Artículos
Recepção: 17 Maio 2022
Revised document received: 29 Março 2023
Aprovação: 24 Abril 2023
DOI: https://doi.org/10.19053/01233769.14336
Resumen:
Este artículo presenta los resultados del análisis polarimétrico, a través de una imagen de radar de apertura sintética (SAR) con cuatro polarizaciones utilizando la herramienta SAR polarimetry target analysis, realizado a las coberturas de la tierra obtenidas con la metodología Corine Land Cover y verificándolas con imágenes de sensores pasivos en un área de la sabana de Bogotá, como resultado del quehacer investigativo del Núcleo de Investigaciones en Datos Espaciales (NIDE) y su semillero, Grupo de Investigaciones en Percepción Remota y Sistemas de Información Geográfica GEIFER , de la Universidad Distrital Francisco José de Caldas.
Debido a las condiciones climáticas colombianas, que no permiten obtener datos de manera frecuente a partir de sensores pasivos para la generación y actualización de cartografía básica y temática, este grupo de investigación se ha visto en la necesidad de analizar y evaluar la utilización de fuentes de datos de sensores activos, como los radares, para garantizar la consecución de información necesaria para el monitoreo territorial, como los mapas de uso y cobertura de la tierra. Dentro de este contexto, las imágenes de radar de apertura sintética han venido siendo utilizadas por muchas instituciones internacionales y, con mucha menos asiduidad, por las nacionales, aplicando habitualmente una sola polarización, lo que genera mayor dedicación en los trabajos de campo y pos edición. Es precisamente la posibilidad actual de poder trabajar con cuatro polarizaciones lo que direccionó al equipo de trabajo a realizar un análisis de este tipo de imágenes adoptando uno de los sistemas de clasificación más utilizado en el país, el Corine Land Cover. Para ello, se escogen referentes teóricos polarimétricos y módulos de software comercial, como SAR polarimetry target analysis (SFTA) de Catalyst, una marca de PCI Geomatics.
Palabras clave: Cobertura de la tierra, Corine, polarización, polarimetría, radar, SAR, geografia.
Abstract: This article presents the results of the polarimetry analysis, through a synthetic aperture radar (SAR) image with four polarizations using the SAR polarimetry target analysis tool, carried out on the land covers obtained with the Corine Land Cover methodology and verifying them with images from passive sensors in an area of the Bogotá savannah, as a result of the research work of the Spatial Data Research Centre (NIDE) and its Research Group on Remote Sensing and Geographic Information Systems GEIPER, of the Francisco José de Caldas District University. Due to the Colombian climatic conditions, which do not allow obtaining data frequently from passive sensors for the generation and updating of basic and thematic cartography, this research group has seen the need to analyse and evaluate the use of data sources from active sensors, such as radars, to guarantee the achievement of information necessary for territorial monitoring, such as land use and land cover maps. Within this context, synthetic aperture radar images have been used by many international institutions and, much less frequently, by national ones, usually applying a single polarization, which generates greater dedication in field and post-editing work. . It is precisely the current possibility of being able to work with four polarizations that directed the work team to carry out an analysis of this type of images, adopting one of the most widely used classification systems in the country, the Corine Land Cover. For this, polarimetry theoretical references and commercial software modules are chosen, such as SAR polarimetry target analysis (SPTA) from Catalyst, a PCI Geomatics brand.
Keywords: Land cover, Corine, polarization, polarimetry, radar, SAR, geography.
Resumo: Este artigo apresenta os resultados da análise polarimétrica, através de uma imagem de radar de abertura sintética (SAR) com quatro polarizações usando a ferramenta SAR polarimetry target analysis, realizada nas coberturas terrestres obtidas com a metodologia Corine Land Cover e verificando-as com imagens de passivos sensores em uma área da savana de Bogotá, como resultado do trabalho de pesquisa do Centro de Pesquisa de Dados Espaciais (NIDE) e seu Grupo de Pesquisa em Sensoriamento Remoto e Sistemas de Informação Geográfica GEIPER, da Universidade Distrital Francisco José de Caldas. Devido às condições climáticas colombianas, que não permitem a obtenção frequente de dados de sensores passivos para a geração e atualização de cartografia básica e temática, este grupo de pesquisa viu a necessidade de analisar e avaliar o uso de fontes de dados de sensores ativos, como radares, para garantir a obtenção de informações necessárias ao monitoramento territorial, como mapas de uso e cobertura do solo. Nesse contexto, as imagens de radar de abertura sintética têm sido utilizadas por diversas instituições internacionais e, com muito menos frequência, pelas nacionais, geralmente aplicando uma única polarização, o que gera maior dedicação em trabalhos de campo e pós-edição. E precisamente a possibilidade atual de poder trabalhar com quatro polarizações que orientou a equipa de trabalho a efetuar uma análise deste tipo de imagens, adotando um dos sistemas de classificação mais utilizados no país, o Corine Land Cover. Para isso, são escolhidos referenciais teóricos polarimétricos e módulos de softwares comerciais, como o SAR polarimetry target analysis (SPTA) da Catalyst, marca da PCI Geomatics.
Palavras-chave: Cobertura do solo, Corine, polarização, polarimetria, radar, SAR, geografia.
1. Introducción
Contar con información actualizada de la cobertura y uso de la tierra constituye una herramienta fundamental para los procesos de actualización y seguimiento de los planes de ordenamiento territorial (POT) (Andrade, 1994; Hernández, 2010), ya que permite utilizar insumos confiables y verificables; es por ello que uno de los principales retos para los países en vías de desarrollo es generar información precisa y estandarizada tanto de las coberturas terrestres como una base de datos histórica del uso del suelo existente (Salvatierra et al., 2015). En aras de cumplir con este objetivo, en el año 2004 el Instituto de Hidrología, Meteorología y Estudios Ambientales (IDEAM), el Instituto Geográfico Agustín Codazzi (IGAC) y la Corporación Autónoma Regional del Río Grande de la Magdalena (Cormagdalena) acuerdan adoptar la metodología Corine Land Cover y adaptarla para Colombia, ya que permite asociar y comparar la información y facilita los análisis multitemporales de las coberturas del territorio, con la intención de convertirse en un método estándar para el país al ser acogido por las entidades del Sistema Nacional Ambiental (SINA) que generan información ambiental para múltiples propósitos (IDEAM et al., 2008; IDEAM, 2010; Organización de las Naciones Unidas para la Alimentación y la Agricultura [FAO], 2010; Corredor et al., 2011; Rodríguez & Peña, 2013).
En el proceso para obtener las coberturas de la tierra con la metodología Corine Land Cover se han utilizado solamente imágenes de sensores pasivos u ópticos de los programas Landsat 5 TM y Landsat 7 ETM, y en ocasiones se utilizaron imágenes de los programas SPOT, CBERS y ASTER, apoyados con fotografías aéreas (IDEAM, 2010; Corredor et al., 2011; Novoa & Aguilar, 2012; Rodríguez & Peña, 2013); no obstante, al utilizar únicamente sensores pasivos, esta valiosa información se ve limitada en su obtención debido a las cambiantes y diversas condiciones climáticas que se presentan en el territorio debido a la ubicación del país en la zona de convergencia intertropical, las variaciones altitudinales (de tal manera que el sistema orográfico es el principal determinante del clima en cada lugar), los vientos alisios, vientos locales, la extensión y situación del mar Caribe, del océano Pacífico y la corriente fría de Humboldt (Toro & Julio, 2000).
Estas condiciones hacen necesario que se realicen investigaciones orientadas a buscar alternativas de insumos, herramientas y procesos que permitan encontrar soluciones a la problemática manifestada. Es así como las imágenes obtenidas con radares de apertura sintética SAR toman interés en la comunidad científica, teniendo en cuenta que no tienen afectaciones severas para la consecución de datos de la superficie terrestre por condiciones climáticas adversas como las nubes, niebla, smog o lluvias, entre otras (Rahman & Tafur, 2017), se pueden lograr en ausencia de luz solar (Klran & Anjaneyulu, 2016) y permiten realizar el análisis para determinar las características o firmas polarimétricas de cada cobertura de la tierra con ayuda de programas de computación especializados.
El análisis polarimétrico se realiza a partir de descomposiciones polarimétricas, que son técnicas utilizadas para generar discriminadores basados en las polarizaciones de la imagen con fines de análisis, interpretación y clasificación de datos SAR (Penta et al., 2013; Vásquez, 2019). En el caso particular, se ejecutaron y analizaron los métodos de Cloude & Pottier (H/A/α/β) y Freeman & Durden, así como un análisis a partir de un reporte gráfico de copolarización.
El método de Cloude & Pottier (H/A/α/β)se fundamenta en la hipótesis de que las características de dispersión de polarización pueden ser representadas en el espacio de la entropía H y un ángulo de dispersión promedio a, mediante el análisis de valores propios de las matrices generadas (Cloude & Pottier, 1996; Vásquez 2019).
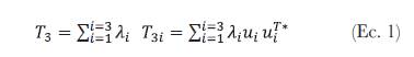
Es así como este método se fundamenta en un análisis de los autovalores de la matriz de coherencia T3, ya que proporciona la información necesaria para las descomposiciones polarimétricas incoherentes que se buscan (Clemente, 2012; Montero, 2010), cuyo modelo estadístico se basa en la existencia de un mecanismo de la forma de dispersión o scattering dominante (especular, volumen o doble rebote) para cada celda o píxel.
Ahora, si se obtienen los autovectores de la matriz de coherencia, T3 , como un conjunto de tres blancos no correlacionados (puede ser interpretado en términos de la cantidad de reflexiones pares e impares), se puede construir un modelo estadístico simple que consiste en la suma de tres blancos independientes T3 , donde cada uno se representa como una matriz de dispersión (Clemente, 2012; Montero, 2010), como se muestra en la ecuación 1:

Donde λi son los autovalores de T3 y representan los pesos estadísticos para los tres componentes T3i . Si solo uno de los autovalores es distinto de cero, entonces la matriz de coherencia T3 puede relacionarse con una matriz de dispersión simple; por otro lado, si todos los autovalores son iguales, la matriz T3 estará compuesta de tres mecanismos de dispersión ortogonales con igual amplitud, caso en el cual el blanco es denominado como aleatorio (Clemente, 2012; Montero, 2010). La condición principal para que la matriz T3 tenga una matriz de dispersión S es tener un autovalor distinto de cero (λ1); en este caso la matriz de coherencia es de rango igual a 1.
Según Clemente (2012), un modelo estadístico para el blanco puede ser representado como la suma de tres matrices S, compuesto por las columnas de la matriz unitaria 3 x 3 U3 , las cuales tienen pseudoprobabilidades Pi, como se muestra en las ecuaciones 2 y 3.

En este sentido, cualquier parámetro del blanco que siguiera una secuencia aleatoria podría estimarse mejor si se emplea la media de la secuencia, como se muestra en la ecuación 4:

De esta manera, la media de los parámetros de dispersión dominante es extraída de la matriz de coherencia como la media del blanco unitario u0 (ecuación 5).

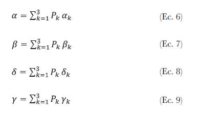
Donde ϕ es físicamente equivalente a la fase absoluta del blanco y los parámetros α, β, δ y γ son definidos por las siguientes ecuaciones:

A partir del análisis anterior, se puede decir que la entropía (H) representa la aleatoriedad del mecanismo de dispersión, es decir, el grado de desorden estadístico que caracteriza la dispersión del escenario observado. En este contexto, H = 0 indica un mecanismo de dispersión simple (isotropic scattering) mientras que H = 1 indica una mezcla aleatoria de mecanismos de dispersión que ocurren con la misma probabilidad. Por otro lado, la anisotropía (A) corresponde a un parámetro complementario a la entropía, este parámetro mide la importancia del segundo y tercer autovalor indicando un valor alto de anisotropía en dos mecanismos de dispersión dominantes con igual probabilidad y un tercer mecanismo menos significativo, mientras que un valor de anisotropía bajo correspondería a un primer mecanismo de dispersión dominante y dos mecanismos secundarios no despreciables con igual importancia (Roa, 2020; Ouarzeddine et al., 2006).
El parámetro α es un indicador del tipo de mecanismo de dispersión y toma valores entre 0 y 90 grados, que se interpretan así, según Roa (2020):
α = 0°, ui = (1, 0, 0) representa el vector de dispersión de una superficie isotrópica (es decir, hh = vv);
α = 45°, ui = (1 /√2, 1,0), representa el vector de dispersión de un dipolo, es decir, dispersión de volumen;
α = 90°, ui = (0, 1, 0) y así es el vector de dispersión representativo de un diedro (es decir, hh = -vv).
Entonces, a partir del denominado plano H/α es posible identificar, de forma macroscópica, el tipo de mecanismo de dispersión dominante, como se muestra en la Figura 1, el cual se encuentra dividido en nueve zonas características y hace posible clasificar el mecanismo de dispersión dominante así: las zonas 1, 4 y 7 corresponden a dispersión de doble rebote, las zonas 2, 5 y 8 a dispersión de volumen, las zonas 6 y 9 a dispersión de superficie y la zona 3 es no factible.
Por otro lado, el método de Freeman & Durden es una técnica basada en modelos que expresa la matriz de coherencia como una contribución, dada en porcentaje, de la presencia de tres mecanismos de dispersión en cada pixel de la imagen SAR, así:
El proceso gráfico se fundamenta en la representación canónica de los objetivos, lo que corresponde a una estructura geométrica simple cuya interpretación se hace más sencilla por la presencia de planos simétricos en las matrices usadas para representarlos (PCI Geomatics, 2018), como se observa en la Figura 2.
Las Figuras 2a y 2b, que corresponden a la esfera y al triedro respectivamente, se caracterizan por un número impar de rebotes de la onda, lo que resulta en una diferencia de fase de cero grados en la alineación de la retrodispersión, produciendo una dispersión uniforme para todas las polarizaciones lineales (X = 0°), lo que hace que HH = VV.
En el caso de la Figura 2c (diedro), se presenta un número par de rebotes presentando una diferencia de fase de 180 grados entre las polarizaciones HH y VV, en donde, HH = -VV; no obstante, los canales HH y VV tienen igual intensidad. Para el caso en donde el plano es rotado, se introduce una despolarización de la señal y los canales HV y VH ya no son igual a cero.
Para el dipolo, Figuras 2d, 2e y 2f, producirá fuerte retrodispersión en un solo canal de polarización de acuerdo a su orientación. Como en el diedro, es posible cancelar el efecto del ángulo Φ en los casos que no sean igual a cero (HH) o 90° (VV) (PCI Geomatics, 2018).
En este estudio se utilizó una imagen Radarsat 2 totalmente polarizada que fue ortocorregida y mejorada con un filtro para reducir el ruido o speckle; paso seguido, se ejecutaron los algoritmos de descomposición polarimétrica de Cloude & Pottier (H/A/α/β) y Freeman & Durden para realizar un análisis visual de coberturas de la tierra presentes en la zona, tomando como base para patronear la capa de coberturas del suelo obtenida una imagen Alos y una Landsat 7 ETM con fecha muy cercana a la imagen de Radarsat 2; por último, se realizó el análisis polarimétrico de estas a través del módulo SPTA, por su sigla en inglés, que pertenece al programa PCl-Catalyst profesional, con miras a obtener la firma polarimétrica de cada una de ellas.
2. Materiales y métodos
2.1. Área de estudio
El área de estudio se encuentra localizada en el centro del departamento de Cundinamarca, en jurisdicción de los municipios de Bogotá D. C., Cajicá, Chía, Cota, El Rosal, Facatativá, Funza, La Vega, Madrid, San Francisco, Subachoque, Supatá, Tabio, Tenjo y Zipaquirá, cubre una extensión aproximada de 795 km2 y se enmarcada en el cuadrante con coordenadas extremas (esquina superior derecha: latitud 74° 18' 11,9" W, longitud 5° 00' 00,7" N y esquina inferior izquierda: latitud 74° 00' 32,1" W longitud 4° 47' 48,7" W), con altitudes que van desde 1.529 hasta 3.680 metros sobre el nivel del mar. En la zona se encuentran cuatro distritos de manejo integrado, cinco reservas naturales de la sociedad civil, una reserva forestal protectora nacional y una reserva forestal protectora regional.
2.2. Materiales
El proceso de análisis polarimétrico se realiza sobre una imagen SAR del programa Radarsat 2, programa de la Agencia Espacial Canadiense, que fue tomada el 1 de septiembre de 2008. Las características técnicas de la imagen son: totalmente polarizada (HH, VV, HV, VH), longitud de onda de 5,6 cm (banda C), ángulo de incidencia (35,5° - 37,0°), ancho de toma 25 km, tamaño de pixel (Rango * Azimut) 5,2 m * 7,6 m, órbita ascendente (Figura 3).

Adicionalmente, se utilizó un modelo de elevación digital (DEM, por su sigla en inglés) del sensor Alos Palsar con espaciado de pixel de 12,5 m x 12,5 m y sistema de proyección UTM zona 18 norte con base en el elipsoide WGS84, obtenido a partir de imágenes SAR de fecha 1 de septiembre de 2013.
Por último, se tuvo en cuenta la capa de coberturas de la tierra obtenida con la metodología Corine Land Cover adaptada para Colombia a partir de una imagen Alos tomada el 17 de diciembre de 2008 y una imagen Landsat 7 ETM tomada el 28 de febrero de 2008, que se tomó como base para referenciar sobre la imagen Radarsat 2.
Los procesos realizados a la imagen SAR, como ortorrectificación, filtros, algoritmos de descomposición polarimétrica y análisis polarimétrico, se ejecutaron con el programa PCl-Catalyst profesional, que cuenta con el módulo SPTA.
2.3. Métodos
La metodología general se muestra en la Figura 4 y comienza con una revisión bibliográfica de temas relacionados con los conceptos físicos de SAR, polarización, polarimetría y descomposiciones polarimétricas.

Posteriormente se importó la imagen SAR en el programa PCl-Catalyst profesional. Paso seguido, se realizó el proceso de ortocorrección de la imagen SAR que permite eliminar las diferencias en los ángulos de incidencia y minimiza la desviación en las posiciones en terreno (Veljanovski et al., 2011), al tiempo que permite geolocalizar la imagen (asociarla a un sistema de proyección cartográfica). En este proceso se requiere como mínimo tener un modelo de elevación digital y puntos de control. Esta actividad se llevó a cabo utilizando el módulo OrthoEngine del programa PCl-Catalyst profesional, y como insumos se tuvieron el DEM de Alos Palsar y la metadata de la imagen SAR donde se almacenan las efemérides de los puntos de control.
Debido a que las imágenes SAR se ven afectadas por un efecto propio del sistema de apertura sintética llamado speckle cuyo principal efecto es el aumento de la intensidad de la señal (Vásquez, 2019; Oliver & Quegan, 2004; Edrosa, 2011), lo cual dificulta la interpretación de la imagen, se hace necesaria la aplicación de filtros adaptativos, los cuales buscan disminuir el moteado preservando los bordes y detalles (Vásquez, 2019; Buemi, 2012; Lee, 1981). Para este ejercicio en particular se utilizaron un filtro de Lee de 5 x 5 y un filtro Boxcar de 3 x 3.
Paso seguido, se aplicaron a la imagen SAR algoritmos de descomposición polarimétrica, en el caso específico, se ejecutaron y analizaron de manera visual los resultados obtenidos por los métodos de Cloude & Pottier (H/A/α/β) y Freeman & Durden.
Finalmente, de acuerdo con la metodología propuesta, se realizó el análisis polarimétrico a las coberturas de la tierra obtenidas a partir de imágenes ópticas del año 2008 con la metodología Corine Land Cover adaptada para Colombia en la zona de estudio, a través del módulo SPTA presente en el programa PCl-Catalyst profesional. Este análisis se llevó a cabo sobre la imagen SAR con filtro de Lee 5 x 5 a través de los métodos de Cloude & Pottier (H/A/α/β), Freeman & Durden y el proceso gráfico response plot de tipo copolarizado y escala normalizada.
3. Resultados
El análisis de resultados se presenta en dos enfoques: el primero corresponde al análisis visual de las características de las coberturas de la tierra sobre la imagen SAR a la que se le aplicaron las descomposiciones polarimétricas de Cloude & Pottier (H/A/α/β) y Freeman & Durden. El segundo análisis concierne a los resultados polarimétricos obtenidos de cada cobertura de la tierra luego de utilizar la herramienta SPTA que hace parte del programa PCl-Catalyst profesional.
3.1. Análisis visual de las imágenes SAR con descomposición polarimétrica
Imagen SAR con descomposición polarimétrica de Cloude & Pottier (H/A/α/β). La Figura 5 (a, b, c y d) muestra las cuatro capas resultado (entropía, anisotropía, ángulo a y ángulo p) de ejecutar el algoritmo de descomposición de Cloude & Pottier (H/A/α/β). Al generar la composición a color RGB, como se muestra en la Figura 5e, se logró realizar el análisis polarimétrico visual de las coberturas de la tierra presentes en el área de estudio con los siguientes resultados: en las zonas urbanas, cultivos confinados (invernaderos) y algunos cultivos transitorios domina principalmente la anisotropía (color verde), es decir que estas coberturas presentan dos tipos de dispersión dominante con la misma probabilidad de ocurrencia; la mayor parte de coberturas encontradas en la zona, como cuerpos de agua, arbustales densos, pastos limpios y cultivos transitorios, presentan alta entropía en la dispersión de las ondas, razón por la que toman tonos rojizos en la ilustración.

Imagen SAR con descomposición polarimétrica de Freeman & Durden. Al ejecutar el algoritmo de descomposición polarimétrica de Freeman & Durden sobre la imagen SAR se generan tres capas (dispersión de doble rebote, dispersión de volumen y dispersión de rugosidad de superficie) que se muestran en la Figura 6 (a, b, c). Con estas capas se generó una salida en RGB, como se muestra en la Figura 6d, para facilitar el análisis visual de las características polarimétricas de las coberturas de la tierra, en donde se encuentra lo siguiente.

Las zonas urbanas, construcciones y cultivos confinados (invernaderos) presentan alta dispersión de doble rebote; no obstante, también se observa alta dispersión en rugosidad de superficie; mientras que los cultivos transitorios, dependiendo del tipo de cultivo y estado vegetativo, presentan media dispersión de rugosidad de superficie.
La mayor parte de las coberturas presentes en la zona de estudio, como pastos, arbustales y algunos cultivos transitorios, se caracterizan por mostrar dispersión de volumen; los cuerpos de agua presentan dispersión de superficie especular, razón por la que su tono es oscuro.
3.2. Análisis polarimétrico utilizando el módulo SPTA
A continuación, se describen las características polarimétricas generales de copolarización (tomando como referencia la Figura 2), descomposición polarimétrica de Cloude & Pottier (H/A/α/β) (tomando como referencia la Figura 1) y la descomposición de Freeman & Durden para cada una de las coberturas terrestres presentes en la zona de estudio, de acuerdo con la capa de uso y cobertura de la tierra que se obtuvo con las imágenes de referencia de los sensores Alos y Landsat 7 ETM del año 2008. El resumen de las figuras generadas se muestra en la Tabla 1.

Tejido urbano continuo. La figura de copolarización presenta un comportamiento dipolo, lo que se traduce en una fuerte retrodispersión en un solo canal de polarización, para este caso, VV EL método de Cloude & Pottier (H/A/α/β) ubica la muestra tomada en la zona 5 con entropía media y dispersión por volumen, mientras que el método de Freeman & Durden determina que la dispersión de volumen es la predominante.
Cultivos anuales o transitorios. La figura de copolarización corresponde al comportamiento de un dipolo, lo que se traduce en una fuerte retrodispersión en un solo canal de polarización, para este caso, HH. EL método de Cloude & Pottier (H/A/α/β) ubica la muestra tomada en la zona 9 con baja entropía y dispersión de superficie e incluye la dispersión de superficies de Bragg, y la técnica de Freeman & Durden muestra que el método de dispersión de superficie o rugosidad es el que más aporta para determinar este tipo de cobertura terrestre.
Cultivos confinados. La figura de copolarización corresponde al comportamiento de un dipolo, lo que se traduce en una fuerte retrodispersión en un solo canal de polarización, para este caso, HH. El método de Cloude & Pottier (H/A/α/β) ubica la muestra en la zona 9 tendiendo más a ser dipolo con características de baja entropía y dispersión de superficie, lo cual es consecuente con el método de Freeman & Durden, en donde la dispersión debido a la rugosidad de superficie es la que más aporta.
Pastos limpios. La figura de copolarización corresponden al comportamiento de un dipolo, lo que se traduce en una fuerte retrodispersión en un solo canal de polarización, para este caso, HH; el método de Cloude & Pottier (H/A/α/β) ubica la muestra tomada en el límite de las zonas 5 y 6 con entropía media y dispersión de volumen, lo cual muestra coherencia con el método de Freeman & Durden, en donde la dispersión de volumen es la que más aporta.
Bosque natural denso. La respuesta de copolarización muestra tendencia a ser de dipolo, lo cual producirá fuerte retrodispersión en un solo canal de polarización de acuerdo a su orientación, para este caso, VV EL método de Cloude & Pottier (H/A/α/β) ubica la muestra tomada en la zona 5 con entropía media y dispersión por volumen, mientras que el de Freeman & Durden muestra que la dispersión de volumen es la dominante.
Bosque plantado. La figura de copolarización resultante muestra comportamiento que corresponde al diedro, en donde se presenta un número par de rebotes que presenta una diferencia de fase de 180 grados entre las polarizaciones HH Y VV; no obstante, los canales HH y VV tienen igual intensidad. El método de Cloude & Pottier (H/A/α/β) ubica la muestra en el límite de las zonas 4 y 5 con entropía media y dispersión por volumen, y el método de Freeman & Durden muestra que la dispersión de volumen es la que más aporte presenta, seguida por la de superficie.
Herbazal denso. La figura de copolarización resultante presenta tendencia a ser de dipolo, produce fuerte retrodispersión en un solo canal de polarización de acuerdo a su orientación y presenta polarización HH. DE acuerdo con el método de Cloude & Pottier (H/A/α/β), la muestra se ubica en el límite de las zonas 5 y 6 con entropía media y dispersión por volumen, lo cual muestra coherencia con el método de Freeman & Durden, en donde se observa que la dispersión de volumen y la de superficie presentan porcentajes similares.
Arbustal denso. La figura de copolarización resultante corresponde al diedro, en donde se presenta un número par de rebotes que presentan una diferencia de fase de 180 grados entre las polarizaciones HH y VV EL método de Cloude & Pottier (H/A/α/β) ubica la muestra tomada en la zona 5 con entropía media y dispersión por volumen, y el método de los parámetros de Freeman & Durden muestra que la dispersión de volumen es la que más aporta.
Aguas continentales. La gráfica de copolarización corresponde al diedro, en donde se presenta un número par de rebotes que presentan una diferencia de fase de 180 grados entre las polarizaciones HH y VV EL método de Cloude & Pottier (H/A/α/β) ubica la muestra tomada en la zona 4 con entropía media y dispersión por doble rebote, y el método de Freeman & Durden muestra que las dispersiones de doble rebote y volumen aportan de manera similar (44%) en esta cobertura terrestre.
4. Conclusiones
Contar con imágenes SAR totalmente polarizadas proporciona la posibilidad de aplicar algoritmos polarimétricos complejos, como los que se tuvieron en cuenta en esta investigación, cuyas capas resultado se pueden desplegar en composiciones en falso color o RGB. Esto facilita la realización de análisis visual y polarimétrico de las coberturas terrestres, como contribución para obtener la capa de uso y cobertura de la tierra utilizando la metodología Corine Land Cover adaptada para Colombia.
Al analizar el comportamiento polarimétrico de las coberturas seleccionadas a través del método de Cloude & Pottier, se obtuvo información valiosa acerca de los tipos de dispersión dominante en cada una de ellas, así: tejido urbano continuo, pastos limpios, bosque denso, bosque plantado, herbazal denso y arbustal denso presentan de manera general entropía media y dispersión por volumen, y el aumento de la entropía se debe a una distribución estadística central del ángulo de orientación. Los cultivos anuales o transitorios y los cultivos confinados presentan entropía baja y dispersión de superficie; no obstante, a pesar de presentar características similares, se diferencian porque existen variaciones en los valores del resultado.
Al evaluar el comportamiento polarimétrico de las coberturas de la tierra por el método de Freeman & Durden, la contribución de potencia predominante en el tipo de dispersión determinó que en el tejido urbano continuo, pastos limpios, bosque natural denso, bosque plantado, herbazal denso y arbustal denso la dispersión predominante es de volumen, mientas que en los cultivos transitorios o anuales y cultivos confinados predomina la dispersión de superficie, lo cual ratifica el comportamiento polarimétrico obtenido por el método de Cloude & Pottier.
Los resultados de los análisis polarimétricos realizados para las coberturas de la tierra en la zona de estudio permiten determinar, en primera instancia, características propias de dispersión de la señal relevantes para cada una de estas.
La información polarimétrica obtenida y analizada permitirá iniciar la construcción de una base de datos de firmas polarimétricas por parte del grupo NIDE para cada cobertura, lo que ayuda a acelerar la toma de decisiones con este tipo de imágenes en zonas nubosas, con condiciones atmosféricas desfavorables o de noche en el momento de realizar una interpretación de coberturas de la tierra con la metodología Corine Land Cover adaptada para Colombia.
Teniendo en cuenta que Colombia es un país con características biofísicas muy diversas, la cantidad de coberturas de la tierra que se encuentran en el territorio es amplia, de acuerdo con la leyenda Corine Land Cover adaptada para Colombia, y se hace necesario realizar el análisis polarimétrico en diferentes regiones del país.
Aunque se ha avanzado favorablemente en la investigación del uso de las imágenes SAR para obtener coberturas de la tierra, aún existen limitantes que no se han podido solucionar debido a la forma como se envía y se recibe la señal para la captura de estas imágenes, principalmente en las zonas con relieve abrupto, en donde se generan zonas con alta intensidad de la señal (muy brillante o layover) o zonas sin información (sombras).
Referencias
Andrade, A. (1994). El ordenamiento territorial en el Instituto Geográfico Agustín Codazzi. Comisión de Ordenamiento Territorial. Instituto Geográfico Agustín Codazzi.
Buemi, M. E. (2012). Tratamiento de imágenes de radar de apertura sintética mediante filtros stack. [Tesis doctoral, Facultad de Ciencias Exactas y Naturales]. Universidad de Buenos Aires.
Clemente, V (2012). Análisis de mecanismos de dispersión polarimétricos para el estudio y caracterización de cultivos agrícolas. [Tesis de licenciatura]. Universidad Politécnica de Cataluña.
Cloude, S. R. & Pottier, E. (1996).A review of target decomposition theorems in radar polarimetry. IEEE Transactions on Geoscience and Remote Sensing,34(2), 498-518.
Corredor Gil, L. P, Cárdenas Quiroga, E. A., & Ordóñez López, J. C. (2011). Aplicación de la metodología Corine Land Cover en la determinación de los cambios de cobertura en el parque natural los flamencos. Ciencia e Ingeniería Neogranadina, 21(2), 153-167.
Edrosa, M. (2011, November). Aplicación de la teledetección para el monitoreo de eventos hídricos superficiales mediante imágenes Cosmo Sky Med. [Tesis de maestría]. Universidad Nacional de Córdoba, Instituto de Altos Estudios Espaciales Mario Gulich.
Fang, C. & Wen, H. (2005). A new classification method based on Cloude Pottier eigenvalue/eigenvector decomposition. In Proceedings. 2005 IEEE International Geoscience and Remote Sensing Symposium, 2005. IGARSS'05 (vol. 1, 4 pp.). IEEE.
Hernández, Y T. (2010). El ordenamiento territorial y su construcción social en Colombia: ¿un instrumento para el desarrollo sustentable? Cuadernos de Geografía, 19, 97-109.
Instituto de Hidrología, Meteorología y Estudios Ambientales (IDEAM), Instituto Geográfico Agustín Codazzi (IGAC) & Corporación Autónoma Regional del Río Grande de la Magdalena (Cormagdalena) (2008). Mapa de cobertura de la tierra cuenca Magdalena-Cauca.Metodología Corine Land Cover adaptada para Colombia a escala 1:100.000. Instituto de Hidrología, Meteorología y Estudios Ambientales, Instituto Geográfico Agustín Codazzi y Corporación Autónoma Regional del Río Grande de la Magdalena.
Instituto de Hidrología, Meteorología y Estudios Ambientales (IDEAM) (2010). Leyenda nacional de coberturas de la tierra. Metodología Corine Land Cover adaptada para Colombia escala 1:100.000. Instituto de Hidrología, Meteorología y Estudios Ambientales.
Klran, D. & Anjaneyulu, L. (2016). Eigen Value and Eigen Vector Based Decomposition and Wishart Supervised Classification on Fully Polarimetric SAR Data. Indian Journal of Science and Technology, 9(S1), 1-6.
Lee, J. S. (1981). Refined filtering of image noise using local statistics. Computer Graphics and Image Processing, 15(4), 380-389.
Montero Muñoz, I. (2010). Análisis de datos SAR polarimétricos para el estudio y caracterización de zonas agrícolas. [Tesis de licenciatura]. Universidad Politécnica de Cataluña.
Novoa, C. M. & Aguilar, D. A. (2012). Metodología para la actualización del mapa de coberturas de la tierra. IDEAM.
Oliver, C. & Quegan, S. (2004). Understanding synthetic aperture radar images. SciTech Publishing.
Organización de las Naciones Unidas para la Alimentación y la Agricultura (FAO). (2010). Evaluación de los recursos naturales mundiales 2010. Informe nacional, Colombia. FRA2010/043. FAO.
Ouarzeddine, M., Souissi, B., & Belhadj-Aissa, A. (2006, April). Target detection and characterization using h/alpha decomposition and polarimetric signatures. In 2"dInternational Conference on Information & Communication Technologies (vol. 1, pp. 395-400). IEEE.
PCI Geomatics. (2018). SAR Processing whit Geomatics. Training Guide. PCI Geomatics.
Penta, B., Varghese, A. O., Rao, K. N., & Joshi, A. K. (December 4-6, 2013). Analysis of synthetic aperture radar polarimetric decomposition methods for land cover interpretation. [Conference]. ISRS and ISG - National Symposium on Remote Sensing and GIS for Environment with Special Emphasis on Marine and Coastal Dynamics, At Vishakhapattanam, India.
Rahman, M. R. & Thakur, P. K. (2017). Detecting, mapping and analysing of flood water propagation using synthetic aperture radar (SAR) satellite data and GIS: A case of study from the Kendrapa District of Orissa State of India. The Egyptian Journal of Remote Sensing and Space Sciences, 21 (S1), 37-41.
Roa, Y. L. B. (2020). Evaluación de las capacidades interferométricas y polarimétricas de los datos adquiridos por el Instrumento Aerotransportado SARAT (banda-L). [Doctoral dissertation]. Consiglio Nazionale delle Ricerche.
Rodríguez, J. & Peña, V (2013). Análisis de dinámicas de cambio de las coberturas de la tierra en Colombia, escala 1:100.000, periodos 2000-2002 y 2005-2009. IDEAM.
Salvatierra, C., Escudero, E., Jiménez, M., & Weidmann, G. (2015). Técnicas de interpretación visual de la cobertura y uso de la tierra con metodologías basadas en sistemas de clasificación Corine Land Cover. Revista Jornadas de Investigación, 7, 48.
Toro, M. &Julio, C. (2000). Estado del arte y análisis deperspectivas sobre la producción de frutas en el occidente de Colombia. Pronatta.
Van Zyl, J. J. & Zebker, H. A. (1990). Polarimetric radar system design. In F. Ulaby & C. Elachi (eds.), Radar polarimetry for geoscience applications (pp. 273-313), Norwood, MA, Artech House.
Vásquez, L. (2019). Diseño de una metodología de clasificación de coberturas de manglar empleando imágenes SAR polarimétricas. [Tesis de maestría]. Universidad Católica de Manizales.
Veljanovski, T., Lamovec, P., Pehani, P, & Ostir, K. (2011). Comparison of three techniques for detection of flooded areas on Envisat and Radarsat-2 satellite images. ISPRS Journal of Photogrammetry and Remote Sensing. https://www.isprs.org/proceedings/2011/Gi4DM/PDF/op13.pdf
Notas