Articles
Giants with feet of clay: perfectionism, type A behavior, emotional stability, and gender as predictors of university students’ mental health
Gigantes con pies de barro: perfeccionismo, conducta tipo A, estabilidad emocional y género como predictores de la salud mental de los estudiantes universitarios
Giants with feet of clay: perfectionism, type A behavior, emotional stability, and gender as predictors of university students’ mental health
Psychology, Society & Education, vol. 16, no. 3, pp. 1-9, 2024
Universidad de Córdoba
Received: 14 April 2024
Revised document received: 03 July 2024
Accepted: 25 July 2024
Abstract: The growing level of psychopathological symptoms among tertiary students is becoming a difficult phenomenon for institutions to manage. The present study aimed to analyze the complex associations of anxiety and somatization with predisposing personality traits, such as perfectionism, neuroticism, and type A behavior. The 248 university students (Mage = 24.4, SD = 5.45) recruited completed a state (the Symptom Questionnaire), stress (the P Stress Questionnaire), and personality (Cattell’s 16-Personality Factors Questionnaire) questionnaire. The results validated that perfectionism/self-control negatively predicted anxiety (β = -0.49, p < .001) and somatization (β = -0.35, p = .02); but also that it positively predicted psychopathological symptoms indirectly through adopting a lifestyle very similar to type A behavior (Anxiety: β = 0.14, p = .005; Somatization: β = .14, p = .01). Moreover, emotional stability and gender inserted in the model were significant as covariates for both Anxiety (β = -0.43, p < .001 and β = 2.18, p < .001, respectively) and Somatization (β = -0.55, p < .001 and β = 2.9, p < .001, respectively). Notwithstanding, emotional stability was a significant predictor only for type A behavior (β = -1.08, p < .001). In conclusion, our findings validated the double valence of perfectionism in determining the development of anxiety and somatizations. Preventing distress through managing the emotional states in tertiary students is becoming even more important, especially in this post-pandemic period that is exacerbating risk factors for mental distress.
Keywords: Tertiary students, Perfectionism, Neuroticism, Type A behavior, Anxiety, Somatization.
Resumen: Los crecientes niveles de síntomas psicopatológicos en estudiantes universitarios se están convirtiendo en un fenómeno difícil de manejar para las instituciones. El objetivo del presente estudio es investigar la relación entre la ansiedad y la somatización con algunos rasgos de personalidad predisponentes, como el perfeccionismo, el neuroticismo y el patrón de conducta tipo A en estudiantes universitarios. Se reclutaron 248 estudiantes universitarios (Medad = 24.4, DT = 5.45) que completaron el Sympton Questionnaire, P Stress Questionnaire y el 16-Personality Factors Questionnaire de Catell. Los resultados mostraron una predicción negativa entre el perfeccionismo/autocontrol y la ansiedad (β = -0.49, p < .001), así como con la somatización (β = 0.35, p = .02). Sin embargo, se obtuvo una predicción positiva con los síntomas psicopatológicos de manera indirecta, adoptado un estilo de vida similar al comportamiento Tipo A (ansiedad: β = 0.14, p = .005; somatización: β = .14, p = .01). La estabilidad emocional y el género fueron factores covariables para la ansiedad (β = -0.43, p < .001 y β = 2.18, p < .001) y la somatización (β = -0.55, p < .001 y β = 2.9, p < .001). La estabilidad emocional fue un predictor significativo solo para el comportamiento tipo A (β = -1.08, p < .001). Tales hallazgos evidenciaron los efectos duales del perfeccionismo en el desarrollo de ansiedad y somatización. Abordar el malestar de los estudiantes universitarios, especialmente en el periodo postpandemia, cuando los factores de riesgo de angustia mental han aumentado, es crucial.
Palabras claves: Estudiantes universitarios, Perfeccionismo, Neuroticismo, Comportamiento tipo A, Ansiedad, Somatización.
Levels of psychological distress have increased considerably around the world due to the pandemic (Bueno-Notivol et al., 2021). Within the research that investigated the impact of the pandemic on the lives of university and college students, studies described relevant risk factors. Some psychological factors considered risky for students’ mental health are the tendency to develop worry (Baiano et al., 2020), attachment style (e. g., anxious and avoidant) (Rollè et al., 2022), and previous mental disorders (Meda et al., 2020). Personality dimensions including detachment, negative affect, and psychoticism were also described (Biondi et al., 2021).
A good amount of research analyzing the mental health of university students already in the pre-pandemic era (Auerbach et al., 2018) highlighted that even admission to a university or college is considered a critical period because of the specific skills that are required (Saleh et al., 2017). In addition, it seems that perfectionism may be another personality trait able to influence their mental health as it is linked with an augmented risk for anxiety and depression (Hewitt et al., 2003).
Perfectionism had a significant positive association with perceived stress (Achtziger & Bayer, 2012; La Rocque et al., 2016) and tended to damage life satisfaction through the involvement of mediating variables, such as worry (Yu et al., 2016). Although the role of possible intervening variables was only minimally investigated, it is not well known why perfectionism did not always lead to maladaptive results (Gnilka et al., 2019).
Nevertheless, significant difficulties in practicing relaxing experiences that could facilitate psychophysical recovery and the easing of tension generated by study activities may be related to perfectionism (Wang et al., 2022). To illustrate, Lală et al. (2010) manifested how type A behavior, a construct described as a behavioral pattern typical of subjects aggressively oriented towards achieving goals and with a deep-rooted competitive nature, can undermine the mental health of tertiary students. Although this construct was studied in the context of stress-related physical disorders (Bonaguidi et al., 1996) and work-related stress (Gieniusz-Wojczyk et al., 2022), only a few studies considered students’ behavioral lifestyle (Guidotti et al., 2024; Heilbrun & Friedberg, 1987; Perry et al., 1990).
In light of what emerged from the literature analysis, it has been hypothesized that type A behavior may play a fundamental role in the relationship between perfectionism and mental health (i. e., anxious activation with somatizations). To the best of our knowledge, there are no studies that investigated the direct and indirect role of perfectionism on mental health involving constructs such as type A behavior, which has long been known to be harmful to psychophysical health (Rosenman, 1991; Rosenman & Friedman, 1959). Furthermore, it is assumed that the psychological dimensions mentioned above have not been adequately investigated in the post-pandemic phase, in which specific psychopathological conditions have been exacerbated (Achtziger & Bayer, 2013; Frost et al., 1990; La Rocque et al., 2016; Lală et al., 2010; Scott et al., 2014; Thomas & Bigatti, 2020).
Based on the above consideration, the relationship between perfectionism and psychopathological symptoms including anxiety and somatization was explored within two mediation models in which the type A behavior was included. Data analyses were guided following the hypotheses: (1) perfectionism would significantly predict anxiety and somatization through the type A behavior; (2) perfectionism would significantly predict type A behavior; (3) emotional stability would be a significant covariate on anxiety and somatizations within the total models; and (4) female gender, included as covariate, would significantly worsen anxiety and somatization within the two mediation models.
Methods
Participants
In this exploratory and cross-sectional study, a total of 248 students (66.9 % female) of the University of Parma (Northern Italy), aged between 19 and 45 years old (Mage = 24.4, SD = 5.45) were included. Participants had a bachelor’s degree (51.6%) or a diploma (48.4%) and the majority were single (88.7%), only 11.3% were cohabiting or married.
Procedure
Participants were consecutively recruited, responding to some posters that offered a link to book an in-person appointment via the Outlook calendar. The researchers explained the purpose of the study as well as the questionnaires without specifying the single scales so as not to nullify the face validity. Subsequently, participants were offered the option to book another appointment with a licensed clinical psychologist to receive an exhaustive commentary on the reports of the psychological questionnaires.
Criteria for inclusion in the study were age > 18 years old, completion of informed consent, and no history of neuropsychiatric syndromes (e. g., previous head trauma, epilepsy, etc.) and/or physical diseases (i. e., sensory disturbances of sight and/or hearing) that may limit the administration of the questionnaires.
The research was conducted following the Guidelines for Good Research Practice of the University of Parma (2020). All procedures were conducted following the Declaration of Helsinki (WMA, 1964) as well as the Universal Declaration on Bioethics and Human Rights (UNESCO, 2005) regarding research involving human participants.
Measures
The 16 Personality Factors Questionnaire (16PF; Cattell, 1945, 1946, 1989; Cattell & Krug, 1986) is composed of 105 items with three possible responses (True/False/Uncertain) that identify 16 primary, bipolar, and relatively independent factors. A key feature of the 16PF questionnaire is that it asks respondents about specific situations, rather than requiring self-assessment of their personality traits. For instance, the items are formulated as follows: “I enjoy being part of a group”. The three possible responses (True/False/Uncertain) are provided and each of these corresponds to a score (0 or 1). The subscale score is the sum of each related item. Raw scores are converted into a 9-point scale (stanine), ranging from 1 to 9. The Italian standardization manual (Sirigatti & Stefanile, 2011) reported that scores between 3 and 7 are considered average. Low scores fall between 1 and 3 and high scores between 7 and 9. The mean value of Cronbach’s alpha for the various scales is equal to .71 (ranging from .66 to .93 across the 16 personality factors).
The P Stress Questionnaire (PSQ; Pruneti, 2011) is a tool with 32 items grouped into six scales: Sense of Responsibility (SR), Vigor (V), Stress Disorders (SD), Precision and Punctuality (PP), Spare Time (ST), and Hyperactivity (H). It detects whether there is a risk for stress-related physical disorders attributable to the presence of a stress-related lifestyle. In some cases, a stress-related lifestyle falls within a phase characterized by stress overload, whereas, in other cases, it is associated with specific personality configurations that predispose to stress-related disorders, such as type A behavior. The SR factor includes attitudes about taking life and personal duties too seriously. The V factor includes items that refer to the feeling of having characteristics such as vitality, energy, and stress resistance. The Stress Disorders factor consists of items linked to troubles and problems usually related to stress reactions, such as a lack of sexual interest and difficulty falling asleep. The PP factor includes behaviors characterized by spitefulness, precision, and punctuality. The ST factor is linked to items regarding self-care and the capability and possibility of relaxing and taking breaks from work. The H factor refers to behaviors characterized by extreme activity and the presumption of being able to resist fatigue well. Raw scores are converted into stanine that have a distribution between 1 and 9 (average values are included between 3 and 7, low scores fall between 1 and 3, and high scores between 7 and 9). The Italian standardization reported Cronbach’s alpha values between .40 and .70 for each scale. In the present research, Cronbach’s alpha of the total scale was equal to .76.
The Symptom Questionnaire (SQ; Fava et al., 1983; Kellner, 1976) is a self-assessment questionnaire composed of 92 dichotomous items that investigate the state of well-being/distress perceived by the subject during a specific period. It contains four scales based on the factorial analysis of the psychopathological symptoms of Anxiety (A), Depression (D), Somatization (S), and Hostility (H). The clinical cut-off corresponds to 4 for all the scales. This instrument demonstrated to have high sensitivity and specificity levels (80 % and 76 % in general practice, respectively; 86 % and 74 % in hospital medical wards; and 83 % and 85 % in emergency departments (Rucci et al., 1994). This tool has weekly, daily, and hourly versions. For the present study, the weekly version was used (Cronbach’s alpha = .79).
Statistical analysis
All statistical analyses were performed using SPSS (Version 28.0.1.0; IBM Corp, Armonk, NY, USA). Descriptive statistics of the SQ, PSQ, and 16PF scores of the sample were performed with the calculation of the mean (M) and standard deviation (SD). The conversion of the PSQ and 16PF scores into stanine served to visualize the descriptive measures in light of the expected average values.
Since all the assumptions for the conduction of parametric statistics were respected, a Pearson’s correlation analysis was conducted to examine the association between psychopathological symptoms, type A behavior, and personality traits. To test the hypotheses of the present research, two serial mediation analyses using the PROCESS macro (Model 4; Hayes, 2017) for SPSS v22 were implemented, considering Perfectionism (Q3) as the independent variable, the type A behavior (PSQ total score) as a serial mediator, and anxiety and somatization as the dependent variables. Moreover, Emotional Stability (C) and Gender were inserted as covariates. Because PROCESS is a form of linear regression, we performed the analysis two times (i. e., one for each of the two psychopathological symptoms). Raw scores of SQ, PSQ, and 16PF were used.
Results
Descriptive statistics
The descriptive statistics of the psychological variables are reported in Table 1.

The SQ underlined clinically significant levels of anxiety (M = 9.67, SD = ±4.86; cut-off = 4) and somatization (M = 7.79, SD = ±5.14; cut-off = 4) among university students, with a moderate mood alteration (Depression: M = 9.41, SD = ±5.68; cut-off = 4; Hostility: M = 6.05, SD = ±4.73; cut-off = 4). The PSQ revealed the presence of somatization (Stress Disorders: 7/9 stanine) and a poor ability to relax (Spare Time: 7/9 stanine).
Lastly, the personality questionnaire (16PF) described a high level of somatic tension (Tension (Q4): 8/9 stanine) combined with low emotion management skills (Emotional Stability (C): 2/9 stanine) and low levels of impulse control (Perfectionism (Q3): 3/9 stanine). On the interpersonal level, a tendency to act with caution in social contexts (Privateness (N): 3/9 stanine) and a moderate sensitivity to the judgment of others which undermines autonomy and independence (Self-Reliance (Q2): 2/9 stanine) emerged.
Looking at the total sample, the correlation between the psychological variables of interest emerged to be significant (Table 2).

More specifically, Anxiety and Somatization positively correlated with the PSQ total score (r = .33, p < .001 and r = .29, p < .001, respectively), which was positively linked with Perfectionism (r = .14, p = .04). Perfectionism was negatively related to psychopathological symptoms (Anxiety: r = -.22, p < .001; Somatization: r = -.14, p = .03). The PSQ total score (r = -.29, p < .001), anxiety (r = -.37, p < .001), and somatization (r = -.36, p < .001) negatively correlated with Emotional Stability (Table 1). Significant correlations emerged between Gender and Anxiety (r = -.28, p < .001) and Somatization (r = -.30, p < .001).
The partial mediation models
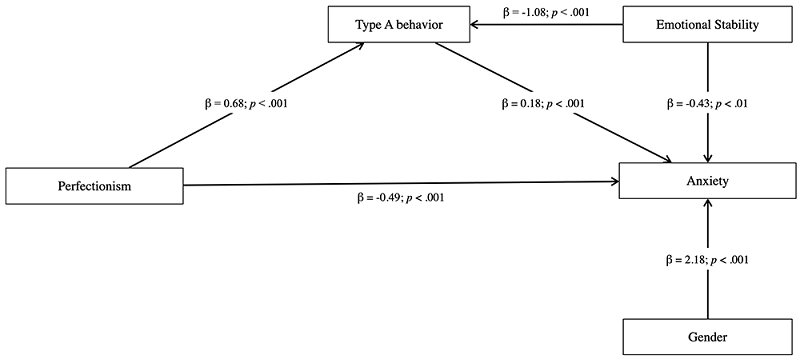
Figure 1 shows the direct effects between the variables included in the first serial mediation model. The mediation analysis proved that Perfectionism (16PF Q3) increased type A behavior (PSQ Total) (β = 0.68; SE = 0.21; p < .001; CI [0.26-1.09]). The total variance of the partial model (R2 = 0.38, F = 12.56; p < .001) was also explained by one of the covariates inserted. More specifically, Emotional Stability (β = -1.08; SE = 0.20; p < .001; CI [-1.47- -0.69]) but not gender was significant on type A behavior.


Additionally, Perfectionism (16PF Q3) predicted Anxiety (SQ A) both directly(β = -0.49; SE = 0.13; p < .001; CI [-0.70- -0.15]) and indirectly through the type A behavior (PSQ Total) (β = 0.14; SE = 0.05; p = .005; CI [-0.73- -0.24]). Within the total model (R2 = 0.53, F = 21.85; p < .001), Emotional Stability as covariate resulted significant (β = -0.43; SE = 0.12; p < .01; CI [-0.67- -0.18]) as well as gender (coded as 0 = male and 1 = female) (β = 2.18; SE = 0.59; p < .001; CI [1.01- -3.35]) on Anxiety. (Figure 2)
In a second serial mediation model, it was assessed whether a similar trend could emerge considering somatization as the dependent variable. Looking at the model, it can be observed that Perfectionism (16PF Q3) predicted Somatization (SQ S) both directly (β = -0.35; SE = 0.15; p = .02; CI [-0.65- -0.06]) and indirectly through the type A behavior (PSQ Total) (β = 0.14; SE = 0.06; p = .01; CI [0.07-0.26]). Lastly, within the partial mediation model (R2 = 0.49, F = 17.60; p < .001), Emotional Stability inserted as covariate resulted in significant on both type A behavior and Somatization (β = -0.55; SE = 0.15; p < .001; CI [-0.85- -0.26]), while gender was significant only on Somatization (β = 2.90; SE = 0.72; p < .001; CI [1.49- 4.31]).
Discussion
At the descriptive level, the presence of a moderate level of anxiety accompanied by somatization as well as mood deflection was evident. These data are in line with previous studies documenting the high prevalence of psychopathological symptoms among university students in all phases of the COVID-19 pandemic (Bueno-Notivol et al., 2021). Nonetheless, the presence of behaviors and lifestyles at risk of stress-related physical disorders was also found, confirming previous results already attested by our research group (Guidotti et al., 2022), as the student’s inability to “disconnect from commitments” and dedicate time to relaxing activities that facilitate psychophysical recovery was again described. The inability to devote time to extra-curricular activities still deserves further in-depth analysis, as it is usually connected with obsessive traits (Milad & Rauch, 2012). Even though the PSQ global score did not classify the students in our sample as having type A behavior, it was still valuable to explore the personality traits linked to it. Even only on a descriptive level, the presence of high nervous tension was found, which made this group of university students emotionally activated.
The partial mediation models that explained the variables involved in the modulation of anxiety and somatization revealed that higher levels of perfectionism could favor the reduction of psychopathological symptoms. In other words, it emerged that such high psychological distress is predicted by low levels of perfectionism and impulse control skills. Our results are in contrast with the current literature concerning this topic because high levels of perfectionism were usually associated with anxiety and perceived stress (Achtziger & Bayer, 2013; La Rocque et al., 2016; Scott et al., 2014), due to the high effort and commitment invested to achieve high standards and negative self-evaluation (Frost et al., 1990). The reason for the difference in results could be due to the type of personality questionnaire used, which grouped different aspects of a person’s personality. Concerning perfectionism (Q3), the author of the 16PF argues that this dimension can also be interpreted in the light of a continuum from being “indolent” to “controlled” (Cattell, 1946). Thus, low perfectionism could be interpreted as difficulty in controlling impulses and a lack of self-directedness, playing a crucial role in managing internal states. At the same time, perfectionism positively predicted psychopathological symptoms indirectly through type A behavior. It is possible to hypothesize that the tendency to exercise greater control over oneself passed through an increment in school/work activity which, in turn, might be associated with both anxiety and somatizations. This aspect is more reflected in the literature on perfectionism, highlighting its counterproductive impact. Specifically, perfectionism can generate a paradoxical effect whereby ambition towards a goal can generate anxiety, such as to compromise one’s performance and even academic achievement. This aspect can be particularly dangerous because a series of setbacks, failures, and frustrations can lead to the syndrome of learned helplessness encouraging the abandonment of a university career (Maier & Seligman, 2016). These findings are consistent with the General Vulnerability Model of perfectionism proposed by Dunkley et al. (2014). In agreement with the researchers, individuals with high levels of perfectionism and perceived stress report higher vulnerability to emotional distress (Thomas & Bigatti, 2020). Our results suggest that tertiary students’ success can be achieved in two ways. On the other hand, anxiety and somatizations might be reduced by perfectionism and, more specifically, by the perception of having control over one’s life and adequate self-directedness. However, academic success could also be pursued through an increase in functional activities dictated by perfectionism. Concerning the double value of this construct, two facets of perfectionism were already described in the literature as its valence can be adaptive or maladaptive (Frost et al., 1990). The first form is characterized by a desire for success and goal achievement as well as high levels of organization and personal standards and conscientiousness. Since maladaptive perfectionism is driven by fear of failure and the need to reduce one’s imperfections, it is the form more frequently involved in detrimental mental health consequences (Thomas & Bigatti, 2020).
Referring to our unexpected findings, this relationship would be mediated by the hyper-activated lifestyle which seemed to be very similar to the type A (Rosenman & Friedman, 1959). Specifically, it was precisely the attitude of impatience and inability to relax and “detaching from commitments”, combined with the observation that these participants were perfectionists, that was associated with serious somatic disorders. (Weidner et al., 1987). Nevertheless, the type A behavior pattern is poorly investigated among tertiary students (Lală et al., 2010), unlike other psychological constructs, such as workaholism (Loscalzo & Giannini, 2017) and study holism (Loscalzo, 2021), which have already described the widespread behavioral addiction according to which a person feels the compulsion to work/study incessantly despite the negative consequences for his health. Taking into account that also our research proved an association between the acceleration of work/study rhythms and perfectionism, these constructs can be considered as partially overlapping the type A behavior.
Additionally, it is also important to consider the role of covariates. Having a higher score on the emotional stability scale improves mental well-being. Moreover, being a male student reduces the manifestation of anxiety and somatization, while females are more likely to experience and express their suffering. A reflection in this regard is necessary because gender only modulates the expression of symptoms, not perfectionism nor Type A behavior, indicating that male students may not notice the signs linked to stress and tiredness. Consistently with the literature regarding the predisposing factors to stress, there may be psychosocial conditioning that favors the denial of mental distress in males (Hassan et al., 2020).
Nevertheless, future studies are needed to include accurate measurements of perfectionism to highlight its positive and negative valence regarding lifestyle and distress. Also, further studies need to consider a gender-balanced and larger sample size. One of the main limitations of the present research concerns the ad hoc sampling that may be scarcely representative of the total population of Italian tertiary students as it is possible that people who were most vulnerable to stress and wanted to evaluate their psychological state joined our study. Nonetheless, the fact that the sample is predominantly characterized by female students (66.9 %) is in line with other studies that documented a greater propensity of women to participate in this type of research (Musetti et al., 2022). However, it cannot be ruled out that snowball sampling could have generated selection biases. Furthermore, the cross-sectional nature of the study cannot confirm the causality of relationships between observed variables. Lastly, psychophysiological measures less sensitive to the social desirability bias could be combined with psychometric tests for measuring anxiety arousal.
Despite the present limitations, it is important to address some clinical issues. To our knowledge, the double valence of perfectionism on the psychopathological symptoms of university students and the mediating role of type A behavior emerged for the first time. The increase in academic activity can be dictated by high levels of perfectionism and determine a worsening of mental health. However, good emotional stability can counteract these negative effects by promoting better psychophysical balance. In short, perfectionistic students who adopt behaviors similar to type A could be at greater risk of developing stress-related and anxiety disorders, looking like striving “giants”, but “with feet of clay”.
Notwithstanding, the successful identification of anxious activation is usually a prominent clinical feature for psychologists as it can be a positive resource and a driving force toward functional behaviors (Sirigatti & Stefanile, 2011). Psychological services might be useful to support both students’ academic goals and their emotional states.
Conclusions
The study highlights the complex relationships between psychological factors and the mental well-being of university students. It was found that perfectionism had both negative and positive impacts on psychopathological symptoms, depending on its mediation through type A behavior. The significance of emotional stability as a covariate attested to the protective role of the ability to manage emotions in the face of academic activities. The male gender was also a significant covariate, but only for anxiety and somatization -the presence of a denying or belittling attitude towards distress for this subgroup of students was supposed. To conclude, clinical psychological services could help students improve emotional regulation skills.
Acknowledgments
The authors thank Jenny Karla Asto Garcia for providing linguistic help for the Spanish sections.
References
Achtziger, A., Bayer, U. C. (2013). Self-control mediates the link between perfectionism and stress. Motivation and Emotion, 37(3), 413-423. Doi: 10.1007/s11031-012-9321-6
Auerbach, R. P., Mortier, P., Bruffaerts, R., Alonso, J., Benjet, C., Cuijpers, P., Demyttenaere, K., Ebert, D. D., Green, J. G., Hasking, P., Murray, E., Nock, M. K., Pinder-Amaker, S., Sampson, N. A., Stein, D. J., Vilagut, G., Zaslavsky, A. M., Kessler, R. C., WHO WMH-ICS Collaborators (2018). WHO World Mental Health Surveys International College Student Project: Prevalence and distribution of mental disorders. Journal of Abnormal Psychology, 127(7), 623-638. Doi: 10.1037/abn0000362
Baiano, C., Zappullo, I., Conson, M., The LabNPEE Group. (2020). Tendency to worry and fear of mental health during Italy’s COVID-19 Lockdown. International Journal of Environmental Research and Public Health, 17(16), Article 5928. Doi: 10.3390/ijerph17165928
Biondi, S., Casale, S., Burrai, J., Mazza, C., Cavaggioni, G., Ferracuti, S., Giannini, A. M., Roma, P. (2021). Personality and lockdown: A study on Italian undergraduates during the COVID-19 pandemic. Frontiers in Psychiatry, 12, Article 622366. Doi: 10.3389/fpsyt.2021.622366
Bonaguidi, F., Michelassi, C., Trivella, M. G., Carpeggiani, C., Pruneti, C. A., Cesana, G., L’Abbate, A. (1996). Cattell’s 16 PF and PSY inventory: Relationship between personality traits and behavioral responses in patients with acute myocardial infarction. Psychological Reports, 78(2), 691-702. Doi: 10.2466/pr0.1996.78.2.691
Bueno-Notivol, J., Gracia-García, P., Olaya, B., Lasheras, I., López-Antón, R., Santabárbara, J. (2021). Prevalence of depression during the COVID-19 outbreak: A meta-analysis of community-based studies. International Journal of Clinical and Health Psychology, 21(1), Article 100196. Doi: 10.1016/j.ijchp.2020.07.007
Cattell, R. B. (1945). The description of personality: Principles and findings in a factor analysis. American Journal of Psychology, 58(1), 69-90. Doi: 10.2307/1417576
Cattell, R. B. (1946). The description and measurement of personality. World Book Company.
Cattell, R. B. (1989). The 16PF: Personality in depth. Champaign. Institute for Personality and Ability Testing.
Cattell, R. B., Krug, S. E. (1986). The number of factors in the 16PF: A review of the evidence with special emphasis on methodological problems. Educational and Psychological Measurement, 46(3), 509-522. Doi: 10.1177/0013164486463002
Deary, V., Chalder, T. (2010). Personality and perfectionism in chronic fatigue syndrome: A closer look. Psychology & Health, 25(4), 465-475. Doi: 10.1080/08870440802403863
Fava, G. A., Kellner, R., Perini, G. I., Fava, M., Michelacci, L., Munari, F., Evangelisti, L. P., Grandi, S., Bernardi, M., Mastrogiacomo, I. (1983). Italian validation of the Symptom Rating Test (SRT) and Symptom Questionnaire (SQ). Canadian Journal of Psychiatry. Revue Canadienne de Psychiatrie, 28(2), 117-123. Doi: 10.1177/070674378302800208
Frost, R. O., Marten, P., Lahart, C., Rosenblate, R. (1990). The dimensions of perfectionism. Cognitive Therapy and Research, 14, 245-261. Doi: 10.1007/BF01172967
Gieniusz-Wojczyk, L., Dąbek, J., Kulik, H. (2022). Type A behaviour pattern and health behaviour of polish nurses. International Journal of Environmental Research and Public Health , 19(11), Article 6358. Doi: 10.3390/ijerph19116358
Gnilka, P. G., Ashby, J. S., Noble, C. M. (2012). Multidimensional perfectionism and anxiety: Differences among individuals with perfectionism and tests of a coping-mediation model. Journal of Counselling and Development, 90, 427-436. Doi: 10.1002/j.1556-6676.2012.00054.x
Guidotti, S., Coscioni, G., Pruneti, C. (2022). Impact of Covid-19 on mental health and the role of personality: Preliminary data from a sample of Italian university students. Mediterranean Journal of Clinical Psychology, 10(3). Doi: 10.13129/2282-1619/mjcp-3549
Guidotti, S., Fiduccia, A., Murgolo, M., Pruneti, C. (2024). Comparison between physical activity and stress-related lifestyle between orthorexic and non-orthorexic university students: A case-control study. Nutrients, 16(9), Article 1340. Doi: 10.3390/nu16091340
Hassan, R., MacMillan, H. L., Tanaka, M., Schmidt, L. A. (2020). Psychophysiological influences on personality trajectories in adolescent females exposed to child maltreatment. Development and Psychopathology, 32(4), 1390-1401. Doi: 10.1017/S0954579419001342
Hayes, A. F. (2017). Introduction to mediation, moderation, and conditional process analysis: A regression-based approach (2nd ed.). Guilford Publications.
Heilbrun, A. B. Jr., Friedberg, E. B. (1987). Type A behavior and stress in college males. Journal of Personality Assessment, 51(4), 555-564. Doi: 10.1207/s15327752jpa5104_7
Hewitt, P. L., Flett, G. L., Sherry, S. B., Habke, M., Parkin, M., Lam, R. W., McMurtry, B., Ediger, E., Fairlie, P., Stein, M. B. (2003). The interpersonal expression of perfection: Perfectionistic self-presentation and psychological distress. Journal of Personality and Social Psychology, 84(6), 1303-1325. Doi: 10.1037/0022-3514.84.6.1303
Kellner, R. (1976). Abridged manual of the Symptom Questionnaire. University of New Mexico.
La Rocque, C. L., Lee, L., Harkness, K. L. (2016). The role of current depression symptoms in perfectionistic stress enhancement and stress generation. Journal of Social and Clinical Psychology, 35(1), 64-86. Doi: 10.1521/jscp.2016.35.1.64
Lală, A., Bobîrnac, G., Tipa, R. (2010). Stress levels, alexithymia, Type A and Type C personality patterns in undergraduate students. Journal of Medicine and Life, 3(2), 200-205.
Limburg, K., Watson, H. J., Hagger, M. S., Egan, S. J. (2017). The relationship between perfectionism and psychopathology: A meta-analysis. Journal of Clinical Psychology, 73(10), 1301-1326. Doi: 10.1002/jclp.22435
Loscalzo, Y. (2021). Studyholism and study engagement: What about the role of perfectionism, worry, overstudy climate, and type of school in adolescence? International Journal of Environmental Research and Public Health , 18(3), Article 910. Doi: 10.3390/ijerph18030910
Loscalzo, Y., Giannini, M. (2017). Clinical conceptualization of workaholism: A comprehensive model. Organizational Psychology Review, 7(4), 306-329. Doi: 10.1177/2041386617734299
Maier, S. F., Seligman, M. E. (2016). Learned helplessness at fifty: Insights from neuroscience. Psychological Review, 123(4), 349-367. Doi: 10.1037/rev0000033
Meda, N., Pardini, S., Slongo, I., Bodini, L., Zordan, M. A., Rigobello, P., Visioli, F., Novara, C. (2021). Students’ mental health problems before, during, and after COVID-19 lockdown in Italy. Journal of Psychiatric Research, 134, 69-77. Doi: 10.1016/j.jpsychires.2020.12.045
Milad, M. R., Rauch, S. L. (2012). Obsessive-compulsive disorder: Beyond segregated cortico-striatal pathways. Trends in Cognitive Sciences, 16(1), 43-51. Doi: 10.1016/j.tics.2011.11.003
Musetti, A., Pingani, L., Zagaria, A., Uberti, D., Meli, S., Lenzo, V., Gori, A., Franceschini, C., Galeazzi, G. M. (2022). Insecure adult attachment and reflective functioning as mechanisms of the relationship between traumatic life events and suicidal ideation: A path analysis. Frontiers in Psychology, 13, Article 985148. Doi: 10.3389/fpsyg.2022.985148
Ormel, J., Riese, H., Rosmalen, J. G. (2012). Interpreting neuroticism scores across the adult life course: Immutable or experience-dependent set points of negative affect? Clinical Psychology Review, 32(1), 71-79. Doi: 10.1016/j.cpr.2011.10.004
Perry, A. R., Kane, K. M., Bernesser, K. J., Spicker, P. T. (1990). Type A behavior, competitive achievement-striving, and cheating among college students. Psychological Reports , 66(2), 459-465. Doi: 10.2466/pr0.1990.66.2.459
Pruneti, C. (2011). The P Stress Questionnaire: A new tool for the evaluation of stress-related behaviors. European Journal of Clinical Psychology and Psychiatry, 6(3), 1-37.
Rollè, L., Trombetta, T., Calabrese, C., Vismara, L. (2022). Adult attachment, loneliness, Covid-19 risk perception and perceived stress during Covid-19 pandemic. Mediterranean Journal of Clinical Psychology , 10(1). Doi: 10.13129/2282-1619/mjcp-3286
Rosenman, R. H. (1991). Type A behavior pattern and coronary heart disease: The hostility factor? Stress Medicine, 7(4), 245-253. Doi: 10.1002/smi.2460070407
Rosenman, R. H., Friedman, M. (1959). Association of specific overt behavior pattern with blood and cardiovascular findings; blood cholesterol level, blood clotting time, incidence of arcus senilis, and clinical coronary artery disease. Journal of the American Medical Association, 169(12), 1286-1296. Doi: 10.1001/jama.1959.03000290012005
Rucci, P., Marco, P., Bivi, R. (1994). Il Symptom Questionnaire come strumento di screening nei contesti sanitari di base. Epidemiologia e Psichiatria Sociale, 3(1), 31-37. Doi: 10.1017/S1121189X00009295
Saleh, D., Camart, N., Romo, L. (2017). Predictors of stress in college students. Frontiers in Psychology , 8, Article 19. Doi: 10.3389/fpsyg.2017.00019
Scott, J. H., Yap, K., Francis, A. J. P., Schuster, S. (2014). Perfectionism and its relationship with anticipatory processing in social anxiety. Australian Journal of Psychology, 66(3), 187-196. Doi: 10.1111/ajpy.12045
Settineri, S., Frisone, F., Merlo, E. M. (2019). The mask object in psychotherapy: Presentation and representation. Mediterranean Journal of Clinical Psychology , 7(1). Doi: 10.6092/2282-1619/2019.7.2232
Sirigatti, S., Stefanile, C. (2001). Il 16PF-5 Adattamento italiano. OS Organizzazioni Speciali.
Thomas, M., Bigatti, S. (2020). Perfectionism, impostor phenomenon, and mental health in medicine: A literature review. International Journal of Medical Education, 11, 201-213. Doi: 10.5116/ijme.5f54.c8f8
UNESCO. (2005). Universal Declaration on Bioethics and Human Rights. UNESCO.
Wang, Y., Chen, J., Zhang, X., Lin, X., Sun, Y., Wang, N., Wang, J., Luo, F. (2022). The relationship between perfectionism and social anxiety: A moderated mediation model. International Journal of Environmental Research and Public Health , 19(19), Article 12934. Doi: 10.3390/ijerph191912934
Weidner, G., Sexton, G., McLellan, R., Connor, S. L., Matarazzo, J. D. (1987). The role of type A behavior and hostility in an elevation of plasma lipids in adult women and men. Psychosomatic Medicine, 49(2), 136-145. Doi: 10.1097/00006842-198703000-00004
World Medical Association. (1964). Declaration of Helsinki. World Medical Association.
Yu, J. H., Chae, S. J., Chang, K. H. (2016). The relationship among self-efficacy, perfectionism and academic burnout in medical school students. Korean Journal of Medical Education, 28(1), 49-55. Doi: 10.3946/kjme.2016.9
Funding
Data availability statement
Author notes
* Corresponding author Sara Guidotti. Clinical Psychology, Clinical Neuropsychology, Clinical Psychophysiology, Dept. of Medicine and Surgery, University of Parma, Via Volturno 39 (43126), Parma, Italy. sara.guidotti@unipr.it
Conflict of interest declaration