Estudios e Investigaciones
Determinantes de la transición de la escuela al trabajo en Chile*
Determinants of the transition from school to work in Chile
Determinantes da transição da escola para o trabalho no Chile
Determinantes de la transición de la escuela al trabajo en Chile*
Revista Latinoamericana de Ciencias Sociales, Niñez y Juventud, vol. 21, núm. 1, pp. 119-138, 2023
Centro de Estudios Avanzados en Niñez y Juventud Cinde - Universidad de Manizales
Recepción: 16 Septiembre 2021
Aprobación: 23 Marzo 2022
Publicación: 30 Octubre 2022
Resumen (analítico): En Chile, actualmente la población categorizada como jóvenes que ni estudian ni trabajan (conocidos como nini) asciende a cerca de medio millón de personas, lo que presenta un desafío en la orientación de estrategias que les permitan insertarse en el mercado del trabajo o continuar sus estudios. Esta investigación tiene por finalidad determinar los factores que influyen en la transición de la escolaridad al trabajo en la población de jóvenes chilenos, por medio de modelos probabilísticos a partir de datos representativos a nivel nacional. Los resultados muestran que son determinantes la pobreza, la existencia de menores en el hogar, el género y la paternidad o maternidad adolescente. Se establecen algunas estrategias y se hace hincapié en continuar el estudio considerando la multitud de factores que están involucrados.
Palabras clave: Desempleo de los jóvenes, transición a la vida activa, jóvenes, mercado de trabajo. Tesauro de Ciencias Sociales de la Unesco.
Abstract (analytical): In Chile, the population currently categorized as young people who neither study nor work (known as NEETs) is nearly half a million people, which presents a challenge in terms of developing policies that allow them to enter the labor market or continue their studies. The purpose of this study is to identify the factors that influence the transition from school to work for the population of young Chileans using probabilistic models based on nationally representative data. The results show that poverty, the existence of children in households, gender and adolescent parenthood are determining factors. Some strategies are highlighted and an emphasis is placed on the need to continue research in this area, taking into account the multitude of factors involved.
Keywords: Youth unemployment, transition to active life, youth, labor market.
Resumo (analítico): No Chile, a população actualmente classificada como jovens que não estudam nem trabalham (doravante, NEM-NEM) ascende a quase meio milhão de pessoas, o que representa um desafio em termos de orientação de políticas que lhes permitam entrar no mercado de trabalho ou continuar os seus estudos. O objectivo deste estudo é determinar os fatores que influenciam a transição da escola para o trabalho na população de jovens chilenos, utilizando modelos probabilísticos baseados em dados representativos a nível nacional. Os resultados mostram que a pobreza, a existência de menores no lar, o gênero e a paternidade adolescente são fatores determinantes. Algumas estratégias são delineadas e a ênfase é colocada em estudos mais aprofundados, considerando a multiplicidade de fatores envolvidos.
Palavras-chave: Desemprego juvenil, transição para a vida activa, jovens, mercado de trabalho.
Introducción
En Chile, según datos de la Encuesta de Caracterización Socioeconómica Nacional (en adelante, Casen) del año 2017, un 12.7% de los jóvenes y las jóvenes entre 15 y 29 años se encontraban en la condición de nini, es decir, ni trabajan ni estudian (figura 1). Esta situación, si bien se ha reducido de manera importante durante las últimas décadas, implica una problemática social relevante de abordar debido a los efectos sociales y económicos que produce en el bienestar de la población (Goldman-Mellor et al., 2016; Heckman & Mosso, 2014).

Los estudios relacionados a la condición de nini suelen usarse como una herramienta interesante a la hora de analizar la transición entre la escuela y el mercado laboral (Serracant, 2014). El concepto nini proviene principalmente de estudios realizados en la Gran Bretaña (en inglés not in employment, education or training: NEETs) y son definidos como un grupo de jóvenes que no trabajan ni hacen parte de procesos de educación o capacitación (Holte et al., 2019; Hutchinson et al., 2016), ya sea en un momento del tiempo o en un período continuo (Ralston et al., 2022).
Como lo expresan Ruiz et al. (2018), en este colectivo de individuos se encuentran trayectorias heterogéneas que favorecen la exclusión social, lo que evidencia la importancia de estudiar las causas que lo determinan. En ese contexto, conocer la multiplicidad de factores que pueden determinar la condición de nini permite orientar políticas públicas que procuren resolver esta problemática, dado que puede afectar la trayectoria de vida de las personas. Para Jongbloed y Giret (2021), la importancia de generar políticas públicas orientadas a este subgrupo de la población reside en que impacta positivamente el bienestar y promueve la existencia de protección social para estos jóvenes.
En general, existe una variada gama de estudios vinculados a los factores determinantes de la condición de nini (Holte et al., 2019; Hutchinson et al., 2016; Mawn et al., 2017; Rodwell et al., 2018). De acuerdo con Caroleo et al. (2020), la literatura especializada ha mostrado dos enfoques con los cuales abordar la problemática: el primero centrado en evaluar las implicancias de esta población sobre la economía y el mercado del trabajo en los países (Mawn et al., 2017). Dentro de este enfoque, se encuentran estudios que vinculan la problemática de los nini con el ámbito macroeconómicos o el tipo de mercado, indicando que este último no ofrece a los jóvenes y las jóvenes las condiciones y oportunidades laborales necesarias para insertarse adecuadamente (Kelly & McGuinness, 2015; Lunsing, 2008; Shirasu et al., 2020). Como segundo enfoque, se encuentra una perspectiva centrada en los individuos que analiza los determinantes de la condición de nini desde sus características sociodemográficas y contextuales. Desde este punto de vista, algunos estudios como el de Furlong et al. (2012), argumentan que la condición de nini reside en los recursos y las características familiares, mientras que Imdorf et al. (2017) lo atribuye a la educación y el poder negociador para ingresar al mercado laboral. Así, esta perspectiva comúnmente ha relacionado esta problemática con variables como las individuales y familiares. Por ejemplo, se han considerado relevantes cuestiones como el ingreso familiar, la composición familiar, el género, las responsabilidades de cuidado familiar, la discapacidad, los problemas de salud al largo plazo, entre otros (Rasalingam et al., 2021; Schoon, 2014; Veldman et al., 2022).
Factores asociados a la condición de nini
Los estudios realizados principalmente en Europa han concluido que hay una amplia heterogeneidad en los factores que afectan la condición de nini; por lo que sigue siendo una discusión abierta que depende del contexto de cada país (Furlong et al., 2012; Holte et al., 2019). No obstante, los trabajos realizados a la fecha son concluyentes en plantear que las variables que influyen en dicha condición pueden agruparse en: primero, la desigualdad socioeconómica y, segundo, los factores personales, familiares y contextuales (Mawn et al., 2017; Rodwell et al., 2018).
En este contexto, los estudios que se centran en la desigualdad analizan las variables socioeconómicas y cómo estas impactan en la condición de nini. Por ejemplo, Pitkänen et al. (2019) identificaron que existe una importante relación entre dicha condición y el nivel socioeconómico, la educación de los padres, el desempleo del jefe de hogar y el nivel de ingreso del hogar. Respecto al ingreso familiar, Abayasekara y Gunasekara (2019) encontraron que los jóvenes y las jóvenes de hogares pobres tienen una probabilidad mayor de ser categorizados como nini.
Por otro lado, dentro de las características familiares comúnmente estudiadas se incluye la capacitación de los padres, las zonas de residencia periféricas y las redes de apoyo del hogar (Yates et al., 2011). Además, dentro de estos factores se ha considerado riesgoso que los jóvenes y las jóvenes pertenezcan a un hogar migrante, pues esto ha demostrado disminuir la probabilidad de asistencia escolar y, por consiguiente, de mantenerse en condición de nini (García & Friz, 2019). Por otro lado, la zona de residencia ha sido empleada para demostrar que existen diferencias asociadas a los contextos socioeconómico, urbano y rural, pues las zonas mayormente periféricas concentran una mayor cantidad de jóvenes en situación de nini (Unay-Gailhard, 2016).
Dentro de las características del hogar se ha considerado relevante analizar la existencia de responsabilidad sobre menores como un factor predisponente a la condición de nini, especialmente en el caso de las mujeres (Lőrinc et al., 2019; Struffolino & Borgna, 2020). Desde otra perspectiva, Dorsett y Lucchino (2014) identificaron que los intereses por la educación que existen en el hogar, así como la educación de los padres son factores importantes a la hora de analizar al grupo de individuos que ni trabajan ni estudian.
Adicionalmente, se encuentran como determinantes ciertas características demográficas o factores individuales. Por ejemplo, Thompson (2011) y Finlay et al. (2010) identificaron que existen importantes desigualdades de género respecto a la probabilidad de pertenecer a la categoría de nini. Especialmente, las mujeres corren un riesgo mayor, que es aumentado en el caso de presentar embarazos o maternidad precoces. De acuerdo con Finlay et al. (2010), la paternidad y maternidad en la población joven impactan favorablemente sobre la condición de nini, con especial énfasis en la asistencia escolar.
De igual importancia, los estudios han incorporado a la variable edad como un atenuante de la condición de nini, esto tras considerar que influye directamente en las trayectorias de escolaridad e inserción laboral de los jóvenes y las jóvenes (Struffolino & Borgna, 2020; Thompson, 2011; Yang, 2020). Se han incorporado, además, las brechas de género en la transición de escolaridad y mercado del trabajo, con lo cual se han probado diferencias relevantes entre hombres y mujeres (Struffolino & Borgna, 2020).
Finalmente, Wesseling (2021) señala la existencia de factores contextuales, tales como los de índole social y psicológico. De esta forma, en la literatura se reconoce que las expectativas, experiencias o aspiraciones de los jóvenes y las jóvenes son un determinante de esta condición. Por ejemplo, Staff y Kreager (2008) lograron identificar que aquellos los jóvenes que se encuentran menos motivados, o bien, que no tienen aspiraciones claras, presentan más probabilidades de categorizarse como nini en un futuro. Asimismo, se han identificado algunos factores psicosociales que se relacionan con la condición en mención (Henderson et al., 2017). En este sentido, algunos estudios han considerado variables como la autoconfianza, los problemas de salud mental o el consumo de drogas como sus determinantes (Berg et al., 2014; Dorsett & Lucchino, 2014; Veldman et al., 2015).
En el caso de América Latina, la situación también representa una importante complejidad. Según Hoyos et al. (2016), uno de cada cinco jóvenes entre 15 y 24 años se encuentra en condición de nini en los países latinoamericanos. Por ello, se han realizado varios trabajos con la finalidad de determinar sus causas. Por ejemplo, Escoto et al. (2018) analizaron los casos de México y El Salvador, e identificaron un patrón determinante en el caso de mujeres en ambos países: este grupo tiene mayores probabilidades de encontrarse en esta condición y menor probabilidad de incorporarse al mercado laboral. Otras variables destacadas por los autores son la edad y las dinámicas familiares, especialmente, ser jefe de hogar.
Para el caso de Brasil, Cardoso y Hermeto (2021) analizaron los perfiles de jóvenes nini, y determinaron que el género es una variable predictora de esta condición. Los autores mostraron que las mujeres tienen mayor probabilidad de pertenecer a esta categoría, en tanto que los hombres tienen mayor probabilidad de incorporarse al mercado del trabajo. Los autores también demostraron que, para el caso de metrópolis y zonas urbanas, la probabilidad de que los jóvenes y las jóvenes se encuentren en la categoría de nini aumenta. En el caso de Argentina, Santillán y Pereyra (2020) demostraron que el género, la edad y los ingresos del hogar definen las trayectorias de los jóvenes en términos educativos o de inserción laboral.
En Ecuador, Buitrón et al. (2018) encontraron que mujeres y jóvenes provenientes de hogares pobres y que son habitantes de áreas urbanas tienen mayor probabilidad de categorizarse como nini. Esta situación transversal se parece, por ejemplo, a la descrita en trabajos como el desarrollado por Sánchez (2021) en Colombia, donde las mujeres y personas provenientes de hogares con un menor nivel educacional tienen mayor probabilidad de integrar la categoría de nini.
En Chile, los trabajos realizados hasta la fecha han demostrado que esta condición se encuentra relacionada con componentes estructurales como el socioeconómico o el género, donde los jóvenes y las jóvenes pobres y las mujeres tienen una probabilidad mayor de integrar esta categoría (Cavieres et al., 2020; Rodríguez et al., 2021). Por lo demás, se han desarrollado trabajos con la finalidad de conocer los determinantes de la inserción laboral de esta población, denotando que esta se encuentra condicionada por aspectos relacionados con la familia y su vulnerabilidad social. Para Rodríguez et al. (2021) en Chile, los motivos de la condición de nini se encuentran predominantemente relacionados con el género. La tabla 1 resume las anteriores variables.

La importancia del presente estudio reside en las consecuencias de la problemática de categorizarse como nini para los jóvenes y las jóvenes. Esto, considerando que dicha condición puede provocar brechas en las trayectorias personales y laborales, conducir a salarios más bajos o peores perspectivas de empleo y precarización de su situación de vulnerabilidad en un futuro (Ponomarenko, 2016). Todo lo anterior lo caracteriza como un problema actual y social relevante que, además, aporta a la discusión científica, considerando que gran parte de las investigaciones no discute la existencia de efectos heterogéneos entre edades, cuestión relevante al momento de promover políticas públicas y estrategias que impacten en esta población.
Esta investigación tuvo por objetivo determinar los factores que influyen en la condición de nini en los jóvenes y las jóvenes chilenos e identificar las variables que interfieren en la transición de la escuela al trabajo. En consecuencia, la hipótesis de investigación plantea que los factores que afectan la inserción o continuidad de estudios en esta población son heterogéneos entre tramos de edades. Metodológicamente, se exploró esta heterogeneidad a través de la estimación de modelos probabilísticos diferenciados por tramos de edad, categorías de inserción laboral y asistencia a centros educacionales. Lo anterior permitió analizar los determinantes y el impacto de estos sobre la probabilidad de pertenecer a las categorías analizadas: nini, especialización en el estudio, especialización en el trabajo, trabaja y estudia. Este es un aporte relevante de la presente investigación, dado que, en general, los estudios del área han ignorado la hipótesis de diferencias en los determinantes por rango etario y el análisis complementario de categorías de estudio y trabajo.
Método
La metodología implementada para este estudio fue de tipo cuantitativo y descriptivo, a través de datos de fuente secundaria. La principal ventaja de este enfoque es que posibilita generalizar a partir de datos representativos a nivel nacional, lo que permite probar las hipótesis planteadas en este trabajo. La hipótesis principal es que existen diferencias en los factores que determinan la condición de nini de la población por rangos etarios, lo que refleja barreras en el sistema escolar o en la inserción al mercado de trabajo para la población joven. Los objetivos fueron determinar los factores que influyen en condición de nini de los jóvenes y las jóvenes chilenos e identificar las variables que interfieren en la transición de la escuela al trabajo. Para ello se aplicaron modelos econométricos probabilísticos binarios y multinomiales.
Descripción y fuente de los datos
La fuente de datos principal es la Casen correspondiente al año 2017,1 realizada por el Ministerio de Desarrollo Social y Familia de Chile, la cual tiene representatividad a nivel nacional. Esta encuesta considera 216 439 casos, de los cuales 48 745 corresponden a jóvenes de entre 15 y 29 años, los que en adelante son considerados la muestra de estudio. De estos, un 49.9% son hombres, en tanto un 50.1% son mujeres; un 83.8% pertenece a zonas urbanas, mientras que el restante 16.2% a zonas rurales.
La figura 2 muestra el porcentaje de la población nini, además de categorías de asistencia escolar y participación en el mercado laboral por edad. Se puede notar que existe una relación estrecha entre edad y la condición de nini; es decir, a medida que aumenta la edad de los jóvenes y las jóvenes, estos son más propensos a pertenecer a esta categoría. Adicionalmente, se muestra cómo transitan las categorías de trabajo y estudio entre las diferentes edades de esta población.

Participantes
La identificación de la población nini se realizó de acuerdo con los criterios del Ministerio de Desarrollo Social y Familia de Chile, es decir, sobre aquellos individuos inactivos que no han recibido capacitación ni educación en las últimas cuatro semanas. Cabe mencionar que existen otras maneras de calcular o estimar a la población nini; por ejemplo, la Organización Internacional del Trabajo también sugiere incluir a aquellos individuos que se encuentran buscando trabajo en la actualidad. No obstante, por la disponibilidad de los datos, eso fue difícil de precisar en la presente investigación.
La tabla 2 permite evidenciar que, al comparar las características de jóvenes nini y no nini, la maternidad o paternidad adolescente y el género muestran diferencias significativas a favor de los hombres. Las variables de pertenencia a una etnia y nacionalidad parecen no indicar diferencias significativas para los grupos mencionados. Por otro lado, las variables propias del hogar o grupo familiar muestran diferencias importantes entre ambos grupos (educación del jefe de hogar, existencia de menores en el hogar y pertenencia a un hogar pobre).

Técnica de procesamiento de los datos
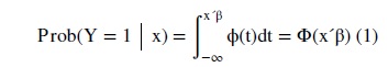
En primer lugar, se estimó un modelo de probabilidad binaria que restringe la variable dependiente al rango 0 a 1 y determina si el individuo pertenece al grupo de nini o no nini. De acuerdo con lo expuesto por Greene (2012), se puede restringir la variable dependiente a modelos probabilísticos a través de una función de densidad normal. Este modelo, denominado modelo de determinantes probit, produce probabilidades consistentes mediante un vector de las variables independientes x´β y es determinado por la ecuación:

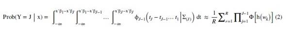
Donde, la función Φ representa una distribución normal estándar. Además, se especificó y estimó un modelo probabilístico multinomial, considerando diferentes estados o categorías (nini; solo asiste a la educación; asiste a la educación y trabaja y solo trabaja) con el fin de precisar los determinantes y evidenciar cuáles influyen en la transición entre escuela y mercado laboral. Para esto, se utilizó la extensión del modelo probit binario a uno multinomial, que considera múltiples categorías y queda definido de acuerdo a Greene (2012) por la ecuación:

Donde, se requiere de (J − 1) integraciones de distribución normal multivariadas y se simula la probabilidad de cada evento, por medio de wk que es una secuencia basada en una distribución normal estándar. Ambos modelos se estimaron mediante el método de máxima verosimilitud a través del software Stata y se presentan los resultados en término de sus efectos marginales promedio (tabla 3 y tabla 4). Las variables independientes x son las definidas en la tabla 1, de acuerdo con la revisión a la literatura.
Resultados
Los resultados del modelo de estimación de probabilidad se exponen en las tablas 3 y 4, mostrando sus efectos marginales promedio. Además, se presenta la bondad del ajuste, que indica un valor adecuado de Pseudo R2 considerando el fenómeno multidimensional estudiado y un valor Prob>Chi2 significativo, lo que demuestra la existencia de significancia conjunta de los modelos. Las variables que son significativas y explican positivamente la condición de nini son la maternidad o paternidad prematura, la existencia de menores en el hogar y el pertenecer a un hogar pobre. En tanto, ser hombre, pertenecer a población indígena o que los padres posean una mayor educación afecta negativamente a la probabilidad de encontrarse en condición de nini, de acuerdo con el modelo principal (modelo 1).
El modelo principal (modelo 1) expone que la pobreza del hogar impacta de manera sustancial en la condición de nini (Δ = 15.2%). Para el caso del primer subgrupo etario, de entre 15 y 18 años (modelo 2), el impacto mayor es producto de la maternidad o paternidad antes de los 18 años (Δ = 13.8%), seguido de la condición de ser extranjero (Δ = 10.0%). En lo que concierne al segundo subgrupo etario, entre 19 y 24 años (modelo 3), el impacto mayor lo producen las variables asociadas a la pobreza del hogar (Δ = 17.9%) y la existencia de menores en este (Δ = 14.8%). Ahora bien, al considerar el tercer subgrupo, entre 25 y 29 años (modelo 4), las variables que producen mayor impacto son la pobreza del hogar (Δ = 29.0%) y ser mujer (Δ = 14.2%).

En la tabla 4 se muestran los resultados en término de las categorías estudiadas. Al igual que el caso anterior, influyen positivamente en la condición de ser nini (modelo 5) la pobreza (Δ = 14.5 %), la existencia de menores en el hogar (Δ = 12.0 %), ser mujer (Δ = 7.8 %) y la maternidad o paternidad adolescentes (Δ = 6.2 %). Además, estos modelos son útiles para analizar la transición de la escuela al trabajo. Por ejemplo, el modelo 6 muestra los determinantes de especialización en el trabajo y el modelo 8 los referidos a la especialización en el estudio o asistencia escolar.

En ese contexto, se muestran como variables relevantes y de mayor impacto al explicar la especialización en el trabajo (modelo 6), la pobreza del hogar (Δ = − 17.7%) y el género (Δ = 11.1%). Asimismo, es interesante analizar la significancia y el efecto de la variable asociada a la discapacidad (Δ = − 7.1%), dado que da indicios de cómo el mercado laboral inserta a los jóvenes con esta condición. En lo que concierne a la especialización en el estudio o la asistencia escolar (modelo 8), el mayor impacto se produce por la existencia de menores en el hogar y, probablemente, la responsabilidad sobre estos (Δ = − 19.8 %), así como la condición de ser migrante (Δ = − 16.7%) y la paternidad o maternidad adolescente (Δ = − 14.7%).
Los resultados muestran que las estimaciones son adecuadas en términos de bondad del ajuste y los niveles de significancia concuerdan con la literatura del área. Los resultados de la tabla 3 comprueban la existencia de heterogeneidad en los factores relevantes dependiente del rango etario estudiando, mientras que los resultados en tabla 4 permiten identificar las diferencias que existen frente a las diferentes categorías de escolarización trabajo.
Discusión
En este estudio se corrobora la hipótesis de que los factores que afectan la inserción o continuidad de estudios en los jóvenes y las jóvenes son heterogéneos entre tramos de edades, permitiendo esbozar estrategias particulares para abordar la problemática en cada grupo. Lo anterior sugiere, tal como argumenta Serracant (2014), que los factores determinantes son reflejo de los problemas del sistema educativo y de las adversas condiciones de inserción laboral con que los jóvenes y las jóvenes se enfrentan.
A partir de los resultados obtenidos, se observó que es transversal el impacto de los ingresos -medidos en este caso por la pobreza del hogar- sobre la probabilidad de ser nini (Δ = 15.2 %). Este resultado es relevante, dado que es común encontrar en la literatura el efecto del ingreso, así como de sus consecuencias sobre la movilidad social y el desarrollo de los jóvenes y las jóvenes (Heckman & Mosso, 2014). Además, se evidenciaron brechas recurrentes por género (Δ = 8.2 %); lo cual es consistente con la literatura, pues la mayoría de estudios coinciden en que las mujeres siempre tienen mayor probabilidad de encontrarse en la condición de nini, lo que se acrecienta con la edad (Struffolino & Borgna, 2020; Thompson, 2011; Yang, 2020). Esta situación es evidenciada en la mayoría de las aplicaciones empíricas en países latinoamericanos (Cardoso & Hermeto, 2021; Escoto et al., 2018; Sánchez, 2021).
En el caso de los más jóvenes (15 a 18 años), existen algunas conclusiones bastante relevantes, especialmente porque aún se encuentran en período de asistencia escolar obligatoria. En primer lugar, se encontró concordancia con autores que identificaron que la maternidad o paternidad prematuras (Δ = 7.6%) y la inasistencia escolar (Δ = − 14.7%) predisponen a ser nini (Finlay et al., 2010; Rodríguez et al., 2021). En segundo lugar, se identificó la incidencia de ser extranjero en la probabilidad de estar en dicha condición (Δ = 10.0%) y un impacto negativo en la especialización en el estudio (Δ = − 16.7 %), frente a lo cual autores como García y Friz (2019), ya habían encontrado algunos resultados del efecto migratorio sobre la asistencia escolar en Chile.
Con respecto al rango etario de entre 19 y 24 años, hubo concordancia con estudios que establecían que la responsabilidad de un menor genera un impacto significativo sobre la probabilidad de ser nini (Δ = 7.9 %) y el abandono escolar (Δ = 19.8 %) (Lőrinc et al., 2019; Struffolino & Borgna, 2020). Referente al rango de entre 25 y 29 años, la probabilidad de estar en la condición se acrecienta por el hecho de ser mujer (Δ = 14.2 %), y, en el modelo de especialización en el trabajo, el género muestra un efecto negativo (Δ = − 11.1 %). Esta situación es materia de discusión y debería cobrar relevancia en estudios futuros, más si se considera la concordancia con investigaciones que han señalado que son las mujeres quienes representan uno de los grupos con mayor exclusión del mercado laboral en Chile (Cavieres et al., 2020).
El presente estudio exploró los determinantes de la condición de nini, incluyendo la heterogeneidad de factores por rangos etarios y categorías. Ello representa un aporte relevante al estudio del tránsito de la escolarización e inserción laboral de los jóvenes y las jóvenes. En general, los resultados permiten evidenciar que aquellos grupos bajo los determinantes propuestos son los que tienen mayor riesgo de adquirir la condición de nini, por lo que es conveniente generar estrategias que les permitan reintegrarse al mercado del trabajo o a la educación.
En este sentido, como implicancias prácticas para la población en edad de escolarización obligatoria (15 a 18 años), se hace necesario enfatizar la generación de políticas de prevención de paternidad o maternidad adolescentes, pues estas últimas aumentan la probabilidad de clasificarse como nini y abandonar la escuela, lo cual deriva en costos económicos y sociales. Además, los resultados de este tramo etario denotan que existe la necesidad de que el Estado garantice la matrícula educativa y asistencia escolar de grupos vulnerables, como es el caso de los migrantes (Δ = − 16.7%). Asimismo, es necesario que se garantice la inserción laboral de las personas en condición de discapacidad (Δ = − 7.1%).
En suma, es importante considerar la generación de estrategias que disminuyan la brecha de género, dado que, en el caso chileno, las mujeres tienen altas probabilidades de ser nini. Como labor transversal, se instaura la necesidad de generar estrategias enfocadas en los grupos más vulnerables de la población joven, de manera específica para quienes pertenecen a hogares pobres. Esta variable se muestra decisiva y crece a medida que la edad de los jóvenes y las jóvenes avanza, por lo que sin duda refleja un problema de inserción al mercado del trabajo (Δ = − 17.7%).
Finalmente, es fundamental reconocer la importancia del presente estudio, debido a que los nini sufren, generalmente, de exclusión permanente del mercado laboral, cuyos efectos son el desempleo y las afecciones en su bienestar futuro (Bynner & Parsons, 2002; Goldman-Mellor et al., 2016; Heckman & Mosso, 2014; Yang, 2020).
Algunas limitaciones del estudio son explorar factores asociados a experiencias o aspiraciones de los jóvenes y las jóvenes, por lo cual sería interesante y relevante que estudios futuros indaguen sobre estos factores a través de otras aproximaciones metodológicas. Por otro lado, puede considerarse como otra limitación el abordar la problemática desde solo esta perspectiva, la que puede invisibilizar lo que realmente se encuentran realizando los jóvenes y las jóvenes nini, materia de debate actualmente (por ejemplo, en Santillán & Pereyra, 2020).
Agradecimientos
Agradecemos al Ministerio de Desarrollo Social y Familia, propietario intelectual de la Encuesta de Caracterización Socioeconómica Nacional y a la Agencia Nacional de Investigación y Desarrollo (ex Conicyt) por el financiamiento de estudios de posgrado.
Referencias
Abayasekara, A., & Gunasekara, N. (2019). Determinants of youth not in education, employment or training: Evidence from Sri Lanka. Review of Development Economics, 23(4), 1840-1862.https://doi.org/10.1111/rode.12615
Berg, L., Rostila, M., Saarela, J., & Hjern, A. (2014). Parental death during childhood and subsequent school performance. Pediatrics, 133(4), 682-689.https://doi.org/f227dp
Buitrón, K., Jami, V., & Méndez, Y. S. (2018). Los jóvenes ninis en el Ecuador. Revista de Economía del Rosario, 21(1), 39-80.https://doi.org/gwtm
Bynner, J., & Parsons, S. (2002). Social exclusion and the transition from school to work: The case of young people not in education, employment, or training (NEET). Journal of Vocational Behavior, 60(2), 289-309.https://doi.org/10.1006/jvbe.2001.1868
Cardoso, G., & Hermeto, A. (2021). Detalhando o perfil de atividade dos jovens brasileiros que não estudam nem trabalham: O papel da busca por trabalho e dos afazeres domésticos. Revista Brasileira de Estudos de População, 38.https://doi.org/jg6d
Caroleo, F. E., Rocca, A., Mazzocchi, P., & Quintano, C. (2020). Being NEET in Europe before and after the economic crisis: An analysis of the micro and macro determinants. Social Indicators Research, 149(3), 991-1024.https://doi.org/gnvdvs
Cavieres, H., Ponce, C., & Gómez, J. (2020). Más allá de los ninis: relación entre juventud, exclusión social y trabajo en el Chile actual. Revista Chakiñan, (10), 60-72. https://doi.org/10.37135/chk.002.10.04
Dorsett, R., & Lucchino, P. (2014). Explaining patterns in the school-to-work transition: An analysis using optimal matching. Advances in Life Course Research, 22, 1-14. https://doi.org/10.1016/j.alcr.2014.07.002
Escoto, A., & Navarrete, E. L.,(2018). Qué hacer para ser nini: recuperando las particularidades de los jóvenes que no estudian y no trabajan en México y El Salvador. Papeles de Población, 24(96), 217-254.https://doi.org/10.22185/24487147.2018.96.20
Finlay, I., Sheridan, M., McKay, J., & Nudzor, H. (2010). Young people on the margins: In need of more choices and more chances in twenty-first century Scotland. British Educational Research Journal, 36(5), 851-867.https://doi.org/10.1080/01411920903168532
Furlong, A., Inui, A., Nishimura, T., & Kojima, Y. (2012). Accounting for the early labour market destinations of 19/20-year-olds in England and Wales and Japan. Journal of Youth Studies, 15(1), 1-15.https://doi.org/10.1080/13676261.2011.617735
García, L. Y., & Friz, M. (2019). El efecto migratorio en la asistencia escolar en Chile. Estudios Pedagógicos, 45(2), 47-59.https://doi.org/10.4067/S0718-07052019000200047
Goldman-Mellor, S., Caspi, A., Arseneault, L., Ajala, N., Ambler, A., Danese, A., Fisher, H., Hucker, A., Odgers, C., Williams, T., Wong, C., & Moffitt, T. E. (2016). Committed to work but vulnerable: Self-perceptions and mental health in NEET 18-year olds from a contemporary British cohort. Journal of Child Psychology and Psychiatry, 57(2), 196-203.https://doi.org/10.1111/jcpp.12459
Greene, W. H. (2012). Econometric analysis. Prentice Hall.
Heckman, J. J., & Mosso, S. (2014). The economics of human development and social mobility. Annual Review of Economics, 6(1), 689-733.https://doi.org/gdg462
Henderson, J. L., Hawke, L. D., & Chaim, G. (2017). Not in employment, education or training: Mental health, substance use, and disengagement in a multi-sectoral sample of service-seeking Canadian youth. Children and Youth Services Review, 75, 138-145.https://doi.org/10.1016/j.childyouth.2017.02.024
Holte, B. H., Swart, I., & Hiilamo, H. (2019). The NEET concept in comparative youth research: The Nordic countries and South Africa. Journal of Youth Studies, 22(2), 256- 272.https://doi.org/10.1080/13676261.2018.1496406
Hoyos, R. de, Rogers, H., & Székely, M. (2016). Ninis en América Latina: 20 millones de jóvenes en búsqueda de oportunidades. Banco Mundial.
Hutchinson, J., Beck, V., & Hooley, T. (2016). Delivering NEET policy packages? A decade of NEET policy in England. Journal of Education and Work, 29(6), 707-727. https://doi.org/10.1080/13639080.2015.1051519
Imdorf, C., Helbling, L. A., & Inui, A. (2017). Transition systems and non-standard employment in early career: Comparing Japan and Switzerland. Journal of Education and Work, 30(5), 486-500.https://doi.org/10.1080/13639080.2016.1243234
Jongbloed, J., & Giret, J.-F. (2021). Quality of life of NEET youth in comparative perspective: Subjective well-being during the transition to adulthood. Journal of Youth Studies, 25(3), 1-23.https://doi.org/10.1080/13676261.2020.1869196
Kallio, J. M., Kauppinen, T. M., & Erola, J. (2016). Cumulative socioeconomic disadvantage and secondary education in Finland. European Sociological Review, 32(5), 649-661.https://doi.org/10.1093/esr/jcw021
Kelly, E., & McGuinness, S. (2015). Impact of the Great Recession on unemployed and NEET individuals’ labour market transitions in Ireland. Economic Systems,39(1), 59-71.https://doi.org/10.1016/j.ecosys.2014.06.004
Lőrinc, M., Ryan, L., D’Angelo, A., & Kaye, N. (2019). De-individualising the «NEET problem»: An ecological systems analysis. European Educational Research Journal, 19(5).https://doi.org/10.1177/1474904119880402
Lunsing, W. (2008). Niito tte iu na! (Don’t call us NEET!). Social Science Japan Journal, 11(2), 361-364.https://doi.org/10.1093/ssjj/jyn052
Mawn, L., Oliver, E. J., Akhter, N., Bambra, C. L., Torgerson, C., Bridle, C., & Stain, H. (2017). Are we failing young people not in employment, education or training (NEETs)? A systematic review and meta-analysis of re-engagement interventions. Systematic Reviews, 6(1), 16.https://doi.org/10.1186/s13643-016-0394-2
Pitkänen, J., Remes, H., Moustgaard, H., & Martikainen, P. (2019). Parental socioeconomic resources and adverse childhood experiences as predictors of not in education, employment, or training: A Finnish register-based longitudinal study. Journal of Youth Studies, 24(1), 1-18.https://doi.org/10.1080/13676261.2019.1679745
Ponomarenko, V. (2016). Cumulative disadvantages of non-employment and non-standard work for career patterns and subjective well-being in retirement. Advances in Life Course Research, 30, 133-148.https://doi.org/10.1016/j.alcr.2016.06.003
Ralston, K., Everington, D., Feng, Z., & Dibben, C. (2022). Economic inactivity, not in employment, education or training (NEET) and scarring: The importance of NEET as a marker of long-term disadvantage. Work, Employment and Society, 36(1), 59-79.https://doi.org/10.1177/0950017020973882
Rasalingam, A., Brekke, I., Dahl, E., & Helseth, S. (2021). Impact of growing up with somatic long-term health challenges on school completion, NEET status and disability pension: A population-based longitudinal study. BMC Public Health, 21(1), 514.https://doi.org/10.1186/s12889-021-10538-w
Rodríguez, C., Muñoz, M., & Padilla, G. (2021). Población nini en Chile: motivos para la exclusión laboral y educativa. Ajayu, 19(1), 195-213.
Rodwell, L., Romaniuk, H., Nilsen, W., Carlin, J. B., Lee, K. J., & Patton, G. C. (2018). Adolescent mental health and behavioural predictors of being NEET: A prospective study of young adults not in employment, education, or training. Psychological Medicine, 48(5), 861-871.https://doi.org/10.1017/S0033291717002434
Ruiz, A. C., Palma, M., & Álvarez, J. C. (2018). Jóvenes nini: nuevas trayectorias hacia la exclusión social. Comunitania, (15), 39-49.https://doi.org/10.5944/comunitania.15.2
Sánchez, R. (2021). Los jóvenes que no estudian ni trabajan (ninis) en Colombia (Youth not in Employment, Education or Training (NEET) In Colombia) (SSRN Scholarly Paper ID 3874011). Social Science Research Network.https://doi.org/jg6h
Santillan, M. M., & Pereyra, E. J. (2020). Juventudes invisibilizadas en Argentina: la relevancia de los trabajos no remunerados y la validez de la categoría nini. Revista Latinoamericana de Población, 14(27), 149-184.https://doi.org/jg6m
Schoon, I. (2014). Parental worklessness and the experience of NEET among their offspring: Evidence from the longitudinal study of young people in England (Lsype). Longitudinal and Life Course Studies, 5(2), 129-150.https://doi.org/10.14301/llcs.v5i2.279
Serracant, P. (2014). A brute indicator for a NEET case: Genesis and evolution of a problematic concept and results from an alternative indicator. Social Indicators Research, 117(2), 401-419.https://doi.org/10.1007/s11205-013-0352-5
Shirasu, M. R., Arraes, R. D. A. (2020). Avaliação dos custos econômicos associados aos jovens nem-nem no Brasil. Brazilian Journal of Political Economy, 40(1), 161-182.https://doi.org/10.1590/0101-31572020-2902
Staff, J., & Kreager, D. (2008). Too cool for school? Violence, peer status and high school dropout. Social Forces, 87(1), 445-471.https://doi.org/10.1353/sof.0.0068
Struffolino, E., & Borgna, C. (2020). Who is really «left behind»?: Half a century of gender differences in the school-to-work transitions of low-educated youth. Journal of Youth Studies, 24(2), 1-24.https://doi.org/10.1080/13676261.2020.1713308
Thompson, R. (2011). Individualisation and social exclusion: The case of young people not in education, employment or training. Oxford Review of Education, 37(6), 785-802.https://doi.org/10.1080/03054985.2011.636507
Unay-Gailhard, İ. (2016). Job access after leaving education: A comparative analysis of young women and men in rural Germany. Journal of Youth Studies, 19(10), 1355-1381.https://doi.org/10.1080/13676261.2016.1166189
Veldman, K., Bültmann, U., Almansa, J., & Reijneveld, S. A. (2015). Childhood adversities and educational attainment in young adulthood: The role of mental health problems in adolescence. Journal of Adolescent Health, 57(5), 462-467.https://doi.org/f7wtq3
Veldman, K., Reijneveld, S. A., Andersen, J., Winding, T., Labriola, M., Lund, T., & Bültmann, U. (2022). The timing and duration of depressive symptoms from adolescence to young adulthood and young adults’ NEET status: The role of educational attainment. Social Psychiatry and Psychiatric Epidemiology, 57(1), 83-93.https://doi.org/10.1007/s00127-021-02142-5
Wesseling, W. (2021). Towards a more all-inclusive evaluation of interventions for unemployed youth: A longitudinal investigation of participant, programme, relational and contextual factors. Social Policy & Administration, 55(7), 1145-1161.https://doi.org/10.1111/spol.12705
Yang, Y. (2020). China’s youth in NEET (Not in Education, Employment, or Training): Evidence from a national survey. The Annals of the American Academy of Political and Social Science, 688(1), 171-189.https://doi.org/10.1177/0002716220909807
Yates, S., Harris, A., Sabates, R., & Staff, J. (2011). Early occupational aspirations and fractured transitions: A study of entry into «NEET» status in the UK. Journal of Social Policy, 40(3), 513-534.https://doi.org/10.1017/S0047279410000656
Notas