Artículos originales
Análisis de egagrópilas del búho listado, Asio clamator, (Aves: Strigiformes) en Atahualpa, provincia de Santa Elena, Ecuador
Analysis of pellets of the Striped Owl, Asio clamator, (Aves: Strigiformes) in Atahualpa, Santa Elena province, Ecuador
Análisis de egagrópilas del búho listado, Asio clamator, (Aves: Strigiformes) en Atahualpa, provincia de Santa Elena, Ecuador
Huitzil, vol. 22, núm. 2, e625, 2021
Sociedad para el Estudio y Conservación de las Aves en México, A.C. (CIPAMEX)
Recepción: 17 Marzo 2021
Aprobación: 25 Diciembre 2021
Financiamiento
Fuente: Secretaria de Educación Superior, Ciencia Tecnología e Innovación (SENESCYT) de la República del Ecuador
Nº de contrato: UPSE 91870000.0000.382442
Resumen: El búho listado, Asio clamator, es un ave Strigiforme con distribución Neotropical del sur de México al norte de Argentina. Sin embargo, el mayor conocimiento de su dieta viene del sur de la Amazonía de su distribución, mientras en Ecuador la información de su dieta es nula. El presente estudio describe el contenido de 72 egagrópilas colectados de un individuo del búho listado en el ambiente seco de la provincia de Santa Elena, Ecuador, durante la época seca de 2015 y época húmeda de 2016. Registramos un total de 1145 presas correspondientes a 11 taxa, con un alto número promedio de 8.2 individuos de presas por egagrópila. Encontramos una asociación significativa de presas en la dieta por época del año, con mayor consumo de mamíferos y reptiles en las secas y de insectos en la época húmeda. Las diferencias en la dieta del búho listado encontrados en nuestro estudio destacan la importancia de desarrollar estudios de dieta en otros hábitats y áreas de distribución, lo que ayudará a comprender las interacciones del búho y su influencia sobre el ambiente.
Palabras clave: Dieta, egagrópilas, frecuencia y biomasa de presas, Pseudoscops clamator, variación estacional.
Abstract: The Striped Owl, Asio clamator, is a Neotropical Strigiform bird distributed from southern Mexico to northern Argentina. However, most knowledge of the species’ diet comes from the southern Amazon region of its distribution, while almost no information exists on its diet in Ecuador. The present study describes the contents of 72 pellets collected from an individual of the Striped Owl in the dry environment of the province of Santa Elena, Ecuador, during the dry season of 2015 and wet season of 2016. We registered a total of 1145 prey items corresponding to 11 taxa, with a high average number of 8.2 prey individuals per pellet. We found a significant association of prey in the diet by season, with greater consumption of mammals and reptiles during the dry season, and of insects in the wet season. The differences in diet of the Striped Owl found in our study highlight the importance of developing diet studies in other habitats and areas of distribution, which would help to understand the owl’s interactions and its influence on the environment.
Keywords: Diet, pellets, prey frequency and biomass, Pseudoscops clamator, seasonal variation.
Introducción
El análisis de egagrópilas ha sido calificado como una buena técnica para el estudio de la ecología trófica de las aves rapaces (Redpath et al. 2001, Yalden y Morris 2003, Magrini y Facure 2008). Analizar los huesos de presas también puede ser una herramienta indirecta no invasiva que permite conocer la composición de vertebrados en un determinado ambiente (Davis 1959, Chaline et al. 1974, Libiois 1984, Andrews 1990, Teixeira y Giovanelli 1999).
El búho listado, Asio clamator (Vieillot, 1807), presenta una distribución Neotropical que va desde el sur de México hasta el norte de Argentina (Narosky y Giacomo 1993, Martínez et al. 1996). La especie tiene hábitos de caza crepuscular y nocturna (Pautasso y de la Peña 2001), y ocupa una amplia variedad de hábitats como pastizales, zonas inundadas abiertas o semiarbóreas (Riaño et al. 2017). Los estudios alimenticios del búho listado provienen principalmente de la parte sur Amazónica de su distribución, donde se alimenta de una variedad de vertebrados pequeños y artrópodos, cuya masa oscila entre 2 - 1250 g (Massoia 1988, Isacch et al. 2000, Motta-Junior et al. 2004, Delgado-V et al. 2005, Pautasso 2006, Aguiar y Naiff 2009, Baladrón y Bó 2017).
Particularmente en Ecuador, los estudios publicados basados en el análisis de egagrópilas de Strigiformes son escasos (Freile et al. 2012), y en el caso del búho listado el conocimiento es nulo. Por lo tanto, este trabajo tiene por objeto estudiar por primera vez la composición de la dieta de un individuo del búho listado en un ambiente desértico árido de Atahualpa, provincia de Santa Elena. Asimismo, proponemos evaluar la variación de las presas entre dos épocas estacionales.
Métodos
El área de estudio pertenece a la provincia biogeográfica de Tumbes-Guayaquil (Chinchero et al. 2013), por lo que el clima se caracteriza por ser desértico árido. Recolectamos egagrópilas íntegras y disgregadas en noviembre de 2015 (tras época seca: agosto-noviembre) y en agosto de 2016 (tras época húmeda: diciembre-julio) en una quebrada (2°18’56.19”S, 80°46’56.64”W) a 36 msnm, localizada al suroeste del pueblo de Atahualpa en la provincia de Santa Elena. Las egagrópilas provén de un individuo, sexo indeterminado, y se encontraron bajo una percha en una construcción abandonada, seguramente algún tipo de acueducto o sistema para el transporte de agua. En noviembre de 2015, recolectamos 48 egagrópilas completas y 202.2 g de egagrópilas disgregadas, mientras que durante agosto del siguiente año se colectaron 24 egagrópilas enteras y 82.2 g de egagrópilas disgregadas.
Cada egagrópila fue colocada en fundas independientes a las que se asignó un código único para evitar confusiones. Posteriormente, se procedió a la inmersión en agua y detergente para su ablandamiento, facilitando así su disgregación con la ayuda de pinzas. El material disgregado fue separado según los grupos taxonómicos a los cuales pertenecían los restos y luego clasificados a nivel de género o especie. El número mínimo de individuos fue determinado por el conteo de cráneos y mandíbulas homologas para mamíferos y aves, y cabezas para invertebrados, descartando los otros restos para evitar reconteo (Manning y Jones 1990). Para el cálculo de la biomasa se multiplicó el peso promedio (en gramos) por el número mínimo de individuos de la especie (Herrera y Jaksic 1980). Los diferentes componentes alimenticios fueron identificados mediante el uso de guías disponibles (Brito et al. 2021, Ron et al. 2021, Torres-Carvajal et al. 2021), y mediante comparación con material de referencia depositado en el Instituto Nacional de Biodiversidad (INABIO).
Aplicamos un χ2 de tabla de contingencia (especies y frecuencias) usando el programa Past (Hammer et al. 2001) para evaluar la asociación de clases de presas en la dieta del búho con las dos épocas (seca y húmeda); y para determinar relación de frecuencia de presa con la masa corporal, realizamos una regresión lineal simple. Para determinar qué tan especialista es la especie, se calculó la amplitud de nicho con el Índice estandarizado de Levins que tiene valores que van desde 0 hasta 1 sobre las presas (Levins 1968, Krebs 1999, Rau 2000) con la ayuda del programa HaviStat 2.2 (Montenegro et al. 2014). Expresamos los resultados en número mínimo de individuos por egagrópila, peso referencial de las presas y porcentaje de consumo de presas.
Resultados
Colectamos un total de 72 egagrópilas, determinando un número mínimo total de 1145 presas individuales, con 717 presas en la época seca y 428 presas en la época húmeda (Tabla 1). Las presas de mayor consumo fueron los grillos (437 individuos), seguidos por el ratón doméstico, Mus musculus (348 individuos) y la salamanquesa de la costa, Phyllodactylus reisii (167 individuos). Los otros ítems tuvieron representatividad menor (Tabla 1). El búho listado presentó un amplitud de nicho de Levins B = 0.25, representando una dieta especialista. No encontramos relación entre la masa corporal de las presas y su frecuencia en las egagrópilas (r2 =0.105, gl = 11, P = 0.330).

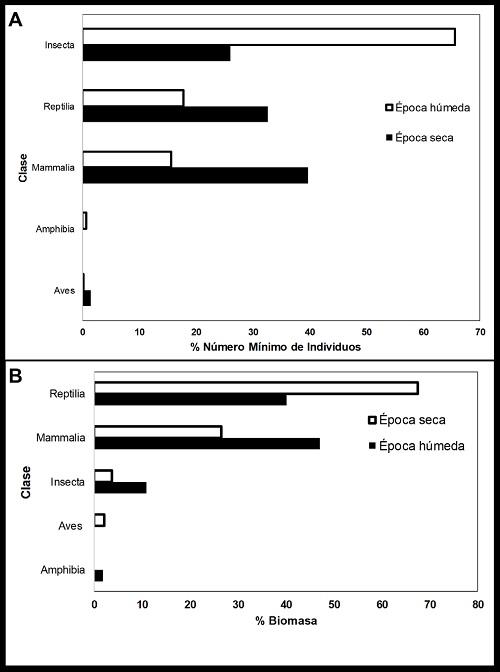
Encontramos una asociación significativa de presa en la dieta por época (seca y húmeda) del año ( χ2 = 9.3, gl = 1, P < 0.006). En la época seca hubo un promedio de 5.3 ± 5.1 presas por egagrópila (rango 2 23 presas, n = 24 egagrópilas). Las presas con mayor frecuencia en la dieta fueron los mamíferos (39.7%), principalmente roedores (Tabla 1), seguido por los reptiles (32.6%) y los insectos (30.3%), mientras las aves y anfibia representaron <5% de su dieta (Fig. 1A). Entre las especies de roedores, el ratón doméstico fue la presa más consumida con un total de 284 individuos, lo que constituyó el 39.6% del total de individuos en la dieta durante la época seca (Tabla 1). Entre los reptiles, la salamanquesa común de la costa destacó por sus 105 individuos, lo que representó el 14.6% de individuos consumidos en la dieta en la época seca (Tabla 1). Para la época húmeda, hubo un promedio de 11.2 ± 6.2 presas por egagrópila (rango 2 - 25 presas, n = 48 egagrópilas), donde los insectos (65.7%) constituyeron el componente más importante de la dieta (Fig. 1A), seguido por reptiles (17.8%) y mamíferos (15.6%), con poco representación por anfibios y aves (Fig. 1A).


En términos de biomasa, para la época seca los reptiles (67.5% de biomasa en la época seca) contribuyeron con la mayor cantidad de biomasa consumida por el búho listado (Fig. 1B), seguido de los mamíferos (26.6% biomasa en época seca), mientras los insectos, aves y anfibios proporcionaron <5% de la biomasa de la dieta cada uno (Fig. 1B). En cambio, para la época húmeda los mamíferos representaron la mayor cantidad de 47.4% de biomasa consumida (Fig. 1B), seguido de los reptiles con un 40.1% de biomasa y los insectos con un 11.0% de biomasa en la época húmeda (Fig. 1B).
Discusión
En nuestro estudio registramos un alto número de hasta 25 individuos de presas por egagrópila, y un promedio de 5 a 11 individuos por egagrópila. Existe poca información del número de individuos consumidas por egagrópila en el búho listado, a excepción del trabajo presentado por Lo Coco et al. (2012) donde dieron a conocer una cantidad de un individuo por egagrópila. Esta diferencia podría estar ligada al tamaño de la presa. En nuestro estudio, las presas tuvieron peso promedio de 28.3 g en comparación con 150 g reportados en Lo Coco et al. (2012), >100 g en Motta-Junior et al. (2004), y 32 -315 g en Pautasso (2006).
Además, encontramos tendencias estacionales en la dieta del búho listado, donde los mamíferos alcanzaron los valores máximos de abundancia en la dieta en la época seca, siendo sustituidos durante la época húmeda por los insectos, aunque ambas épocas mostraron un consumo relativamente alto de reptiles. Igualmente para biomasa de la dieta, los reptiles aportaron la mayor cantidad de biomasa para la época seca y para la época húmeda fueron los mamíferos. Una tendencia de variación estacional distinta a la encontrada en este estudio fue reportado en Brasil, donde las aves fueron más consumidas y con más aporte de biomasa en la época seca y los mamíferos en la época húmeda (Motta-Junior et al. 2004).
Nuestros resultados de amplitud de nicho sugieren que el búho listado en Atahualpa presenta una moderada especialización individual (Bolnick et al. 2003) en su uso de las presas en la dieta y con táctica de caza oportunista. Además, el búho listado estaría proporcionando un servicio ecosistémico valioso como controlador de poblaciones de del roedor M. musculus una especie invasora en Ecuador, que además de plaga suelen ser portadora de enfermedades (Gollop et al. 1993, Lowe et al. 2000, Lobos et al. 2005, Kross et al. 2016). Nuestro estudio también da a conocer por primera vez al anuro Ceratophrys stolzmanni Steindachner, 1882 (Ceratophryidae) como componente dietético del búho listado. Entre los anfibios, los anuros de las familias Hylidae, Leptodactylidae y otros fueron reportados en la dieta del búho listado en Brasil por Motta-Junior et al. (2004) y en Colombia por Delgado et al. (2005).
Finalmente, considerando que en el presente trabajo se encontró un alto número de presas por egagrópila y diferente composición de presas en la dieta del búho listado en un ambiente seco en Ecuador, destaca la importancia de realizar estudios de dieta en otros ambientes y áreas de distribución. Asimismo, estudios complementarios que incluyan evaluaciones a largo plazo de las especies nativas e invasoras, tratando variables como uso de hábitat, conducta, densidad y dinámica poblacional ayudará a comprender la interacción y sus efectos sobre el ambiente.
Agradecimientos
Agradecemos a Jonathan Aguirre y Glenda Pozo por su valiosa ayuda en la identificación de las presas de insectos y aves. Glenda Pozo, Juan Freile y Patricio Mena-Valenzuela gentilmente colaboraron con la identificación del búho listado. También agradecemos a Martina Carrete, Katherine Renton y dos revisores anónimos por sus valiosos comentarios y sugerencias para la mejora de la calidad del manuscrito. JA agradece al Proyecto Prometeo de la Secretaria de Educación Superior, Ciencia Tecnología e Innovación (SENESCYT) de la República del Ecuador. Por favor incluir: Este estudio fue financiado por el proyecto UPSE 91870000.0000.382442
Literatura citada
Aguiar KMO, Naiff RH. 2009. Aspectos reprodutivos e dieta alimentar dos ninhegos de Rhinoptynx clamator (Aves: Strigidae) no campus Marco Zero da Universidade Federal do Amapá, Macapá-AP. Acta Amazónica 39:221-224.
Andrews P. 1990. Owls, caves and fossils. Predation, preservation, and accumulation of small mammal bones in caves, with an analysis of the Pleistocene cave faunas from Westbury-sub-Mendip, Somerset UK. University of Chicago Press, Chicago, USA.
Baladrón AV, Bó MS. 2017. Dieta anual del lechuzón orejudo (Asio clamator) en el límite Austral de su distribución. Ornitología Neotropical 28:51-57.
Bolnick DI, Svanbäck R, Fordyce JA, Yang LH, Davis JM, Hulsey CD, Forister ML. 2003. The ecology of individuals: incidence and implications of individual specialization. American Naturalist 161:1-28. https://doi.org/10.1086/343878
Brito J, Camacho MA, Romero V, Vallejo AF. 2021. Mamíferos del Ecuador. Versión 2021.0. Museo de Zoología, Pontificia Universidad Católica del Ecuador. <https://bioweb.bio/faunaweb/mammaliaweb/>. [consultado el 21 de octubre de 2021].
Chaline J, Baudvin H, Jammot D, Saint-Girons M. 1974. Les proies des rapaces. DOlN Editores, París.
Chinchero M, Medina-Torres B, Herrera X. 2013. Sistema de clasificación de los ecosistemas del Ecuador continental: región litoral. Ministerio del Ambiente del Ecuador. Quito, pp.34-74.
Davis D. 1959. The Barn Owl’s contribution to ecology and palaeoecology. Journal of African Ornithology 3:144-153.
Delgado-V CA, Pulgarín-R P, Calderón-F D. 2005. Análisis de egagrópilas del búho rayado (Asio clamator) en la ciudad de Medellín. Ornitología Colombiana 3:100-103.
Freile J, Castro F, Varela S. 2012. Estado de conocimiento, distribución y conservación de las aves rapaces nocturnas en Ecuador. Ornitología Neotropical 23:235-244.
Gollop JH, Katz AR, Rudoy RC, Sasaki DM. 1993. Rat-bite leptospirosis. Western Journal of Medicine 159:76-77.
Hammer Ø, Harper D, Ryan PD. 2001. PAST: Paleontological statistics software package for education and data analysis. Palaeontologia Electronica 4:9.
Herrera CM, Jaksic FM. 1980. Feeding ecology of the Barn Owl in central Chile and southern Spain: a comparative study. Auk 97:760-767.
Isacch JP, Bó MS, Martínez MM. 2000. Food habits of the Striped Owl (Asio clamator) in Buenos Aires province, Argentina. Journal of Raptor Research 34:235-237.
Krebs CJ. 1999. Ecological methodology. 2 ed. Menlo Park, California: Benjamin/Cummings.
Kross SM, Bourbour RP, Martinico BL. 2016. Agricultural land use, Barn Owl diet, and vertebrate pest control implications. Agriculture, Ecosystems and Environment 223:167-174.
Levins R. 1968. Evolution in changing environments. Princeton, NJ: Princeton University Press.
Libiois R. 1984. Le régime alimentaire de la chouette effraie. Cahiers d’Écologie appliquée, 4, Liège.
Lo Coco G, Courtalon P, Bó R. 2012. Análisis de egagrópilas del Lechuzón Orejudo (Pseudoscops clamator) en la zona de Islas de Victoria, entre ríos, Argentina. Nuestras Aves 57:19-21.
Lobos G, Ferres M, Palma RE. 2005. Presencia de los géneros invasores Mus y Rattus en áreas naturales de Chile: un riesgo ambiental y epidemiológico. Revista Chilena de Historia Natural 78:113-124.
Lowe S, Browne M, Boudjelas S, De Pooter M. 2000. 100 of the world’s worst invasive alien species a selection from the global invasive species database. Published by The Invasive Species Specialist Group (ISSG) a specialist group of the Species Survival Commission (SSC) of the World Conservation Union (IUCN), Auckland, New Zealand.
Magrini L, Facure KG. 2008. Barn Owl (Tyto alba) predation on small mammals and its role in the control of hantavirus natural reservoirs in a periurban area in southeastern Brazil. Brazilian Journal of Biology 68:733-740.
Manning RW, Jones JK. 1990. Remains of small mammals recovered from Barn Owl pellets from Crosby county, Texas. Texas Journal of Science 42:311-312.
Martínez M, Isacch JP, Donatti F. 1996. Aspectos de la distribución y biología reproductiva de Asio clamator en la provincia de Buenos Aires, Argentina. Ornitología Neotropical 7:157-161.
Massoia E. 1988. Análisis de regurgitados de Rhinoptynx clamator del partido de Marcos Paz, provincia de Buenos Aires. Boletín científico Aprona 7:4-16.
Montenegro JA, Acosta A, Reimer JD. 2014. HaviStat© v2.2: Application to estimate preference for habitat and resources. Universitas Scientarium 19:333-337.
Motta-Junior JC, Alho CJR, Belentani SCS. 2004. Food habits of the Striped Owl Asio clamator in south-east Brazil. En: Chancellor R, Meyburg BU (eds.). Raptors worldwide: proceedings of the VI world conference on birds of prey and owls. World Working Group on Birds of Prey and Owls. Budapest: MME BirdLife Hungary.
Narosky T, Di Giacomo A. 1993. Las aves de la provincia de Buenos Aires: distribución y estatus. Asociación Ornitológica del Plata, Vázquez Mazzini Editores y LOLA, Buenos Aires.
Pautasso AA. 2006. Dieta del Búho Listado Orejudo (Asio clamator) en el centro y este de la provincia de Santa Fe, Argentina. Ornitología Neotropical 17:289-293.
Pautasso AA, de la Peña MR. 2001. Observaciones sobre la biología reproductiva de Asio clamator en el centro de Argentina. El Hornero 16:43-46.
Rau J. 2000. Métodos de ecología trófica. En Muñoz Pedreros A, Yáñez J (eds.). Mamíferos de Chile. Valdivia, Chile: CEA Ediciones.
Redpath SM, Clarke R, Madders M, Thirgood SJ. 2001. Assessing raptor diet: comparing pellets, prey remains, and observational data at Hen Harrier nests. Condor 103:184-188.
Riaño J, Paqui MF, Córdoba-Córdoba S, Sánchez F. 2017. Nest and chicks of Pseudoscops clamator (Aves: Strigidae) in the highland plateau of the Sabana de Bogotá, Colombia. Acta Biológica Colombiana 22(1):105-109.
Ron SR, Merino-Viteri A. Ortiz DA. 2021. Anfibios del Ecuador. Version 2021.0. Museo de Zoología, Pontificia Universidad Católica del Ecuador. https://bioweb.bio/faunaweb/amphibiaweb>. [consultado el 10 de febrero de 2021].
Teixeira R, Giovanelli M. 1999. Ecology of Tropidurus torquatus (Sauria: Tropiduridae) of a sandy coastal plain of Guriri, São Mateus, ES. Brazilian Journal of Biology 59:11-18.
Torres-Carvajal O, Pazmiño-Otamendi G, Ayala-Varela F, Salazar-Valenzuela D. 2021. Reptiles del Ecuador. Versión 2021.0. Museo de Zoología QCAZ, Pontificia Universidad Católica del Ecuador. <https://bioweb.bio/faunaweb/reptiliaweb>. [consultado el 10 de noviembre de 2021].
Yalden DW, Morris PA. 2003. The analysis of owl pellets. London: Mammal Society.
Notas
Notas de autor
* Autor de correspondencia: jorgeyakuma@yahoo.es