Article
Received: 06 April 2024
Revised document received: 12 June 2024
Accepted: 10 July 2024
DOI: https://doi.org/10.21071/psye.v16i2.17088
Funding
Funding source: MICIU/AEI/10.13039/501100011033
Funding source: ERDF/EU
Contract number: PID2022-140252NB-I00
Funding statement: The present research was financially supported by Grant PID2022-140252NB-I00 funded by MICIU/AEI/10.13039/501100011033 and by ERDF/EU, granted to the third author. This funding source had no role in the design of this study, data collection, management, analysis, and interpretation of data, writing of the manuscript, and the decision to submit the manuscript for publication.
ABSTRACT: Economic inequality has a huge impact on well-being, also affecting adolescents, who are the future agents of our societies. Nevertheless, research often overlooks their perspectives on economic inequality, poverty, and their attitudes towards its reduction. The present research evaluates adolescents’ perceived and ideal economic inequality, causal attributions of poverty, support for collective action against economic inequality and meritocratic beliefs (in school or in general). Findings from this cross-sectional study involving Spanish adolescents (N = 942) reveal age-related differences being older teenagers who had higher ideal economic inequality, more general meritocratic beliefs and made more external causal attributions of poverty. Younger teenagers show greater endorsement of belief in school meritocracy. Beliefs in school meritocracy moderate perceived economic inequality, with stronger endorsement correlating with increased economic inequality tolerance and lesser support for collective action as perceived economic inequality rises. External causal attributions of poverty and ideal economic inequality partially mediate the relationship between perceived economic inequality and support for collective action, shaping attitudes towards economic inequality and its reduction. Our research contributes to understanding adolescents’ comprehension of inequality and their motivation to reduce it. By shedding light on the mechanisms underlying adolescent perceptions of economic inequality and their implications for collective action, our findings pave the way for interventions and policies aimed at promoting social justice and well-being among adolescents and the rest of society.
Keywords: Adolescents, Causal attributions of poverty, Economic inequality perception, Meritocratic beliefs, Collective action, Inequality reduction.
RESUMEN: La desigualdad económica afecta al bienestar de las personas, incluyendo los/as adolescentes, los futuros agentes de nuestras sociedades. Pero es frecuente que no se analicen sus perspectivas sobre la desigualdad económica, la pobreza y sus actitudes hacia su reducción. Esta investigación estudia la desigualdad económica ideal y percibida por adolescentes, las atribuciones causales de la pobreza, el apoyo a la acción colectiva contra la desigualdad económica y las creencias meritocráticas (en la escuela y en general). Los resultados de este estudio transversal con adolescentes españoles/as (N = 942) revelan diferencias asociadas a la edad en las variables estudiadas, siendo los/as adolescentes de mayor edad quienes desean un nivel mayor de desigualdad económica, tienen más creencias meritocráticas generales y realizan más atribuciones causales externas de la pobreza. Los/as adolescentes más jóvenes muestran más apoyo a las creencias en la meritocracia en la escuela. A su vez, las creencias en la meritocracia escolar moderan la percepción de la desigualdad económica: según aumenta la desigualdad económica percibida, apoyar más la meritocracia correlaciona con mayor desigualdad económica ideal y menor apoyo a la acción colectiva. Las atribuciones causales de pobreza y la desigualdad económica ideal median parcialmente la relación entre la desigualdad económica percibida y el apoyo a la acción colectiva para reducir la desigualdad, explicando en parte la formación de actitudes hacia la desigualdad económica y su reducción. Nuestra investigación contribuye al estudio de la adolescencia, la desigualdad y el bienestar social, abriendo el camino a futuras intervenciones y políticas que promuevan la justicia social y el bienestar.
Palabras clave: Adolescentes, Atribuciones causales de pobreza, Desigualdad económica percibida, Creencias meritocráticas, Acción colectiva, Reducción de la desigualdad.
Economic inequality (EI) is one of the biggest social challenges nowadays since inequality within countries is alarmingly increasing (UN, 2018). Moreover, EI has been accentuated by financial crises (Baldacci et al., 2004) and health and social crises such as the COVID-19 pandemic (Rodríguez-Bailón, 2020). The concerns and implications for these situations are relevant to the social psychology field as EI has been associated with important consequences on societies and citizens. For example, EI is linked to health and social ills (Pickett & Wilkinson, 2015; Wilkinson & Pickett, 2017), including increased prejudice between groups (Caluori et al., 2021), discrimination, and segregation (García-Sánchez et al., 2019). Furthermore, some experimental studies have shown that EI negatively affects physical, psychological, and social well-being (Buttrick et al., 2017).
Perceived economic inequality and its correlates
Research consistently has shown that people tend to underestimate the levels of EI that exist (e.g., Gimpelson & Treisman, 2018; Hauser & Norton, 2017; Norton & Ariely, 2011). Importantly, recent reviews show that the effects of EI depend more on how it is appraised and its subjective perception than on its objective levels (Willis et al., 2022).Thus, at the individual level, it has been shown that perceiving greater EI leads to people tending to be more individualistic and more oriented toward power (Del Fresno-Díaz et al., 2021), which is associated with lower interdependent self-construal (Sánchez-Rodríguez, 2019), ultimately resulting in lower rates of life satisfaction and happiness (Oishi et al., 2011). In this line, when people perceive high EI, they also perceive more competitiveness within a given context (Melita et al., 2021). Moreover, perceiving more EI is related to higher status anxiety and more status-seeking, and it has an impact on status consumption, prompting people to consume products with a symbolic value associated with greater status (Melita et al., 2021; Velandia-Morales et al., 2022). In this line, it has been described that inequality perception impacts subjective well-being through two complementary paths: status anxiety and social trust reduction (García-Sánchez et al., 2024). Additionally, other research suggests cognitive and emotional paths such as perceived vulnerability and anger (Vezzoli et al., 2023).
Furthermore, EI and its perception extend beyond individual well-being, having numerous intergroup effects (Lisnek et al., 2024), and shaping social welfare. For instance, EI shapes how people are stereotypically perceived (Moreno-Bella et al., 2023) and increases the dehumanization of high and low-status groups (Sainz et al., 2022). Additionally, in more economically threatened or unequal societies, people tend to elect more authoritarian leaders (Torres-Vega et al., 2021), trust institutions less, and reduce their cooperation behaviour (Montoya-Lozano et al., 2023). Thus, overall inequality has a harmful impact on societies.
From inequality maintenance to inequality reduction
The detrimental impacts of EI have spurred research into understanding how to narrow the gap between socioeconomic groups. While perceiving EI is associated with some adverse effects, it is also key to perceive this inequality to address it, since these EI (mis)perceptions, rather than actual levels of inequality, drive behaviour and preferences for redistribution (Hauser & Norton, 2017). For instance, perceived EI is a key predictor for support for collective action to reduce inequality (Del Fresno-Díaz et al., 2021), especially when EI is considered unjustified or illegitimate (Van Zomeren et al., 2008) and when it is perceived within close social circles (García-Castro et al., 2022). Also, in general, people tend to prefer lower levels of ideal EI than the actual levels of inequality (Norton & Ariely, 2011). Furthermore, support for redistributive measures and other policies that pursue equality are predicted by perceived and ideal EI levels (e.g., García-Castro et al., 2022). Moreover, the relationship between perceived EI and preferred EI has been shown to be moderated by the perceived legitimacy of EI and meritocratic beliefs in adults’ samples (García-Sánchez et al., 2019; Willis et al., 2015). Additionally, causal attributions of poverty also play a role in upholding the status quo, with internal causal attributions of poverty justifying the system (Weiner et al., 2011), since these attributions portray people in poverty as responsible for their situation, disregarding the influence of any structural factors and preventing the support of social protection policies (Alcañiz-Colomer et al., 2023).
Adolescents as future agents of social change
Adolescence is a crucial life period in which teens develop and consolidate views on politics and a predisposition to participate in actions or support policies aimed at solving social inequalities (Eckstein et al., 2012). However, the literature primarily examines adults’ perspectives, overlooking adolescents’ perceptions of society. Yet, adolescents are influenced by perceived EI, underscoring the importance of understanding their perceptions, beliefs, and attitudes toward social issues, which contributes to comprehending inequality maintenance and reduction.
Adolescents underestimate the EI that exists even more than adults do (Barreiro et al., 2019). The differences between adult samples and those comprised of children and adolescents may be attributed to the process of conceptualisation and integration that occurs during childhood and, especially, during adolescence. According to the Socio-cognitive Theory (Aboud, 1988), children and adolescents actively develop their attitudes and beliefs. Hence, the opinions of younger individuals about inequality are not merely reproductions of adult ideas, but rather the integration of environmental information with their own evolving beliefs (Delval, 1981). In this line, researchers show that the complexity of adolescents’ understanding and perception of economic inequality increases with age (Flanagan, 2014).
Although adolescents perceive less inequality than adults, it also has important effects on shaping their way of thinking and behaving (Caballero et al., 2024). For example, those adolescents who perceived their families as poorer than their peers had lower self-esteem, less life satisfaction, and victimisation (Bannink et al., 2016). Additionally, the greater the EI perceived by children and adolescents, the more negatively they evaluated granting specific opportunities to a rich child and the more importance they gave to equal access to some related resources such as education (Elenbaas, 2019). Furthermore, similarly to adults (Arsenio, 2018), teenagers desire more egalitarian societies (Barreiro et al., 2019).
For teenagers, meritocratic beliefs, in school and other contexts, are associated with system justification and reluctance to social change too (Wiederkehr et al., 2015). Thus, meritocratic beliefs prevent teens from engaging in equalising dynamics and programs at school (Darnon et al., 2018). Additionally, literature shows that as children and teenagers get older, they do not reduce the internal causal attributions of poverty, although they tend to make more external causal attributions of it (Flanagan, 2013), which proves certain comprehension of structural factors and odds situations that might conditionate wealth and poverty (Clemente, et al., 2017) and therefore, inequality.
The present study
Despite adolescents’ relevant role in current -and especially in future- societies, and the negative impact of EI on people’s lives, not many studies focus on teenagers’ perceptions, ideologies, political beliefs, and attitudes in the Spanish context. This research aims to generate knowledge that brings us closer to the adolescent vision of EI, providing clues about the variables that could facilitate support for collective action against EI and redistributive measures. To achieve this, we explore the relationships between perceived and ideal inequality, meritocratic beliefs in general and in the school context, support for collective action and redistributive measures, as well as demographic variables of interest including age, gender, and subjective socioeconomic status.
Method
Participants
The final sample included 942 Spanish high school students between 13 and 18 years old (M = 15.23; SD = 1.55; 50.7% women). All participants were recruited from four high schools in a Spanish southern city.
Instruments
Perceived economic inequality. Measured through two instruments. First, the graphical instrument “The Graphic Notes Inequality Measure” (GNIM, Rodríguez-Bailón et al., 2017), which employs seven graphs depicting various economic resource distributions, from more unequal to more equal. Participants had to signal the most representative of Spanish society. Participants were also verbally informed that: “In the graphs, the amount of resources that each group of people has is represented by the number of banknotes in their column. By resources we mean the amount of money and things that people in each group usually own”, and prompted to ask further questions if they had any doubts. Additionally, we use a closed-ended question “To what extent do you consider Spain to be unequal?”, ranging from 1 = Not unequal at all to 5 = Very unequal.
Ideal economic inequality. The same two measures for perceived inequality were used but asked in this case for teenagers ideal society (i.e., “Which image would best represent the social structure of the ideal Spanish society for you?” for the GNIM and “To what extent do you think your ideal society should be unequal?” for the closed-ended question.
Causal attributions of poverty. Measured using a Spanish adaptation of the Causal Attributions of Poverty questionnaire (Cozzarelli et al., 2001). Participants indicated their agreement with various causes of poverty, comprising two subscales (ωt = .73): internal attributions (e.g., “Lack of effort and laziness”, α = .76), which had six items, and external attributions (e.g. “Government’s insensitivity to the plight of poor people”, α = .70), with seven items. Response format ranged from 1 = Totally disagree to 5 = Totally agree.
Support for collective action to reduce economic inequality. The measure for this variable was based on Jiménez-Moya (2014). Participants rated their willingness to engage in eight different actions to confront EI (e.g., “Take part in a demonstration for the EI reduction”, α = .81). Responses ranged from 1 = Not willing at all to 5 = Absolutely willing.
General meritocratic beliefs. Measured with two questions by García-Sánchez et al., 2018; r(927) = .218; p < .001) about how important it is to be “ambitious” and to “work hard” to succeed in life. The response scale goes from 1 = Not willing at all to 5 = Absolutely willing. A mean score was calculated.
Belief in school meritocracy. Assessed with an adaptation of Wiederkehret al. (2015), 8-item Belief in School Meritocracy Scale through which participants indicated their agreement with some meritocratic statements (e.g., “In high school, every person who wants to achieve something, can do it”). Response format ranged from 1 = Totally disagree to 5 = Totally agree (α = .70).
Subjective Socio-Economic Status (SSES). Measured with a Spanish adaptation of the McArthur Scale for Subjective Social Status (Adler et al., 2000).
Socio-demographic variables. The age, gender, nationality, and parental educational level were also collected.
Procedure
Prior to starting the data collection, the current study got ethics approval from the University of Granada Ethics Committee (No. 170/CEIH/2016). School authorities, including management and teaching staff, were contacted to obtain consent for participation from adolescents and their families. The legal guardians of the students gave their informed consent by written authorisation and only the adolescents whose authorisations were signed with a positive response finally participated in the study. Upon receiving approval, a printed questionnaire was distributed by teachers and a researcher during school hours. Participants were provided with instructions to ensure accurate responses and encouraged to maintain confidentiality while completing the questionnaire independently. Any queries raised by participants were addressed promptly. The data collection process occurred in March 2019 and typically lasted between 30 to 60 minutes.
Analytic plan
We analyzed data using R version 4.2.3 and R Studio (R Core Team, 2022), conducting frequency, reliability, and descriptive analyses. Correlation, mediation, and moderation analyses were also performed to achieve our goals. Z-scores and means were calculated for perceived and ideal EI measures, consolidating each variable into a single score. Exploratory ANOVAs were used to compare age-related score means. Analysis code, data, and materials are available at https://osf.io/2tzax/?view_only=e7330d3b1b7941989f62054f141f606a.
Results
Correlations
Upon inspecting the correlation matrix (see Table 1), we observed that perceived and ideal EI were not significantly correlated. Perceived EI positively correlated to external causal attributions of poverty. Moreover, levels of ideal EI were positively related to internal causal attributions of poverty and negatively to external causal attributions of poverty. Similarly, perceived EI positively correlated with support for collective action to reduce EI, while ideal EI and support for collective action were negatively correlated. Also, adolescents who made less internal and more external causal attributions of poverty showed more support for collective action to confront EI. Regarding ideology, just ideal EI and age were positively correlated to general meritocratic beliefs. Furthermore, teenagers who endorsed more belief in school meritocracy made more internal and less external causal attributions of poverty. In addition, subjective socioeconomic status and age were related to belief in school meritocracy, although the former in a positive and the latter in a negative way. In this line, subjective socioeconomic status was associated with making more internal and less external causal attributions of poverty, and less support for collective action. Moreover, the older the adolescents, the more external causal attributions of poverty they made and the more support for collective action to reduce inequality they reported.

Mean differences according to age groups
Since previous literature finds differences in perceptions, causal attributions and beliefs according to age, we decided to group adolescents into three age groups: “Older” (17-18 years; n= 230), “Middle” (15-16 years; n = 377), and “Younger” (13-14 years; n = 335). Subsequently, we conducted an ANOVA for each of the main criterion variables. We found differences between all groups when looking at belief in school meritocracy (see Figure 1a): the “older” teenagers were the ones who endorsed those beliefs to a lesser extent (MBSM-o = 3.45; SDBSM-o = 0.64), followed by the “middle” (MBSM-m = 3.62; SDBSM-m = 0.64), and the “younger” groups (MBSM-y = 3.83; SDBSM-y = 0.56). The reversed pattern was found for the general meritocratic beliefs (see Figure 1b). In this case, the “older” teenagers endorsed more meritocratic beliefs in general (MGMB-o = 4.21; SDGMB-o = 0.59), followed by the “middle” group (MGMB-m = 3.98; SDGMB-m = 0.76). The “younger” teenagers were the ones with lower scorings in this variable (MGMB-y = 3.68; SDGMB-y = 0.85).

In the case of ideal EI, the “older” teenagers (MPref-o = 0.28; SDPref-o = 0.91) reported significantly higher levels of EI than the “middle” (MPref-m = -0.05; SDPref-m = 0.8) and the “younger” adolescents (MPref-y = -0.13; SDPref-y = 0.86), showing a higher EI tolerance (see Figure 1c).
We also found age differences in external causal attributions of poverty between the “older” (MECA-o = 3.35; SDECA-o = 0.64) and the “younger” (MECA-y = 3.16; SDECA-y = 0.81) adolescents (see Figure 1d). That is, older teenagers tend to attribute poverty more to external and structural causes.
Regression analyses
We aimed to determine the predictors of support for collective action to confront EI conducting hierarchical regression models (see Table 2 for the final model which includes all variables and is significant F(10, 871) = 37.3, p < .001).). The results revealed that age, gender, and subjective socioeconomic status were good predictors of support for collective action. Also, belief in school meritocracy predicted support for collective action to reduce EI (See Table 2). Moreover, perceiving more EI, making more external causal attributions, preferring less EI, and making less internal attributions explained support for collective action variance.

Moderation models
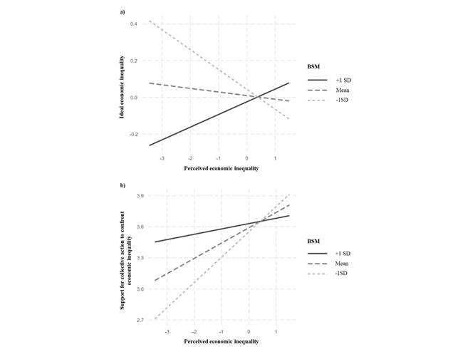
Given the above results and taking into account the mean differences found in the ANOVA analyses comparing the three age groups, we exploratorily tested the moderator effect of meritocracy: a) in the link between the perceived and ideal EI, and b) in the relationship between perceived EI and causal attributions of poverty. All analyses were controlled by age, gender, and subjective socioeconomic status. As shown in Figure 2, we found that belief in school meritocracy moderated the relationship between perceived EI and ideal EI (F (6, 877) = 13.79, p < .001, adjusted R2 = 0.08 see Figure 2a). Perceived EI only related negatively with ideal EI when adolescents showed less endorsement of belief in school meritocracy (β = -.13 (.05), t = -2.23, p = .026), but not when they reported medium (β = -.006 (.03), t = -0.18, p = .852) or high endorsement of school meritocracy (β = .07 (.05), t = 1.46, p = .145).

Additionally, belief in school meritocracy also moderated the relationship between perceived EI and support for collective action to reduce it (F (6, 878) = 26.29, p < .001, adjusted R2 = 0.15, see Figure 2b). The support of school meritocracy ideology boosted the relation between perceived EI and support for collective action for adolescents who reported medium (β = 0.25 (.03), t = 5.83, p < .001) or low (β = 0.05 (.04), t = 4.65, p < .001) scores in “belief in school meritocracy”.
Mediation models
After testing the moderation role of ideology, we explored possible mechanisms that explain the relationship between perceived EI and support for collective action to confront EI. To do so we conducted mediation models including as mediator variables a) the ideal EI, b) the external, and c) the internal causal attributions of poverty in different models, controlled by age, gender, and subjective socioeconomic status.
We only found support for the mediation effect of the external causal attributions of poverty in the relationship between perceived EI and support for collective action to confront economic inequality (Indirect effect = .016; SE = .007; 95% CI [.004, .03]; Direct effect = .136; SE = .028; p < .001; Total effect = .138; SE = .029; p < .001).
Moderated mediation models
Given that the moderation analysis showed a significant effect of the belief in school meritocracy on the perceived and ideal EI, as much as the perceived EI and the support for collective action to reduce EI, we conducted exploratory moderated mediation analyses using perceived EI as the predictor, ideal EI as the mediator, and support for collective action to confront EI as the criterion. Furthermore, we included “belief in school meritocracy” as the moderator variable in paths a and c’. The moderated mediation model was significant (See Figure 3).

Discussion
Perceptions of EI have significant implications for subjective well-being, with important negative consequences (Buttrick et al., 2017). Additionally, holding system-justifying ideologies -such as meritocracy- intensifies this relationship, fostering greater tolerance and acceptance of EI (Willis et al., 2015). However, perceptions of inequality could also boost social mobilisation towards more egalitarian societies, potentially enhancing subjective well-being (Del Fresno-Díaz et al., 2021; Ugur, 2021). Internal and external attributions further contribute to this process, affecting EI legitimation (Schneider & Castillo, 2015). Despite the relevance of these factors and their impact on adolescents’ well-being (Bannink et al., 2016), to our knowledge, not many studies explore all these variables in samples of teenagers in Spain, nor focused on adolescents’ attitudes toward actions orientated to EI reduction.
This study aims to investigate the relationships between perceived EI, ideal EI, meritocracy (both at school and in general), causal attributions of poverty (internal and external), and support for collective action to reduce EI among Spanish adolescents. In addition, considering the development of these concepts during adolescence (Eckstein et al., 2012), we also explore the differences in these variables according to participants’ age, categorizing them into three groups: “older” (17-18 years), “middle” (15-16 years), and “younger” (13-14 years) teenagers.
The results show age-related differences regarding meritocratic ideology. Specifically, older adolescents tend to endorse lower beliefs in school meritocracy and more general meritocratic beliefs compared to younger adolescents. This disparity might be due to the higher abstraction levels required to capture general meritocratic beliefs (vs. belief in school meritocracy) since it is a more diffused concept not based on a specific institution or context (Batruch et al., 2023) and thus, more difficult to capture for younger adolescents. Also, older adolescents’ longer exposure to the specific context of school meritocracy may deter their endorsement of such beliefs. Age differences also emerged in perceived EI, with older adolescents tolerating more EI than their younger counterparts. However, older (vs. younger) adolescents also tend to make more external causal attributions of poverty, which is often associated with a lower tolerance of EI. This seeming contradiction may be explained by older adolescents’ deeper comprehension of the socioeconomic system and social dynamics, recognizing structural and uncontrollable causes of poverty alongside varying levels of inequality acceptance (Flanagan, 2013). Overall, as previous literature showed, differences related to the age of respondents suggest changes in understanding EI and its causes and deeper comprehension of inequality-related concepts (Dickinson et al., 2023), which is consistent with developmental theories such as the socio-cognitive (Aboud, 1988), the social-cognitive development (Leahy, 1981), or the social constructionism (Emler & Dickinson, 1985) approaches.
Additionally, we examined moderation, mediation, and moderated mediation models. Our findings suggest that belief in school meritocracy moderates the relationship between perceived and ideal EI. Individuals with stronger meritocratic beliefs in school were more tolerant towards inequality as their perception of EI increased. Furthermore, when this moderation occurs, ideal EI partially mediates the association between perceived EI and support for collective action to reduce inequality. Moreover, meritocratic belief in school also moderates the relationship between perceived EI and support for collective action to reduce EI. That is, less meritocratic teenagers perceived greater inequality and were more willing to support collective action to reduce EI. These results align with previous research, emphasizing the significant role of meritocracy in fostering EI tolerance (García-Sánchez et al., 2019). Furthermore, the moderation effects of ideology can be interpreted as evidence of the transfer of belief in school meritocracy beyond the school context, shaping perceptions and attitudes towards EI in broader contexts (Batruch et al., 2023).
In summary, our study significantly contributes to the literature on adolescence, inequality, and social well-being in several ways: first, by examining variables related to subjective well-being, such as perceptions of EI and support for collective actions to reduce it in adolescent samples, which have yet to be widely taken into account in the EI studies. The study explores the role of causal attributions of poverty and the ideal EI that teenagers prefer, offering potential explanatory mechanisms. Specifically, we found that ideal EI mediates the relationship between perceived EI and support for collective action to confront economic inequality. Moreover, the results highlight the moderator role of the beliefs in school meritocracy in the path between perceived and ideal EI, which are crucial in supporting collective action to reduce EI. In addition, external causal attributions of poverty also play a role in explaining the relationship between perceived EI and support for collective action, mediating between both variables. These results replicate in adolescent samples: for the first time, the results obtained in adult samples regarding different mechanisms which can explain the relation between perceived EI and some EI reduction processes. Secondly, our study focuses on Spanish adolescents’ context and identifies age-related differences among them which could be potentially attributable to developmental stages. In addition, collaboration with various schools enhances sample variability. Overall, these results can be a step in helping to identify a period in life in which ideologies, political attitudes, and perceptions related to social inequality -especially EI- develop. Lastly, these insights can inform interventions promoting awareness of EI perceptions and supporting inclusive policies for social and economic equality.
A limitation to consider in the current study is the low variability of participants’ subjective socioeconomic status, which has been shown to be closely related to perceptions and attitudes towards EI. Future studies could improve it by including responses from teenagers studying at private high schools where students from higher socioeconomic backgrounds typically study as well as living in more diverse neighbourhoods, which will allow to capture a wider range of participants’ socioeconomic status, ethnicities, segregation levels, and educational styles. This would also help to delve into the study of relational models (e.g., family stance, school experiences of fairness), which can influence the adolescents’ socio-cognitive development as much as some of the measured variables in the current study, including meritocratic beliefs (Castillo et al., 2022) and the support for collective action (Van Zomeren, 2015). Additionally, future studies should use fully validated or adapted measures for teenagers. Finally, it is important to replicate our results and confirm our model, using path analysis or structural equation model analytic strategies, which allow to include all the mediators and moderators between perceived EI and support for collective action that we have identified.
Finally, by focusing on a segment of society that has been overlooked such as adolescents, and by underlining the importance of perceived EI and meritocratic beliefs on EI reduction-related variables, this research provides a diagnosis of the key points which is necessary to tackle to achieve a society that guarantees psychological and social well-being among teenagers.
Acknowledgements
The authors would like to thank and acknowledge the IES Alba Longa, CES Cristo Rey, IES Ilíberis and Colegio Cristo de la Yedra schools, the students, and their families for their participation in this study.
References
Aboud, F. E. (1988). Children and prejudice. Basil Blackwell.
Adler, N. E., Epel, E. S., Castellazzo, G., & Ickovics, J. R. (2000). Relationship of subjective and objective social status with psychological and physiological functioning: Preliminary data in healthy, white women. Health Psychology, 19(6), 586-592. https://doi.org/10.1037/0278-6133.19.6.586
Alcañiz-Colomer, J., Moya, M., & Valor-Segura, I. (2023). Gendered social perceptions of “the poor”: Differences in individualistic attributions, stereotypes, and attitudes toward social protection policies. Sex Roles, 89, 377-393. https://doi.org/10.1007/s11199-023-01375-9
Arsenio, W. F. (2018). The wealth of nations: International judgments regarding actual and ideal resource distributions. Current Directions in Psychological Science, 27(5), 357-362. https://doi.org/10.1177/0963721418762377
Baldacci, E., De Mello, L., & Inchauste, G. (2004). Financial crises, poverty, and income distribution. In Mody, A. & Pattillo, C. (Eds.), Macroeconomic Policies and Poverty (pp. 269-307). Routledge.
Bannink, R., Pearce, A., & Hope, S. (2016). Family income and young adolescents’ perceived social position: Associations with self-esteem and life satisfaction in the UK Millennium Cohort Study. Archives of Disease in Childhood, 101(10), 917-921. https://doi.org/10.1136/archdischild-2015-309651
Barreiro, A., Arsenio, W. F., & Wainryb, C. (2019). Adolescents’ conceptions of wealth and societal fairness amid extreme inequality: An Argentine sample. Developmental Psychology, 55(3), 498-508. https://doi.org/10.1037/dev0000560
Batruch, A., Jetten, J., Van de Werfhorst, H., Darnon, C., & Butera, F. (2023). Belief in school meritocracy and the legitimization of social and income inequality. Social Psychological and Personality Science, 14(5), 621-635. https://doi.org/10.1177/19485506221111017
Buttrick, N. R., Heintzelman, S. J., & Oishi, S. (2017). Inequality and well-being. Current Opinion in Psychology, 18, 15-20. https://doi.org/10.1016/j.copsyc.2017.07.016
Caballero, A., Laforêt, B., & Carrera, P. (2024). Abstract mindset favors well-being and reduces risk behaviors for adolescents in relative scarcity. Psychology, Society & Education, 16(1), 1-9. https://doi.org/10.21071/pse.v16i1.16182
Caluori, N., Brown-Iannuzzi, J. L., & Cipolli III, W. (2021). Economic inequality shapes the relationship between globalization and prejudice. Social Psychological and Personality Science, 12(6), 1082-1091. https://doi.org/10.1177/1948550620960929
Castillo, J. C., Iturra, J., Rivas, F. J. M., Venegas, M., & Miranda, D. (2022). The socialization of meritocracy: The role of the family and the school. Preprint. https://doi.org/10.31235/osf.io/f7bzq
Clemente, J. A. R., Daganzo, M. A. A., Bernardo, A. B., & Pangan, C. A. C. (2017). Filipino adolescents’ conceptions of socioeconomic mobility: A consensual qualitative research. Child Indicators Research, 10(1), 117-140 https://doi.org/10.1007/s12187-016-9370-6
Cozzarelli, C., Wilkinson, A. V., & Tagler, M. J. (2001). Attitudes toward the poor and attributions for poverty. Journal of Social Issues, 57(2), 207-227. https://doi.org/10.1111/0022-4537.00209
Darnon, C., Smeding, A., & Redersdorff, S. (2018). Belief in school meritocracy as an ideological barrier to the promotion of equality. European Journal of Social Psychology, 48(4), 523-534. https://doi.org/10.1002/ejsp.2347
Del Fresno-Díaz, Á., Sánchez-Rodríguez, Á., & Willis, G. B. (2021). I choose to be powerful: Economic inequality encourages preferences of power over status positions. Social Science Journal, 1-18. https://doi.org/10.1080/03623319.2021.1949547
Delval, J. (1981) La representación infantil del mundo social. Infancia y Aprendizaje, 4(13), 35-67. https://doi.org/10.1080/02103702.1981.10821836
Dickinson, J., Leman, P. J., & Easterbrook, M. J. (2023). Children’s developing understanding of economic inequality and their place within it. British Journal of Developmental Psychology, 41(2), 81-98. https://doi.org/10.1111/bjdp.12446
Eckstein, K., Noack, P., & Gniewosz, B. (2012). Attitudes toward political engagement and willingness to participate in politics: Trajectories throughout adolescence. Journal of Adolescence, 35(3), 485-495. https://doi.org/10.1016/j.adolescence.2011.07.002
Elenbaas, L. (2019). Perceptions of economic inequality are related to children’s judgments about access to opportunities. Developmental Psychology, 55(3), 471-481. https://doi.org/10.1037/dev0000550
Emler, N., & Dickinson, J. (1985). Children’s representation of economic inequalities: The effects of social class. British Journal of Developmental Psychology, 3(2), 191-198. https://doi.org/10.1111/j.2044-835X.1985.tb00971.x
Flanagan, C. A. (2013). Teenage citizens: The political theories of the young. Harvard University Press.
Flanagan, C. A., Kim, T., Pykett, A., Finlay, A., Gallay, E. E., & Pancer, M. (2014). Adolescents’ theories about economic inequality: Why are some people poor while others are rich? Developmental Psychology, 50(11), Article 2512. http://doi.org/10.1037/a0037934
García-Castro, J. D., García-Sánchez, E., Willis, G. B., Castillo, J. C., & Rodríguez-Bailón, R. (2022). Perceived economic inequality measures and their association with objective inequality and redistributive preferences. Social Psychology, 53(5). https://doi.org/10.1027/1864-9335/a000498
García-Sánchez, E., Matamoros-Lima, J., Moreno-Bella, E., Melita, D., Sánchez-Rodríguez, Á., García-Castro, J. D., … & Willis, G. B. (2024). Perceived economic inequality is negatively associated with subjective well-being through status anxiety and social trust. Social Indicators Research, 172, 239-260. https://doi.org/10.1007/s11205-024-03306-x
García-Sánchez, E., Obsorne, D., Willis, G. B., & Rodríguez-Bailón, R. (2019). Attitudes towards redistribution and the interplay between perceptions and beliefs about inequality. British Journal of Social Psychology, 59(1), 111-136. https://doi.org/10.1111/bjso.12326
García-Sánchez, E., Willis, G. B., Rodríguez-Bailón, R., García-Castro, J. D., Palacio-Sañudo, J., Polo, J., & Rentería-Pérez, E. (2018). Perceptions of economic inequality in Colombian daily life: More than unequal distribution of economic resources. Frontiers in Psychology, 9, Article 385826. https://doi.org/10.3389/fpsyg.2018.01660
Gimpelson, V., & Treisman, D. (2018). Misperceiving inequality. Economics & Politics, 30(1), 27-54. https://doi.org/10.1111/ecpo.12103
Hauser, O. P., & Norton, M. I. (2017). (Mis)perceptions of inequality. Current Opinion in Psychology, 18, 21-25. https://doi.org/10.1016/j.copsyc.2017.07.024
Jiménez-Moya, G. (2014). Challenging social inequality: different routes to resistance in the face of in-group legitimization [Doctoral dissertation, Universidad de Granada]. DigiBug.
Leahy, R. L. (1981). The development of the conception of economic inequality. Descriptions and comparisons of rich and poor people. Child Development, 52(2), 523-532. https://doi.org/10.2307/1129170
Lisnek, J. A., Caluori, N., Brown-Iannuzzi, J. L., & Oishi, S. (2024). Investigating how high perceived economic inequality exacerbates intergroup competition, zero-sum beliefs, and perceived intergroup prejudice. Personality and Social Psychology Bulletin. Preprint. https://doi.org/10.1177/01461672241234787
Melita, D., Willis, G. B., & Rodríguez-Bailón, R. (2021). Economic inequality increases status anxiety through perceived contextual competitiveness. Frontiers in Psychology, 12, Article 637365. https://doi.org/10.3389/fpsyg.2021.637365
Montoya-Lozano, M., Willis, G. B., & Rodríguez-Bailón, R. (2023). The effect of economic inequality on individuals’ cooperative behavior using an economic game. DigitalCSIC.
Moreno-Bella, E., Willis, G. B., Quiroga-Garza, A., & Moya, M. (2023). Economic inequality shapes the agency - Communion content of gender stereotypes. Group Processes and Intergroup Relations, 26(5), 1075-1098. https://doi.org/10.1177/13684302221095338
Norton, M. I., & Ariely, D. (2011). Building a better America - One wealth quintile at a time. Perspectives on Psychological Science, 6(1), 9-12. https://doi.org/10.1177/1745691610393524
Oishi, S., Kesebir, S., & Diener, E. (2011). Income inequality and happiness. Psychological Science, 22(9), 1095-1100. https://doi.org/10.1177/0956797611417262
Pickett, K. E., & Wilkinson, R. G. (2015). Income inequality and health: A causal review. Social Science & Medicine, 128, 316-326. https://doi.org/10.1016/j.socscimed.2014.12.031
R Core Team (2022). R: A language and environment for statistical computing (Version 4.2.3) [Statistical software]. R Foundation for Statistical Computing.
Rodríguez-Bailón, R. (2020). Inequality viewed through the mirror of COVID-19 (La desigualdad ante el espejo del COVID-19). International Journal of Social Psychology: Revista de Psicología Social, 35(3), 647-655. https://doi.org/10.1080/02134748.2020.1796298
Rodríguez-Bailón, R., Bratanova, B., Willis, G. B., Lopez-Rodriguez, L., Sturrock, A. y Loughnan, S. (2017). Social class and ideologies of inequality: How they uphold unequal societies. Journal of Social Issues, 73(1), 99-116. https://doi.org/10.1111/josi.12206
Sainz, M., Martínez, R., Matamoros-Lima, J., Moya, M., & Rodríguez-Bailón, R. (2022). Perceived economic inequality enlarges the perceived humanity gap between low- and high-socioeconomic status groups. The Journal ofSocial Psychology, 1-14. https://doi.org/10.1080/00224545.2022.2157699
Sánchez-Rodríguez, Á., Willis, G. B., & Rodríguez-Bailón, R. (2019). Economic and social distance: Perceived income inequality negatively predicts an interdependent self-construal. International Journal of Psychology, 54(1), 117-125. https://doi.org/10.1002/ijop.12437
Schneider, S. M., & Castillo, J. C. (2015). Poverty attributions and the perceived justice of income inequality: A comparison of east and West Germany. Social Psychology Quarterly, 78(3), 263-282. https://doi.org/10.1177/0190272515589298
Torres-Vega, L. C., Ruiz, J., & Moya, M. (2021). Dangerous worldview and perceived sociopolitical control: Two mechanisms to understand trust in authoritarian political leaders in economically threatening contexts. Frontiers in Psychology, 12, Article 603116. https://doi.org/10.3389/fpsyg.2021.603116
Ugur, Z. B. (2021). How does inequality hamper subjective well-being? The role of fairness. Social Indicators Research, 158(2), 377-407. https://doi.org/10.1007/s11205-021-02711-w
UN. (2018). Inequality-bridging the divide income inequality between countries has improved income inequality within countries is getting worse. United Nations.
Van Zomeren, M. (2015). Collective action as relational interaction: A new relational hypothesis on how non-activists become activists. New Ideas in Psychology, 39, 1-11. https://doi.org/10.1016/j.newideapsych.2015.04.001
Van Zomeren, M., Spears, R., & Leach, C. W. (2008). Exploring psychological mechanisms of collective action: Does relevance of group identity influence how people cope with collective disadvantage? British Journal of Social Psychology, 47(2), 353-372. https://doi.org/10.1348/014466607X231091
Velandia-Morales, A., Rodríguez-Bailón, R., & Martínez, R. (2022). Economic inequality increases the preference for status consumption. Frontiers in Psychology, 12, Article 809101. https://doi.org/10.3389/fpsyg.2021.809101
Vezzoli, M., Valtorta, R. R., Mari, S., Durante, F., & Volpato, C. (2023). Effects of objective and subjective indicators of economic inequality on subjective well-being: Underlying mechanisms. Journal of Applied Social Psychology, 53(2), 85-100. https://doi.org/10.1111/jasp.12928
Weiner, B., Osborne, D., & Rudolph, U. (2011). An attributional analysis of reactions to poverty: The political ideology of the giver and the perceived morality of the receiver. Personality and Social Psychology Review, 15(2), 199-213. https://doi.org/10.1177/1088868310387615
Wiederkehr, V., Bonnot, V., Krauth-Gruber, S., & Darnon, C. (2015). Belief in school meritocracy as a system-justifying tool for low-status students. Frontiers in Psychology, 6, Article 1053. https://doi.org/10.3389/fpsyg.2015.01053
Wilkinson, R. G., & Pickett, K. E. (2017). The enemy between us: The psychological and social costs of inequality. European Journal of Social Psychology, 47(1), 11-24. https://doi.org/10.1016/j.socscimed.2014.12.031
Willis, G. B., García-Sánchez, E., Sánchez-Rodríguez, Á., García-Castro, J. D., & Rodríguez-Bailón, R. (2022). The psychosocial effects of economic inequality depend on its perception. Nature Reviews Psychology, 1(5), 301-309. https://doi.org/10.1038/s44159-022-00044-0
Willis, G. B., Rodríguez-Bailón, R., López-Rodríguez, L., & García-Sánchez, E. (2015). Legitimacy moderates the relation between perceived and ideal economic inequalities. Social Justice Research, 28, 493-508. https://doi.org/10.1007/s11211-015-0253-7
Data availability statement
Notes
Author notes
* Corresponding author: Sofía Schwartz-Salazar. Centro de Investigación Mente, Cerebro y Comportamiento D.344. Campus de Cartuja s/n. 18071, Granada, Spain. schwartzsalazar@ugr.es
Conflict of interest declaration