Article
La relación de la actividad física sobre la imagen corporal en mujeres postparto
Physical activity association with body image in postpartum women
La relación de la actividad física sobre la imagen corporal en mujeres postparto
Psychology, Society & Education, vol. 15, no. 2, pp. 37-44, 2023
Universidad de Córdoba
Received: 05 March 2023
Revised document received: 13 June 2023
Accepted: 07 July 2023
Resumen: La percepción de la imagen corporal suele verse afectada en las diferentes etapas de la vida de la mujer. La práctica de ejercicio físico está relacionada con una mejora de la percepción de la imagen corporal, por lo que resulta importante investigar para conocer cómo afecta la práctica de ejercicio físico a la imagen corporal en la etapa postparto, ya que en esta etapa la percepción suele ser más negativa. Para ello, se diseñó un cuestionario en línea compuesto por cuestiones sociodemográficas, se evaluó el nivel de actividad física a través del International Physical Activity Questionnaire y la satisfacción corporal a través del Body Shape Questionnaire. La muestra ha sido compuesta por 80 mujeres españolas, de edades comprendidas entre 23 y 42 años que han sido madres en los años 2020 y 2021. Los resultados muestran que el Índice de Masa Corporal está asociado positiva y significativamente con la insatisfacción corporal. Sin embargo, en relación con el ejercicio físico, los resultados mostraron una relación inversa a la esperada. Aquellas mujeres que presentaban mayor insatisfacción corporal fueron las que más Índice de Masa Corporal tenía y más práctica de actividad física realizaban, siendo el Índice de Masa Corpora la variable que más explicaba la insatisfacción corporal.
Palabras clave: Satisfacción corporal, Postparto, Índice de Masa Corporal, Ejercicio físico, Mujer.
Abstract: The perception of body image is usually affected in the different stages of a woman’s life. The practice of physical exercise would be related to an improvement in the perception of body image, so it is important to investigate how the practice of physical exercise affects body image in the postpartum stage, since at this stage the perception is usually more negative . For this purpose, an online questionnaire was designed, consisting of socio-demographic questions, the International Physical Activity Questionnaire and the Body Shape Questionnaire. The sample consisted of 80 Spanish women, aged between 23 and 42 years, who were mothers in 2020 and 2021. The results show that the Body Mass Index is positively and significantly associated with body dissatisfaction. However, in relation to physical exercise, the results showed an inverse relationship. The women with the highest body dissatisfaction were those with the highest Body Mass Index and the highest level of physical activity, with Body Mass Index being the variable that most explained body dissatisfaction.
Keywords: Body image, Postpartum, Body Mass Index, Exercise, Women.
La etapa de embarazo y puerperio registran grandes alteraciones fisionómicas, psicosociales y hormonales que conllevan cambios en la apariencia física, diferencias en el modo de interactuar con el entorno y, entre otras muchas cuestiones, procesos de adaptación al nuevo rol y a una situación diferente de vida (Gross y Marcussen, 2017). Además, los rápidos cambios físicos que se originan en el cuerpo y la forma en un periodo relativamente corto (40 semanas), hacen que el embarazo sea un momento ideal para evaluar la imagen corporal de forma prospectiva (Skouteris, 2011).
Durante el embarazo, pueden acontecer importantes secuelas psicológicas y emocionales como resultado de estos cambios. Una de estas secuelas es la preocupación por la imagen corporal (Kiani-Sheikhabadi et al., 2019). Es probable que las mujeres reevalúen su imagen corporal, ya que el tamaño y la forma del cuerpo cambian, y los síntomas físicos relacionados con el embarazo son más pronunciados. Esto permite potencialmente una posible consecuencia de los factores que conducen a la insatisfacción corporal en relación con otros momentos de la vida de las mujeres, en los que la forma del cuerpo permanece relativamente estable (Kiani-Sheikhabadi et al., 2019).
Durante la etapa de postparto, las mujeres pueden tener una intensa presión para “recuperarse” y perder peso rápidamente (Montgomery et al., 2013). Los estereotipos de “cuerpo perfecto” que venden los medios de comunicación enfatizan la importancia de lograr un cuerpo postparto delgado y tonificado poco realista (Lovering et al., 2018). Como resultado, la preocupación relacionada con el cuerpo puede ser alta, particularmente porque los cambios corporales después del embarazo a menudo son inesperados e incontrolables (Borelli et al., 2016; Skouteris, 2005).
Diferentes investigaciones (Clark et al., 2009; Gjerdingen et al., 2009) han demostrado que la insatisfacción corporal aumenta de forma significativa después del parto hasta los 12 meses, siendo preocupante ya que se asocia a peor salud mental y a la adquisición de problemas con la conducta alimentaria.
Para Carter-Edwards (2010) existen cambios sustanciales durante el embarazo relacionados con el aumento de peso, dando lugar en múltiples ocasiones situaciones de sobrepeso y obesidad durante el embarazo y después del parto. Las mujeres que ganan peso durante el embarazo tienen más posibilidades de retener más peso durante el periodo postparto que las mujeres con un aumento de peso moderado (Rooney et al., 2002), siendo el IMC una variable que puede influir en la imagen corporal.
Además de los cambios en la imagen corporal, muchas mujeres en la etapa de postparto informan de una disminución del ejercicio físico (Walker et al., 2016). Una revisión sistemática realizada por Engberg et al. (2012), identifica diferentes estudios en los que la actividad física disminuye significativamente desde antes del embarazo hasta la etapa de postparto.
La realización de ejercicio físico sistemático influye positivamente en la salud física de las mujeres durante el embarazo y postparto (Bull et al., 2020). Sin embargo, a pesar de la evidencia científica en este sentido, hay poca evidencia empírica sobre este tema.
Los cambios en la imagen corporal y las alteraciones en el comportamiento del ejercicio físico son dos áreas importantes de cambio que tienen una gran capacidad para influir en el bienestar (Downs et al., 2008). Sin embargo, no se comprenden bien las complejidades y las interrelaciones entre la imagen corporal y el ejercicio en esta etapa. En este sentido dicha relación es compleja y bidireccional.
Por un lado, existe evidencia de que las mujeres que cumplen con las pautas de ejercicio físico tienen una mejor satisfacción corporal (Boscaglia et al., 2003; Hilton y Olson, 2001). En un estudio transversal de 440 mujeres, la satisfacción corporal era significativamente mayor en las mujeres que realizaban actividad física sistemática (Erbil et al., 2012). Además, existe evidencia de que la insatisfacción con la imagen corporal en el postparto temprano es un fuerte determinante de la insatisfacción corporal un año después (Rallis et al., 2007). De la misma forma, las mujeres que son activas antes del embarazo pueden tener una mejor salud durante el mismo y en el postparto (Abraham et al., 2001). Sin embargo, estos hallazgos se basan en una pequeña cantidad de estudios con tamaños de muestras limitados. Por otro lado, existen estudios que han demostrado asociaciones negativas significativas entre la insatisfacción corporal y el ejercicio físico (Walkert et al., 2016). Igualmente, existen estudios que no encontraron ninguna asociación entre la imagen corporal y la actividad física (Collings et al., 2018). En un estudio cualitativo se pone de manifiesto que la relación entre el ejercicio físico y la imagen corporal es compleja, individualista, dinámica y dependientes del contexto (Raspovic et al., 2020). La mayoría de las mujeres participantes en el estudio declararon que realizaron ejercicio físico o no influenciadas en gran medida por su insatisfacción corporal y que esto conllevaba a situaciones negativas relacionadas con su cuerpo. Por el contrario, las madres que mostraron mayor satisfacción corporal describieron conductas de ejercicio más adaptativas.
Un problema que puede estar obstaculizando la evidencia de la investigación en esta área es la dificultad para medir el comportamiento del ejercicio, concretamente la tasa de prevalencia del nivel de actividad física durante esta etapa. El 70% de las mujeres embarazadas son inactivas (Evenson et al., 2004), y las tasas de nula y baja actividad persisten en el postparto (Pereira et al., 2007).
Por lo tanto, existe la necesidad de investigaciones que examinen la influencia de la conducta de ejercicio físico y su contribución para explicar la imagen corporal de las mujeres en la etapa de postparto. Teniendo en cuenta los resultados contradictorios de la evidencia científica en relación con la práctica de actividad física con los cambios en la imagen corporal, el objetivo que se plantea en este trabajo es conocer en qué medida la realización de ejercicio físico proporciona beneficios a las mujeres en la etapa de postparto con respecto a su imagen corporal teniendo en cuenta su composición corporal.
Método
Diseño y muestra
El trabajo se incluye dentro una investigación transversal y observacional con una cohorte de tipo retrospectiva con referencia a los estados antes, durante y después del embarazo. La muestra está compuesta por 80 mujeres españolas, de edades comprendidas entre 23 y 42 años (M = 33.94; SD = 4.26), que han sido madres en los años 2020 y 2021.
En este trabajo se establecieron como criterios de inclusión los siguientes: (1) la participación voluntaria en el estudio, (2) tener un bebé sano, (3) encontrarse en la etapa de postparto de 0 a 12 meses y (4) las participantes debían ser mayores de 18 años.
Las participantes fueron informadas sobre el diseño del estudio y se les solicitó su consentimiento antes de la participación. Durante la recogida de datos se han respetado las normas éticas y legales vigentes en cuanto a investigación con seres humanos y protección de datos.
Instrumentos
Se recopiló información sociodemográfica a nivel general sobre cada participante, donde se incluye la edad, la situación laboral, el número de hijos, meses de lactancia, y la actividad física antes, durante y después del embarazo.
La composición corporal se evaluó mediante el IMC. El IMC se calculó con siguiente fórmula: IMC = peso (Kg) / altura2 (m2) (Kg/m2). Para la codificación del IMC se tuvo en cuenta la clasificación de la OMS, donde un IMC igual o superior a 30 kg/m2 se considera obesidad.
Para evaluar la actividad física se utilizó el cuestionario International Physical Activity Questionnaire (IPAQ) (Craig et al., 2003). Se trata de un instrumento para evaluar y categorización el nivel de actividad física. El IPAQ (versión corta) consta de 7 preguntas acerca de la frecuencia, duración e intensidad de la actividad (baja, moderada e intensa) realizada los últimos siete días, así como el caminar y el tiempo sentado en un día laboral. En función de los resultados se proponen tres niveles de actividad física. Actividad física ligera, sin actividad o alguna actividad, pero no lo suficiente para incluirlas en las categorías siguientes. Actividad física moderada, tres días o más de actividad vigorosa con una intensidad al menos de 20 minutos por día, cinco o más días de intensidad moderada y/o andar al menos 30 minutos por día o cinco o más días de cualquier combinación de andar, actividad de intensidad moderada y actividad vigorosa sumando un mínimo total de actividad física de al menos 600 MET-minutos/semana. Actividad física intensa, actividades de intensidad vigorosa al menos tres días sumando un mínimo total de actividad física de al menos 1500 MET-minutos/semana o siete o más días de cualquier combinación de andar, intensidad moderada o actividades de intensidad vigorosa sumando un mínimo total de actividad física de al menos 3000 MET-minutos/semana (Delgado et al., 2005).
Para medir la imagen corporal se ha utilizado el cuestionario Body Shape Questionnaire (BSQ). Elaborado por Cooper y colaboradores en 1987. Es adaptado a la población española por Raich et al. (1996). Este instrumento permite medir la preocupación por el peso y la insatisfacción con la imagen corporal. Consta de 34 ítems (“Preocuparte por fu figura ¿Te ha hecho ponerte a dieta?”). Tiene una escala tipo Likert con los siguientes valores: 1 = nunca; 2 = raramente; 3 = algunas veces; 4 = a menudo; 5 = muy a menudo; 6 = siempre. El cuestionario tiene una puntación total en el que se ha de sumar todas las puntuaciones parciales de cada ítem. En el presente estudio, el alfa de Cronbach fue de .92.
Procedimiento
Se realizó un cuestionario online que se envió mediante correo electrónico a profesionales de la actividad física de centro deportivos especializados en embarazo y postparto, para su distribución. Las participantes firmaron una declaración en la que daban su consentimiento para recoger información personal y pertinente al estudio, así como de someterse a los cuestionarios que componen esta investigación, todo detallado en la información inicial previa a la realización del cuestionario.
Análisis estadístico
En primer lugar, se realizó un análisis descriptivo de las variables del estudio, utilizando la media y desviación típica para explicar las características cuantitativas de la muestra y el número y porcentaje para las características cualitativas. Se calculó la normalidad para las distribuciones y la homogeneidad de las variables con el test de Kolmogorov-Smirnov. Para estudiar la relación entre la actividad física realizada antes, durante y después del embarazo y la composición corporal se utilizó el test de Wilcoxon y U de Mann-Whitney. Para analizar si el nivel de actividad física se relacionó con la imagen corporal se utilizó la prueba Kruskall Wallis, utilizando una prueba post hoc para establecer las diferencias entre niveles de actividad física (ligera, moderada o vigorosa). Se realizó un análisis de la varianza para evaluar de manera conjunta los efectos del IMC y el nivel de actividad física sobre la insatisfacción corporal. Se utilizó la correlación de Spearman para relacionar de manera cuantitativa la imagen corporal y las variables que medían actividad física. Finalmente, se realizó un análisis de regresión lineal multivariado para estimar el poder predictor de la insatisfacción corporal como variable dependiente y la edad, el IMC, los meses transcurridos después del parto y la actividad física total como variables independientes. El nivel de significación se estableció en .05. Para la realización de la base de datos y posterior análisis estadístico se ha empleado el paquete estadístico SPSS 22.0 para Windows.
Resultados
La Tabla 1 muestra los resultados descriptivos de las participantes. Se observó una mayor tasa de actividad física durante el embarazo, a su vez se observa que más de la mitad de estas mujeres tienen un trabajo activo. La realización de actividad física prima en todas las etapas, antes, durante y después del embarazo, siendo menor el número de mujeres que no la realizan. Por último, se observa que, en todas las etapas anteriormente nombradas, el tipo de actividad física que predomina en estas mujeres es la práctica de fuerza, gimnasios y fitness.

La Tabla 2 analiza la relación entre la actividad física realizada antes, durante y después del embarazo y el IMC en las personas encuestadas. Se observaron diferencias estadísticamente significativas en el IMC entre las mujeres que realizaban actividad física después del embarazo (U = 286.5; W = 2632.5; p = .05), siendo mayor el IMC en aquellas mujeres que no realizaron actividad física durante el postparto. Por el contrario, no se observaron diferencias en el IMC de aquellas personas que realizaban actividad física antes y durante el embarazo (U = 226.5; W = 262.5; p = .016 y U = 321.5; W = 286.5; p = .343, respectivamente).

La Figura 1 muestra la asociación entre nivel de práctica de actividad física y la imagen corporal. Se observó que aquellas mujeres que más actividad física hacían estaban más insatisfechas con su imagen corporal. En una prueba post hoc, se estableció que las únicas diferencias significativas se dan entre el grupo de moderada actividad física (rango promedio BSQ = 47.64; p = .023) y el grupo de un nivel alto de actividad física (rango promedio BSQ = 34.66).

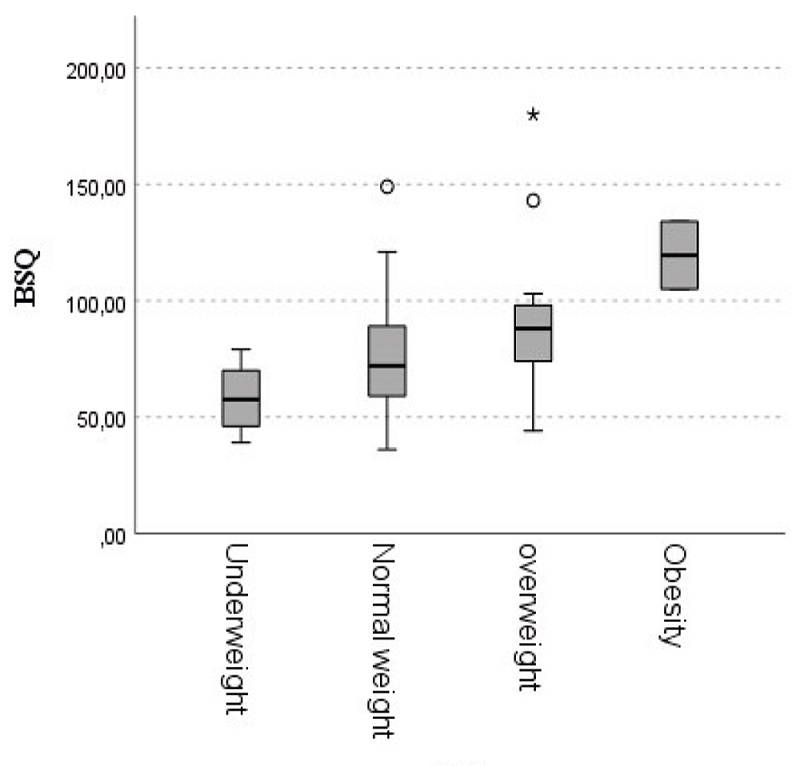
La Figura 2 muestra el análisis comparativo entre el IMC categorizado y la insatisfacción con la imagen corporal. Se observaron diferencias estadísticamente significativas los diferentes grupos de IMC y la imagen corporal (χ 2kw (2) = 12.4; p = .006; n = 80), es decir, a medida que aumenta el IMC era mayor, más elevada fue la insatisfacción con la imagen corporal. En concreto, encontramos diferencias al comparar los grupos bajo peso vs. sobrepeso (p = .005) y bajo peso vs. obesidad (p = .004), siendo los rangos promedios del BSQ en la categoría bajopeso de 19.6, en la categoría sobrepeso de 51.3 y en la categoría obesidad de 74.5.

Se realizó un análisis de la varianza para evaluar de manera conjunta los efectos del IMC y el nivel de actividad física sobre la insatisfacción corporal (Tabla 3). Los resultados de este análisis manifiestan la existencia de diferencias significativas en función del IMC (p = .031) y no en función del nivel de actividad física. La interacción entre ambos no resultó estadísticamente significativa. El porcentaje de la varianza del IMC fue del 11.7%.

La Tabla 4 muestra las correlaciones analizadas entre la insatisfacción corporal y el índice de masa corporal y la actividad física en función del momento y la tipología. Existió una asociación positiva entre la insatisfacción corporal y el IMC (p < .01), la frecuencia semanal de práctica de actividad física después del embarazo, así como la tipología de práctica, principalmente a través de la AF ligera reportada (p < .05).

La Tabla 5 muestra el análisis de regresión lineal multivariante entre la insatisfacción corporal como variable dependiente y la edad, el IMC, los meses transcurridos después del parto y la actividad física total como variables independientes. A nivel global, se observó que tanto el IMC (β = 0.4; p < .001) como la actividad física global (β = 0.35; p < .001) de las participantes fueron predictores de su imagen corporal, siendo explicado en un 31.8% de estas. Por el contrario, tanto la edad como el último mes de embarazo resultaron no ser predictoras de la imagen corporal cuando dichas variables fueron introducidas en el modelo.

Discusión
El objetivo que se plantea en este trabajo es conocer en qué medida la realización de ejercicio físico proporciona beneficios a las mujeres en la etapa de postparto con respecto a su imagen corporal teniendo en cuenta su composición corporal.
En consonancia con investigaciones anteriores (Clark et al., 2009; Skouteris, 2005) los resultados muestran que las mujeres que tenían mayor IMC presentaban mayor insatisfacción corporal en la etapa de postparto. Observamos que se encontró una asociación positiva y significativa entre la insatisfacción con la imagen corporal y el IMC. Resultados similares son los que concluyen Ballester et al. (2008), quienes informaban las mujeres más insatisfechas con su imagen corporal son las que tenían IMC más altos. El estudio de Sarwer et al. (2011) expone que la insatisfacción corporal es más significativa cuando se registra un aumento de peso gestacional, es decir, cuando hay mayor IMC.
Aunque nuestra muestra está compuesta por mujeres españolas postparto, esta relación la podemos encontrar en varios estudios de distintos países, aunque es cierto que la imagen corporal varía según la etnia y el país donde vivimos, este estudio indica que independientemente de estos factores quien presenta mayor IMC, tiene mayor insatisfacción corporal (Casillas-Estrella et al., 2006). En cambio, hay artículos que llegan a conclusiones contrarias (Carter-Edwards et al., 2010). En este sentido, la literatura demuestra que existen diferencias raciales en el peso postparto, las imágenes ideales y la satisfacción corporal. La discrepancia corporal de las mujeres afroamericanas fue significativamente más bajas que las de las mujeres blancas, lo que indica una mayor satisfacción corporal entre las mujeres afroamericanas.
En relación con el ejercicio físico, hemos obtenido resultados con una relación inversa con la imagen corporal. Ya conocemos todos los beneficios del ejercicio físico sobre la salud, también sobre la salud de una mujer embarazada y postparto. Encontramos beneficios fisiológicos, el ejercicio físico es protector, se asocia positivamente con el fitness físico, además tiene grandes beneficios psicológicos como es la disminución de la depresión, mejor calidad de vida y mejor percepción de la salud (Nygaard et al., 2013). En cambio, en nuestro estudio, al medir los resultados de la actividad física sobre la imagen corporal, la relación ha sido inversa, esto quiere decir que, a mayor insatisfacción corporal, mayor práctica de ejercicio físico. Esto podría ser debido a que las mujeres que tienen una peor composición corporal, o un IMC más alto al no estar contentas con su estado físico decidan realizar más ejercicio físico o aumentar la intensidad de este ya que esto haría que su cuerpo se modifique.
En el presente estudio se advierte que las personas que consideran la práctica de actividad física como algo fundamental en su vida, son las que mostraban mayor insatisfacción corporal. Una posible explicación en este sentido sería el miedo a engordar, ya que podría ser una posible causa que llevaría a la población a realizar actividad física, y este miedo a engordar estaría relacionado con la imagen corporal (Arbinaga et al., 2011).
Aunque nuestra muestra no sea similar a la del artículo anterior, podemos ver que se podría establecer una relación entre el miedo a engordar o aumentar su IMC, con el aumento de la práctica de ejercicio físico. Engordar o aumentar el IMC de estas mujeres, aumentaría la probabilidad de realizar más ejercicio físico, coincidiendo con los resultados de nuestra muestra.
Toda esta preocupación por la imagen corporal en la etapa de postparto podría tener una explicación, la literatura sugiere que las mujeres perciben presiones socioculturales para lograr cuerpos perfectos ideales, pero poco realistas durante esta etapa, lo que favorece a sus preocupaciones sobre la imagen corporal (Faleschini et al., 2019; Lovering, et al., 2018; Riesco-González et al., 2022).
Se ha estudiado el nivel de ejercicio físico que han realizado estas mujeres antes, durante y después del embarazo, siendo de más relevancia en esta investigación el ejercicio físico que hacían después del embarazo. El IMC de las mujeres ha sido mayor en aquellas que no realizaban ningún tipo de ejercicio durante su postparto. En esta investigación, la imagen corporal se explica estadísticamente con mayor puntuación en el IMC que en el nivel de ejercicio físico practicado, en concordancia con el siguiente estudio, en el cual no se mide el ejercicio físico que realizan las mujeres para relacionarla con la imagen corporal, sino que sólo estudia el IMC de cada una de ellas (Walker et al., 2004).
Cabe señalar algunas limitaciones en este estudio que se deben tenerse en cuenta. Los datos se han obtenido de forma no presencial, debido a la pandemia del Covid-19, lo que nos hizo realizar esta investigación de forma totalmente online. Los datos obtenidos provienen de una muestra por conveniencia y de muestreo no probabilístico ya que hemos tenido en cuenta sólo a mujeres que no superaban el año postparto, por lo que nuestra muestra está compuesta por mujeres que llevan un año o menos en esta etapa.
Sin embargo, los datos de esta investigación han sido relevantes y nos ha permitido aumentar el conocimiento sobre cómo afectan diferentes factores, en este caso el IMC y el ejercicio físico sobre la imagen corporal de mujeres postparto. Para finalizar, hay que señalar que resulta necesario seguir investigando y efectuar nuevos estudios con amplias muestras de sujetos, interviniendo con diferentes propuestas de ejercicio físico que mejoren la imagen corporal de estas mujeres. También debemos incorporar evaluaciones objetivas de actividad física pues el IPAQ es un cuestionario autorreportado, por lo que los resultados están sujetos a la precisión y honestidad de las respuestas.
Conclusiones
Los resultados obtenidos en este estudio revelan que mayores valores de IMC revelan mayor insatisfacción corporal en la etapa postparto. Además, aquellas mujeres que realizaban mayor actividad física en esta etapa eran las que más problemas tenían con su imagen corporal. Por ello es necesario promover una actitud positiva hacia la imagen corporal y dotar a la mujer de las herramientas necesarias para mejorar su imagen corporal en el puerperio.
En necesario realizar más investigaciones a gran escala y a largo plazo sobre la relación entre la imagen corporal y el ejercicio, así como desarrollar intervenciones para mejorar la apreciación del cuerpo y disminuir la insatisfacción corporal.
Referencias
Abraham, S., Taylor, A., y Conti, J. (2001). Postnatal depression, eating, exercise, and vomiting before and during pregnancy. The International Journal of Eating Disorders, 29(4), 482-487. https://doi.org/10.1002/eat.1046
Arbinaga, F., García, D., Vázquez, I., Joaquín, M., y Pazos, E. (2011). Actitudes hacia el ejercicio en estudiantes universitarios: relaciones con los hábitos alimenticios y la insatisfacción corporal. Revista Iberoamericana de Psicología del Ejercicio y el Deporte, 6(1), 97-112.
Ballester, D., De Gracia, M., Patiño, J., Suñol, C., y Ferrer, M. (2002). Actitudes alimentarias y satisfacción corporal en adolescentes: Un estudio de prevalencia. Actas españolas de psiquiatría.
Borelli, M. F., Mayorga, M., Vega, S. M. D. L., Contreras, N. B., Tolaba, A. M., y Passamai, M. I. (2016). Estado nutricional y percepción de la imagen corporal de embarazadas asistidas en centros de salud de Salta Capital, Argentina. Revista Española de Nutrición Humana y Dietética, 20(3), 174-179. https://doi.org/10.14306/renhyd.20.3.207
Boscaglia, N., Skouteris, H., y Wertheim, E. H. (2003). Changes in body image satisfaction during pregnancy: a comparison of high exercising and low exercising women. The Australian & New Zealand Journal of Obstetrics & Gynaecology, 43(1), 41-45. https://doi.org/10.1046/j.0004-8666.2003.00016.x
Bull, F. C., Al-Ansari, S. S., Biddle, S., Borodulin, K., Buman, M. P., Cardon, G., Carty, C., Chaput, J. P., Chastin, S., Chou, R., Dempsey, P. C., DiPietro, L., Ekelund, U., Firth, J., Friedenreich, C. M., Garcia, L., Gichu, M., Jago, R., Katzmarzyk, P. T., Lambert, E., Willumsen, J. F. (2020). World Health Organization 2020 guidelines on physical activity and sedentary behaviour. British Journal of Sports Medicine, 54(24), 1451-1462. http://dx.doi.org/10.1136/bjsports-2020-102955
Carter-Edwards, L., Bastian, L. A. , Revels, J., Durham, H., Lokhnygina, Y., Amamoo, M. A., y Ostbye, T. (2010). Body image and body satisfaction differ by race in overweight postpartum mothers. Journal of Women’s Health, 19(2), 305-311. https://doi.org/10.1089/jwh.2008.1238
Casillas-Estrella, M., Montaño-Castrejón, N., Reyes-Velázquez, V., Bacardí-Gascón, M., y Jiménez-Cruz, A. (2006). A mayor IMC mayor grado de insatisfacción de la imagen corporal. Revista Biomédica, 17(4), 243-249. https://doi.org/10.32776/revbiomed.v17i4.463
Clark, A., Skouteris, H., Wertheim, E. H., Paxton, S. J., y Milgrom, J. (2009). The relationship between depression and body dissatisfaction across pregnancy and the postpartum: a prospective study. Journal of Health Psychology, 14(1), 27-35. https://doi.org/10.1177/1359105308097940
Craig, C. L., Marshall, A. L., Sjöström, M., Bauman, A. E., Booth, M. L., Ainsworth, B. E., Pratt, M., Ekelund, U., Yngve, A., Sallis, J. F., y Oja, P. (2003). International physical activity questionnaire: 12-country reliability and validity. Medicine & Science in Sports & Exercise, 35(8), Artículo 13811395. 10.1249/01.MSS.0000078924.61453.FB
Gross, C. L., y Marcussen, K. (2017). Postpartum depression in mothers and fathers: The role of parenting efficacy expectations during the transition to parenthood. Sex Roles: A Journal of Research, 76(5-6), 290-305. https://doi.org/10.1007/s11199-016-0629-7
Collings, R., Hill, B., y Skouteris, H. (2018). The influence of psychological factors on postpartum weight retention 12 months post-birth. Journal of Reproductive and Infant Psychology, 36(2), 177-191. https://doi.org/10.1080/02646838.2018.1424323
Cooper, P. J., Taylor, M. J., Cooper, Z., y Fairburn, C. G. (1987). The development and validation of the Body Shape Questionnaire. International Journal of Eating Disorders, 6, 485-494. https://doi.org/10.1002/1098-108X(198707)6:4<485::AIDEAT2260060405>3.0.CO;2-O
Delgado, M., Tercedor, P., y Soto, V. (2005). Traducción de las guías para el procesamiento de datos y análisis del Cuestionario Internacional de Actividad Física (IPAQ). Versiones corta y larga. Universidad de Granada. Disponible en: https://www.juntadeandalucia.es/export/drupaljda/IPAQ_Procesamiento_Datos_UGR_2005.pdf
Downs, D. S., DiNallo, J. M., y Kirner, T. L. (2008). Determinants of pregnancy and postpartum depression: Prospective influences of depressive symptoms, body image satisfaction, and exercise behavior. Annals of Behavioral Medicine, 36(1), 54-63. https://doi.org/10.1007/s12160-008-9044-9
Engberg, E., Alen, M., Kukkonen-Harjula, K., Peltonen, J. E., Tikkanen, H. O., y Pekkarinen, H. (2012). Life events and change in leisure time physical activity. Sports Medicine, 42(5), 433-447. https://doi.org/10.2165/11597610-000000000-00000
Erbil, N., Senkul, A., Basara, G. F., Saglam, Y., y Gezer, M. (2012). Body image among Turkish women during the first year postpartum. Health Care for Women International, 33(2), 125-137. https://doi.org/10.1080/07399332.2011.603977
Evenson, K. R., Savitz, D. A., y Huston, S. L. (2004). Leisure-time physical activity among pregnant women in the US. Paediatric and Perinatal Epidemiology, 18(6), 400-407. https://doi.org/10.1111/j.1365-3016.2004.00595.x
Faleschini, S., Millar, L., Rifas-Shiman, S. L., Skouteris, H., Hivert, M. F., y Oken, E. (2019). Women’s perceived social support: associations with postpartum weight retention, health behaviors and depressive symptoms. BMC Women’s Health, 19(1), 1-8. https://doi.org/10.1186/s12905-019-0839-6
Gjerdingen, D., Fontaine, P., Crow, S., McGovern, P., Center, B., y Miner, M. (2009). Predictors of mothers’ postpartum body dissatisfaction. Women & Health, 49(6-7), 491-504. https://doi.org/10.1080/03630240903423998
Hilton, P. S., y Olson, C. M. (2001). Postpartum exercise and food intake: The importance of behavior-specific self-efficacy. Journal of the American Dietetic Association, 101(12), 1430-1437. https://doi.org/10.1016/S0002-8223(01)00345-5
Kiani-Sheikhabadi, M., Beigi, M., y Mohebbi-Dehnavi, Z. (2019). The relationship between perfectionism and body image with eating disorder in pregnancy. Journal of Education and Health Promotion, 8, Artículo 242. https://doi.org/10.4103/jehp.jehp_58_19
George, J. E., y Franko, D. L. (2018). Exploring the tripartite influence model of body dissatisfaction in postpartum women. Body Image, 24, 44-54. https://doi.org/10.1016/j.bodyim.2017.12.001
Montgomery, K. S., Aniello, T. D., Phillips, J. D., Kirkpatrick, T., Catledge, C., Braveboy, K., O’Rourke, C., Patel, N., Prophet, M., Cooper, A., Parker, C., Mosely, L., Douglas, G. M., Schalles, L. F., y Hatmaker-Flanigan, E. (2013). Experiences accompanying postpartum weight loss: benefits, successes, and well-being. Health Care for Women International, 34(7), 577-591. https://doi.org/10.1080/07399332.2012.736568
Nygaard, I. E., Wolpern, A., Bardsley, T., Egger, M. J., y Shaw, J. M. (2021). Early postpartum physical activity and pelvic floor support and symptoms 1 year postpartum. American Journal of Obstetrics and Gynecology, 224(2), Artículo 193.e1-193.e13. https://doi.org/10.1016/j.ajog.2020.08.033
Pereira, M. A., Rifas-Shiman, S. L., Kleinman, K. P., Rich-Edwards, J. W., Peterson, K. E., y Gillman, M. W. (2007). Predictors of change in physical activity during and after pregnancy: Project Viva. American Journal of Preventive Medicine, 32(4), 312-319. https://doi.org/10.1016/j.amepre.2006.12.017
Raich, R. M., Mora, M., Soler, A., Ávila, C., Clos, I. y Zapater L. . (1996). Adaptación de un instrumento de evaluación de la insatisfacción corporal. Clínica y Salud, 7, 51-66.
Rallis, S., Skouteris, H., Wertheim, E. H., y Paxton, S. J. (2007). Predictors of body image during the first year postpartum: A prospective study. Women & Health , 45(1), 87-104. https://doi.org/10.1300/J013v45n01_06
Raspovic, A. M., Prichard, I., Yager, Z., y Hart, L. M. (2020). Mothers’ experiences of the relationship between body image and exercise, 0-5 years postpartum: A qualitative study. Body Image, 35, 41-52. https://doi.org/10.1016/j.bodyim.2020.08.003
Riesco-González, F. J., Antúnez-Calvente, I., Vázquez-Lara, J. M., Rodríguez-Díaz, L., Palomo-Gómez, R., Gómez-Salgado, J., García-Iglesias, J. J., Parrón-Carreño, T., y Fernández-Carrasco, F. J. (2022). Body Image Dissatisfaction as a Risk Factor for Postpartum Depression. Medicina, 58(6), Artículo 752. https://doi.org/10.3390/medicina58060752
Rooney, B. L., y Schauberger, C. W. (2002). Excess pregnancy weight gain and long-term obesity: one decade later. Obstetrics and Gynecology, 100(2), 245-252. https://doi.org/10.1016/S0029-7844(02)02125-7
Sarwer, D., Dilks, R., y Spitzer, J. (2011). Weight loss and changes in body image. En T. F. Cash y L. Smolak (Eds.), Body image: A handbook of science, practice and prevention (pp. 369-377). Guilford Press.
Skouteris, H., Carr, R., Wertheim, E. H., Paxton, S. J., y Duncombe, D. (2005). A prospective study of factors that lead to body dissatisfaction during pregnancy. Body Image, 2(4), 347-361. https://doi.org/10.1016/j.bodyim.2005.09.002
Skouteris, H. (2011). Body Image Issues in Obstretics and Gynecology. En T. F. Cash y L. Smolak (Eds.), Body image: A handbook of science, practice, and prevention (pp. 342-349). Guilford Press.
Walker, L. O., Freeland-Graves, J. H., Milani, T., Hanss-Nuss, H., George, G., Sterling, B. S., Timmerman, G. M., Wilkison, S., Arheart, K. L y Stuifbergen, A. (2004). Weight and behavioral and psychosocial factors among ethnically diverse, low-income women after childbirth: I. Methods and context. Women & Health , 40(2), 1-17. https://doi.org/10.1300/J013v40n02_02
Walker, L. O., Xie, B., Hendrickson, S. G., y Sterling, B. S. (2016). Behavioral and psychosocial health of new mothers and associations with contextual factors and perceived health. Journal of Obstetric, Gynecologic, & Neonatal Nursing: Clinical Scholarship for the Care of Women, Childbearing Families, & Newborns, 45(1), 3-16. https://doi.org/10.1016/j.jogn.2015.10.012
Financiación
Author notes
* Autor de correspondencia: Inmaculada Tornero-Quiñones. Departamento de Didácticas Integradas, Facultad de Educación, Psicología y Ciencias del Deporte, Universidad de Huelva, Huelva, España. inmaculada.tornero@dempc.uhu.es
Conflict of interest declaration