Artículos
Recepción: 15 Octubre 2015
Aprobación: 04 Mayo 2016
DOI: https://doi.org/http://dx.doi.org/10.15446/rev.colomb.biote.v18n1.50413
Resumen: Esta investigación tuvo como objetivo el aislamiento y caracterización de bacterias con potencial para promover el crecimiento del pasto Pennisetum clandestinum en suelos salinos simulados. De muestras de suelo rizosférico de P. clandestinum se aislaron 92 bacterias Gram positivas, diez aislados crecieron en agar nutritivo suplementado con NaCl (2,578 M). Los aislados se evaluaron bajo condiciones de invernadero; las cepas identificadas como KISA 34 y KISA 71 fueron seleccionadas como las mejores con base a la prueba estadística de Dunnet (p≤ 0,05) y fueron identificadas molecularmente como Bacillus amyloliquefaciens KISA 34 y Bacillus subtilis KISA 71. Estas cepas tienen la capacidad de producir; amonio, exopolisacáridos y celulosa, y tanto en presencia como ausencia de NaCl, produjeron índoles totales y solubilización de fósforo. La evaluación de las cepas en invernadero evidenció que el T6 - KISA 34 + KISA 71+ 25 % (Roca Fosfórica RF) con respecto al T2- testigo químico completo incrementaron de manera significativa la biomasa y el desarrollo de la planta (p≤ 0.05). Los resultados de esta investigación demostraron que las cepas aisladas tienen la capacidad de crecer en suelos salinos conservando sus características como promotoras de crecimiento vegetal con efectos positivos sobre P. clandestinum.
Palabras clave: Bacillus subtilis, Bacillus amyloliquefaciens, biofertilizantes, salinidad, solubilización de fósforo.
Abstract: This research aims the isolation and characterization of bacteria with potential to promote the growth of grass Pennisetum clandestinum in simulated saline soils. 92 Gram positive bacterias were isolated from Rhizosphere soil samples of P. clandestinum. Ten isolated bacteria grew on nutrient agar supplemented with NaCl (2.578 M). Isolates were evaluated under greenhouse conditions; the strains identified as KISA 34 and KISA 71 were selected as the best based on the statistical test of Dunnet (p ≤ 0.05) and were identified Bacillus amyloliquefaciens KISA 34 and Bacillus subtilis KISA 71. These strains have the ability to produce ammonium, exopolysaccharides and cellulose, both in absence and presence of NaCl. The strains produced indoles and phosphorus solubilization. The evaluation of strains in greenhouse showed that the T6 - KISA 34 + KISA 71+ 25 % (phosphate rock RF) significantly increased biomass and plant development (p≤ 0.05) compared with T2 - full fertilization . The results of this research showed that isolates have the ability to grow in saline soils retaining its characteristics as promoting plant growth with positive effects on P. clandestinum.
Keywords: Bacillus subtilis, Bacillus amyloliquefaciens, biofertilizer, salinity, phosphorus solubilization.
Introducción
El pasto Kikuyo (Pennisetum clandestinum) es nativo de las praderas de África central (Muscolo et al., 2003; Muscolo et al., 2013), y actualmente es la gramínea predominante en los sistemas de producción bovina del trópico alto (Carulla et al., 2004), esto se debe a sus características nutritivas y fisiológicas: digestibilidad, alto contenido de proteína y palatabilidad (Marais et al., 1992; Muscolo et al., 2003; Muscolo et al., 2013), rusticidad, alta capacidad de adaptación, tolerancia moderada a estrés hídrico y a la baja disponibilidad de nutrientes (Rincón et al., 1998). Crece desde el nivel del mar hasta los 3.500 m.s.n.m., en un rango de temperatura y precipitación entre 18 a 30 °C y 600 a 700 mm/año. Adicionalmente, su sistema radicular lo convierte en excelente colonizador y estabilizador de suelos (Marais, 2001; Muscolo et al., 2003; Muscolo et al., 2013), por lo que a menudo es utilizado en terrenos erosionados (Marais et al., 1992).
La salinización de los suelos es reconocida como la principal amenaza de los recursos medioambientales y afecta entre el 7 a 10 % de la extensión continental (Upadhyay et al., 2011). Un suelo es considerado salino cuando la concentración de iones interfiere el crecimiento de especies de interés agrícola y alcanza una conductividad eléctrica >4 dS m-1 (aproximadamente 36 mM de NaCl), determinados en la pasta del suelo a 25 °C (Bui, 2013). La presencia de sales en el suelo es de origen pedogénico (meteorización) o antrópico (agua de irrigación o fertilización) y se exacerba cuando las precipitaciones son insuficientes para lixiviar los iones del perfil del suelo, o cuando la tasas de evaporación son altas (Parida & Das, 2005; Bui, 2013; Shrivastava & Kumar, 2014).
La salinidad disminuye la producción agrícola en la mayoría de los cultivos por la afectación de las propiedades físico-químicas del suelo y balance ecológico del área cultivada (Upadhyay et al., 2011; Shrivastava & Kumar, 2014). Bajos niveles de salinidad < 4 dS m-1 inducen a estrés fisiológico porque sus iones, producen toxicidad estrés osmótico, oxidativo y deficiencia de nutrientes (N, Ca, K, P, Fe, Zn) que limitan la toma de nutrientes del suelo; la salinidad también afecta la fotosíntesis, debido a la reducción de área foliar, contenido de clorofila, conductancia estomática y, en menor medida, la eficiencia del fotosistema II. Lo anterior se ve reflejado en una disminución de la germinación, crecimiento vegetativo y el desarrollo reproductivo en diferentes cultivos (Parida & Das, 2005; Bui, 2013; Shrivastava & Kumar, 2014; Pompeiano et al., 2014).
Particularmente, el pasto Kikuyo puede ser muy sensible a las deficiencias de magnesio, fósforo, potasio, azufre, hierro, cobre y manganeso, siendo el fósforo de especial importancia para el establecimiento de las pasturas (Marais, 2001). Por lo que las condiciones de salinidad podrían disminuir su desempeño.
Debido a la problemática que la salinidad representa, es necesario re-examinar el uso de fertilizantes y plaguicidas de síntesis química relacionados con la concentración de sales en el suelo y desarrollar una agricultura sustentable, clave para el planteamiento de estrategias alternativas y complementarias (Ali et al., 2014; Goswami et al., 2014). Entre estas alternativas se destaca el uso de inoculantes microbianos, considerados como una tecnología limpia y alineada con los principios de la agricultura sustentable.
Numerosas bacterias promotoras de crecimiento de plantas (PGPB) tienen la capacidad de colonizar la rizósfera y endorrizósfera de las plantas y beneficiarla directa e indirectamente; bien sea por su comportamiento como halófilas cuando en el suelo existen condiciones de salinidad (Glick, 2004; Shrivastava & Kumar, 2014; Goswami et al., 2014). De esta forma, las plantas se ven beneficiadas por el aumento de la disponibilidad de nutrientes originados por la actividad de las PGPB, así como por la producción de fitohormonas y reducción en los niveles de producción de etileno por medio de regulación enzimática (Ali et al., 2014; Goswami et al., 2014).
En este contexto, esta investigación tuvo como objetivo el aislamiento y caracterización de bacterias con potencial para promover el crecimiento del pasto Kikuyo en suelos salinos simulados.
Materiales y métodos
Condiciones Experimentales. Este estudio se realizó en el año 2013 y 2014, en el centro de Investigación Tibaitatá de CORPOICA ubicado en el municipio de Mosquera Cundinamarca (Colombia) a una altura de 2543 m.snm. Se localiza en las coordenadas geográficas a 4°41” 43” de latitud norte y 74° 12’ 30” de latitud oeste.
Aislamiento y selección de bacterias Gram positivas halófilas. Se tomaron y tamizaron cinco muestras de suelo rizosférico asociado a Pennisetum Clandestinum a una profundidad de 20 cm. Se pesaron, diluyeron y agitaron 10 g de suelo por muestra en 90 ml de solución de NaCl estéril al 0,85 %, durante 15 min a 150 rpm. Se realizaron diluciones seriadas desde 10-1 hasta 10-7 y se inocularon 0,1 ml en cajas de Petri con medio nutritivo (g/l-1: glucosa 0,5; extracto de levadura 0,5; peptona 0,5; caseína 0,5; almidón 0,5; K2HP04 0,30; MgS04 0,05; agar-agar 17,0 pH: 7) suplementado con 0,5 M de NaCl.
Determinación del efecto de diferentes concentraciones NaCl sobre el crecimiento bacteriano. Los aislamientos de bacterias Gram positivas, procedentes de la rizósfera de pasto P. clandestinum, fueron sembrados en agar nutritivo con diferentes concentraciones de NaCl (0,85 M; 1,712 M y 2,578 M).
Evaluación preliminar en invernadero de bacterias Gram positivas halófilas, bajo condiciones de invernadero. Se empleó un diseño completamente al azar con 5 repeticiones por tratamiento donde T0: testigo absoluto no salino, T1: testigo salino, T2: KISA 7, T3: KISA 18, T4: KISA 26, T5: KISA 34, T6: KISA 45, T7: KISA 46, T8: KISA 53, T9: KISA 58, T10: KISA 71, T11: KISA 80. Cada una de las siglas representa un aislamiento de bacterias Gram positivas halófilas. Estolones de P. clandestinum se sumergieron de acuerdo al tratamiento correspondiente en una suspensión celular de 1x108 UFC ml-1 en caldo CASO® durante 30 min y posteriormente se sembraron en materas con 400 g de suelo con una conductividad eléctrica final para todos los tratamientos de 2,46 dSm-1, excepto el control absoluto T0. Cada tratamiento fue inoculado con 5 ml de suspensión celular con una concentración de 1x108 UFC ml-1 en medio nutritivo 15 días después de la siembra. El experimento tuvo una duración de 20 días y las variables evaluadas fueron: peso seco de la parte aérea (g) y raíz (g).
Caracterización de los aislados seleccionados
Caracterización molecular. Se realizó mediante la amplificación y secuenciación de los genes ARNr 16S y rpoB. Para esto, se procedió a la extracción de ADN de cada una de las cepas mediante la lisis directa a partir de una colonia procedente de cultivo de 24 h. Se realizaron las PCR siguiendo las instrucciones del fabricante, mediante el Kit PCR Master Mix (ThermoScientific) y usando el set de primers 1492R (5’ TAC GGY TAC CTT GTT ACG ACT T 3’) y 27F (5’ AGA GTT TGA TCM TGG CTC AG 3’) para el gen de 16S y rpoB1698f (59-AACATCGGTTTGATCAAC-3) y rpoB2041r (59-CGTTGCATGTTGGTACCCAT-3) para el gen de rpoB.
La PCR para el ARNr 16S se realizó con el siguiente programa: una fase de denaturación inicial a 95 °C por 5 min, 35 ciclos de 95 °C por 45 s, 55 °C por 45 s y 72 °C por 1.5 min y una extensión final a 72 °C por 10 min. Para rpoB, denaturación a 94 °C por 5 min, 25 ciclos de 94 °C por 30 s, 50 °C por 1.5 min y 72 °C por 10 min, seguido por una extensión final a 72 °C por 10 min.
Los productos de PCR se enviaron para su secuenciación. Las secuencias obtenidas se limpiaron y ensamblaron en una secuencia consenso, la que fue alineada con la secuencias de la base de datos GenBank del NCBI mediante la herramienta BLASTn.
Determinación de la actividad promotora de crecimiento en plantas (PGPB). La determinación cuantitativa de solubilización de fósforo se realizó en medio SRS modificado con roca fosfórica al 0.5 % como fuente de fósforo (gl-1: glucosa 10, extracto de levadura 0,5; NH4(SO4)2 0,5; KCl 0,2; MgSO47H2O 0,3; MnSO47H2O 0,004; FeSO47H2O 0.2; pH: 7,2) por 5 días a 30 ± 2 °C a 150 rpm, la medición y lectura se realizó mediante la técnica de azul de fosfomolibdeno a una absorbancia de 712 nm (Fiske & Subbarow, 1925).
La producción de índoles totales se evaluó mediante el ensayo colorimétrico descrito por Glickmann y Dessaux (1995). Para esto se empleó el medio de cultivo K-lactato suplementado con triptófano a 100 mgl-1 (Sánchez et al., 2012) incubándose los cultivos durante 72 h a 150 rpm en la oscuridad. Para la lectura se empleó el reactivo de Salkowsky (FeCl37H2O 12 gl-1en H2SO4 7,9M) en una relación 1:1 con la suspensión bacteriana, dejándose reaccionar durante 30 min en oscuridad. La lectura de absorbancia se realizó a 450 nm en un espectrofotómetro ThermoSpectronic modelo Genesys 10.
Para la evaluación de la producción de NH3 se inocularon los aislamientos en caldo nutritivo y se incubaron por un período de 24 h a 30 °C. Al sobrenadante se le adicionó una solución de fenol/nitroprusiato y una solución de hidróxido de sodio/hipoclorito de sodio en relación 1:1 y se dejó reaccionar por 30 min a 60 °C la lectura se realizó a 630 nm (Chaney & Marbach, 1962).
La evaluación de la actividad celulolítica se llevó a cabo de forma semicuantitativa; se utilizó el medio de cultivo carboximetilcelulosa (Lizarazo & Gomez, 2015). Se realizó una siembra de 50 μl de suspensión bacteriana en NaCl al 0,85% (OD600= 0,50) en cajas de Petri y se incubó durante 48 h a 30±2 °C. Transcurrido ese período, se determinó el índice de hidrólisis (IH) en placas con rojo Congo 1 % y HCl 0,1 M (Teather & Wood, 1982). Para determinar la producción de exopolisacáridos (EPS) 1 ml de cultivo bacteriano (OD600= 0,50) se mezcló con 40 μl EDTA (0,26 M) y 20 μlNaCl (5,0 M) y se centrifugó a 14,800 rpm por 10 min, se descartó el sobrenadante y adicionó 1 ml de etanol helado. Posteriormente se centrifugó durante 10 min a 14,800 rpm. El pellet se resuspendió en agua destilada. Se tomaron 0,29 µl y mezclaron con fenol (5 %) y ácido sulfúrico concentrado. Posteriormente se estabilizó la muestra durante 10 min en baño termostático a 30 °C. Se realizó la lectura a 490 nm (Dubois et al., 1956).
La actividad de la ACC deaminasa se determinó mediante la medición de la cantidad α-cetobutirato producido a partir de la escisión de ACC (Penrose & Glick, 2003). Para ello las bacterias se cultivaron en caldo Caso® (caldo peptona de caseína-peptona de harina de soya) durante la noche a 30 °C. El sedimento celular se transfirió a un medio mínimo con sal DFmM ACCdesaminasa como única fuente de nitrógeno. Cuando el crecimiento alcanzó la fase logarítmica tardía (es decir, DO600 = 1,00), se lavó el pellet dos veces con 0,1 M de Tris-HCl, pH 7,6 y pH 8,5 respectivamente. Se añadió tolueno a la suspensión de células y luego se leyó la absorbancia a 540 nm.
Producción de índoles y solubilizarían de fósforo bajo condiciones de estrés salino in vitro de los aislados seleccionados
Caracterización de los aislados seleccionados bajo condiciones de estrés salino in vitro
Con el fin de comparar los posibles cambios fenotípicos de las bacterias bajo estrés salino se emplearon tres concentraciones de NaCl (0,58 M; 0,24 M y 0,12 M). Las actividades producción de índoles totales y solubilización de fósforo fueron evaluadas de acuerdo a las metodologías establecidas en la caracterización de actividades como PGPB.
Evaluación en invernadero de bacterias Gram positivas seleccionadas sobre el crecimiento de P. clandestinum bajo condiciones de estrés salino
Se empleó un diseño completamente al azar con seis tratamientos y 7 réplicas por tratamiento. Los tratamientos fueron los siguientes: T0: testigo absoluto sin sal ni fertilización, T1: testigo sin fertilización con sal, T2: fertilización química + 100 % roca fosfórica (RF), T3: fertilización química +25 %RF, T4: KISA 34 + 25 %RF, T5: KISA 71 + 25 %RF, T6: KISA 34 + KISA 71 +25 % RF.
Las cepas KISA 34 y KISA 71 se reactivaron en caldo CASO®. Los estolones de P. clandestinum se sumergieron de acuerdo al tratamiento correspondiente en una suspensión celular de 1x108 UFC ml-1 en caldo CASO® durante 30 min y se transfirieron a materas con capacidad de 400 g para su pre-germinación durante 25 días. Luego del tiempo de pre-germinación, los estolones se sembraron en bolsas con capacidad de 4,5 kg, en las cuales el suelo se ajustó con NaCl a una conductividad eléctrica inicial de 3,81dS m-1 para todos los tratamientos. Posteriormente cada tratamiento se inoculó con 5 ml de la suspensión celular correspondiente en caldo CASO® con una concentración de 1x108 UFC ml-1.
La fertilización química se realizó con urea (279 mg), KCl (214 mg), MgSO4 (150 mg), CaSO4 (150 mg), MnSO4 (150 mg) ZnSO4 (28,6 mg), Borax (7 mg) teniendo en cuenta el análisis químico del suelo (11,06% MO; (mg kg-1) 4,08 P; 0,77 K; 0,63 Mg; 1,29 Cmol kg-1Ca; 1,25 dS m-1y pH:5,04). La conductividad eléctrica final del suelo para todos los tratamientos al finalizar el ensayo fue de 2,68 dS m-1. La determinación de fósforo soluble en suelo PO4 (mg kg-1) inicial fue de 0,17 según la metodología de García (1986). La roca fosfórica (RF) empleada se obtuvo en Pesca-Boyacá (Colombia) con la siguiente composición: 30 % P2O5; 40 % Ca; 12 % Si; 0,1 % Mg; 40 ppm Mn; 30 ppm Cu; 10 ppm Mo; 300 ppm Zn y un 3 % de humedad.
Al experimento se le realizaron 2 repeticiones. Para cada experimento 20 días después de la siembra se midió la altura y longitud radical y se determinó el peso seco aéreo y radicular.
Análisis estadístico
El análisis estadístico se llevó a cabo empleando software SPSS 22.00 para Windows. Estos datos se sometieron a evaluación estadística para determinación de normalidad mediante el tests de Shapiro-Wilk y para homogeneidad de varianza la prueba de Levene’s. Para datos paramétricos se aplicó análisis de varianza (ANOVA) y prueba de Dunnet y Tukey HSD con 95 % de confianza y para no paramétricos la prueba de Kruskal-Wallis.
Resultados y discusión
Aislamiento y selección de bacterias Gram positivas con potencial PGPB y halófilas
De las muestras de suelo rizosférico se aislaron 92 bacterias Gram positivas, de las cuales solo 10 crecieron en agar nutritivo suplementado con NaCl (2,578 M).
Los diez aislados seleccionados se evaluaron en invernadero; los resultados obtenidos indican que dos de los aislados presentaron los mejores resultados con base a la prueba estadística de Dunnet (p≤ 0,05). Para el peso seco de la parte aérea se presentaron incrementos de un 68 % y 65 % al utilizar las cepas KISA 34, KISA 71 con respecto al testigo salino; para la variable de peso seco de la raíz se presentaron diferencias significativas (p≤ 0,05) con el testigo salino presentado mejores resultados los tratamientos KISA 34 y KISA 71 con un aumento en un 26 % y 59 % respectivamente.
Cabe resaltar que las bacterias evaluadas en este experimento soportan concentraciones de NaCl de 200 mM, lo que posiblemente permitió una actividad de promoción de crecimiento reflejada en el peso seco de la parte aérea y radicular de la planta.
Si bien Muscolo et al. (2003) informaron que el pasto P. clandestinum tiene una amplia capacidad de adaptación a condiciones de estrés salino y su crecimiento es óptimo hasta una concentración de 100 mM; también demostraron que después de una exposición de 15 días a concentraciones de NaCl de 150 mM a 200 mM, la planta, en su parte aérea y radicular se ve afectada. Esto coincide con lo observado en las plantas control de este ensayo efecto que fue mitigado por la inoculación bacteriana.
Caracterización de las cepas seleccionadas
Los aislamientos se identificaron como Bacillus amyloliquefaciens KISA 34 con un 94 % de identidad a la cepa con número de accesión CP002927.1 del Genbank y Bacillus subtilis KISA 71 con un 100 % de identidad a la cepa con número de accesión CP013654.1 del Genbank.
Diversas cepas de Bacillus sp., han sido reconocidas por su capacidad para mejorar la disponibilidad de nutrientes en el suelo y promover el crecimiento vegetal (Gül et al., 2008; Martínez et al., 2010; Umashankar et al., 2012). Se destacan además por tolerar las condiciones de estrés abiótico en el suelo y colonizar eficientemente la rizósfera de las plantas de interés (Saharan & Nehra, 2011).
Nautiyal et al. (2013) estudiaron una cepa de B. amyloliquefaciens con capacidad de tolerar concentraciones entre 50 – 100 mM de NaCl sin presentar cambios en sus poblaciones; estas se redujeron significativamente cuando la concentración se incrementó hasta 1000 mM; sin embargo algunas alcanzan a tolerar una concentraciones mayores de 2500 mM. Estos resultados podrían estar relacionados con la capacidad de esta cepa para producir prolina como osmorregulador en condiciones de estrés por salinidad (Nautiyal et al., 2013).
Goswami et al. (2014) encontraron que plantas tratadas con 50 mM NaCl e inoculadas con la cepa de B. licheniformis mostraron un incremento entre el 15 % y el 28 % en biomasa, mientras que Upadhyay et al. (2011) encontraron incrementos de hasta un 226 % en la biomasa seca de plantas sometidas a estrés salino cuando estas fueron inoculadas con cepas de Bacillus sp.
Los aislados KISA 34 Y KISA 71 tienen la capacidad de solubilizar fósforo, producir índoles totales, NH3, expolisacáridos, y tienen actividad ACC desaminasa (tabla 1). Esto coincide con reportes previos de cepas de diferentes especies pertenecientes al género Bacillus como de B. licheniformis, B. pumilus, B. coagulans, B. insolitus, B. simplex, B. amyloliquefaciens, B. Thuringensis, B. altitudinis, B. megaterium y B. subtilis, con capacidad de producir índoles totales (Lambrecht et al., 2000; Lara et al., 2011), solubilizar fosfatos (Ahmad et al., 2008; Upadhyay et al., 2011; Nautiyal et al. 2013; Kavamura et al., 2013; Goswami et al., 2014; Kumar et al., 2014; Goswami et al., 2015), ACC deaminasa (Shen et al., 2012; Angulo et al., 2014), EPS, y producir NH3 (Upadhyay et al., 2011; Yadav et al., 2014). Bacillus amyloliquefaciens KISA 34 no presentó actividad celulolítica (tabla 1).


Los valores presentados en la tabla corresponden a la media de tres repeticiones.
Caracterización de las cepas seleccionadas bajo condiciones de estrés. En este estudio, bajo condiciones de estrés salino a concentraciones de 120 mM y 240 mM de NaCl, B. amyloliquefaciens KISA 34 y B. subtilis KISA 71 presentaron actividad de producción de índoles. Sin embargo, a una concentración de 580 mM de NaCl no se presentó esta actividad. En la determinación cuantitativa de fósforo soluble los resultados mostraron que el B. amyloliquefaciens KISA 34 y B. subtilis KISA 71 presentaron solubilización de fósforo en presencia de los tres niveles de estrés salino, disminuyendo esta actividad a medida que el porcentaje de sal aumentó (tabla 2).
El género Bacillus se encuentran entre las comunidades con mayor éxito en la actividad de solubilización de fosfatos (Wani et al., 2007). En los estudios realizados por Cherif-Silini (2013), se informó que todas las cepas evaluadas del género tuvieron la capacidad de solubilizar el P a concentraciones de hasta un 1,0 % de NaCl en el medio.
B. licheniformis, B. pumilus, B. coagulans y B. insolitus, han sido reportados bajo condiciones no salinas; no obstante, contenidos de sal en el medio circulante disminuyen la producción de índoles totales y la solubilización de fósforo sin embargo, el potencial como PGPB bajo condiciones de estrés abiótico por salinidad se mantiene (Upadhyay et al., 2011).
Evaluación de las bacterias Gram positivas seleccionadas y su efecto sobre el crecimiento de P. clandestinum bajo condiciones de estrés salino. Los resultados obtenidos indican que existen diferencias estadísticamente significativas en la altura de la planta y longitud radicular (p≤ 0,05) con la prueba de Kruskal-Wallis. El tratamiento T6 - KISA 34 + KISA 71+ 25% (RF) presenta un incremento de altura en un 8,2% respecto a la media en comparación con el T2- fertilización química completa. En cuanto a la longitud radicular T6 - KISA 34 + KISA 71+ 25% (RF) igualó al T2- fertilización química completa (figura 1).
Los resultados obtenidos coinciden con los reportados para B. amyloliquefaciens que ha reportado un aumento en la altura de las plantas de arroz de un 27,43 % y en la longitud radicular de un 73,17 %, cuando éste microorganismo ha sido inoculado bajo condiciones de salinidad (Nautiyal et al., 2013). Goswami et al. (2014) también encontraron incrementos en el desarrollo de las plantas bajo condiciones de salinidad al emplear una cepa de B. licheniformis como inoculante, pero en un menor porcentaje, con un 24 % de incremento en la longitud total de la planta, y un 17 % en la longitud de la raíz, mientras que Kavamura et al. (2013) encontraron incrementos de un 17,02 % en la altura de maíz cuando empleó como inoculante una cepa de Bacillus sp. en condiciones de salinidad.
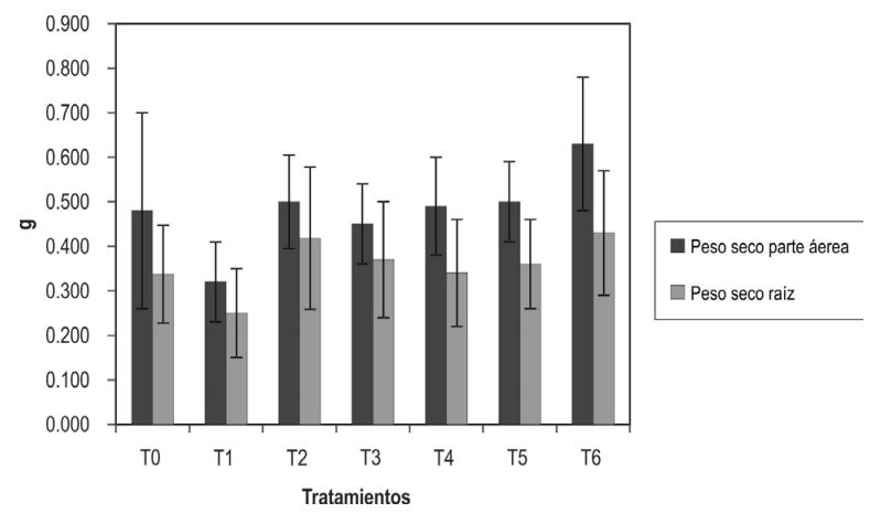
Tanto el peso seco aéreo como el peso seco de la raíz presentaron diferencias estadísticamente significativas (p≤ 0,05) según el ANOVA y prueba de Tukey (figura 2). El tratamiento T6: KISA 34 + KISA 71+25% (RF) mostró un incremento de la media del peso seco aéreo de 26,7 % y un incremento de 10,3 % en la media de peso seco de raíz con respecto al T2 de fertilización química completa.
Diferentes autores han informado incrementos en la producción de biomasa de plantas sometidas a estrés por salinidad cuando estas fueron inoculadas con cepas de B. amyloliquefaciens, B. licheniformis y Bacillus sp., con valores que oscilan entre un 5,8 % y un 226 % de aumento con respecto a los testigos no inoculados (Upadhyay et al., 2011; Nautiyal et al., 2013; Kavamura et al., 2013; Goswami et al., 2014).


De esta forma, la aplicación de Bacillus amyloliquefaciens KISA 34 y Bacillus subtilis KISA 71 permitió una mayor producción de biomasa aérea y radicular por parte de las plantas de P. clandestinum al someter estas a un estrés por salinidad.
La promoción del crecimiento vegetal en condiciones de estrés abiótico por parte de microorganismos que tienen los mecanismos como PGPB descritos en el presente ensayo ha sido reportada ampliamente (Nadeem et al., 2014; Shrivastava y Kumar, 2014) y particularmente para especies del género Bacillus como B. licheniformis (Upadhyay et al., 2011; Goswami et al., 2014), Bacillus sp. (Upadhyay et al., 2011; Kavamura et al., 2013; Patel & Saraf, 2013), B. amyloliquefaciens (Nautiyal et al., 2013), B. Pumilus, B. coagulans, B. insolitus (Upadhyay et al., 2011).
Es necesario destacar que entre los posibles efectos en la planta por los mecanismos PGPB de cepas de Bacillus bajo condiciones de estrés salino están, el incremento en el área foliar (Kavamura et al., 2013), incremento en los contenidos de clorofilas (Heidari & Golpayegani, 2012; Patel & Saraf, 2013; Nautiyal et al., 2013), incremento del contenido de prolina implicada en el balance de iones salinos (Patel & Saraf, 2013; Iqbal et al., 2014). Lo anteriormente expuesto demuestra que el empleo de este tipo de microorganismos mejora la respuesta vegetal frente a condiciones de estrés (Heidari & Golpayegani, 2012; Patel & Saraf, 2013).

Medias con letras no comunes dentro de cada variable difieren estadísticamente según prueba de Tukey para p ≤ 0,05 (n=6). T: tratamientos. T0: testigo absoluto sin fertilización, T1: testigo Fertilización completa, T2: Fertilización completa + 25 % (roca fosfórica – RF), T3: KISA 34 + 25 % (RF), T4: KISA 71 + 25 % (RF), T5: KISA 34 + KISA 71+ 25 % (RF).
En el análisis foliar no se presentaron diferencias estadísticamente significativas (p ≥ 0,05) en el porcentaje de P, K, Ca, Na y N (tabla 3).
Los resultados indican que hubo diferencia estadísticamente significativa en la cantidad de fósforo soluble en suelo (p≤ 0,05) según el ANOVA y la prueba de Tukey (tabla 3). El tratamiento T5: KISA 34 + KISA 71+ 25 % (RF) presentó una disminución significativa de fósforo soluble en el suelo respecto al testigo químico completo donde se presentó un mayor contenido de PO4 en el suelo. Estos resultados sugieren que la presencia los inoculantes favorece la disponibilidad del P, debido a la capacidad de solubilización de fosfatos bajo condiciones de estrés salino (tabla 2), permitiendo que la planta absorba este elemento en lugar de quedar en el suelo como sucede en los tratamientos que no presentan inoculación.
Los resultados obtenidos en esta investigación sugieren que los efectos negativos que la salinidad produce en el desarrollo vegetal (Lazof & Bernstein, 1998; Munns, 2002; Parida & Das, 2005; Bui, 2013; Shrivastava & Kumar, 2014; Pompeiano et al., 2014), pueden mitigarse con el uso de microorganismos como inoculantes, siendo esta una tecnología alternativa para mejorar la capacidad de tolerancia al estrés salino en las plantas (Muscolo et al., 2003).
Conclusiones
Las cepas Bacillus amyloliquefaciens KISA 34 y Bacillus subtilis KISA 71, aisladas de la rizósfera del pasto Pennicetum clandestinum, tienen la capacidad de soportar altas concentraciones de sal en condiciones in vitro como in vivo.
De acuerdo con los resultados obtenidos en el presente ensayo se pudo determinar que la inoculación con Bacillus amyloliquefaciens KISA 34 y Bacillus subtilis KISA 71 promueve el crecimiento de P. clandestinum bajo condiciones de estrés por salinidad.
Estas bacterias tienen múltiples actividades como PGPB facilitando la promoción del crecimiento y desarrollo de P. clandestinum en presencia de inhibidores del desarrollo como la sal, por lo que representan una área importante para investigaciones futuras.
Agradecimientos
Este estudio fue financiado por el Ministerio de Agricultura y Desarrollo Rural Colombiano bajo el convenio número 1810 de 2013 y 1828 de 2014 con CORPOICA y al laboratorio de Microbiología de Suelos del Centro de biotecnología y Bioindustria (CBB).
Referencias
Ahmad, F., Ahmad, I., Khan, M. (2008). Screening of free-living rhizospheric bacteria for the ir multiple plant growth promoting activities. Microbiological Research., 163(2), 173-181.
Ali, S., Charles, T., Glick, B. (2014). Amelioration of high salinity stress damage by plant growth promoting bacterial endophytes that contain ACC deaminase. Plant Physiology and Biochemistry, 80, 160-167.
Angulo, V., Sanfuentes, E. A., Rodríguez, F., Sossa, K. (2014). Caracte- rización de rizobacterias promotoras de crecimiento en plántu- las de Eucalyptusnitens. Revista Argentina de Microbiología, 46 (4), 338 -347.
Bui, E. N. (2013). Soil salinity: A neglected factor in plant ecology and biogeography. Journal of Arid Environments, 92, 14-25.
Carulla, J., Cárdenas, E., Sánchez, N., Riveros, C. (2004). Valor nutricional de los forrajes más usados en los sistemas de producción lechera especializada de la zona andina colombiana; En: Eventos y Asesorías Agropecuarias EU (ed.), Seminario Nacional de Lechería Especializada: “Bases Nutricionales y su Impacto en la Productividad”. Medellín, septiembre 1 y 2: p.21-38.
Chaney, A and Marbach E. (1962). Modified reagents for determination of urea and ammonia. Clinical Chemistry, 8 (2), 130-132.
Cherif-Silini, H., Silini, A., Ghoul, M.; Yahiaoui, B., Arif, F. (2013). Solubilization of phosphate by the Bacillus under salt stress and in the presence of osmoprotectant compounds. African Journal of Microbiology Research, 7(37), 4562-4571.
Dubois, M., Gilles, K. A., Hamilton, J. K., Rebers, P. A., Smith F. (1956). Colorimetric method for determination of sugars and related substances. Analytical Chemistry, 28 (3), 352-356.
Fiske, C. and Subbarow, Y. (1925). The colorimetric determination of phosphorus. Journal of Biological Chemistry, 66, 375-400
García, A. (1986). Análisis químico de suelos, Tejido vegetal y aguas para riego. Determinación de Salinidad del Suelo Corpoica- Tibaitatá. p. 114-120.
Glick, B. R. (2004). Bacterial ACC deaminase and the alleviation of plant stress. Advances in applied microbiology, 56, 291-312.
Glickman, E., Dessaux, Y. (1995). A critical examination of the specificity of the salkowsky reagent for indolic compounds produced by phytopathogenic bacteria. Applied Environmental Microbiolgy, 61(2), 793-796.
Goswami, D., Dhandhukia, P., Patel, P., Thakker, J. (2014). Screening of PGPR from saline desert of Kutch: Growth promotion in Arachis hypogea by Bacillus licheniformis A2. Microbiological Research, 169(1), 66-75.
Goswami, D., Thakker, J. N., Dhandhukia, P. C. (2015). Simultaneous detection and quantification of indole – 3 – acetic acid (IAA) and indole–3–butyric acid (IBA) produced by rhizobacteria from L–tryptophan (Tro) using HPTLC. Journal of Microbiological Methods, 110, 7-14.
Gül, A., Kidoglu, F., Tüzel, Y. (2008). Effects of nutrition and Bacillus amyloliquefaciens on tomato (Solanum lycopersicum L.) growing in perlite. Spanish Journal of Agricultural Research, 6(3), 422-429.
Heidari, M., Golpayegani, A. (2012). Effects of water stress and ino- culation with plant growth promoting rhizobacteria (PGPR) on antioxidant status and photosynthetic pigments in basil (Ocimumbasilicum L.). Journal of the Saudy Society of Agricultural Sciences, 11(1), 57-61.
Iqbal, N., Umar, S., Khan, N. A., Iqbal, M. (2014). A new perspective of phytohormones in salinity tolerance: Regulation of proline metabolism. Enviromental and Experimental Botany, 100, 34-42.
Kavamura, V., Nobre, S., Da Silva, J., Parma, M., Aparecida, L., Visconti, A., Domingues, T., Gouvêa, R., Andreote, F., Soares, I. (2013). Screening of Brazilian cacti rhizobacteria for plant growth promotion under drought. Microbiological Research, 168(4), 183-191.
Kumar, A., Maurya, B., Raghuwanshi, R. (2014). Isolation and characterization of PGPR and their effect on growth, yield and nutrient content in wheat (Triticum aestivumL.). Biocatalysis and Agricultural Biotechnology, 3 (4), 121-128.
Lambrecht, M.,Okon, Y., Broek, A.,Vanderleyden. J. (2000). Indole- 3-acetic acid: a reciprocal molecule in bacteria-plantinteractions. Trends Microbiology, 8(7), 298-300.
Lara, C., Oviedo L., Betancur, C. (2011). Bacterias nativas con potencial en la producción de ácido indolacético para mejorar los pastos. Zootecnia Tropical, 29(2), 187-194.
Lazof, D., Bernstein, N. (1998). The NaCl induced inhibition of shoot growth: the case for disturbed nutrition with special consideration of calcium nutrition. Advances in Botanical Research, 29, 113-189.
Lizarazo-Medina, P. X., & Gómez-Vásquez, D. (2015). Microbiota rizosférica de Espeletia spp. de los páramos de Santa Inés y de Frontino-Urrao en Antioquia, Colombia. Acta Biológica Colombiana, 20(1), 175-182.
Marais, J. (2001). Factors affecting the nutritive value of kikuyu grass (Pennisetum clandestinum) – a review. Tropical Grasslands, 35, 65-84.
Marais, P., Figenschou, D., Figueredo, DE M. (1992). Effect of nutrient calcium on the cell wall composition and digestibility of kikuyu grass (Pennisetum clandestinum Hochst). Journal of the Grassland Society of Southern Africa, 9(2), 72-75.
Martínez-Vivero, O., Jorquera, M., Crowley, D., Gajardo, G., Mora, M. (2010) Mechanisms and practical considerations involved in plant growth promotion by rhizobacteria. Journal of soil science and plant nutrition, 10(3), 293-319.
Munns, R. (2002). Comparative physiology of salt and water stress. Plant, cell & environment, 25(2), 239-250.
Muscolo, A., Panuccio, M., Eshel, A. (2013). Ecophysiology of Penni- setum clandestinum: a valuable salt tolerant grass. Environmental and Experimental Botany, 92, 55-63.
Muscolo, A., Panuccio, M., Sidari, M. (2003). Effects of salinity on growth, carbohydrate metabolism and nutritive properties of kikuyu grass (Pennisetum clandestinum Hochst). Plant. Science., 164, 1103-1110.
Nautiyal, C., Srivastava, S., Singh, P., Seem, K., Mishra, A., Kumar, S. (2013). Plant growth promoting bacteria Bacillus amyloliquefaciens NBRISN13 modulates gene expression profile of leaf and rhizosphere community in rice during salt stress. Plant Physiology and Biochemistry, 66, 1-9.
Parida, S., Das, A. (2005). Salt tolerance and salinity effects on plants. Ecotoxicology and environmental safety, 60(3), 324-349.
Patel, D., Saraf, M. (2013). Influence of soil ameliorants and microflora on induction of antioxidant enzymes and growth promotion of Jatropha curcas L. European. Journal of Soil Biology, 55, 47-54.
Penrose, D., Glick, B. (2003). Methods for isolating and characteri- zing ACCdeaminase-containing plant growth promoting rhizo- bacteria. Physiologiaplantarum, 118(1), 10-15.
Pompeiano, A., Giannini, V., Gaetani, M., Vita, F., Guglielminetti, L., Bonari, E., Volterrani, M. (2014). Response of warm – season grasses to N fertilization and salinity. Scientia Horticulturae, 177, 92-98.
Rincón, M., González, M., Hinestroza, A. (1998). Utilización de un sistema de información geográfica para la evaluación de tierras en el área rural del municipio de Paipa con fines de ordenamiento territorial. Universidad Distrital Francisco José de Caldas – Instituto Geográfico Agustín Codazzi.P. Bogotá (Colombia). p.78.
Saharan, B., Nehra, V. (2011). Plant growth promoting rhizobacteria: a critical review. Life Sciences and Medicine Research, 21, 1-30.
Sánchez, D., Gómez, R., Garrido, M., Bonilla, R. (2012). Inoculación con bacterias promotoras de crecimiento vegetal en tomate bajo condiciones de invernadero. Revista mexicana de ciencias agrícolas, 3(7), 1401-1415.
Shen M., Kang Y., Wang H., Zhang X., Zhao, Q. (2012). Effect of plant growth-promoting rhizobacteria (PGPRs) on plant growth, yield, and quality of tomato (Lycopersiconesculentum Mill.) un- der simulated seawater irrigation. The Journal of general and applied microbiology, 58(4), 253-262.
Shrivastava, P., Kumar, R. (2014). Soil salinity: A serious environmental issues and plant growth promoting bacteria as one of the tools for its alleviation. Saudi Journal of Biological Sciences, 22(2), 123-131.
Teather, R. and Wood, P. (1982). Use of Congo red-polysaccharide interactions in enumeration and characterization of cellulolytic bacteria from the bovine rumen. Applied and Environmental Microbiology, 43(4), 777-780.
Umashankar, N, Venkatesha, M., Krishnamurthy, R., Raveendra, R., Satish. K. (2012). Effect of microbial inoculants on the growth of silver Oak (Grevellearobusta) in nursery condition. International Journal of Environmental Science and Development, 3(1), 72-76.
Upadhyay, S., Singh, J., Singh, D. (2011). Exopolysaccharide Producing Plant Growth Promoting Rhizobacteria Under salinity Condition. Pedosphere, 21 (2), 214- 222.
Wani, P., Khan, M. S., Zaidi, A. (2007). Effect of metal tolerant plant growth promoting Bradyrhizobium sp. (vigna) on growth, symbiosis, seed yield and metal uptake by greengram plants. Che- mosphere, 70(1), 36-45.
Yadav, A., Ghosh, S., Verma, P., Kumar, A. (2014). Prospecting cold deserts of north westernKimalayas for microbial diversity and plant growth promoting attributes. Journal of Bioscience and Bioengineering, 119(6), 683-693.