sendero (previamente geo-referenciadas).
l) Se debe especificar el número y, de ser posible, el sexo y la edad de los individuos registrados, la altura de ubicación del pavón en la vegetación y, si es el caso, la altura e identificación del árbol en que se encuentre posado.
m) Es recomendable el uso de formatos de campo para cada recorrido (Apéndice 1) con el fin de asegurarse de incluir todos los datos mínimos necesarios para su posterior análisis.
n) Para maximizar la obtención de registros de pavón, el sendero puede ser recorrido en ambos sentidos en cada sesión de muestreo o bien, por la mañana y por la tarde (remuestreo), pero en la toma de datos se deberá hacer referencia al sentido o al periodo en que se obtuvo el registro.
o) Si durante el remuestreo se tiene la certeza o se sospecha que un registro duplica uno ya considerado, éste no será considerado. La ubicación del registro sobre el sendero, las características de los individuos detectados (sexo, edad, características del cuerno) y en su caso, la conformación del grupo pueden proporcionar indicios para inferir si se trata o no de una duplicación de registros.
p) Si el sendero fue recorrido dos veces en una misma sesión, el esfuerzo de muestreo en ese sendero será la longitud del sendero (l) y no la longitud del recorrido total (2l), puesto que el muestreo de los senderos deberá ser temporalmente independiente.
q) Proponemos que cada sendero sea muestreado una vez al mes por la mañana. Si el sendero fuera remuestreado durante el mes para maximizar la obtención de datos, de manera análoga a los ejemplos anteriores, el esfuerzo de muestreo deberá ser la longitud del sendero (l) y no la multiplicación de su longitud por las veces que fue recorrido el sendero (nl) en ese mes. Como se explica arriba, se deberá evitar la duplicación de registros.
r) Al término de cada sesión de muestreo se debe llenar y revisar el formato de campo para asegurarse que la información contenida esté completa, sea correcta y legible.

Almacenamiento y flujo de datos. Los formatos y libretas de campo deben ser archivados en un sitio seguro y se deben hacer respaldos de los mismos. Por ejemplo, los formatos de campo deberán digitalizarse y enviarse al responsable de la compilación de la información. Conforme sean recabados los datos de campo se deberán transferir a una base de datos digital diseñada de tal forma que facilite su posterior análisis. Sugerimos que desde un inicio sean definidos mecanismos claros, eficientes, democráticos y transparentes de almacenamiento, flujo y uso de los datos e información entre quienes integren el equipo de trabajo.
Análisis de la abundancia. Oreophasis derbianus es relativamente sedentario y suele permanecer alimentándose o descansando en un mismo árbol por periodos prolongados de tiempo durante el día (mediana = 68.5 min; rango = 2-529 min; n = 164 observaciones, en la RBET). Asimismo, parece mostrar una fuerte fidelidad intra e interanual a un mismo sitio y, dependiendo de la región, puede no tener una conducta evasiva al observador; por ejemplo, en la Zona Núcleo I de la RBET, en donde la cacería ha sido erradicada desde hace ya varios lustros, los pavones pueden tolerar la presencia del observador (González-García 2005). Este patrón de conducta hace posible detectar individuos en su posición original y hacer mediciones precisas de la distancia perpendicular de detección del individuo o grupo de individuos al centro del sendero, dos prerrequisitos fundamentales para estimar su densidad con base en la teoría del muestreo de distancias. Las gráficas de la función de detección en relación con la distancia perpendicular de detección (Figura 6) muestran que, en general, no existe evidencia de sesgos sistemáticos, datos agrupados (heaping) y valores extremos. Esto es más evidente en los datos obtenidos después del primer taller de capacitación al personal de campo (Figura 6b), lo que respalda el uso de la teoría del muestreo de distancias como método adecuado para estimar la densidad de O. derbianus. Estimamos la densidad de esta especie en los cuatro sitios de estudio, pero sólo las estimaciones de los últimos periodos de muestreo en la RBET (2011 a 2016) y las estimaciones en la RBVT son el resultado de la aplicación de este método después de un proceso de capacitación (Cuadro 1).


Talleres de capacitación
Los talleres fueron un mecanismo apropiado para la socialización y evaluación de esta propuesta de protocolo estandarizado de muestreo para el estudio de O. derbianus. De los nueve talleres, cuatro los realizamos en la RBET (zonas núcleo I y V), en los que capacitamos a personal de la Comisión Nacional de Áreas Naturales Protegidas (CONANP) y específicamente a los monitores de la RBET, a personal de la finca Arroyo Negro y a monitores comunitarios mexicanos y guatemaltecos del volcán Tacaná. Los otros cinco talleres los realizamos en el área de influencia de la RBVT, en donde capacitamos tanto a personal de la CONANP como a monitores de varias localidades de Chiapas y Guatemala. En total capacitamos a 135 personas en estos talleres. La efectividad de los talleres sólo la evaluamos en la Zona Núcleo I de la RBET, ya que ahí hicimos un seguimiento continuo del proceso de capacitación.
El nivel de estudios formales del personal capacitado en la RBET fue heterogéneo: desde el nivel básico (4 de 8 personas), al medio (1 de 8) y hasta el superior (3 de 8). En general, observamos que el método de muestreo fue inicialmente accesible para todos los participantes, independientemente de su nivel de estudios y del nivel de experiencia inicial en el muestreo en campo. Sin embargo, el grado de retención de lo aprendido sí estuvo influenciado por el nivel de estudios: a mayor nivel de estudios, mayor nivel de retención. Por otra parte, observamos también que el nivel inicial de experiencia en campo incidió en la rapidez con que se adquirieron estos nuevos conocimientos. Finalmente, detectamos de manera consistente que era necesario dar un seguimiento continuo al personal capacitado tanto para modificar inercias de métodos de muestreo empleados con anterioridad como para lograr la correcta adopción de este método propuesto. En la RBET, este proceso llevó cerca de un año haciendo un seguimiento mensual al personal capacitado. Asimismo, la existencia de recambio en el personal, implica un proceso de capacitación continua.
Discusión
Factibilidad de la aplicación del protocolo
Los crácidos, y en particular O. derbianus, son aves poco abundantes y con una baja probabilidad de detección dentro de su hábitat. Esto implica un reto metodológico para su estudio y generalmente hace necesario un considerable esfuerzo de muestreo para obtener datos suficientes y representativos para hacer estimaciones robustas de sus parámetros poblacionales (e.g., Martínez-Morales 1999, Martínez-Morales et al. 2009). En la elección del método de muestreo para estimar estos parámetros es fundamental tener en cuenta cómo el sistema de estudio cumple con los supuestos del método seleccionado. En este trabajo encontramos que los tres principales supuestos de la teoría del muestreo de distancias (Buckland et al. 1993, 2004) pueden ser cumplidos en el estudio de O. derbianus debido a sus patrones de conducta (González-García 2012). Se puede asumir que: (1) todos los individuos sobre el sendero son detectados, es decir, g(0) ≈ 1 (Figura 6b); (2) los individuos son detectados en su posición original, y (3) las distancias perpendiculares de detección pueden ser medidas con precisión. Aunque éste es un método que requiere una gran cantidad de datos para hacer estimaciones robustas, consideramos que con el esfuerzo de muestreo invertido en este estudio ha sido posible obtener un número suficiente de registros en periodos anuales, con los cuales hemos estimado su densidad (Cuadro 1).
Además de que metodológicamente es factible la aplicación de este protocolo de muestreo para el estudio de O. derbianus, lo puede ser también en el contexto logístico y presupuestal. Por ejemplo, para el muestreo, se pueden habilitar los senderos ya existentes dentro del área de distribución de la especie, siempre y cuando sean espacialmente independientes y representativos de la heterogeneidad ambiental; asimismo, el costo del equipo para el muestreo en campo no es necesariamente oneroso, ya que se requiere básicamente de binoculares, GPS y telémetro (o cinta métrica).
Necesidades de información para el ajuste del protocolo
Aún existen algunos vacíos de información que deben subsanarse para refinar este protocolo de muestreo. El principal vacío detectado es la necesidad de conocer con mayor detalle la actividad vocal diaria de O. derbianus durante la temporada reproductiva y, en general, a lo largo del año para definir con mayor precisión el horario óptimo de muestreo con base en su pico de actividad vocal, tal como ha sido definido para el hocofaisán, Crax rubra, en Costa Rica (Baldo y Mennill 2011). Una alternativa para entender la actividad vocal de O. derbianus es el uso de sistemas autónomos de grabación; actualmente, JLRS, FGG y MAMM están llevando a cabo este estudio en la Zona Núcleo I de la RBET. Asimismo, es necesario el desarrollo de métodos robustos de identificación individual de pavones silvestres a través de sus vocalizaciones (González-García et al. 2016) y de algunas características morfológicas, por ejemplo, la forma del cuerno.
Estimación de la abundancia
Nuestras estimaciones de la densidad poblacional de O. derbianus muestran variación tanto espacial como temporal (Cuadro 1). Además de la variabilidad natural que se esperaría, esta variación también se debe a factores ligados al muestreo. Un factor fundamental de variación fue el nivel de capacitación del personal involucrado en la toma de datos en campo. Previo a la capacitación del personal en la RBET, la toma de datos en el periodo 2009-2010 presentó varios problemas como el sesgo en las detecciones hacia las proximidades del sendero (Figura 6a) y mediciones poco precisas de las distancias de detección. Esto incidió, en alguna medida, en las estimaciones de la densidad de la especie (Cuadro 1). Posterior a la capacitación, pudimos generar estimaciones relativamente robustas durante el periodo de 2011 a 2016 (Cuadro 1) con base en un mejor ajuste de la función de detección a los datos obtenidos en campo (Figura 6b). Este factor de variación también debe estar inmerso en las estimaciones de densidad de las otras localidades de México y Guatemala, aunque no nos fue posible evaluarlo. Un segundo factor de variación derivado del método de muestreo fue la consistente sobreestimación de la densidad de O. derbianus debido a la duplicación de registros en los senderos que fueron remuestreados. Esto fue evidente en el periodo 2004-2005 en la RBET (Cuadro 1), ya que los senderos fueron recorridos en la mañana y en la tarde. Otro factor de variación en la estimación de la densidad de la especie fue el esfuerzo de muestreo; conforme éste se incrementa, la estimación tiende a ser más precisa (Cuadro 1), como lo muestra la correlación negativa entre el esfuerzo de muestreo y el error estándar de la estimación de la densidad en la RBET (r = -0.739, gl = 6, P = 0.036).
Es fundamental eliminar la variación en las estimaciones de la abundancia de O. derbianus asociada al método de muestreo, ya que oculta la variación que se esperaría por factores ecológicos y ambientales. El poder evaluar sólo la variación natural en el tamaño poblacional de O. derbianus y que ésta pueda ser asociada a factores ambientales o de manejo, permitiría proponer estrategias de manejo adecuadas para la conservación de la especie. De aquí deriva la importancia de adoptar un estándar metodológico y analítico para estimar la abundancia de esta especie de manera robusta y comparable en toda su distribución geográfica.
A partir de nuestras estimaciones, aún no es posible correlacionar la variación natural en la abundancia de O. derbianus con algún factor explicativo en particular. Los estudios puramente observacionales tienen un débil poder de inferencia. Éste es un punto importante que se debe considerar en el diseño de muestreo para el estudio o monitoreo de O. derbianus. Puede ser delicado y quizá poco recomendable llevar a cabo estudios manipulativos en una especie poco abundante y en un estado delicado de conservación para conocer los factores que inciden en su dinámica poblacional; no obstante, se pueden plantear estudios cuyo diseño incluya hipótesis a priori de los factores espaciales y temporales que podrían incidir en su dinámica poblacional, lo que permitiría un mayor poder de inferencia (Yoccoz et al. 2001). Estimaciones robustas de la abundancia de O. derbianus, así como nuestro mejor conocimiento del sistema, nos permitirán plantear estas hipótesis a priori. Por ejemplo, hemos observado que la disponibilidad de frutos de los cuales depende O. derbianus varían anualmente y, en consecuencia, esta disponibilidad parece incidir en su abundancia, en sus hábitos alimentarios, en el comienzo de la temporada reproductiva y probablemente en sus movimientos y su éxito reproductivo (González-García 2012). Esta información, derivada de observaciones empíricas, podría dar lugar a la construcción de hipótesis a priori a partir de las cuales se elabore un diseño de muestreo adecuado para entender los factores que puedan estar incidiendo en la dinámica poblacional de O. derbianus. Asimismo, futuros estudios deberán considerar la variación en las relaciones especie-hábitat, por ejemplo, a lo largo del ciclo anual de la especie o durante la maduración de los individuos.
Análisis de la distribución a diferentes escalas espaciales
A nivel local, la ubicación de individuos de O. derbianus durante los recorridos de senderos puede sugerir la ubicación y distribución de territorios reproductivos o de forrajeo, sobre todo cuando es posible hacer distinciones entre individuos; por ejemplo, por el tamaño y forma del cuerno o por diferencias individuales en las vocalizaciones (González-García et al. 2016). A nivel regional, la generación de registros de buena calidad, a partir del recorrido de senderos durante los muestreos para estimar su abundancia en diversas localidades, puede permitir hacer estimaciones más precisas de la distribución de la especie mediante la construcción de modelos de nicho ecológico, así como hacer predicciones a futuro sobre los cambios en dicha distribución debido a cambios en la cobertura del bosque y a escenarios y modelos de cambio climático (Peterson et al. 2001, 2011, Martínez-Morales et al. 2013).
Otros métodos de muestreo
En los últimos años se han utilizado trampas-cámara para el estudio de mamíferos en la RBET (Mendoza y Carbajal 2011, Godínez 2014) y éstas también han demostrado ser útiles en la obtención de registros adicionales de O. derbianus. A pesar de que algunos modelos de trampas-cámara se ven afectados por los altos niveles de humedad, lo que le ha restado eficiencia como método de muestreo, las trampas-cámara pueden representar un método complementario para la obtención de registros de O. derbianus, así como para obtener información biológica sobre reproducción, conformación de grupos, horarios de actividad y movimientos, y patrones de actividad en el uso de bañaderos (O’Brien y Kinnaird 2008, Srbek-Araujo et al. 2012, Rivas-Romero y Soto-Shoender 2015, Suwanrat et al. 2015). Los sistemas autónomos de grabación son otro método que puede proveer una forma de seguimiento de los patrones de abundancia y de la actividad vocal del pavón (Baldo y Mennill 2011), sobre todo durante la temporada reproductiva. Evidentemente, el uso de herramientas autónomas de fotografía y grabación de audio también requerirían de la elaboración de los correspondientes protocolos de muestreo para hacer más eficiente su uso y asegurar la comparabilidad de los estudios (Li et al. 2010, Blumstein et al. 2011, Marques et al. 2013).
Capacitación y acompañamiento
La capacitación para la toma de datos en campo demostró ser un instrumento útil para incidir en la adopción de este protocolo estandarizado, pero no es suficiente. Es indispensable realizar un acompañamiento al personal capacitado para asegurarse de que el método sea adoptado y aplicado adecuadamente. Asimismo, este proceso de capacitación y seguimiento debe ser continuo para reafirmar conocimientos, evitar la generación de vicios en la toma de datos en campo, así como para solventar el recambio que pueda haber en el personal que realiza los muestreos.
Red interinstitucional de colaboración
Gran parte de lo que actualmente se sabe de O. derbianus se ha generado en la RBET y particularmente en la Zona Núcleo I. Esto se ha debido a que históricamente ha habido un interés en la conservación de la diversidad biológica de esta región, y particularmente del pavón, desde antes de que fuera considerada área natural protegida (INE 1999). Actualmente, ya como RBET, se han generado estructuras y mecanismos que han facilitado la realización de estudios en el sitio, algunos de largo plazo. Por un lado, existe el interés de la dirección de la RBET por la generación de información y, por otro, se han conformado vínculos con universidades, centros de investigación y las ong involucradas en el desarrollo de estudios y la conservación. De igual forma, en la RBVT se ha constituido la red de monitores comunitarios “Pavón-Pavo de cacho, México y Guatemala” que genera conocimientos y estrategias para el manejo, la protección y conservación de O. derbianus y su hábitat.
La conformación, en 2002, del Comité Internacional para la Conservación de Oreophasis derbianus y su Hábitat ha sido fundamental en la elaboración, implementación y seguimiento del Plan de Conservación del Pavón y su Hábitat en México y Guatemala durante más de una década; el Comité evalúa este plan mediante simposios y talleres bianuales en ambos países. Adicionalmente, la creación del fondo Embajadores de las Nubes, constituido específicamente para financiar investigaciones vinculadas con esta especie, ha incidido de manera positiva en el avance del conocimiento y conservación de O. derbianus en ambos países a través de la ejecución de proyectos de investigación y de educación ambiental. El fondo genera recursos económicos a partir del resguardo temporal en diferentes zoológicos de pavones nacidos en cautiverio, lo cual es un esfuerzo combinado de varias instituciones: Africam Safari-México, Saint Louis Zoo-EUA, Vogelpar Walsrode-Alemania y Crax International-Bélgica. Asimismo, la CONANP, a través del programa de Conservación de Especies en Riesgo (PROCER), implementó un Programa de Acción para la Conservación de Especies (PACE) específico para O. derbianus (SEMARNAT 2010b). Probablemente, la integración de todos estos elementos sea un caso poco común para una especie en riesgo, al menos en la región mesoamericana; en consecuencia, es importante valorar esta experiencia para explorar la factibilidad de que pueda ser replicada en otras especies y sistemas biológicos en riesgo.
La conformación y consolidación de una red de colaboración para el estudio y monitoreo de O. derbianus en toda su área de distribución es fundamental para diseñar e implementar estrategias globales para su conservación. Esta red de colaboración debe ser suficientemente incluyente y definir roles particulares y los mecanismos de articulación de cada uno de los colaboradores desde la generación de datos en campo, su análisis, el almacenamiento de datos e información, hasta el flujo de dicha información entre todos los colaboradores y usuarios de la misma. Esta estructura de colaboración podría constituirse en la base para crear una red más amplia que evalúe la diversidad biológica y el funcionamiento ecosistémico regional, más allá de la conservación per se de O. derbianus.
Agradecimientos
Agradecemos el financiamiento otorgado por Embajadores de las Nubes, Saint Louis Zoo WildCare Institute, el Comité Internacional para la Conservación de Oreophasis derbianus y su Hábitat, el Fondo Nacional de Ciencia y Tecnología de Guatemala (Proyecto FODECYT 033-2007) y Defensores de la Naturaleza. Al Instituto de Ecología, A.C., y a El Colegio de la Frontera Sur por los apoyos complementarios para la realización de este estudio. Agradecemos al conacyt y al INECOL por la beca otorgada a AAS. A Birders’ Exchange por la donación de binoculares. Al Centro de Datos para la Conservación (CDC-CECON) de la Universidad de San Carlos de Guatemala por la búsqueda y aportación de literatura. A la CONANP por todas las facilidades y apoyos otorgados para la coordinación e implementación del trabajo en la Zona Núcleo I de la RBET. A la corporación municipal de San Pedro La Laguna por facilitar la realización del estudio en el VSP. Al personal de la RBET: A. García, A. Gálvez Gálvez, E. López Gálvez, I. Gálvez Gálvez, R. Gálvez Roblero y R. Mengchu Guerrero. A los estudiantes y voluntarios por su ayuda en las diversas actividades en campo en la RBET: A. Alvarado, A. Anzures, A. Arrona, A. Campos, A. Cantú, A. Cornejo, A. García, A. Jiménez, A.K. Chanona, A. Leyva, A. Lobato, A. López, A. Martínez, A. Monroy, A. Pérez, A. Romero, A. Vásquez, B. Chiu López, B. Kraig, B. Pérez Santiz, C. Alvarado, C. Frías, C. Hartmann, C. Mota, C. Núñez, C. Ventura, D. Alvarado, D. Arreola, D. Garza, E. Carmelo, E. Homá, E. Labastida, E. López, E.M. Gómez, E. Naranjo, E. Velázquez, F. Bibriesca, F. Berzaghi, F. Bustamente, F. Campusano, F. Gómez, F. Marani, F. Miranda, G. Argueta, G. Cristiani, G. Pinilla, G. Rodríguez, G. Sánchez, H.A. Bartolomé, H. Montaña, I. Medina, I. Santiz, I. Villafuerte, I.X. Villafuerte, J.F. Gómez, J. González, J. López, J.M. Ruiz, J. Paulo Carbajal, J.A. Robledo Escalante, J. Bech, J. González, J.C. Ocampo, J.F. Rodríguez Femat, J.L. Martínez, J.L. Hernández, J.P. Hernández, J.R. Ramírez, J.R. Sosa, J. Rendón, J.R. Vázquez Pérez, J. Victoria, K. Burgman, K. Kühne, L. Gutiérrez, L. de J. Sánchez, L. Jiménez, L. Orozco, L.F. Rivera, L. Tlapaya, L. Victoria, L. Yunes, M. Carrillo, M. de C. Ramírez, M. del C. Soto, M. Carrillo, M. González, M.J. López, M.J. Gómez, M.E. Pérez, M.G. Vargas, M. Ruiz, M. Vugdelic, N. Balan, N. Gómez, N.B. Guillen, N. Jiménez, N. Sánchez, O. del Ángel, O. Bravo, O. de la Cruz Limones, O. Díaz, O. Godínez, O. Suárez, P. Conde, P. Gutiérrez, P. Hernández, P. Mota, P. Petit, P. Ramírez, P.E. Rocha, P.P. Vásquez Sánchez, R. Bartolán, R. Berlio, R. Ortega, R. Partida Lara, R. Velázquez, S. Puerta, S.E. Ramos, S. Velázquez, T. Miranda, V. Bravo, V. González, V. Morales, V. Rodríguez, X. Macía y Y. Ramírez. Al personal de la RBVT: B. Zacarías Bravo, E. Velázquez Hernández, J.A. Roblero Escalante, J.A. Velázquez León, L. Morales Zacarías, N. Pérez Miguel, R. Velázquez Hernández, R. Verdugo, S. Velázquez Pérez y V. Pérez. A A.J. Cóbar, J. Letona, P. Cruz, E. Girón, B. Chávez, I. Alvizuris, F. Capulramos, E. Hernández, P. de León, P. Ramos, L. Vargas, C. Morales, M. Ramos, G. Ramos, P. Rodríguez, T. Rodríguez y O. Rodríguez por su apoyo en el trabajo de campo en el VSP y en la RBSM. Agradecemos también los comentarios y sugerencias aportados por los revisores anónimos. Este trabajo constituye el cumplimiento parcial del doctorado de FGG en Ciencias Experimentales y Biosanitarias en el Departamento de Ciencias Ambientales y Recursos Naturales de la Facultad de Ciencias de la Universidad de Alicante, España.
Literatura citada
Andrle, R.F. 1967. The Horned Guan in Mexico and Guatemala. The Condor 69: 93-109.
Arreola, A.V., G. Cuevas, R.A. Becerril, L. Noble y M.A. Altamirano. 2004. El medio físico y geográfico de la Reserva de la Biosfera el Triunfo, Chiapas. Pp. 29-52. In: M.A. Pérez-Farrera, N. Martínez-Meléndez, A. Hernández Yáñez y A.V. Arreola-Muñoz (eds.). La Reserva de la Biosfera El Triunfo, tras una década de conservación, Universidad de Ciencias y Artes de Chiapas, Tuxtla Gutiérrez, Chiapas.
Baldo, S. y D.J. Mennill. 2011. Vocal behavior of Great Curassows, a vulnerable Neotropical bird. Journal of Field Ornithology 82:249-258.
Blumstein, D.T., D.J. Mennill, P. Clemins, L. Girord, K. Yao, G. Patricelli, J.L. Deppe, A.H. Kraauer, C. Clark, K.A. Cortopassi, S.F. Hanser, B. McCowan, A.M. Ali y A.N.G. Kirschel. 2011. Acoustic monitoring in terrestrial environments using microphone arrays: applications, technological considerations and prospectus. Journal of Applied Ecology 48:758-767.
Brooks, D.M. y S.D. Strahl (comp.). 2000. Curassows, guans and chachalacas. Status survey and Conservation Action Plan for Cracids 2000-2004. IUCN/SSC Cracid Specialist Group, IUCN. Gland, Suiza y Cambridge, Reino Unido.
Buckland, S.T., D.R. Anderson, K.P. Burnham y J.L. Laake. 1993. Distance Sampling. Estimating abundance of biological populations. Chapman y Hall, London.
Buckland, S.T., D.R. Anderson, K.P. Burnham, J.L. Laake, D.L. Borchers y L. Thomas. 2004. Advanced Distance Sampling. Estimating abundance of biological populations. Oxford University Press, New York.
Cancino, L. y D.M. Brooks. 2006. Conservando crácidos: la familia de aves más amenazadas de las Américas. Miscelaneous Publications of the Houston Museum of Natural Science, Number 6. Houston, Texas.
CONANP (Comisión Nacional de Áreas Naturales Protegidas). 2013. Programa de Manejo de la Reserva de Biosfera Volcán Tacaná. CONANP, Chiapas.
del Hoyo, J. 1994. Family Cracidae (Chachalacas, Guans and Curassows). Pp. 310-363. In: J. del Hoyo, A. Elliot y J. Sargatal (eds.). Handbook of the birds of the World. Vol. 2. New World Voltures to Guineafowl. Lynx Edicions, Barcelona.
del Hoyo, J. y A. Motis. 2004. Update chapter. In Curassows and related birds, J. Delacour y D. Amadon. Segunda edición. Lynx Editions y The National Museum of Natural History. Barcelona y New York.
del Hoyo, J. y G.M. Kirwan (en línea). 2015. Horned Guan (Oreophasis derbianus). In: J. del Hoyo, A. Elliott, J. Sargatal, D.A. Christie y E. de Juana (eds.). Handbook of the Birds of the World Alive. Lynx Edicions, Barcelona. Disponible en: <www.hbw.com/node/53303> (consultado el 16 de diciembre de 2015).
Delacour, J. y D. Amadon. 2004. Curassows and related birds. Segunda edición. Lynx Editions y The National Museum of Natural History. Barcelona y New York.
DOF (Diario Oficial de la Federación). 2003. Decreto por el que se declara área natural protegida, con el carácter de reserva de la biosfera, la región del volcán Tacaná, ubicada en los municipios de Tapachula, Cacahoatán y Unión Juárez, en el estado de Chiapas, con una superficie de 6,378 ha. Secretaría de Medio Ambiente y Recursos Naturales, México, D.F.
FDN (Fundación Defensores de la Naturaleza). 2003. Reserva de Biosfera Sierra de las Minas. III Plan Maestro 2003-2008 . Fundación Defensores de la Naturaleza, Guatemala.
Fedy, B.C., K.E. Doherty, C.L. Aldridge, M. O’donnell, J.L. Beck, B. Bedrosian, D. Gummer, M.J. Holloran, G.D. Johnson, N.W. Kaczor, C.P. Kirol, C.A. Mandich, D. Marshall, G. Mckee, C. Olson, A.C. Pratt, C.C. Swanson y B.L. Walker. 2014. Habitat prioritization across large landscapes, multiple seasons, and novel areas: An example using greater sage‐grouse in Wyoming. Wildlife Monographs 190:1-39.
Fuller, R.J. (ed.). 2012. Birds and habitat: relationships in changing landscapes. Cambridge University Press, Cambridge.
Godínez, G.O. 2014. Patrones de actividad espacio-temporal de los ungulados de la Reserva de la Biosfera El Triunfo, Chiapas, México. Tesis de licenciatura, Facultad de Biología, Universidad Michoacana de San Nicolás de Hidalgo. Morelia, Michoacán.
Gómez de Silva G.H., F. González-García y M.P. Casillas-Trejo. 1999. Birds of the upper cloud forest of El Triunfo, Chiapas, Mexico. Ornitología Neotropical 10:1-26.
González-Espinosa, M., J.A. Meave, F.G. Lorea-Hernández, G. Ibarra-Manríquez y A.C. Newton (eds.). 2011. The Red List of Mexican Cloud Forest Trees. F&FI y BGCI, Cambridge.
González-García, F. 1992. Estudio y conservación del pavón en la Sierra Madre de Chiapas. Informe. CONACYT-INECOL. Xalapa, Veracruz.
González-García, F. 1993. Illegal trade of Horned Guans. The Cracid Newsletter 2:7.
González-García, F. 1995. Reproductive biology and vocalizations of the Horned Guan Oreophasis derbianus in Chiapas, Mexico. The Condor 97:415-426.
González-García, F. 1997. Distribución del pavón Oreophasis derbianus en México: pasado, presente y futuro. Pp. 211-216. In: S.D. Strahl, S. Beaujon, D.M. Brooks, A.J. Begazo, G. Sedaghatkish y F. Olmos (eds.). The Cracidae: Their Biology and Conservation. Hancock House Publishers. Surrey, Canadá y Blaine, EUA.
González-García, F. 2001. Estado de conservación del pavón Oreophasis derbianus en el campo y en cautiverio en México. Pp. 147-166. In: D.M. Brooks y F. González-García (eds.). Biology and Conservation of Cracids in the New Millenium. Miscelaneous Publications of the Houston Museum of Natural Science, Number 2. Houston, Texas.
González-García, F. 2005. Dieta y comportamiento de forrajeo del pavón Oreophasis derbianus en la Reserva de la Biosfera El Triunfo, Chiapas. Tesis de maestría, Facultad de Ciencias, Universidad Nacional Autónoma de México. México, D.F.
González-García, F. 2012. El pavón (Orephasis derbianus), una especie cuasiendémica a México. El Canto del Centzontle 3:1-25.
González-García, F., J.A. Rivas-Romero y A.J. Cóbar Carranza. 2006. Pavón de Cacho (Oreophasis derbianus). Pp. 40-45. In D.M. Brooks (ed.). Conserving Cracids: the most threatened family of birds in the Americas, Miscelaneous Publications of the Houston Museum of Natural Science, Number 6. Houston, Texas.
González-García, F., J.R. Sosa-López, J.F. Ornelas, P. Jordano, V. Rico-Gray y V. Urios Moliner. 2016. Individual variation in the booming call of captive Horned Guans (Oreophasis derbianus): an endangered Neotropical mountain bird. Bioacoustics 26(2):185-198 doi:10.1080/09524622.2016.1233513
INE (Instituto Nacional de Ecología). 1999. Programa de Manejo de la Reserva de la Biosfera El Triunfo. INE, SEMARNAP. México, D.F.
IUCN (International Union for Conservation of Nature and Natural Resources; en línea). 2015. The IUCN Red List of Threatened Species. Version 2015.4. Disponible en: <www.iucnredlist.org> (consultado el 13 de enero de 2016).
Kattan, G.H., M.C. Muñoz y D.W. Kiuchi. 2016. Population densities of curassows, guans, and chachalacas (Cracidae): Effects of body size, habitat, season, and hunting. The Condor 118:24-32.
Lacy, R.C., M. Borbat y J.P. Pollak. 2013. Vortex: a stochastic simulation of the extinction process. Version 10.0. Chicago Zoological Society, Brookfield, Illinois.
Land, H.C. 1962. A collection of birds from the Sierra de las Minas, Guatemala. The Wilson Bulletin 74: 267-283.
Li, S., D. Wang, X. Gu y W.J. McShea. 2010. Beyond pandas, the need for a standardized monitoring protocol for large mammals in Chinese nature reserves. Biodiversity and Conservation 19:3195-3206.
Long, A. y M. Heath. 1991. Flora of the El Triunfo Biosphere Reserve, Chiapas, Mexico: a preliminary floristic inventory and the plant communities of polygon I. Anales del Instituto de Biología, Universidad Nacional Autónoma de México, Serie Botánica 62:133-172.
MacKenzie, D.I., J.A. Royle, J.A. Brown y J.D. Nichols. 2004. Occupancy estimation and modeling for rare and elusive species. Pp. 149-172. In: W.L. Thompson (ed.). Sampling rare or elusive species. Concepts designs, and techniques for estimating population parameters. Island Press, Washington, D.C.
MacKenzie, D.I., J.D. Nichols, J.A. Royle, K.H. Pollock, L.L. Bailey y J.E. Hines. 2006. Occupancy estimation and modeling. Inferring patterns and dynamics of species occurrence. Academic Press, San Diego, California.
Marques, T.A., L. Thomas, S.W. Martin, D.K. Mellinger, J.A. Ward, D.J. Moretti, D. Harris y P.L. Tyack. 2013. Estimating animal population density using passive acoustics. Biological Review 88:287-309.
Martínez-Morales, M.A. 1999. Conservation status and habitat preferences of the Cozumel Curassow. The Condor 101:14-20.
Martínez-Morales, M.A., P. Caballero-Cruz y A.D. Cuarón. 2009. Predicted population trends for Cozumel curassows (Crax rubra griscomi): empirical evidence and predictive models in the face of climate change. Journal of Field Ornithology 80:317-327.
Martínez-Morales, M.A., F. González García, P.L. Enríquez, J.L. Rangel Salazar, D.A. Navarrete Gutiérrez, C.A. Guichard Romero, A. Tobón Sampedro y G.E. Pinilla Buitrago. 2013. Modelos de distribución actual y futura de los crácidos presentes en México. El Colegio de la Frontera Sur, Unidad Campeche. Informe final SNIB-CONABIO, proyecto No. JM024. México, DF.
Mendoza, E. y J.P. Carbajal. 2011. Avances y perspectivas para la conservación del tapir centroamericano en México. CONABIO. Biodiversitas 99: 12-16.
Møller, A.P. y W. Liang. 2013. Tropical birds take small risks. Behavioral Ecology 24:267-272.
O’Brien, T.G. y M.F. Kinnaird. 2008. A picture is worth a thousand words: the application of camera trapping to the study of birds. Bird Conservation International 18: S144-S162.
Pardo, P., M. Véliz y C. Méndez. 2009. Estudio de la vegetación del Volcán San Pedro, Reserva de usos múltiples de la cuenca del lago de Atitlán, Sololá. Revista Científica 5:65-90.
Pardo, V.P.D. 2007. Estudio de la vegetación del volcán San Pedro. Tesis de licenciatura, Escuela de Biología, Facultad de Ciencias Químicas y Farmacia, Universidad de San Carlos de Guatemala. Guatemala.
Peterson, A.T. y A.G. Navarro-Sigüenza. 2016. Bird conservation and biodiversity research in Mexico: status and priorities. Journal of Field Ornithology 87(2): 121-132.
Peterson, A.T., J. Soberón, R.G. Pearson, R. Anderson, E. Martínez-Meyer, M. Nakamura y M. Araújo. 2011. Ecological niches and geographic distributions. Princeton University Press, Princeton.
Peterson, A.T., V. Sánchez-Cordero, J. Soberón, J. Bartley, R.W. Buddemeier y A.G. Navarro-Sigüenza. 2001. Effects of global climate change on geographic distributions of Mexican Cracidae. Ecological Modelling 144:21-30.
Peterson, J.T. y P.B. Bayley. 2004. A bayesian approach to estimating presence when a species is undetected. Pp. 173-188. In: W.L. Thompson (ed.). Sampling rare or elusive species. Concepts designs, and techniques for estimating population parameters. Island Press, Washington, D.C.
Quiñónez-Guzmán, J.M. 2011. Densidad poblacional e historia natural del Pavo de Cacho (Oreophasis derbianus) en la Reserva de la Biosfera Sierra de Las Minas, El Progreso, Guatemala. Tesis de licenciatura, Facultad de Ciencias Químicas y Farmacia, Universidad de San Carlos de Guatemala. Guatemala.
Rivas-Romero, J.A. y A.J. Cóbar. 2008. Densidad poblacional y fenología de las plantas alimenticias del pavo de cacho (Oreophasis derbianus G. R. Gray 1844) en el parque regional municipal Chuwanimajuyu, Sololá. Informe Final. Consejo Nacional de Ciencia y Tecnología, Universidad San Carlos de Guatemala, y Embajadores de las Nubes. Guatemala y México.
Rivas-Romero, J.A. y J.R. Soto-Shoender. 2015. Filling in the gaps: evaluating the use of camera traps in the canopy to examine frugivore visits to Oreopanax echinop in the highlands of Guatemala. The Southwestern Naturalist 60(4): 366-370.
Rojas-Soto, O.R., V. Sosa y J.F. Ornelas. 2012. Forecasting cloud forest in Eastern and southern Mexico: conservation insights under future climate change scenarios. Biodiversity and Conservation 21: 2671-2690.
SEMARNAT (Secretaría de Medio Ambiente y Recursos Naturales). 2010a. Norma Oficial Mexicana NOM-059-SEMARNAT-2010, Protección ambiental - especies nativas de México y de flora y fauna silvestres - categorías de riesgo y especificaciones para su inclusión, exclusión o cambio - lista de especies en riesgo. Diario Oficial de la Federación. México, D.F.
SEMARNAT (Secretaría de Medio Ambiente y Recurso Naturales). 2010b. Programa de Acción para la Conservación de la Especie: Pavón (Oreophasis derbianus). Secretaría de Medio Ambiente y Recursos Naturales. Comisión Nacional de Áreas Naturales Protegidas. Comité Internacional para la Conservación de Oreophasis derbianus. Embajadores de Las Nubes. México, DF.
Silveira, L., A.T.A. Jácomo y J.A.F. Diniz-Filho. 2003. Camera trap, line transect census and track surveys: a comparative evaluation. Biological Conservation 114(3):351-355.
Srbek-Araujo, A.C., L. Fabio Silveira y A.G. Chiarello. 2012. The Red-billed Curassow (Crax blumenbachii): social organization, and daily activity patterns. The Wilson Journal of Ornithology 124:321-327.
Sutherland, W.J. 2006. Ecological census techniques. A handbook. 2a edición. Cambridge University Press, Cambridge.
Suchini, A.E., A.C. Rosales, G.M. Cazali, E. de Poll, N.A. Castillo, M.E. Flores y A.L. Higueros. 2002. Endemismo florístico en el norte de Biosfera Sierra de las Minas. Centro de Estudios Conservacionistas, Universidad San Carlos de Guatemala. Guatemala.
Suwanrat, S., D. Ngopraset, C. Sutherland, P. Suwanwaree y T. Savini. 2015. Estimating density of secretive terrestrial birds (Siamese Firaback) in pristine and degraded forest using camera traps and distance sampling. Global Ecology and Conservation 3:596-606.
Thomas, L., S.T. Buckland, E.A. Rexstad, J.L. Laake, S. Strindberg, S.L. Hedley, J.R.B. Bishop, T.A. Marques y K.P. Burnham. 2010. Distance software: design and analysis of distance sampling surveys for estimating population size. Journal of Applied Ecology 47: 5-14.
Thompson, W.L. 2004. Future directions in estimating abundance of rare or elusive species. Pp. 389-399. In: W.L. Thompson (ed.). Sampling rare or elusive species. Island Press, Washington.
Vannini, J.P. y P.M. Rockstroh. 1997. The status of cracids in Guatemala. Pp. 326-334. In: S.D. Strahl, S. Beaujon, D.M. Brooks, A.J. Begazo, G. Sedaghatkish y F. Olmos (eds.). The Cracidae: Their Biology and Conservation. Hancock House Publishers. Surrey, Canadá y Blaine, EUA.
Viñals, J.F. 1993. Estudio de la composición florística de las cimas de los volcanes Acatenango, Agua, Atitlán, Fuego, Santa María, Santo Tómas (Pecul), Tacaná, Tajumulco y Zunil en la República de Guatemala. Tesis de licenciatura, Escuela de Biología, Facultad de Ciencias Químicas y Farmacia, Universidad de San Carlos de Guatemala. Guatemala.
Williams, D.R., R.G. Pople, D.A. Showler, L.V. Dicks, M.F. Child, E.K.H.J. zu Ermgassen y W.J. Sutherland. 2012. Bird conservation. Global evidence for the effects of interventions. Pelagic Publishing, Exeter.
Yoccoz, N.G., J.D. Nichols y T. Boulinier. 2001. Monitoring of biological diversity in space and time. Trends in Ecology and Evolution 16:446-453.
Apéndice 1

Notas de autor
*Correo electrónico: mmartinez@ecosur.mx