Estudios e Investigaciones

Recepción: 06 Junio 2015
Aprobación: 29 Septiembre 2015
DOI: https://doi.org/https://dx.doi.org/10.11600/1692715x.14238060615
Resumen: En este artículo exponemos una reflexión acerca de la condición juvenil, y se centra la atención en la relación entre la condición juvenil diferenciada de los estudiantes universitarios y el uso de sustancias psicoactivas. Se argumenta que, si bien la condición juvenil es diferenciada frente a las prácticas de consumo de sustancias psicoactivas se homogenizan las diferencias. Lo anterior se sustenta a partir del caso de una universidad regional. El artículo se desarrolla en dos momentos: en el primero, se aborda el inicio, escalamiento y diversificación del uso de sustancias psicoactivas; en el segundo, se desarrolla la relación con la condición juvenil a partir de la construcción de cuatro categorías. Para lo anterior, se utiliza un cuestionario de la Cicad/OEA, y con ello se busca profundizar en las circunstancias sociales de los usuarios y usuarias, más allá de su experiencia estudiantil universitaria, al tiempo que se busca desnaturalizar la concepción etaria al transformarla en una cualidad social y no en una condición biológica del sujeto.
Palabras clave: Joven, condición social, sexo, universidad, sustancia alucinógena, consumo (Tesauro de Ciencias Sociales de la Unesco).
Abstract: This article develops a reflection regarding the youth condition, focusing on the relation between the differentiated youth condition of university students and the use of psychoactive substances. The authors argue that while the youth condition is differentiated internally, in regards to the practices of the consumption of psychoactive substances, these differences are homogenized. This argument is based on the case of a regional university and is developed through two separate sections in the article. The first covers the beginning, increase and diversification in the use of psychoactive substances. The second section sees the authors address the relation between psychoactive substance consumption and the youth condition through the construction of four categories. To achieve this a survey from the Cicad/OAS was used to obtain more knowledge about the social circumstances of these users that goes beyond their experience as university students. The authors also denormalize the concept of age through transforming it into a social characteristic and not a biological condition of the subject.
Keywords: Youth, social condition, sex, university, hallucinogenic substances, consumption (Unesco Social Sciences Thesaurus).
Resumo: Neste artigo é realizada uma reflexão a respeito da condição dos jovens, centrando a atenção na relação entre a condição juvenil diferenciada dos estudantes universitários e o uso de subst⮣ias psicoativas. Argumentou-se que, se a condição juvenil é diferenciada em seu interior, diante das práticas de consumo psicoativas, se homogenizam as diferenças. Esse argumento é sustentado por meio do estudo de caso em uma universidade regional. O artigo foi desenvolvido em dois momentos: no primeiro, abordou-se o início, a escolha e a diversificação do uso de psicoativos; no segundo, foi abordada a relação com a condição juvenil por meio da construção de quatro categorias. Assim, um questionário da Cicad/OEA foi utilizado e, com ele, as circunst⮣ias sociais dos usuários e usuárias foi aprofundada, além de sua experiência estudantil universitária, enquanto se desnaturalizou a concepção etária ao transformá-la em uma qualidade social e não em uma condição biológica do sujeito.
Palavras-chave: Jovem, condição social, sexo, universidade, substância alucinógena, consumo (Thesaurus de Ciências Sociais da Unesco).
1.Introducción
El consumo de sustancias psicoactivas (SPA), particularmente las ilícitas, ha sido identificado como una problemática que involucra de manera general a todos los grupos poblacionales, aunque se considera que pone en riesgo sobre todo a la población joven del país1. El contexto universitario compuesto en su mayoría por población joven, es un escenario en el que al mismo tiempo que se dan los procesos académicos, los estudiantes y las estudiantes tienen experiencias propias del ambiente estudiantil y juvenil. Al respecto, algunos autores y autoras coinciden en que estas experiencias se constituyen en el escenario para el primer contacto con las sustancias psicoactivas, no sólo las legales como el cigarrillo y el alcohol, sino también las ilegales, en particular la marihuana (Oñate, 1987, Tirado, Aguaded & Marín, 2009, Henao, 2010). Más adelante, mostraremos que, si bien el período de los estudios universitarios -alrededor de los 18 años- se corresponde con un incremento en el escalamiento y en la diversificación, en la mayoría de los sujetos encuestados el inicio en el consumo se dio en etapas anteriores.
El último estudio realizado en Colombia entre 2012 y 2013 sobre uso de drogas en población universitaria, señala que el 33,9% de los universitarios ha usado, alguna vez, drogas como marihuana, cocaína, LSD y éxtasis (Cicad/OEA, 2013, p. 18). Estas cifras indican que 1 de cada 3 estudiantes de universidad en Colombia ha consumido drogas, situación que señala una fuerte dinámica de consumo dentro de esta población. Dinámica que regularmente se combina y se diversifica con otras sustancias (Cicad/OEA, 2013, González, 2010).
En este artículo, analizamos el cuestionario que aplicamos en el mencionado estudio y los datos recogidos en una institución participante: una universidad pública regional. En el análisis buscamos describir los procesos de consumo de sustancias psicoactivas en relación con características diferenciadoras de la condición juvenil de los estudiantes y las estudiantes, con el fin de identificar o descartar potenciales vulnerabilidades de contexto que faciliten los consumos. En el ámbito académico, las investigaciones sobre el consumo de drogas en el mundo universitario no son recurrentes, y particularmente en la universidad regional elegida no contamos con trabajos que profundicen en los elementos que pretendemos identificar, ni se ha hecho un análisis de la base de datos utilizada, por lo que consideramos pertinente adelantar investigaciones que estudien el fenómeno.
Ahora bien, la institución cuyos datos analizamos, es una universidad que recibe estudiantes de todo el país, procedentes en su mayoría de estratos socioeconómicos bajos -2 y 3 en la nomenclatura social de Colombia-, característica común de la universidad pública colombiana (Dussán & Castellanos-Obregón, 2013).
Desde la perspectiva analítica adoptada para la interpretación de los datos -condición juvenil-, consideramos el consumo de sustancias psicoactivas como factores asociados a las condiciones sociales en las cuales las personas se desenvuelven. Así, creímos pertinente utilizarla para analizar la relación entre las categorías juventud y estudiantes universitarios. Esta perspectiva analítica permite mostrar la diversidad interna de los sujetos consumidores, y la relación de éstos con el uso y consumo de las sustancias psicoactivas.
2. Aproximación teórica
Acercamiento al inicio, escalamiento y diversificación del uso de sustancias psicoactivas
Diferentes modelos se han elaborado para comprender el modo en que los sujetos se inician o permanecen en el consumo de drogas. Entre los más nombrados encontramos el modelo conocido como “hipótesis de la puerta”. Este modelo hace referencia a que el consumo de una droga es de algún modo el paso previo para el consumo de otras (Kandel & Jessor, 2002). Lo anterior significa que el consumo de drogas, en ciertos casos, podría estar relacionado con un proceso progresivo y jerárquico que empieza con drogas legales como el tabaco y el alcohol y continúa con marihuana, considerándose esta última un paso intermedio hacia las drogas ilícitas (Kandel & Jessor, 2002,Vargas & Trujillo, 2006).
Si bien no es posible afirmar que el consumo de tabaco y alcohol a temprana edad origina un posterior consumo de drogas, es dable decir que fumar o consumir alcohol da lugar a una mayor probabilidad de que posteriormente se consuma marihuana (Castellanos-Obregón & Espinosa- Herrera, 2013, Verdugo-Lucero, Ponce de León-Pagaza, Guardado-Llamas, Meda-Lara, Uribe-Alvarado & Guzmán-Muñiz, 2013,López-Cabello, 2013). A nivel mundial, entre la población joven, el uso de alcohol y tabaco empieza con más frecuencia entre los 11 y los 14 años, siendo los 15 años la edad media en que se inician en el uso de sustancias como marihuana (Gallego, 1990,Navarro, 2007, Zapata, 2010, Castellanos-Obregón & Espinosa-Herrera, 2013).
El escalamiento a una droga superior o más fuerte en la jerarquía de las drogas se relaciona por lo general con la edad de inicio en el consumo (Kandel & Jessor, 2002), y la frecuencia de éste (Kandel & Yamaguchi, 1985). Algunos estudios plantean que existe una correspondencia entre adquirir niveles superiores de educación y la inserción al mundo laboral -entre otros elementos- y el escalamiento a un tipo de sustancia más fuerte (García, 2003,López, Santín, Torrico & Rodríguez, 2003).
A una edad media de 17 años se escala a estimulantes, tranquilizantes o sustancias como alucinógenos, éxtasis, cocaína, heroína y anfetaminas, generando una diversificación en el consumo, lo que también se conoce como policonsumo (Cicad/OEA, 2013, p. 48, González, 2010).
Si bien la edad es un elemento importante que ayuda a explicar el tránsito por las diferentes etapas del consumo, hay que señalar que elementos como el género, la condición socioeconómica, la etnia -entre otros diferenciadores sociales-, permiten analizar los comportamientos de los procesos de consumo y los tránsitos biográficos, entre los cuales la juventud es una etapa (Castellanos-Obregón, 2011). A continuación, conceptualizamos la condición juvenil como una perspectiva que permite mostrar la diversidad interna de los grupos de personas consumidoras.
La condición juvenil como diferenciador de los agentes
La juventud como grupo social “…es el resultado de los procesos de visibilización de segmentos sociales en la segunda postguerra mundial y de la construcción teórica y metodológica que las ciencias sociales han realizado de manera sistemática desde entonces” (Castellanos-Obregón, 2011, p. 163). Sin embargo, hablar de juventud nos ubica frente a una experiencia de diversidad durante la cual se dan procesos de subjetivación construidos desde experiencias propias y en relación con otros -jóvenes y adultos-, lo que definitivamente particulariza el concepto. Lo juvenil se articula con factores como el género, la clase, la etnicidad, las redes y el capital cultural, para generar una condición diferenciada o una relación de interseccionalidad. La manera como se articulan estos mecanismos de diferenciación social, genera un engranaje dinámico que produce y diferencia la categoría social joven en el interior de cada contexto sociohistórico (Castellanos-Obregón, 2011, Reguillo, 2010,Muñoz, 2012). Por ello se considera la juventud como un
(…) conjunto multidimensional de formas particulares, diferenciadas y culturalmente acordadas que otorgan, definen, marcan, establecen límites y parámetros a la experiencia subjetiva y social de las/los jóvenes. La condición se refiere a posiciones, categorías, clases, situaciones, prácticas, autorizaciones, prescripciones y proscripciones que se asumen como naturales al orden vigente y tienden a naturalizarse como propias o inherentes a esta franja etaria (Reguillo, 2010, p. 401).
En este sentido, pensar la juventud como condición, es pensar al ser humano …imbuido y determinado por una red extensa y múltiple de relaciones de poder… inmersas en la construcción genérica, en la situación de clase, en la posición etaria, en la condición étnica, entre muchas (Castellanos-Obregón, 2011, p. 174). Cuando se utiliza la noción de condición se hace referencia
(…) a un estado en el que se halla una persona, y también, como consecuencia de éste, a la calidad que tiene, asociada a una aptitud o a una disposición [que no se refiere] a una situación particular por la que esté pasando el sujeto; es una condición social, estructural, así sea vivida como transitoria… (Castellanos- Obregón, 2011, p. 175).
Teniendo como referente los planteamientos anteriores y con el objetivo de acercarnos al consumo de sustancias psicoactivas en la población estudiada, exponemos los elementos metodológicos que acompañaron este ejercicio investigativo.
3. Apuesta Metodológica
Este artículo lo desarrollamos a partir del análisis descriptivo e inferencial de la información de una universidad participante en el II Estudio Epidemiológico sobre uso de Drogas en Población Universitaria, realizado entre 2012 y 2013. En la Tabla 1 resumimos la metodología de este estudio:

La base de datos de la universidad de interés para este artículo fue suministrada directamente por la OEA, con el formulario de aplicación correspondiente. Luego de una selección teórica de variables, procedimos con el software SPSS versión 20 para el análisis estadístico. En un primer momento proponemos tres análisis: inicio, escalamiento y diversificación en el uso de psicoactivos. En el segundo momento construimos dos indicadores: Autonomía y Dependencia, cuya combinación establece las tipologías de la condición juvenil. Finalmente, trabajamos con Tablas Pivote para cruzar las tipologías propuestas con las variables de inicio y sexo, en un intento por exponer las diferencias en el consumo de sustancias psicoactivas.
Para el análisis de inicio de consumo de sustancias psicoactivas contábamos con la variable edad y 19 preguntas de la encuesta que tenían la misma estructura general: “¿Ha consumido -nombre de SPA- alguna vez en su vida?”2. A quienes expresaron una respuesta afirmativa se les realizaba la pregunta complementaria: “¿Qué edad tenía cuando probó por primera vez -nombre de la SPA-?” (Cicad/OEA, 2013). El orden de aparición de sustancias en las preguntas de la encuesta revela la idea de escalamiento implícito en el mismo instrumento. Esta jerarquía considera, en primer lugar, las sustancias legales: tabaco, alcohol y psicofármacos usados sin receta médica, y en un segundo lugar, las sustancias ilegales de mayor consumo e interés para el estudio: marihuana, cocaína, bazuco, éxtasis, heroína e inhalables, consideradas como drogas “pesadas” (Cicad/ OEA, 2013). El orden con que se preguntó sobre el consumo de cada una de las SPA en la encuesta fue el siguiente: (Tabla 2)

La exploración inicial de la información nos permitió establecer que siete de las dieciocho sustancias contaban con datos válidos suficientes para el análisis: Cigarrillo, Alcohol, Marihuana, Cocaína, Éxtasis, LSD y Hongos. Las demás sustancias tenían 94% o más de respuestas negativas, es decir, no se habían consumido alguna vez en la vida y por ello no las consideramos para el análisis.
Para el segundo momento analítico construimos los indicadores de Autonomía y Dependencia usando las siguientes preguntas disponibles en el cuestionario: (Tabla 3)

Los indicadores de Autonomía y Dependencia están asociados al campo de posesiones y posiciones; al respecto, “…la condición juvenil suele ser experimentada como dependencia, inexperiencia, desposesión, momento de poco prestigio, de poco poder y de debilidad…” (Castellanos-Obregón, 2011, p. 179). La combinación de los dos indicadores origina las siguientes tipologías de condición juvenil:
Autónomo-Dependiente: Estudiantes que no viven con su padre y madre o familiares, y su padre y madre sustentan sus gastos mayores.
Autónomo-Independiente: Estudiantes que no viven con su padre y madre o familiares y ellos mismos sustentan sus gastos mayores.
No autónomo-Dependiente: Estudiantes que viven con su padre y su madre o con familiares y su padre y madre sustentan sus gastos mayores.
No autónomo-Independiente: Estudiantes que viven con su padre y su madre o con familiares y ellos mimos pagan sus gastos mayores.
Ahora bien, las Tablas Pivote las construimos inicialmente con las variables edad, sexo, número de hijos e hijas, clase social. En la Tabla 4 exponemos las consideraciones teóricas por las cuales las seleccionamos para un análisis inicial.

Con estas dimensiones analíticas, realizamos un proceso de revisión, a modo de retroducción, de tal manera que pudieran ser reintegradas en esta lógica analítica (Ragin, 2007, p. 94). De las Tablas Pivote construidas para las tipologías y las variables que podrían pronosticar diferencias en la condición juvenil, solo quedó la variable sexo, pues en los demás análisis se observa que la población objeto no presenta diferencias en el consumo según la edad, número de hijos e hijas, y clase social.
4. Resultados: Una experiencia de articulación entre la condición juvenil y el consumo de sustancias psicoactivas
En este acápite de resultados mostramos, en un primer momento, una caracterización sociodemográfica de la población encuestada y del proceso de consumo entre los sujetos participantes. En un segundo momento, presentamos la relación entre las tipologías de condición juvenil construidas y el consumo de SPA, en un intento por demostrar si la condición juvenil se convierte en un eje productor de diferencias en las prácticas de consumo de sustancias psicoactivas.
Caracterización de la población participante
En la universidad regional considerada para este artículo, la Cicad/OEA tomó una muestra de 670 personas de diferentes programas, de una población estudiantil aproximada de 10.000 estudiantes de pregrado (Dussán & Castellanos- Obregón, 2013).
El 87,7% de la población encuestada era de estratos 1, 2 y3. Las edades estaban entre los 18 y los 30 años, siendo el 48% de ellos menor de 24 años. El 51,25% eran mujeres, el 87,6% personas solteras y el 92,4 % no tiene hijos ni hijas.
Coincidiendo con los estudios mencionados, el consumo se inicia a una edad promedio de 15 años con alcohol y cigarrillo, aunque el 50% de los datos se encuentran entre los 14 y los 17 años. Entre los 16 y los 19 años se escala al uso de marihuana, seguido de la cocaína, que tiene una edad de inicio entre los 16 y los 20 años (ilustración 1).

La ilustración 1 muestra que la edad asociada al consumo del Éxtasis es particular; es una caja pequeña respecto a las otras sustancias, en la que el 75% de los datos aparece a los 19 años, los datos están más agrupados y se puede decir que es una práctica de uso más homogénea, común y específica con respecto a la edad de inicio y a contextos particulares de socialización y diversión. Esta edad coincide con los dos primeros años de estudios universitarios, información que se confirma en el estudio de Dussán y Castellanos- Obregón (2013), respecto de la edad promedio de ingreso a la universidad en la región.
El consumo de hongos muestra los 19 años como la edad media de inicio, aunque el 75% de los encuestados concentra su primer uso antes de los 22 años. En este sentido, el uso de esta sustancia muestra una dispersión de las edades: una mayor amplitud y mantenimiento en el tiempo etario de los usos que va de los 14 a los 29 años. El LSD3 se inicia a una edad mediana de 19 años, aunque los datos se encuentran entre los 18 y 21 años. La marihuana, los hongos y la cocaína son las sustancias con mayor dispersión en la edad en que se inicia su consumo. La cocaína, el éxtasis, el LSD y los hongos tienen un consumo bajo entre los jóvenes de la universidad, información que evidencia la poca acogida de esta sustancia entre la población universitaria.
Las personas menores de 20 años tienden a consumir menos que las personas mayores de 25, con la particularidad de que los menores de 20 años consumen más sustancias legales y los mayores de 25 consumen más sustancias ilegales.
Hasta aquí podemos plantear que por lo general los consumos de sustancias psicoactivas, con excepción del alcohol y el cigarrillo, empiezan en el rango de edad promedio del fin de la secundaria y el inicio de los estudios universitarios. Hay en los datos una coincidencia entre la edad promedio de inicio en el consumo de sustancias ilegales -Marihuana, Cocaína, Éxtasis, LSD y Hongos- y la edad promedio de ingreso a la universidad -17 años-. Asociado a la edad, hay un progresivo escalamiento en el uso de SPA, que va de sustancias legales a ilegales; es decir, hay un comportamiento de consumo que “sube” en la jerarquía de este tipo de sustancias. Con la edad aumenta también el número de sustancias consumidas, encontrando que los individuos consumidores mayores de 25 años tienden al policonsumo y a combinar más sustancias que los menores de 20 años.
Sobre la Condición Juvenil representada
La condición juvenil se articula a contextos de socialización e integración específicos que tienen una serie de marcadores sociales que la diferencian. Este enfoque, que desnaturaliza la edad como una cualidad sustantiva del sujeto y la convierte en una propiedad social, es la que tratamos de indagar en este apartado.
La tabla 5 presenta las frecuencias de las tipologías construidas e indica que el 48,36% de los sujetos estudiantes de la universidad analizada son Dependientes-No Autónomos; es decir, son estudiantes que viven con sus familiares y no tienen capacidades económicas para mantener sus gastos mayores.

El 19,70% se encuentra en la tipología Dependientes-Autónomos. Son estudiantes a quienes sus padres cubren gastos mayores pero no viven con ellos. Regularmente viven con compañeros de estudios, con la pareja o en residencias universitarias. En esta tipología aparecen los estudiantes oriundos de otras partes del país, pero continúan siendo dependientes económicamente, lo que los convierte en estudiantes semi-autónomos. Un 19,10% son No Autónomos-Independientes, viven con sus padres o familiares, pero reportan ingresos producto de un trabajo, beca estudiantil o préstamo.
Por último, aparece la tipología Autónomos- Independientes. Estos sujetos representan el 12,84% de la muestra. Son estudiantes que cubren todos sus gastos y viven separados de sus familiares. Estas características de autonomía e independencia no son un factor excluyente de la condición juvenil, pues las posesiones y las posiciones no son los únicos elementos que conforman esta categoría. Esta situación podría explicarse, en algunos casos, a partir del hecho de que algunos sujetos comienzan sus estudios universitarios a edades un poco más avanzadas, una vez que consolidan su vida laboral o personal.
En general encontramos que hay una fuerte asociación entre la edad y la progresiva autonomía, lo que se plantea como ciclos de autonomización económica propia de la progresiva emancipación que va de los 17 a los 20 años como estadios de dependencia, y de los 21 a los 24 como etapas de autonomización.
Mediante un análisis detallado de los datos de la tabla 5 y con apoyo de las Ilustraciones 2 y 3, se identifica que los estudiantes dependientes -autónomos o no- representan la mayoría de quienes han consumido alguna vez una de las cinco psicoactivas seleccionadas. Los estudiantes independientes consumen poco alcohol, fuman poco cigarrillo y marihuana y son pocos los que han consumido cocaína o éxtasis. Los estudiantes que aún viven y dependen de su padre y su madre, pese a estar en un aparente entorno protector, pareciera que tienen más disposición a la exploración del consumo de SPA.


Nota:La lectura del total es con respecto al grupo de consumo.
Análisis propio.Si cambiamos de perspectiva y analizamos las columnas de la Tabla 6, encontramos la reiteración de que entre la población universitaria, el mayor consumo de SPA se asocia con las sustancias legales -cigarrillo y alcohol-, siendo este último mayor. La condición juvenil diferencia levemente el consumo de cigarrillo y de marihuana, mayor entre los independientes. Los consumos de Éxtasis y Cocaína son menores y las diferencias por la condición juvenil también. El consumo de Marihuana está levemente asociado, al mismo tiempo, a mayores consumos pasajeros, con los estudiantes dependientes autónomos e independientes no autónomos.

Nota: La lectura del total es con respecto al grupo de condición juvenil.
Análisis propio.Buscando la relación entre las tipologías de condición juvenil y el tipo de sustancia psicoactiva que usan los estudiantes y las estudiantes, evidenciamos que hay una asociación en el consumo de algunas sustancias, especialmente cigarrillo y marihuana, mediados por una situación determinante para la condición juvenil: la autonomía. A mayor autonomía más se fuma, pero menos se bebe o se consumen drogas.
El costo de algunas drogas, especialmente la Cocaína y el Éxtasis, pueden ser frenos para el consumo entre los universitarios, dada una cualidad genérica que tiene relativamente pocos recursos económicos, en la dispersión de las capacidades adquisitivas del país. La condición social descrita por la estratificación, está sobrerrepresentada en la universidad analizada por el estrato 3. Seguramente al comparar con otras universidades, especialmente privadas, el acceso a recursos económicos puede que exponga diferencias en la composición y distribución del policonsumo, según la condición juvenil.
Si bien al cruzar los consumos de sustancias psicoactivas con la condición juvenil encontramos relaciones importantes. En algunos momentos, el análisis no es plenamente eficiente en generar condiciones diferenciadoras de los consumos entre los estudiantes de la universidad elegida. Lo anterior se explica con el hecho de que los individuos encuestados comparten una situación juvenil común: ser estudiantes universitarios; es decir, nos encontramos ante la dificultad de comparar jóvenes con jóvenes, lo que hace que los criterios no sean suficientes para describir el fenómeno y aislar de manera más clara la relación con los procesos de consumo de SPA.
Este problema se enuncia en la hipótesis de la autonomía relativa del campo (Bourdieu, 2002), en la cual se esboza que no todas las cualidades son eficientes en todos los campos. En este orden de ideas, la condición juvenil se compone de la circunstancia relacional de autonomía, poder y control, pensada en el campo del uso de sustancias legales e ilegales, asociada con la experimentación personal, la vida festiva y el espacio de la normatividad: respetar la norma y no respetarla. Así, la pregunta es ¿cuáles son las cualidades sociales que generan distinción frente a las prácticas de uso de drogas? Podrían ser las normas, las reglas, lo moral, ¿u otras? Estos elementos pueden tener relación con la autonomía, no respecto al control de los padres y madres o respecto a lo económico, sino la autonomía expresada en otros indicadores que no están descritos en la encuesta y que serían eficientes para describir la condición juvenil particular frente al uso de drogas.
Una vez construida esta estrategia tipológica para acercarnos a la relación consumo - condición juvenil, la vamos a especificar con un descriptor determinante de la diversidad de prácticas de uso y consumo: el sexo-género.
El sexo-género como diferenciador de la condición juvenil y la relación con las sustancias psicoactivas (Ilustración 4)
Para establecer la relación entre el género y la condición juvenil utilizamos el descriptor sexo de la encuesta referida, aunque somos conscientes de la reducción y simplificación que ello conlleva. Al respecto, algunos estudios indican que el uso de SPA tiene una relación directa con la condición de género (Romo, 2005, 2010, Martínez, 2006, Navarro, 2007, Fernández, 2010). En este sentido, el consumo de SPA tiene significados diferentes entre hombres y mujeres, y es valorado por la sociedad de manera diferente también. Entre los hombres, el consumo de drogas se percibe de una manera más natural y culturalmente tiene mayor aceptación. Entre las mujeres, consumir drogas puede llegar a representar una forma de reto a los valores sociales dominantes, lo que puede traer consigo un mayor grado de reproche social. En este orden de ideas, el género produce una posición que diferencia los procesos de consumo de SPA, así como el proceso de inicio, escalamiento y diversificación -policonsumo.

La ilustración 4 indica que las mujeres son más dependientes que los hombres, quienes reflejan una mayor autonomía económica de sus hogares de origen. Cuando entramos en el detalle de la relación género, consumo y condición juvenil, son pocas las distinciones que se generan (tabla 7). Encontramos que frente al alcohol hay poca diferencia por género y condición juvenil, distribuyéndose equitativamente en todas sus distinciones. En relación con el cigarrillo, las estudiantes fuman menos que los hombres, en todas las condiciones juveniles. En relación con las SPA ilegales -cocaína, éxtasis y LSD-, los hombres han tenido consumos mucho mayores, estando estos relacionados de manera más efectiva con estudiantes que viven solos, es decir, dependientes autónomos e independientes autónomos.

El tutelaje, la protección, la dependencia y los imaginarios frente el uso de drogas explican, en parte, las diferencias en el comportamiento en el uso de SPA por sexos.
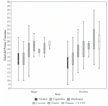
Las mujeres consumen menos y de manera más tardía. La Ilustración 5. Inicio y escalamiento en el uso de las SPA diferenciado por sexo. revela que hay un leve retraso, en relación con los hombres, en la edad de inicio del uso de casi todas las drogas entre las mujeres4. Los hombres empiezan más temprano en el uso de Cigarrillo, Marihuana y Cocaína, mientras que con el Alcohol, hombres y mujeres empiezan a la misma edad. En este sentido puede plantearse que no hay diferencias significativas en la edad de inicio del uso de cigarrillo, aunque los hombres son, en promedio, un año más precoces. Lo anterior se corresponde con Romo (2005, 2010) cuando plantea que la tendencia 4 Utilizando el percentil 50 de las edades del primer consumo. a la equiparación de los hábitos de consumo entre hombres y mujeres en algunas sustancias es cada vez más perceptible. El uso de los Hongos y el LSD en mujeres es mucho menor -9 mujeres/65 hombres-; pareciera que ellas se iniciaran más tarde y tendieran a abandonar su uso más temprano que los hombres.

La comparación de los datos del I y II Estudios Epidemiológicos, muestra que en sustancias como el alcohol y el tabaco el consumo aumentó, pasando en los estudiantes universitarios hombres de 72,5% a 78,3%, y entre las mujeres desde 57,4% a 65,9%. El consumo de marihuana en hombres cambió de 6,6% a 10,9% y entre las mujeres desde 3,3% a 5,4 (Cicad/OEA, 2013, p. 17).
4. Reflexiones finales
En este estudio nos propusimos revisar la relación entre la condición juvenil, como ámbito diferenciador de prácticas sociales, con el proceso de inicio, escalamiento y diversificación de los consumos de algunas SPA entre estudiantes universitarios. Para ello realizamos un proceso de re-análisis a partir de los datos desagregados de una universidad regional colombiana, seleccionada de un total de doce instituciones de educación superior de los países andinos, que participaron en el II Estudio epidemiológico sobre uso de drogas en individuos universitarios, 2012.
El principal hallazgo está relacionado con la poca significancia que tienen las diferencias de la condición juvenil entre los sujetos estudiantes encuestados, frente a los procesos de consumo de sustancias psicoactivas. La negación del supuesto original que predecía intuitivamente, en el orden teórico y práctico, que la condición juvenil genera diferencias en las prácticas de consumo de las personas, hace sospechar sobre la categoría condición juvenil como diferenciadora de prácticas, y advierte además sobre la necesidad de mejorar la operacionalización del concepto condición juvenil frente a las prácticas.
La situación universitaria tiende a homogenizar la condición juvenil diferenciada con respecto al consumo de SPA. A pesar de que hay diferencias entre las tipologías de condición juvenil construidas, cuando se habla de consumo de drogas las diferencias se disminuyen, lo cual permite interrogarse sobre la naturaleza homogeneizadora del contexto universitario y, sobre todo, sobre el proceso de selección social acumulado, sobre el dispositivo académico, y sobre la práctica de consumo (Bourdieu, 2012).
Entre los sujetos jóvenes de la institución analizada, si bien la entrada a la universidad y los primeros años de vida universitaria se corresponden con un incremento en el consumo y en la diversificación de este, las trayectorias de consumo de casi todas las sustancias -legales e ilegales- comenzaron entre el rango de edad promedio del fin de la secundaria y el inicio de los estudios universitarios.
La etapa de la juventud, especialmente en su momento universitario, es un momento de vulnerabilidad para el consumo de SPA, lo cual se produce por las dinámicas y experiencias propias del ambiente estudiantil y juvenil. Las prácticas de consumo de SPA exponen como vulnerables a toda la población estudiantil, no solo a las personas de condiciones socioeconómicas difíciles.
Este ejercicio evidenció la debilidad de este tipo de estudios cuando se utiliza información secundaria, pues las dimensiones analíticas del cuestionario de la Cicad-OEA y los indicadores incluidos en ella no son sensibles para marcar diferencias. Una sugerencia sería mejorar el cuestionario con variables externas al consumo, para establecer las posibles diferenciaciones.
A partir de este ejercicio, se obtiene un marco de preguntas sobre el tema, y este artículo se propone como una descripción de los procesos de consumo en sujetos universitarios, y en un marco problematizador que le da sentido a la segunda fase de esta investigación, que indagará por las motivaciones para el consumo entre estudiantes universitarios.
Lista de Referencias
Bourdieu, P. (2002). Campo de Poder, Campo Intelectual. Itinerario de un concepto. Buenos Aires: Montressor, Jungla Simbólica.
Bourdieu, P. (2012). La distinción. Criterio y bases sociales del gusto. México, D. F.: Taurus.
Castellanos-Obregón, J. M. (2011). La condición juvenil: opciones metodológicas para la construcción de un objeto de conocimiento. En G. Muñoz (ed.) Jóvenes, culturas y poderes, (pp. 161-188). Manizales: Siglo del Hombre Editores, Universidad de Manizales, Cinde.
Castellanos-Obregón, J. M. & Espinosa-Herrera, G. (2013). Revisión de las tendencias de investigación sobre consumo de sustancias ilegales por los jóvenes. Virajes, 15, (2), pp. 15-55.
Cicad/OEA (2013). II Estudio Epidemiológico Andino sobre consumo de drogas en la población universitaria. Proyecto Pradican del Programa Anti-drogas Ilícitas en la Comunidad Andina. Informe regional Colombia, 2012, Bogotá, D. C., Colombia. Recuperado de: http://www.comunidadandina.org/Upload/20132718338Informe_Regional.pdf
Dussán, C. & Castellanos-Obregón, J. M. (2013). Potenciales causas que afectaron el proceso de admisión 2013-1 en la Universidad de Caldas. Informe Final. Universidad de Caldas, Manizales, Colombia.
Fernández, P. (2010). Estudio de los factores de riesgo y protección del consumo de sustancias en adolescentes. Tesis Doctoral. Universidad de Alcalá, España.
Gallego, J. J. (1990). Factores de riego para el consumo de drogas, estudio epidemiológico. Tesis Doctoral. Universidad de Granada, España.
García, M. del R. (2003). Consumo de drogas en adolescentes: diseño y desarrollo de un programa de prevención escolar. Tesis Doctoral. Universidad Complutense de Madrid, España.
González, B. (2010). Documentos de trabajo. Policonsumo de sustancias psicoactivas. Recuperado de: http://www.espolea.org/uploads/8/7/2/7/8727772/ddt-policonsumo.pdf
Henao, S. (2010). Representaciones sociales del consumo de drogas y de las intervenciones respectivas en un contexto local: la Universidad de Antioquia en Medellín, Colombia. Tesis de doctorado, Universidad de Granada, España.
Kandel, D. & Jessor, R. (2002). The Gateway Hypothesis Revisited. Stages and pathways of drug involvement: Examining the Gateway Hypothesis. New York: Cambridge University Press.
Kandel, D. & Yamaguchi, K. (1985). Developmental patterns of the use os legal, illegal, and medically prescribed psychotropic drugs from adolescence to young adulthood. Washington, D. C.: Government Printing Office.
López-Cabello, A. S. (2013). La música punk como un espacio identitario y de formación en jóvenes de México. Revista Latinoamericana de Ciencias Sociales, Niñez y Juventud, 11 (1), pp. 185-197. Doi: 10.11600/1692715x.11112140512
López, M. J., Santín, C., Torrico, E. & Rodríguez, J. M. (2003). Consumo de sustancias psicoactivas en una muestra de jóvenes universitarios. Psicología y Salud, 13 (1), pp. 5-17.
Martínez, J. M. (2006). Factores de riesgo y protección ante el consumo de drogas y representaciones sociales sobre el uso de éstas en adolescentes y adultos jóvenes. Tesis Doctoral. Universidad de Granada. España.
Ministerio de la Protección Social & Unodoc Colombia (2010). La prevención en manos de las y los jóvenes. Recuperado de: http://www.descentralizadrogas.gov.co/pdfs/documentacion/material-educativo/La_prevencion_en_manos_de_los_jovenes%20-%20heramientas_pedagogicas.pdf
Muñoz, G. (2012). Jóvenes, Culturas y Poderes. La trayectoria del Grupo de investigación. Revista Latinoamericana de Ciencias Sociales, Niñez y Juventud, 10 (1), pp. 712- 715.
Navarro, B. (2007). Consumo de drogas en jóvenes y conducción de vehículos. Tesis Doctoral. Universidad de Granada. España.
Oñate, P. (1987). Prevención educacional de las toxicomanías: Criterios básicos. Comunidad y Drogas, (3), pp. 83-89.
Ragin, C. (2007). La construcción social de la investigación. Introducción a los métodos y su diversidad. Bogotá, D. C.: Siglo del Hombre, Universidad de los Andes, Sage Publications.
Reguillo, R. (2010). La condición juvenil en el México contemporáneo. Biografías, incertidumbres y lugares. México, D. F.: Fondo de Cultura Económica.
Romo, N. (2005). Género y uso de drogas: la invisibilidad de las mujeres. Recuperado de: http://www.fundacionmhm.org/pdf/Mono5/Articulos/articulo4.pdf consultado 02/3/2015
Romo, N. (2010). La mirada de género en el abordaje de los usos y abusos de drogas. Revista Española de Drogodependencias, 35 (3), pp. 269-272.
Tirado, M., Aguaded, G. & Marín, G. (2009). Factores de protección y de riesgo del consumo de alcohol en alumnos de la Universidad de Huelva. Huelva: Universidad de Huelva.
Vargas, C. & Trujillo, H. (2006). Secuencia, asociación y riesgo de consumo. Psicología conductual, 14, pp. 41-62.
Verdugo-Lucero, J. L., Ponce de León- Pagaza, B. G., Guardado-Llamas, R. E., Meda-Lara, R. M., Uribe-Alvarado, J. I. & Guzmán-Muñiz, J. (2013). Estilos de afrontamiento al estrés y bienestar subjetivo en adolescentes y jóvenes. Revista Latinoamericana de Ciencias Sociales, Niñez y Juventud, 11 (1), 79-91. Doi: 10.11600/1692715x.1114120312.
Zapata, M. A. (2010). Consumo de sustancias psicoactivas en jóvenes estudiantes de licenciatura en antropología, un primer acercamiento al caso de la Enah (Escuela Nacional de Antropología e Historia). Tesis de Maestría. México, D. F., México.
Notas
Notas de autor
Información adicional
Referencia
para citar este artículo: Espinosa-Herrera,
G., Castellanos-Obregón, J. M. & Osorio-García, D. (2016). Condición juvenil
y drogas en universitarios: El caso de una universidad regional. Revista Latinoamericana
de Ciencias Sociales, Niñez y Juventud, 14 (2), pp. 1451-1468.