Artículos
Recepção: 29 Junho 2022
Revised document received: 23 Maio 2023
Aprovação: 31 Maio 2023
DOI: https://doi.org/10.19053/01233769.14525
Resumen: En este estudio se analizaron los principales cambios en la cobertura y uso de suelo que se presentaron en el área de influencia de Parque Natural Regional Páramo de Paja Blanca en el período 2005-2020, el cual comprende un área de trabajo de 17.328,4 hectáreas, distribuidas en siete municipios del sur de Nariño (Colombia): Pupiales, Iles, Gualmatán, Guachucal, Contadero, Ospina y Sapuyes, los cuales se ubican en la zona fisiográfica conocida como Nudo de los Pastos y su área forma parte de los ecosistemas denominados altoandinos. Se siguieron los parámetros de clasificación de coberturas expuestos en la metodología Corine Land Cover adaptada para Colombia, dentro del periodo establecido (2005-2020), y la leyenda de usos agropecuarios del suelo de la Unidad de Planificación Rural Agropecuaria (UPRA). En los resultados, se obtuvieron un total de 16 coberturas para el año 2020 y 13 unidades para el año 2005. En relación con el uso del suelo para este período, hubo un total de seis usos (residencial-comercial, pecuario, agrícola, agropecuario, forestal y agroforestal). Partiendo de lo anterior, se identificaron 15 tipos de cambio, tanto para cobertura como de uso del suelo, que permitieron establecer nueve causas con los factores que provocaron dichos cambios.
Palabras clave: Sistemas de información geográfica, cobertura, montaña, uso del suelo, geografía.
Abstract: This study analysed the main changes in land cover and land use that occurred in the area of influence of the Páramo de Paja Blanca Regional Natural Park in the period 20052020, which includes a work area of 17,328.4 hectares. , distributed in seven municipalities in the south of Nariño (Colombia): Pupiales, Iles, Gualmatán, Guachucal, Contadero, Ospina and Sapuyes, which are located in the physiographic zone known as Nudo de los Pastos and its area is part of the ecosystems called altoandinos. The coverage classification parameters set out in the Corine Land Cover methodology adapted for Colombia were followed, within the established period (2005-2020), and the legend of agricultural land uses of the Rural Agricultural Planning Unit (UPRA). In the results, a total of 16 coverages were obtained for the year 2020 and 13 units for the year 2005. Regarding land use for this period, there were a total of six uses (residential-commercial, livestock, agricultural, agricultural, forestry and agroforestry). Based on the above, 15 types of change were identified, both for coverage and land use, which allowed establishing nine causes with the factors that caused these changes.
Keywords: Geographic information systems, coverage, mountain, land use, geography.
Resumo: Este estudo analisou as principais mudanças na cobertura e uso da terra que ocorreram na área de influência do Parque Natural Regional Páramo de Paja Blanca no período 2005-2020, que inclui uma área de trabalho de 17.328,4 hectares. , distribuídos em sete municípios do sul de Nariño (Colômbia): Pupiales, Iles, Gualmatán, Guachucal, Contadero, Ospina e Sapuyes, que estão localizados na zona fisiográfica conhecida como Nudo de los Pastos e sua área faz parte dos ecossistemas chamados alto andinos. Foram seguidos os parâmetros de classificação de cobertura estabelecidos na metodologia Corine Land Cover adaptada para a Colômbia, dentro do período estabelecido (2005-2020), e a legenda de usos da terra agrícola da Unidade de Planejamento Agropecuário Rural (UPRA). Nos resultados, obteve-se um total de 16 coberturas para o ano de 2020 e 13 unidades para o ano de 2005. Quanto ao uso do solo para este período, houve um total de seis usos (residencial-comercial, pecuária, agrícola, agrícola, florestal e agroflorestal). Com base no exposto, foram identificados 15 tipos de alteração, tanto de cobertura quanto de uso do solo, o que permitiu estabelecer nove causas com os fatores que causaram essas alterações.
Palavras-chave: Sistemas de informação geográfica, cobertura, montanha, uso da terra, geografia.
1. Introducción
En el páramo Paja Blanca, durante muchos años, se han presentado diferentes procesos o actividades que llevaron a su declaratoria como área protegida, por lo cual en esta investigación se planteó analizar los cambios más relevantes que se han presentado en la zona, haciendo énfasis en la cobertura y uso del suelo. En consecuencia, se evidenció que una de las principales actividades desarrolladas en la zona y que afectan el área natural corresponde a la expansión de la frontera agropecuaria, calificada por Paz et al. (2015) como la expresión de un capitalismo agrario inspirado en el agronegocio.
Como mencionan Plaza-Ortega et al. (2017), con el paso acelerado de las actividades antrópicas sobre ecosistemas de alta montaña, instituciones e investigadores han aunado esfuerzos para caracterizar estos ambientes con el fin de conocer el estado de conservación. En este sentido, en el área de estudio se encuentran ecosistemas de alta montaña que son lugares privilegiados por sus paisajes y la variedad de especies de flora y fauna que albergan. Adicionalmente, el Parque Natural Regional (PNR) PÁramo de Paja Blanca hace parte de las áreas protegidas y estas también se consideran de alta fragilidad, pues recursos naturales como el suelo sufren cambios de cobertura que se hacen evidentes con actividades como la ganadería o la agricultura principalmente.
En este contexto, se planteó como objetivo de investigación "analizar los cambios en la cobertura y el uso de suelo que se han presentado en el área de influencia de Parque Natural Regional Páramo de Paja Blanca en el periodo 2005-2020". Para ello, se partió de dos postulados o hipótesis iniciales: 1) una vez se declara Paja Blanca como área protegida, se hace necesario conocer qué procesos de regeneración o restauración se dieron en esta zona, esperando que las coberturas naturales propias de los ecosistemas de alta montaña hayan incrementado su superficie; 2) por otro lado, se espera que la ampliación de la frontera agropecuaria se haya presentado en ciertos sectores aledaños al PNR, ya que desde años atrás se han establecido monocultivos y áreas ganaderas sobre los 3.200 m s. n. m. porque estas actividades son fundamentales en la economía de los siete municipios que hacen parte del área de estudio.
Por tal motivo, la realización de este análisis se hizo utilizando herramientas asociadas a los sistemas de información geográfica y corroborándolas con la información primaria y secundaria que se recolectó a lo largo de la investigación. Con ello se logró establecer la cobertura y uso del suelo para los años 2005 y 2020 y el cambio total que se presentó durante este período para definir las causas y los factores que conllevaron esta dinámica durante los 15 años de referencia.
Este estudio se centró en el área declarada como Parque Natural Regional Páramo de Paja Blanca, la cual se ubica al centro sur del departamento de Nariño (Colombia), en la zona fisiográfica conocida como Nudo de los Pastos. Cuenta con una extensión total de 3.107 hectáreas distribuidas en 24 veredas de la parte alta de siete municipios: Gualmatán, Contadero, Iles, Ospina, Sapuyes, Guachucal y Pupiales (Corporación Autónoma Regional de Nariño [Corponariño], 2015).
Para la delimitación del área de estudio se tuvieron en cuenta una serie de criterios que hacen parte del objetivo de esta investigación, en donde se destaca el componente biofísico, partiendo principalmente del nivel altitudinal. De esta manera, para determinar el área de estudio se consideró el límite del PNR y la zona con función amortiguadora propuesta por la Universidad de Nariño y Corponariño (2011), la cual cuenta con una superficie total de 17.328,4 hectáreas (Figura 1).

Cabe anotar que una de las principales problemáticas del uso del suelo que se presenta por parte de las diferentes comunidades asentadas en el área de influencia de este PNR se relaciona con actividades como la tala, la cual genera alteraciones en la composición Dinámica de la cobertura y uso del suelo del Parque Natural Regional Páramo de Paja Blanca (Nariño, Colombia) natural de los recursos, principalmente en el área de bosque, porque afecta sus funciones ecológicas. La tala selectiva es una actividad forestal utilizada con frecuencia que ha demostrado tener un menor impacto sobre la biodiversidad que la tala generalizada (Restrepo et al., 2016).
Por último, es importante agregar que, desde el punto de vista geográfico, la relevancia de este estudio radica en que sus resultados sirven como base para la identificación de problemáticas tanto ambientales como sociales y de esta forma puede contribuir en la toma de decisiones en la planificación regional y local, teniendo en cuenta que este páramo es de alta importancia hídrica para los municipios del suroccidente del departamento de Nariño.
2. Materiales y métodos
Es importante anotar que el período de estudio se definió a partir del documento Declaratoria del Parque Natural Regional Páramo de Paja Blanca, territorio sagrado del pueblo de los Pastos, Nariño-Colombia. Propuesta técnica (Corponariño & Universidad de Nariño, 2010), que sirvió como base para que esta área fuese declarada por el Consejo Directivo de Corponariño, mediante el acuerdo 010 del 28 de mayo de 2015, como parque natural regional, con una extensión de 3.107 hectáreas. Teniendo en cuenta esto, el análisis se realiza entre los años 2005-2020, ya que se hizo necesaria la comparación entre los años previos a la declaratoria y el año más reciente con el fin de evidenciar el cumplimiento o no de los compromisos establecidos entre las alcaldías, asociaciones comunitarias y Corponariño respecto a los procesos de uso y conservación de esta zona. En consecuencia, el trabajo descrito en el presente artículo se desarrolló en las tres fases que se presentan a continuación.
2.1. Primera fase: recopilación de información bibliográfica y cartográfica
Se revisó y seleccionó información secundaria relacionada con trabajos de grado, proyectos institucionales y artículos científicos realizados en el área de estudio, con el fin de obtener un acercamiento y conocimiento sobre esta, e información cartográfica para conocer el estado en el que se encuentra el área protegida y la zona de influencia. Se contó con información cartográfica base generada por el Instituto Geográfico Agustín Codazzi.
2.2. Segunda fase: procesamiento de la información y generación de productos cartográficos
Se utilizaron diferentes procesos y software como ArcGIS 10.3 (el cual fue facilitado por la Universidad de Nariño) para la elaboración de los mapas. Se usaron imágenes Spot 5 para el año 2005, sensor HRS (High Resolution Stereoscopic) con la combinación 4, 1, 3, y adicional a esto se trabajó con una imagen Aster VNIR 2005, con una resolución de 15 m para cubrir en su totalidad el área de estudio, así como una imagen Sentinel 2A del año 2020, sensor multiespectral y una combinación de bandas 11, 8, 2 con la cual se trabajó el año 2020. Estas dos imágenes cuentan con una resolución espacial de 10 metros.
Según Fujisada (1995), citado por Vargas Gonzales (2013), las imágenes Aster están compuestas por 3 subsistemas VNIR, SWIR y TIR; cada uno de estos presenta características particulares, tales como 3 bandas en la región espectral del visible e infrarrojo cercano (VNIR) con una resolución espacial de 15 m; 6 bandas en la región espectral del infrarrojo de onda corta (SWIR) con una resolución espacial de 30 metros y 5 bandas en el infrarrojo térmico con una resolución espacial de 90 m. En este caso, se utilizó la imagen VNIR con resolución de 15 m y las bandas 1, 2, 3N, BN, la cual permitió obtener un mayor detalle.
El proceso incluyó: preprocesamiento (layer stacking y corrimiento de imágenes), correcciones (geométrica, atmosférica y radiométrica), realce y clasificación. El proceso layer stacking consistió en cargar las bandas de cada imagen para crear archivos individuales en formato TIFF y posteriormente se hicieron las combinaciones necesarias. En el registro (corrimiento) de las imágenes obtenidas de los años 2005-2020, se desplegó en modo layer multibanda y se verificó la correspondencia en sus datos de proyección y de tamaño de pixel, asignándose el sistema de referencia espacial Origen Único Nacional (CTM12).
Posteriormente, se realizó una clasificación supervisada, según lo explicado por Borràs et al. (2017), como parte de un grupo de elementos pertenecientes a la imagen de los que se conoce con un nivel de exactitud. Se utilizó la barra Image Classification y se realizaron tomas de muestras de polígonos con la herramienta Draw Polygon de cada una de las coberturas observadas en las imágenes.
Para la clasificación de cobertura de la tierra se empleó la metodología Corine Land Cover adaptada para Colombia (Instituto de Hidrología, Meteorología y Estudios Ambientales [IDEAM], 2010), la cual propone una clasificación jerárquica. En cuanto a la unidad mínima de mapeo, la metodología establece que debe estar acorde con el sensor, por lo tanto, en la adaptación que se hizo para Colombia se estableció que las superficies por cartografiar debían tener un mínimo de 25 hectáreas y 50 metros para el ancho de elementos lineales en escala 1:100.000 (IDEAM, 2010). Debido a que la escala de trabajo de esta investigación es de 1:25.000, la unidad mínima de mapeo se redujo 16 veces, de acuerdo a la relación areal de las escalas, razón por la cual la superficie de dicha unidad de trabajo fue de 1,56 hectáreas, lo cual otorga un mayor nivel de detalle en la información.
En lo correspondiente al uso del suelo, en esta investigación se tuvo en cuenta la metodología diseñada por la Unidad de Planificación Rural Agropecuaria (UPRA, 2015) y para la identificación de los cambios de cobertura y uso se consideraron las recomendaciones de la leyenda Corine Land Cover adaptada para Colombia (IDEAM, 2010), en las cuales la unidad mínima de mapeo para los cambios debe corresponder a la raíz cuadrada de la unidad mínima establecida para la cobertura. De esta manera, al calcular la raíz cuadrada de 1,56 ha utilizada para elaborar la cartografía de coberturas de la tierra se obtiene un valor de 1,25 ha, el cual se utilizó para identificar los cambios de cobertura y uso en el período de referencia.
2.3. Tercera fase: trabajo de campo
Consistió en la verificación de coberturas, principalmente mediante la observación. Esta se realizó con la capa de coberturas del año 2020 para confirmar su identificación y delimitación, en la cual se seleccionaron 20 puntos por cada unidad de cobertura. Si bien Congalton, Lumetta, Fenstermaker, Jensen, McWire y Tinney, citados por Muñoz-Guerrero (2017), sugieren recoger 50 puntos para cada unidad incluida en el mapa, debido a la extensión del área se decidió generar los puntos anteriormente mencionados porque las áreas de las unidades cartográficas son bastante pequeñas.
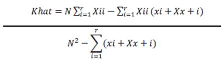
De esta manera, se evaluó la clasificación generada con el índice kappa (k), que es una forma muy confiable para conocer la exactitud del mapa. Este mide la diferencia entre la realidad observada y el punto que se generó al azar. Según Morales-Hernández y Carrillo-González (2016), se organiza en n° de filas por n° de columnas, donde las filas corresponden a las clases referenciadas (verificación en campo) y las columnas corresponden a las clases del mapa (error asociado); a este error se le denomina de inclusión o comisión porque representa aquellas áreas que se asignaron a dicha categoría sin pertenecer a ella. El error asignado a las filas (verdadero) se denomina error de exclusión u omisión.

Este índice es más exacto que la matriz de confusión porque incluye en sus cálculos los valores de esta y no solamente sus extremos, como subraya Cohen, citado por Muñoz-Guerrero (2017), tal como se describe en la siguiente fórmula (ecuación 1):

Donde:
i = dimensión de la matriz (número de clases);
aii = número de observaciones en la línea i, columna i;
ai. y a.i = total marginal de línea i y de columna i;
n = número total de observaciones.
Para validar los resultados obtenidos a través del modelo para el año 2020, se obtuvo una capa ráster de las coberturas definidas para este año; seguido a esto, se elaboró en campo un muestreo que consistió en la toma de 20 puntos GPS por cada unidad de cobertura del área de estudio y luego se los ingresó al programa ArcGIS 10.3 para ser comparado con los obtenidos anteriormente (20 puntos simulados para cada tipo de cobertura).
3. Resultados y discusión
3.1. Cobertura del suelo
La clasificación de la cobertura de la tierra en el área de influencia del Parque Natural Regional Páramo de Paja Blanca se realizó con la metodología Corine Land Cover adaptada para Colombia, escala 1:100.000, en un área total de 17.328,4 ha, la cual está organizada de manera jerárquica, y se definieron cinco tipos de unidades de cobertura (territorios artificializados, territorios agrícolas, bosques y áreas seminaturales, áreas húmedas y superficies de agua). Este estudio se realizó a escala 1:25.000, con una unidad mínima de mapeo de 1,56 hectáreas; así, entonces, las coberturas con área inferior se anexan a la unidad vecina.
Aunque se realiza una descripción de la cobertura y uso del suelo, la investigación se basa en los cambios generados en el período 2005-2020. En este sentido, para el año 2020 se cuenta con un total de 16 coberturas y para el año 2005 con 13 coberturas correspondientes a territorios artificializados, territorios agrícolas, bosques y áreas seminaturales, y superficies de agua (Figura 2).

De esta manera, las coberturas encontradas en el área de estudio están divididas en cuatro grupos, el primero de ellos referente a territorios artificializados localizados principalmente en los centros urbanos. En la Tabla 2 se pueden observar en detalle los aspectos más relevantes, como el área de cada unidad por año.

El segundo grupo (Tabla 3) corresponde a territorios agrícolas; este tipo de cobertura es el de mayor ocupación en el área de estudio, puesto que la unidad de mosaico de pastos y cultivos representa un 66,5%. Esto debido a que las principales actividades desarrolladas en estos municipios corresponden al sector agropecuario, en el cual se incluyen cultivos como papa y arveja y ganadería bovina.

En el grupo tres se encuentran los bosques y áreas seminaturales que se localizan en la parte alta del área de estudio, principalmente en el Parque Natural Regional Páramo de Paja Blanca (Tabla 4).

Cabe mencionar que el estudio tuvo como prioridad las coberturas del tercer grupo debido a su ubicación y extensión, ya que el área protegida cumple con una función ecosistémica que beneficia a las diferentes comunidades de este territorio. En el grupo cinco solo se encuentra una sola cobertura perteneciente a lagunas; aunque esta no cumple con la unidad mínima (1,56 ha), hace parte de los procesos de conservación de la zona. Tanto para el año 2020 como para el 2005 se registran 0,2 ha con un 0,001% del total del área de estudio.
3.2. Uso del suelo
Para determinar el uso que le ha dado el ser humano a la tierra, se tuvo en cuenta la información incluida en los mapas de la cobertura del suelo; para los siguientes mapas, se utilizó la metodología de la UPRA (2015).
Esto ayuda a que el procedimiento en el área de estudio sea preciso a la hora de realizar el análisis. Esta metodología tiene en cuenta una serie de reglas generales para la delimitación de las unidades y unas más precisas para la separación de los usos, lo cual facilita la interpretación de los conceptos. Teniendo en cuenta lo anterior y considerando las características del área de estudio en el período 2005-2020, se determinaron seis clases generales de uso del suelo, entre las que se encuentran: residencial-comercial, pecuario, agrícola, agropecuario, forestal y agroforestal (Figura 3).

En términos generales, el uso del suelo del área de influencia del PNR Páramo de Paja Blanca corresponde en mayor porcentaje al uso agropecuario y además se han adecuado parte de estas zonas para la ganadería con doble propósito (carne y leche), lo que permite la combinación de las dos principales actividades económicas de la zona y mejora los ingresos de las familias campesinas.

3.3. Cambios de la cobertura de la tierra
En este análisis se encuentran los tipos de cambio previamente identificados para el período 2005-2020, donde se agruparon las coberturas del suelo de acuerdo con los tres primeros niveles de la leyenda nacional de coberturas de la tierra adaptada para Colombia (CLCC).
Así mismo, los cambios identificados en las coberturas del suelo se agrupan en 15 tipos directamente relacionados con tres de los cinco niveles de la leyenda nacional de coberturas de la tierra adaptada para Colombia, pero con la característica de trabajar con su segundo nivel. La unidad mínima de mapeo para este caso es 1,25 ha (raíz cuadrada de 1,56 ha), y teniendo en cuenta que la escala de trabajo es 1:25.000, exige mayor detalle.
En el área de estudio se cuantificaron 17.328,4 ha (100%), pero únicamente se presentaron cambios en 4.095 ha que corresponden al 24% del área total. Si bien el criterio establecido para el análisis de los cambios de cobertura del suelo corresponde a un orden jerárquico, a continuación se mencionan los tres tipos de cambios más representativos.
Áreas agrícolas heterogéneas a otro tipo de áreas agrícolas heterogéneas
Bosque a otro tipo de bosque
Áreas agrícolas heterogéneas a pastos
De este modo, se presenta el mapa de cambios de manera general, donde se pueden observar los 15 tipos de cambio de cobertura del suelo, teniendo en cuenta el área de cambio (4.095 ha). Cada uno tiene un color para diferenciarse, a excepción de los que pasan de una cobertura a otro tipo de esta, que tienen color amarillo, pero se pueden identificar con su código, como referencia para dar a conocer que el cambio no es muy drástico porque se presenta en un mismo tipo de cobertura (Figura 4).

En relación al área del Parque Natural Regional Páramo Paja Blanca, se determinaron 12 cambios. De esta manera, de las 3.107 ha que corresponden al área protegida, 727,6 ha (23% del área del PNR) presentaron cambios en la cobertura del suelo, donde el más significativo es el de bosque a otro tipo de bosque.
3.4. Cambios en el uso del suelo
Se describen de manera general los tipos de cambios identificados para el período 2005- 2020, donde se agrupan los usos del suelo de acuerdo al orden que establece la leyenda de usos agropecuarios del suelo de la UPRA. Haciendo un análisis de los usos presentes en el área de estudio, es importante agregar que los cambios identificados en el uso del suelo se agrupan en 15 tipos directamente relacionados con cinco de los seis usos generales que se encuentran en la zona. La unidad mínima de mapeo para este caso también es de 1,25 ha (raíz cuadrada de 1,56 ha), teniendo en cuenta la escala de trabajo 1:25.000. Los grupos de cambios se establecieron de la siguiente manera:
De residencial-comercial a otro tipo de residencial-comercial
De agrícola a agropecuario, pecuario y forestal
De pecuario a agrícola, agropecuario y forestal
De agropecuario a residencial-comercial, pecuario, agrícola y forestal
De forestal a agropecuario, otro tipo de forestal y agroforestal
De agroforestal a agropecuario
Por otro lado, es importante mencionar que los tipos de cambio de agroforestal a agrícola y de forestal a agroforestal son los de mayor ocupación en el área de estudio. Estos se deben tener en cuenta ya que exponen la ampliación de la frontera agropecuaria en esta zona debido a la adecuación de zonas ya sea naturales o seminaturales para cultivos principalmente, lo cual afecta de diversas maneras el área de PNR.
De esta forma, y teniendo en cuenta los 15 tipos de cambio que ocurrieron en el período 2005-2020, se presenta el mapa de cambios (Figura 5), donde cada tipo se diferencia de manera general con un color, a excepción de los que pasan de un uso a un mismo uso del suelo, los cuales se encuentran en color amarillo y en la leyenda se da a conocer su área en hectáreas y su respectivo porcentaje. Para diferenciarlos de manera más sencilla, se le asignó un código a cada uno de estos.

En lo que respecta al área del Parque Natural Regional Páramo de Paja Blanca, se identificaron 9 de los 15 cambios correspondientes al uso del suelo, por lo cual, de las 3.107 ha de esta área protegida, cambiaron 547,5 ha (que representan en el 18% del PNR), donde el más significativo es de forestal a agropecuario.
3.5. Causas y factores que incidieron en los cambios de cobertura y uso del suelo
Se identifican y describen, en orden de afectación, nueve causas con sus factores, los cuales influyeron en los cambios de la cobertura y uso del suelo en el área de estudio. Una causa se entiende como una situación, acción o fenómeno, ya sea de origen antrópico o natural, que se genera por el cambio de cobertura o uso del suelo a otro; de la misma manera, un factor se entiende como una circunstancia que contribuye a producir dicho cambio en una zona determinada (Pinza & Leytón, 2017).
Algunos procesos que inciden en el cambio de la cobertura y uso del suelo no se identifican como una causa específica, esto quiere decir que se pueden encontrar cambios con orígenes multicausales y por esto se abordan las causas y factores que más influencia tuvieron en los procesos de cambio.
3.5.1. Intervención agrícola
La frontera agraria corresponde a los territorios transformados por la actividad agropecuaria. Es también un territorio en formación en el que el trabajo modifica el entorno y crea nuevos paisajes. Por consiguiente, es un fenómeno geográfico, cuyo estudio permite reconstruir uno de los aspectos básicos en la relación hombre-medio (Fernández Muñoz, 2003). Para el desarrollo de actividades agrícolas, los campesinos utilizan agroquímicos, que se consideran sustancias de uso común para favorecer y mejorar el desarrollo de cultivos e incrementar la producción (Guzmán-Plazola et al., 2016), aunque pueden llegar a deteriorar los suelos.
En el período de estudio (2005-2020), las coberturas remplazadas fueron pastos limpios y mosaico de pastos y cultivos. Sapuyes es el municipio donde se presentaron los mayores cambios de cobertura y uso del suelo para este tipo de intervención, que se ubican principalmente en la vereda Alto San Jorge, es decir, en la parte baja y media del área de estudio, por debajo de los 3.300 m s. n. m. También se observa en el municipio de Guachucal, en la vereda La Palma, muy cerca al límite del PNR Páramo de Paja Blanca, a una altura superior a los 3.200 m s. n. m., y en Pupiales, en las veredas El Mirador y Fuelamuesquer, ubicadas en la parte alta y baja del área de estudio, sin superar los 3.350 m s. n. m.
3.5.2. Intervención agropecuaria
Según Apollin y Eberrhart (1999), citados por Verdezoto y Viera (2018), un sistema de producción agropecuaria es la unión de diversos subsistemas: "los de cultivo, definidos a nivel de las parcelas explotadas de manera homogénea, con las mismas tecnologías y sucesiones de siembras (en este sentido se distinguen varios sistemas agrícolas dentro de un proceso productivo); y los de crianza, definidos a nivel de hatos o rebaños de animales" de una misma especie preferiblemente. Este sistema es conocido como producción familiar, ya que en este se basa su economía.
La causa se relaciona con la combinación de actividades agrícolas y pecuarias presentes en diversos procesos para la adecuación del suelo, para darle paso a la siembra de cultivos y el pastoreo de ganado, y como resultado se obtienen mosaicos de pastos y cultivos. Además, se aclara que en esta causa se abordan los cambios generados únicamente sobre coberturas de territorios agrícolas, como pastos limpios, mosaico de cultivos y mosaico de cultivos, pastos y áreas naturales. La afectación directa o indirecta en coberturas de bosque y áreas seminaturales se aborda más adelante en las causas de deforestación.
En el período 2005-2020, esta causa estuvo presente en Pupiales; este es el municipio que mayor cambio presentó, donde la intervención agropecuaria se ubicó tanto en la parte alta como en la parte baja del área de estudio, sin superar los 3.300 m s. n. m.
3.5.3. Deforestación
Según Sasaki y Putz (2009), citados por Armenteras et al. (2018), la degradación de bosques involucra el cambio de bosques a otros tipos de cobertura de la tierra, donde se desmontan total o parcialmente las coberturas de bosque y áreas seminaturales para la ampliación de la frontera agropecuaria principalmente.
Esta se presentó en cinco coberturas de bosque y áreas seminaturales, al incorporar actividades con uso de suelo agrícola, pecuario, agropecuario y agro-forestal. Para el período de referencia, se presentó un cambio en 599,7 ha de coberturas de bosque y áreas seminaturales que fueron deforestadas para darle paso a un uso agropecuario o agroforestal en los siete municipios que conforman el área de estudio.
De esta manera, el cambio más significativo se presenta en el municipio de Gualmatán, donde el bosque denso altoandino cambió a bosque fragmentado con pastos y cultivos principalmente, ubicado dentro del área del PNR Páramo de Paja Blanca a una altura entre 3.300 y 3.400 m s. n. m.
3.5.4. Explotación forestal
Según la Organización Internacional de las Maderas Tropicales (OIMT, 2002), una de las causas más comunes de alteración de los bosques o áreas de páramo es la explotación forestal inducida por el ser humano y entre las actividades que más se desarrollan están la extracción de madera, la tala de selectiva, principalmente con fines comerciales, incendios forestales y adquisición de frutos, entre otros, lo cual conlleva el deterioro del ecosistema. En el área de estudio, la principal actividad forestal es la tala de árboles para aprovechar la madera como leña para el consumo doméstico, lo cual ha provocado que el bosque denso altoandino haya cambiado su cobertura a arbustal denso. Este cambio se presenta en los siete municipios que conforman el área de estudio.
En el período de estudio, la explotación forestal se cuantificó en 536,8 ha, en su mayoría dentro del área de PNR Páramo Paja Blanca, lo cual ha provocado un cambio en la cobertura natural propia de este ecosistema. El municipio con mayor explotación forestal es Iles, principalmente en las veredas El Común y El Mirador, sobre la cota de los 3.300 m s. n. m.
3.5.5. Intervención pecuaria
Esta causa de cambio se relaciona con el desarrollo de actividades ganaderas dedicadas a la leche principalmente; por esta razón los suelos de uso agrícola o los de uso agropecuario se acondicionan para establecer pastos limpios. Además, se determinó que este tipo de cobertura surge como resultado de dos circunstancias: la primera, la producción ganadera es mucho más rentable, ya que los suelos no necesitan agroquímicos como en el caso de los cultivos, y la segunda es por la interferencia de factores como el climático, especialmente el fenómeno de El Niño, que en diferentes épocas del año afecta la siembra (Pinza & Leytón, 2017).
La intervención pecuaria afectó en mayor proporción los mosaicos de pastos y cultivos en un 84% y en un 16% a los mosaicos de cultivos en los 15 años que comprende este estudio, en los siete municipios. De estos, el que presentó mayor cambio es Sapuyes.
3.5.6. Regeneración
La regeneración es la acción de restablecer parcial o totalmente la composición, estructura y función de la biodiversidad que hayan sido alteradas o degradadas (UPRA, 2018). Otro concepto para tener en cuenta es el de Muñoz (2017), que establece la regeneración como una característica fundamental para asegurar la sostenibilidad del recurso florístico a través del tiempo. En este orden de ideas, se presenta la influencia de dos factores: 1) cuando se deja que las coberturas se regeneren libremente, principalmente la vegetación nativa; y 2) la incorporación de especies propias de esta zona. De esta forma, la regeneración se presentó principalmente en el tránsito de un uso de suelo agropecuario a agroforestal o forestal.
En el área de estudio, Corponariño ha realizado varias capacitaciones sobre los procesos de siembra y el cuidado de estas especies arbóreas y a esto se suman orientaciones sobre la separación y disposición de residuos, especialmente los derivados del cultivo de papa. Corponariño ha llevado a cabo el proyecto de estufas ecoeficientes en algunos municipios, con el fin de optimizar el uso de la leña; a cambio, los beneficiarios sembraron huertos. Estas estufas tienen tres fines: contribuir en la disminución de la deforestación, mejorar los niveles de salud y crear huertas de leña.
3.5.7. Urbanización
Según Merlotto et al. (2012), la urbanización es el desarrollo territorial, económico y social que provoca una transformación radical de la cobertura y uso del suelo, el cual generalmente se encuentra ocupado por vegetación boscosa o mosaico de pastos y cultivos. La urbanización se evidencia en el crecimiento de centros urbanos principalmente, procesos determinados por factores relacionados por los esquemas de ordenamiento territorial (EOT) de cada municipio, donde el área de expansión determinada ocupa espacios dedicados a actividades agropecuarias.
En el área de estudio, se dio un incremento tanto del suelo urbano como del rural y el tejido urbano continuo aumentó durante 15 años en 70,1 ha sin afectar el PNR PÁramo de Paja Blanca. Para el caso del tejido urbano discontinuo, este amplió su superficie en 23,5 ha y en las veredas Santo Domingo (Contadero) y Cuatis (Gualmatán) ha llegado a cuantificarse un cambio total de 102,8 ha dedicadas a la urbanización de los municipios. El principal cambio fue de mosaicos de pastos y cultivos a tejido urbano continuo.
3.5.8. Sucesión vegetal
La sucesión vegetal hace referencia a la evolución natural que sucede en un ecosistema por su dinámica, en la cual se reemplazan los organismos que lo integran a lo largo del tiempo debido a la influencia de varios factores, principalmente naturales, que pueden ser bióticos o abióticos, y se puede presentar un estado progresivo o regresivo, cuya característica es la sustitución de una especie por otra (Sabattini & Sabattini, 2018).
De acuerdo con lo anterior, en el área de estudio el cambio se generó en coberturas localizadas en el ecosistema paramuno y se manifestó en la vegetación herbácea o arbustiva, la cual sufre una adaptación a arbustal o bosque denso altoandino, propio de los ecosistemas de alta montaña, donde el herbazal denso cambia a algún tipo de bosque o el arbustal denso a bosque denso. Estos cambios se presentaron hasta los 3.600 m s. n. m.
La sucesión vegetal es muy reducida en el área de estudio, con tan solo 84,4 ha, incluyendo la superficie declarada como PNR presente en los siete municipios.
3.5.9. Paramización
Este fenómeno se presenta cuando las especies de páramo que son altamente competitivas y se limitan a elevaciones superiores a los 3.200 o 3.500 m s. n. m. ocupan alturas inferiores a lo habitual. La paramización determina la aparición de sectores situados dentro de la selva andina, donde vegetación boscosa original ha sido sustituida por vegetación propia del ecosistema de páramo (Vargas, 2011).
En el período 2005-2020 se colonizaron 38,3 ha de coberturas entre los 3.200 y 3.500 m s. n. m., las cuales cambiaron a herbazal denso de tierra firme no arbolado y en menor proporción a herbazal denso de tierra firme con arbustos. En este orden, el municipio que presentó mayor paramización fue Pupiales, donde la vegetación boscosa o arbustiva pasó a herbazal denso de tierra firme no arbolado en el flanco occidental del PNR PÁramo Paja Blanca en alturas entre los 3.400 y 3.600 m s. n. m. EN Gualmatán el cambio se presentó en el Valle de los Frailejones, donde el herbazal sustituyó al arbustal.
4. Conclusiones
En la cobertura actual del suelo del área de estudio, correspondiente a 17.328,4 ha, se encontraron cuatro de los niveles de cobertura correspondientes a la metodología Corine Land Cover adaptada para Colombia, entre ellos, zonas urbanizadas con 199,0 ha, territorios agrícolas con 13.469,6 ha, bosques y áreas seminaturales con 3.659,6 ha y superficies de agua con 0,2 ha. Sobresalen los territorios agrícolas, principalmente la cobertura de mosaicos de pastos y cultivos, la cual corresponde a 11.528,5 ha equivalentes al 66,5% del total del área de estudio. En segundo lugar, se encuentra el bosque denso altoandino con 1.602,7 ha, es decir, un 9,2%, y en tercer lugar el mosaico de cultivos, con 1.077,0 ha (6,2%), que presenta el páramo de Paja Blanca.
La mayor parte del uso del suelo que se encuentra en el área de estudio corresponde al uso agropecuario. Teniendo como base la metodología de la UPRA, en el año 2005 había una extensión de 12.285,2 ha y para el año 2020 se contó con 11.528,5 ha. Teniendo como referencia este período, en la parte productiva se generó un incremento en el sector agrícola: en un inicio se contaba con 583,3 ha y para el año 2020 con 1.077 ha. Caso contrario para los sectores pecuario y agropecuario, que disminuyeron en 207 y 756,7 ha respectivamente. Esto como consecuencia de la ampliación de los cultivos, donde hubo un cambio de vocación notoria al sector agrícola por la influencia de los factores económicos.
Teniendo en cuenta el uso del suelo que se presenta en área de estudio, se establecieron dos tipos de factores principales que ocasionan los cambios: en primer lugar, se encuentran los antrópicos, como la rotación de cultivos y la expansión de la frontera agropecuaria, que provocaron la aparición de áreas seminaturales dentro del PNR que a lo largo de los años han afectado cada vez más el área de amortiguamiento. En segundo lugar se encuentran los factores de tipo natural, como el fenómeno de El Niño que afecta el sector productivo y económico de los siete municipios y genera un cambio de vocación.
En relación con la cobertura de bosques y áreas seminaturales, se encontraron los siguientes cambios: de bosque a otro tipo de bosque (464 ha), de bosque a áreas con vegetación herbácea o arbustiva (134,3 ha), de áreas con vegetación herbácea o arbustiva a bosques (116,8 ha) y de áreas con vegetación herbácea o arbustiva a otro tipo de áreas con vegetación herbácea o arbustiva (53,5 ha), que representan un total de 18,8% de cambio. Estos cambios se dan en la parte alta del área de estudio, aproximadamente a los 3.200 m s. n. m., y son de gran importancia ya que se encuentran cerca al límite del PNR; además, se presentan entre coberturas naturales, lo cual evidencia la alta competencia que hay entre las especies de ecosistemas de alta montaña.
El cambio de uso de suelo con mayor extensión en el área de estudio es de agropecuario a agrícola, con 838,6 ha que representan un 21,4%. En relación al área, este cambio es de gran importancia, y aunque no se ubica en la parte alta, da paso a una vocación de suelo netamente agraria y deja a un lado el sector pecuario. En segundo lugar, se observa el cambio de forestal a agroforestal con 691,2 ha que representan un 17,7% a lo largo del área de estudio, tanto en el área natural protegida como en los límites cercanos a esta, lo cual afecta el área de bosque que rodea al páramo.
En el área de estudio se encuentran dos procesos internos en la franja de páramo que, a pesar de contar con áreas muy pequeñas, son relevantes en este ecosistema de alta montaña y por ende deben mencionarse. El primero hace referencia a la paramización, que cuenta con un área total de 38,3 ha, donde se encuentra una transformación de arbustal denso a herbazal denso de tierra firme no arbolado en 15,1 ha; de bosque denso altoandino a herbazal denso de tierra firme no arbolado en 8,4 ha; de mosaico de pastos y cultivos a herbazal denso de tierra firme no arbolado en 1,3 ha; de mosaico de cultivos, pastos y espacios naturales a herbazal denso de tierra firme no arbolado en 3,9 ha; y, por último, de arbustal denso a herbazal denso de tierra firme con arbustos en 9,6 ha. En segundo lugar está la sucesión vegetal, con 84,4 ha. Dentro de esta causa, el principal cambio se da de arbustal denso a bosque denso, con 47,1 ha, herbazal denso de tierra firme no arbolado a bosque denso altoandino, con 5,7 ha, herbazal denso de tierra firme no arbolado a bosque fragmentado con pastos y cultivos, con 13,6 ha, herbazal denso de tierra firme con arbustos a arbustal denso, con 6 ha, y herbazal denso de tierra firme no arbolado a arbustal abierto mesófilo, con 12 ha. Cabe mencionar que estos cambios son positivos para el PNR porque con ellos se conservan las coberturas del páramo propiamente dicho.
En el período establecido para este estudio, se implementaron estrategias de conservación por parte de Corponariño, entidad encargada del manejo del PNR. Para el año 2020, se han encontrado algunas zonas nuevas de bosque que han reemplazado áreas anteriormente ocupadas por pastos y cultivos, que ocupan un total de 355,8 ha que representan el 9% del área total de cambio. A pesar de ser zonas reducidas, muestran unos indicadores positivos para el área de estudio, evidenciando así que los diferentes programas y proyectos planteados por la Corporación Autónoma Regional de Nariño sí han dado buen resultado tras la declaratoria del área protegida.
Referencias
Armenteras, D., González, T. M., Meza, M., Ramírez-Delgado, J. P., Cabrera, E., Galindo, G., & Yepes, A. (Eds.). (2018). Causas de degradación forestal en Colombia: una primera aproximación. Universidad Nacional de Colombia Sede Bogotá; Instituto de Hidrología, Meteorología y Estudios Ambientales de Colombia (IDEAM); Programa ONU-REDD. http://documentacion.ideam.gov.co/openbiblio/bvirtual/023781/Causas.pdf
Borràs, J., Delegido, J., Pezzola, A., Pereira, M., Morassi, G., & Camps-Valls, G. (2017). Clasificación de usos del suelo a partir de imágenes Sentinel-2. Revista de Teledetecaón, 48, 55-66. http://doi.org/10.4995/raet.2017.7133
Corporación Autónoma Regional de Nariño y Universidad de Nariño (2010). Declaratoria del Parque Natural Regional Páramo de Paja Blanca, territorio sagrado del pueblo de los Pastos, Nariño-Colombia. Propuesta técnica. Edinar. http://corponarino.gov.co/expedientes/intervencion/biodiversidad/documentotecnicodeclaratoriapajablanca.pdf?fbclid=IwAR23qVzuFBCluF3QcHAx0DnYWCku-QvA6h5gL4oceIvoaRNimNN69SWaMBU
Corporación Autónoma Regional de Nariño (2015, mayo 28). Acuerdo 010, "Por el cual se declara el páramo de Paja Blanca como Parque Natural Regional". http://corponarino.gov.co/expedientes/direccion/acuerdos/acuerdo01028052015.pdf
Fernández Muñoz, S. (2003). El Bajo Neuquén. La transformación de un espacio natural en un territorio en la Patagonia Argentina. [Tesis de doctorado]. Universidad Autónoma de Madrid.
Guzmán-Plazola, P., Guevara-Gutiérrez, R., Olguín-López, J., & Mancilla-Villa, O. (2016). Perspectiva campesina, intoxicaciones por plaguicidas y uso de agroquímicos. Idesia(Arica), 34(3), 67-78. https://doi.org/10.4067/S0718-34292016000300009
Instituto de Hidrología, Meteorología y Estudios Ambientales (IDEAM) (2010). Leyenda nacional de coberturas de la tierra. Metodología Corine Land Cover adaptada para Colombia a escala 1:100.000. IDEAM.
Merlotto, A., Piccolo, M. C., & Bértola, G. R. (2012). Crecimiento urbano y cambio del uso/ cobertura del suelo en las ciudades de Necochea y Quequén, Buenos Aires. Revista de Geografía Norte Grande, 53, 159-176. https://doi.org/10.4067/S0718-34022012000300010
Morales-Hernández, J. & Carrillo-González, F. (2016). Cambio de cobertura vegetal en la región de Bahía de Banderas, México. Revista Facultad de Ciencias, Universidad Nacional, 38(1), 17-29. https://doi.org/10.15446/caldasia.v38n1.57831
Muñoz, J. (2017). Regeneración natural: una revisión de los aspectos ecológicos en el bosque tropical de montaña del sur del Ecuador. Bosque Latitud Cero, 7(2), 130-143.
Muñoz-Guerrero, D. A. (2017). Transformaciones y prospectivas del paisaje en el páramo Paja Blanca, Nariño, Colombia. Perspectiva Geográfica, 22(2), 47-66. https://doi.org/10.19053/01233769.7598
Organización Internacional de las Maderas Tropicales (OIMT) (2002). Directrices de la OIMT para la restauración, ordenación y rehabilitación de bosques tropicales secundarios y degradados. Serie de Políticas Forestales n° 13. OIMT.
Paz, R., Lipshitz, H., Zerda, H., & Tiedeman, J. (2015). Estructura agraria, áreas de concentración de la agricultura familiar y procesos de expansión de la frontera agropecuaria en Santiago del Estero, Argentina. Revista Nera, 18(27), 259-279. https://doi.org/10.47946/rnera.v0i27.3383
Pinza, C. & Leytón M. (2017). Cambios en la cobertura del suelo en el volcán Galeras; departamento de Nariño, periodo 19892015. [Tesis de pregrado]. Universidad de Nariño, San Juan de Pasto, Colombia.
Plaza-Ortega, V., Valencia-Rojas, M., & Figueroa-Casa, A. (2017). Aplicación del índice integrado relativo de antropización (INRA), en un ecosistema de alta montaña. Luna Azul, 44, 80-93. https://doi.org/10.17151/luaz.2017.44.6
Restrepo, I. C., Aldana, A. M., & Stevenson, P R. (2016). Dinámica de bosques en diferentes escenarios de tala selectiva en el Magdalena Medio (Colombia). Colombia Forestal, 19(2), 195-208. https://doi.org/10.14483/udistrital.jour.colomb.for.2016.2.a05
Sabattini, J. A. & Sabattini, R. A. (2018). Sucesión vegetal y restauración ecológica. Revista Científica Agropecuaria, 22(1-2), 31-53. https://doi.org/10.1007/s13744-017-0513-3
Unidad de Planificación Rural Agropecuaria (UPRA) (2015). Leyenda de usos agropecuarios del suelo a escalas mayores a la escala 1:25.000. UPRA.
Unidad de Planificación Rural Agropecuaria (UPRA) (2018). Metodología para la identificación general de la frontera agrícola en Colombia. UPRA.
Universidad de Nariño & Corporación Autónoma Regional de Nariño (Corponariño) (2011). Delimitación de la zona amortiguadora del PNR Páramo de Paja Blanca. Caracterización socioeconómica y ambiental del área de estudio). Pasto, Colombia
Vargas Gonzales, C. (2013). Identificación de depósitos utilizando el sensor Aster. Geología Colombiana, 38, 149-157. https://revistas.unal.edu.co/index.php/geocol/article/view/22513
Vargas, O. (2011). Restauración ecológica: biodiversidad y conservación. Acta Biológica Colombiana, 16(2), 221-246.
Verdezoto, V. & Viera, J. (2018). Caracterización de sistemas de producción agropecuarios en el proyecto de riego Guarguallá-Licto, cantón Riobamba, provincia de Chimborazo. Ciencias Agrarias, 11(1), 45-53. https://doi.org/10.18779/cyt.v11i1.220
Notas