Artículos
Efecto de carbón tipo lignito sobre el crecimiento y producción de pigmentos de Arthrospira platensis
Effect of coal type lignite on growth and production of pigments of Arthrospira platensis
Efecto de carbón tipo lignito sobre el crecimiento y producción de pigmentos de Arthrospira platensis
Revista Colombiana de Biotecnología, vol. XVIII, núm. 1, pp. 73-80, 2016
Universidad Nacional de Colombia
Recepción: 05 Octubre 2015
Aprobación: 20 Abril 2016
Resumen: La producción de biomasa y pigmentos a partir de Arthrospira platensis ha cobrado gran importancia, debido a que estos tienen aplicaciones en producción de alimentos, metabolitos de interés biotecnológico e industrial. No obstante, para la producción de biomasa y pigmentos se han utilizado diversos sustratos que generan altos costos. Se estudió el crecimiento y producción de pigmentos de A. platensis bajo la influencia de seis concentraciones de carbón de bajo rango (CBR) tipo lignito (10, 20, 30, 40, 50, 60 mg/L) frente a una concentración de AIA (80 mg/L), se realizaron cultivos en batch en medio Zarrouk suplementados con CBR tipo lignito y AIA, bajo condiciones de aireación constante y fotoperiodos de 12:12 horas, durante 33 días. Los valores promedios más altos que se obtuvieron en cuanto a producción de biomasa y pigmentos se lograron en los cultivos suplementados con 50 y 60 mg/L de CBR tipo lignito con respecto a los controles. Los resultados obtenidos dan constancia al uso potencial del CBR como materia orgánica humificada, rica en nutrientes para el cultivo A. platensis que podrían ser aprovechado en medios acuíferos que son expuestos a la explotación carbonífera, contribuyendo a procesos de depuración y biorremediación de aguas contaminadas con materiales carboníferos.
Palabras clave: carbón tipo lignito, pigmentos, solubilización, tasa de crecimiento.
Abstract: The Biomass production and pigments from Arthrospira platensis has become very important, because these have applications in food production, metabolites of biotechnological and industrial products. However, for the production of biomass and pigments they have been used various substrates that generate high costs. Growth and pigment production A. platensis under the influence of six concentrations of low rank coal (LRC) type lignite (10, 20, 30, 40, 50, 60 mg / L) was tested against a concentration of AIA (80 mg / L), in batch cultures, performed in Zarrouk medium supplemented with LRC type lignite and AIA, under constant aeration and photoperiod of 12:12 hours, for 33 days. The highest average values obtained in terms of biomass production and pigments were achieved in the cultures supplemented with 50 and 60 mg/L of LRC type lignite with respect to the controls. The results provide evidence of the potential use of CBR as humified organic matter, rich in nutrients for growing A. platensis that could be tapped into aquifers means they are exposed to coal mining, contributing to processes of purification and bioremediation of contaminated waters carboniferous materials.
Keywords: lignite coal type, pigments, solubilization, growth rate.
Introducción
La cianobacteria Arthrospira platensis se caracteriza por ser de rápido crecimiento, capaz de crecer en medios altamente alcalinos con presencia de carbonatos y fuentes de nitrógeno inorgánicas (Sánchez et al., 2003; Ogbonda et al., 2007). Este microorganismo, ha cobrado gran importancia a nivel internacional por la alta demanda de su biomasa y metabolitos (pigmentos y productos extracelulares) de valor biotecnológico, industrial y económico que tienen aplicaciones en la producción de alimentos, piensos, medicamentos terapéuticos, formulas farmacéuticas, etc. (Ramírez y Olvera, 2006; Volkmann et al., 2007). Su consumo incrementa los niveles de energía, mejora el apetito y ofrece protección antioxidante (Sánchez et al., 2003).
En la última década variados sustratos y diferentes estrategias de cultivo han sido evaluados con el fin de mejorar procesos biotecnológicos del cultivo de A. platensis, por lo que se ha evaluado su crecimiento en diferentes sustratos tales como aguas residuales porcinas (Chaiklahan et al., 2010), orina humana diluida (Feng y Wu, 2006), melaza (Andrade y Costa, 2007), gallinaza (Ungsethaphand, 2009), AIA comercial el cual demostró ser un eficaz estimulante de crecimiento (Munawer y Mazharuddin, 2011; Gómez, et al., 2012) y reguladores comerciales de crecimiento vegetal hecho a base de carbón (Prakash et al., 2011). Pero muchas veces no se logra la productividad deseada debido a que algunos de estos insumos y sustratos para su cultivo presentan elevados costos, requieren pre-tratamientos para su utilización, contienen elementos químicos tóxicos que pueden biomagnificarse en la biomasa algal resultante y requieren condiciones especiales para su utilización (Munawer y Mazharuddin, 2011), por lo que su uso es poco viable desde un punto de vista de seguridad, económico y técnico.
El Carbón de Bajo Rango (CBR) tipo lignito es considerado un residuo de los procesos de extracción carbonífera, se caracteriza por ser normalmente blando y desmenuzable, con una aspecto mate y terroso. Adicionalmente posee altos niveles de humedad (30-45 %) y cenizas, y bajo contenido en carbono fijo, por lo que su contenido energético también es bajo. Debido al bajo grado de carbonificación estos materiales normalmente presentan alto contenido de sustancias hú- micas (SH) (Peña et al., 2005; Giannoulli et al., 2009). Por su naturaleza orgánica y su contenido de elementos para la nutrición microbiana (Hölker et al., 2002; Tao et al., 2009) que mediante variados mecanismos pueden ser transformados generando productos útiles como las SH contenidas en su macroestructura (Peña, 2005).
Estudios han demostrado el efecto estimulante del CBR y sus derivados como los ácidos húmicos (AH) sobre el crecimiento de microalgas como Dunaliella salina (Gallego et al., 2005). También se ha confirmado que pequeñas cantidades de AH pueden ser utilizados como promotores de crecimiento de microalgas como Scenedesmus acutus y Chlorella vulgaris y de las algas verde-azul Nostoc commune, Anabaena variabilis y Microcystis aeruginosa (Vraná y Votruba, 1995; Pouneva, 2005; Kosakowska et al., 2007) al promover la biodisponibilidad de nutrientes (debido al incremento de la solubilidad), participar en el incremento en la acumulación de biomasa, captación de nutrientes, biosíntesis de metabolitos, entre otros (Cacco et al., 2000).
El objetivo de este trabajo fue determinar el efecto de seis concentraciones de CBR tipo lignito sobre el crecimiento y contenido de pigmentos de una cepa de A. platensis y evaluar su posible uso como sustrato para el cultivo de esta cianobacteria, a fin de aumentar su producción de biomasa y/o metabolitos y poder aportar al desarrollo de investigaciones en la obtención de mayores rendimientos de su cultivo a gran escala, como también a su posible uso en procesos de depuración y biorremediación de cuerpos de aguas contaminadas aledañas a la explotación carbonífera.
Materiales y métodos
Bioensayo de promoción de crecimiento de Arthrospira platensis con CBR tipo lignito. Sé utilizo una cepa de A. platensis, aislada del pozo de agua Salina Rica, (Maracaibo), la cual fue donada por el Laboratorio de Microorganismos Fotosintéticos de la Universidad de Zulia, Venezuela, cultivada y conservada en el Laboratorio de Microbiología Agrícola y Ambiental de la Universidad Popular del Cesar, Colombia. Cultivos viables de la cianobacteria se sometieron inicialmente a cuatro lavados con agua destilada estéril y se mantuvo en medio de crecimiento mineral Zarrouk 25 % (Zarrouk, 1966). Se utilizó un CBR tipo lignito colectado de la mina “El Cerrejón” (La Guajira, Colombia). Las características de carbón utilizado son mostradas en la tabla 1, correspondiente a un carbón de bajo rango tipo del lignito debido al alto contenido de humedad y bajo poder calorífico (menos de 6390 kcals kg—1) (Cubillos et al., 2015).
Para determinar el efecto de CBR tipo lignito sobre el crecimiento de A. platensis, cultivos en batch de 500 mL, en medio nutritivo Zarrouk al 25 %, fueron suplementados con partículas de carbón, de ±1 mm promedio de diámetro, a diferentes concentraciones, de esta forma se establecieron los tratamientos de 10, 20, 30, 40, 50 y 60 mg/L de carbón; la elección del tamaño se basó en estudios realizados anteriormente por Gallego et al. (2005). Una concentración de 80 mg/L de ácido indol acético (AIA) fue tomada como control positivo de sustancias promotoras del crecimiento, para comparar el efecto de ambos suplementos sobre el crecimiento de la cianobacteria (Arancon et al., 2006). Cultivos en medio Zarrouk 25% sin adicción de CBR tipo lignito fueron tomados como control negativo.
Los ensayos fueron provistos de una irradiación de 50- 60 µmol photon m-2.s-1 (aprox. 4000 lux) generada por tres lámparas fluorescentes, Philips Dayligth con tubos de 40 W, de orientación lateral, ajustadas a un temporizador modelo 4001-00 Td-1724-00, para generar fotoperiodos (luz-oscuridad) de 12 h con luz 12 h sin luz y generando una temperatura promedio de 25-28 °C. Todos los cultivos fueron conectados a un sistema de aireación provisto de tubos, que eran alimentados por motores para acuarios de dos salidas, esto se hizo con el fin de mantenerlos homogeneizados y favorecer la distribución completa de los nutrientes y las células, además de permitir un buen intercambio de oxígeno y dióxido de carbono (CO2) con el medio. Cada tratamiento se hizo con un inoculo inicial de 1x10-6 células/mL-1, establecido en espectrofotómetro a una densidad óptica de 750 nm (DO750) (Wiley, 1977; Bermúdez et al., 2004) y pH inicial de 8-9 el cual se monitoreo utilizando un potenciómetro (pH-metro portátil 3110 WTW). Para el desarrollo de los ensayos se utilizó un diseño experimental completamente al azar (DCA), se tuvieron en cuenta ocho (8) tratamientos con tres (3) repeticiones respectivamente y los cultivos se mantuvieron por 33 días en incubación.

Evaluación del crecimiento de A. platensis, con y sin previa exposición a CBR tipo lignito. El desarrollo del crecimiento en términos de peso seco de la biomasa (medido en mg.mL-1) se determinó utilizando un sistema de filtración de Millipore (Sampling Manifold 1225) mediante el método modificado de Utting (Rodolfi et al., 2009). Concentraciones de biomasa y producción de pigmentos fueron medidas cada 72 horas con un espectrofotómetro (Thermospectronic GENESYS 20). El contenido en µg mL-1 de clorofila a y carotenoides se determinó utilizando como solvente metanol 95% a 665nm para clorofila a y 480 nm para carotenoides (Ritchie, 2008). La concentración de ficobiliproteínas fue estimada siguiendo el método de choque osmótico modificado por Soltani et al., (2006) después de Wyman y Fay (1986) y medido a 615 nm para ficocianinas, 652 nm para aloficocianina y 562 nm para ficoeritrinas.
Análisis estadístico. Los datos obtenidos fueron organizados en Excel y posteriormente sometidos a análisis de varianza (ANOVA) utilizando el paquete estadístico SPSS® versión 15, con un nivel de confianza de 95% (p <0,05) con el fin de verificar diferencias significativas entre los tratamientos.
Resultados y discusión
Evaluar el crecimiento de A. platensis con CBR tipo lignito fue una estrategia para promover su crecimiento y producción de pigmentos, mediante la determinación del tiempo (día) en el que se presentó la máxima densidad celular (MDC) y la máxima producción metabólica (MPM). Los valores promedios para las tasas de crecimiento en contenido de biomasa (peso seco), pigmentos y pH indican que en términos lineares y de interacción, los tratamientos no presentan diferencias significativas entre sí para la mayoría de los parámetros analizados, solo entre tratamiento por tratamiento, demostrándose que los tratamientos de 50 y 60 mg/L de carbón difieren de los demás en cuanto a los resultados obtenidos, incluyendo el medio control y el medio que contenía AIA (tabla 2).
pH. Durante el proceso de incubación, el pH fue incrementando poco a poco hasta llegar a un promedio de 10 donde se mantuvo (figura 1a). El incremento en el pH puede estar correlacionado al consumo de la fuente de carbón a partir del bicarbonato que contiene el medio de cultivo Zarrouk, los iones de bicarbonato son asimilados por la cianobacteria y subsecuentemente convertidos en dióxido de carbono y carbonato (Raoof et al., 2006). El pH alcalino pudo favorecer la solubilización de las partículas de CBR tipo lignito presentes en el medio, y también el contenido de SH en el mismo, aumentando así la disponibilidad de iones minerales para la nutrición de A. platensis (Volkmann et al., 2007).
Biomasa. El análisis de varianza demostró que no existen diferencias significativas entre los tratamientos para resultados de biomasa (peso seco) (p=0,166 >0.05); sin embargo, después de 18 días de incubación fueron observadas las concentraciones máximas de producción; la más alta para el tratamiento de 60 mg/L (MDC =4,3x10-3 mg.mL-1). La tasa promedio más alta de crecimiento celular (PDC 2,6 x10-3 mg.mL-1) se observó en el tratamiento de 50 mg/L (tabla 2, figura 1b). Estos resultados revelan que la cantidad de CBR tipo lignito utilizada por células de A. platensis actuaron como proliferante celular; estos hallazgos se asemejan mucho a los obtenidos por Gallego et al. (2005), quienes demostraron que concentraciones de 45 y 50 mg/L de carbón subbituminoso produjo un mejor estímulo sobre el crecimiento de la microalga Dunaniella salina alcanzando una alta tasa de densidad celular después de 14 días de incubación. Este aumento en la producción de biomasa, en los tratamientos de 50 y 60 mg/L de CBR tipo lignito, pudo deberse al aprovechamiento de compuestos biodisponibles, ya sea liberados espontáneamente desde las partículas de carbón o tomados mediante procesos oxidativos o de solubilización; la capacidad de intercambio del carbón en el medio, fue mejorada al ser solubilizado, debido a las condiciones alcalinas que presentaban los medios, lo que dio lugar a la generación de AH los cuales son asimilables por las células para utilizarlas en su desarrollo (Thurman et al., 1982). Estos resultados son comparados positivamente con el tratamiento control positivo de AIA del cual se ha demostrado su capacidad de promoción de crecimiento celular (Steinbüchel, 2001; Gómez et al., 2012). Se ha reportado que tanto el AIA como los AH muestran similares mecanismos y vías de acción de estimulación de crecimiento y desarrollo vegetal y microbiano (Nardi et al., 2002; Pasqualoto et al., 2009).

PDC: promedio densidad celular; MDC: máxima densidad celular; PCM: promedio concentración metabólica; MCM: máxima concentración metabólica

Clorofila a y Carotenoides. La producción de clorofila a y carotenoides son factores importantes en el crecimiento de A. platensis. El análisis de varianza mostró que no existen diferencias significativas entre los tratamientos tanto para clorofila (p=0.207>0.05) como para carotenoides (p=0.188>0.05); sin embargo, para el contenido celular de pigmentos cloroplásticos en los bioensayos se observó un aumentó en las concentraciones de clorofila para los tratamientos que contenían 50 y 60 mg/L de CBR tipo lignito (PCM= 5.0 y 4.5 µg.mL-1) respectivamente (tabla 2, figura 2a). El mejor resultado en producción promedio de carotenoides se logró con el tratamiento de 60 mg/L (PCM= 1.6 µg mL-1) (figura 2b).
Con base en los resultados de determinación de pigmentos se puede inferir que en los tratamientos donde se pudo apreciar un estímulo en la producción de clorofila a y carotenoides (tratamientos 50 y 60 mg/L), el CBR tipo lignito y los productos generados de su oxidación tales como AH, pudieron haber actuado como materiales quelantes y de intercambio iónico capaz de captar iones en la solución nutriente y favorecer la disponibilidad de los mismos para que A. platensis produzca una mayor concentración de pigmentos, así como, también incrementar la permeabilidad de la membrana celular; permitiendo una mayor absorción de nutrientes. Se ha reportado que los AH incrementan de muchas formas las tasas de crecimiento de microorganismos, ya sea mediante la estimulación de enzimas, liberación de elementos traza tales como el hierro a las superficies de células microbianas, actuando como bombas de transporte de electrones para ayudar a los organismos mediante la reducción de compuestos orgánicos y metales, participando en la formación fotólica de sustratos de bajo peso molecular permitiendo su mejor asimilación, actuando como un material de intercambio iónico incrementando los nutrientes inorgánicos limitantes, actuando como agente sensibilizante que permite una mayor permeabilidad celular incrementando la captación de nutrientes y estimulando las poblaciones microbianas asociadas a la cianobacteria (Jørgensen et al., 1998; Bertilsson y Tranvik, 2000; Kieber, 2000; Pouneva, 2005).
Estudios donde se utilizó carbón subbituminoso como promotor de crecimiento de Dunaliella salina se encontró la mejor producción de pigmentos a una concentración de 45mg/L de carbón subbituminoso en un medio de cultivo no convencional (Gallego et al., 2005). Hallazgos hechos por Prakash et al. (2011) demostraron que concentraciones de AH de 40 mg/L, provenientes de compost de arroz y suelo, incrementaron los contenidos en biomasa en peso seco, clorofila a, carbohidratos y ácidos grasos en cultivos de A. platensis después de 21 días de incubación. Se ha reportado que extractos de AH solubles en agua, derivados de fuentes del carbón lignito natural oxidado (leonardita), adicionadas a bajas concentraciones (1, 10 y 100 ppm) en Chlorella vulgaris en condiciones de oscuridad, coadyuvaron al crecimiento y síntesis de clorofila, lo cual fue atribuido a la habilidad del extracto de suministrar Fe+2 al alga (Ukeles y Rose, 1976).
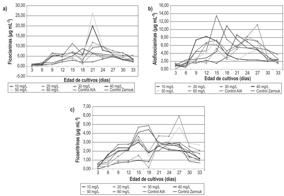
Ficobiliproteínas. A pesar de que los tratamientos no presentaron diferencias mínimas significativas en el contenido de aloficocianina (p=0.861>0.05), ficoeritrina (p=0.253>0.05) y ficocianina (p=0.259>0.05) con respecto a los controles; en el tratamiento que contenía 50 mg/L se observó la mayor concentración (MCM= 26.3 µg mL-1) y la tasa promedio de producción más alta para ficocianina (PCM= 7.2 µg mL-1) (tabla 2, figura 3a). Por otra parte, las tasas de valor promedio más altas para aloficocianina (PCM= 2.56 µg.mL-1) y ficoeritrina (PCM= 5.1 µg mL-1) se observaron en los tratamiento 60mg/L de CBR tipo lignito y 80 mg/L de AIA, respectivamente. Las concentraciones máximas para aloficocianina (MCM= 11.2 µg.mL-1) y ficoeritrina (MCM= 4.7 µg.mL-1) se observaron el día 27 en el tratamiento que contenía 60mg/L de CBR tipo lignito (figuras 3b y 3c).

En todas las curvas de crecimiento de producción de ficobiliproteínas, además de la de carotenoides (figura 2a), se puede apreciar que después de un ritmo de crecimiento lento, la producción de estos pigmentos incrementa y alcanzan una concentración máxima, para luego declinar su producción y dar paso a un posterior incremento de la producción de estos pigmentos. Por ejemplo, en ficocianina la producción máxima de pigmentos se reflejó el día 21; luego para aloficocianina la producción más alta fue constante desde el día 12 y sigue el 15, continúa 18 y el 24 y finalmente ficoeritrina su producción tuvo más relevancia los días 12 y 24 (figura 3) esta producción acelerada y desacelerada de compuestos puede deberse a procesos de polimerización y despolimerización propios de las SH contenidas en carbones de bajo rango, muchos autores han descrito a estas sustancias como complejas moléculas de alto peso molecular sin una estructura química definida, entre ellas los AH presentan el más alto peso molecular, además de que al poseer la característica de ser solubles en pH alcalinos tienen la capacidad de reagruparse en grandes moléculas aun después de ser solubilizadas en pequeñas partes (Thurman et al., 1982); bajo este contexto se ha sugerido que las SH, aunque en sus estructuras dominan compuestos de alto peso molecular, pueden también contener componentes de bajo peso molecular con estructuras similares a las fracciones de alto peso molecular (De Nobili et al., 1995). Ji et al. (1983) demostró que estas fracciones de bajo peso molecular se vuelven fácilmente asimilables por las algas promoviendo su estimulo temprano de crecimiento, dilucidando de esta forma que el fenómeno citado en este estudio, en referencia a los cambios en las curvas de crecimiento, puede ser explicado atendiendo a los conceptos anteriormente expuestos.

Conclusiones
A. platensis presentó un crecimiento óptimo en los tratamientos que se emplearon 50 y 60 mg/mL de CBR tipo lignito, lográndose una mayor producción de biomasa y pigmentos muy por encima de la producción obtenida en los medios convencionales Zarrouk y el tratamiento que contenía 80mg/L de AIA, a pesar de que no se presentaron diferencias significativas entre tratamientos. Adicionalmente, la adición de partículas de CBR tipo lignito no afecta el pH del medio.
El uso de CBR tipo lignito podría constituirse en una alternativa biotecnológica para el mejoramiento de la producción de biomasa de cianobacterias y algas, debido a que A. platensis presenta buen crecimiento en medios de cultivos que son suplementados con este tipo de sustratos, por lo que se puede ratificar la alta versatilidad de metabolismo de esta cianobacteria para crecer en medios diferentes a los tradicionales. A. platensis también se podría utilizar en medios acuíferos que son expuestos a explotación carbonífera contribuyendo a procesos de depuración y biorremediacion de aguas contaminadas con materiales carboníferos.
Agradecimientos
Los autores agradecen a la Universidad Popular del Cesar y Laboratorio de Microbiología Agrícola y Ambiental por su apoyo técnico y científico en la realización de esta investigación.
Referencias
Andrade, M., Costa, J. (2007). Mixotrophic cultivation of microalga Spirulina platensis using molasses as organic substrate. Aquaculture, 264 (1-4), 130-134.
Arancon, N., Edwards, C., Lee, S., Byrne, R. (2006). Effects of humic acids from vermicomposts on plant growth. European Journal of Soil Biology, 45, 65-69.
Bermúdez, J., Rosales, N., Loreto, C., Briceño, B., Morales, E. (2004). Exopolysaccharide, pigment and protein production by the marine microalga Chroomonas sp. in semicontinuous cultures. World Journal of Microbiology and Biotechnology, 20, 179–183.
Bertilsson, S., Tranvik, L. (2000). Photochemical transformation of dissolved organic matter in lakes. Limnology Oceanography, 45, 753-762.
Cacco, G., Attina, E., Gelsomino, A., Sidari, M. (2000). Effect of nitrate and humic substances of different molecular size on kinetic parameters of nitrate uptake in wheat seedlings. Journal of plant nutrition and soil science, 163, 313-320.
Chaiklahan, R., Chirasuwan, N., Siangdung, W., Paithoonrangsarid, K., Bunnag, B. (2010). Cultivation of Spirulina platensis using pig wastewater in a semi-continuous process. Journal of Microbiology and Biotechnology, 20(3), 609-614.
Cubillos, J., Valero, N., Melgarejo, L. (2015). Assessment of a low rank coal inoculated with coal solubilizing bacteria as an organic amendment for a saline-sodic soil. Chemical and Biological Technologies in Agriculture, 2, 21
De Nobili, M., Baca, M., Milani, N. (1995). Scanning electron microscopy of humic substances produced during cellulose decomposition. Chemistry and Ecology, 11, 55-66.
Feng, D. Wu, C. (2006). Culture of Spirulina platensis in human urine for biomass production and O2 evolution. Journal of Zhejiang University science, 7 (1), 34-37.
Gallego, E., Suarez, S. Leal, E., Vargas, C. (2005). Estudio de un carbón subbituminoso como promotor de crecimiento de Dunaliella salina (Teodoresco, 1905). Revista de la Asociación Colombiana de Ciencias Biológicas, 17, 13- 70.
Giannoulli, A., Stavros, K., Siavalas, G., Chatziapostolou, A., Christanis, K., Papazisimou, S., Papanicolaou, C., Foscolos, A. (2009). Evaluation of greek low-rank coals as potential raw material for the production of soil amend- ments and organic fertilizers. International Journal of Coal Geology, 477 (3-4), 383-393.
Gómez, L., Valero, N., De Brigard, R. (2012). Bacterias ha- lotolerantes/alcalofilas asociadas a la cianobacteria Arthrospira platensis promueven crecimiento temprano de Sorgum bicolor. Agronomía Colombiana, 30(1), 111-115.
Hölker, U., Schmiers, H., Grobe, S., Winkerhofer, M., Polzakiewicz, M., Ludwig, S. Dohse, J. and Hofer, M. (2002). Solubilization of low-rank coal by Trichoderma atroviridae: Evidence for the involvement of hydrolytic and oxidative enzymes by using 14C-labelled lignite. Journal of Industrial Microbiology and Biotechnology, 28, 207 -212.
Ji, M., Cao, W., Han L. (1983). Studies on marine humic substances. Isolation of humic substances from seawater with and effective adsorbent, GDX-102 adsorption resin. Chinese Journal of Oceanology and Limnology, 1(2), 200-209.
Jørgensen, N., Tranvik, L., Edling, H., Granéli, W., Lindell, M. (1998). Effects of sunlight on occurrence and bacterial turnover of specific carbon and nitrogen compounds in lake water. FEMS Microbiology Ecology, 25 (3), 217- 227.
Kieber, D. (2000). Photochemical production of biological substrates. En: Mora S., Demers S., Vernet M. (Eds). The effects of UV radiation in the marine environment. Cambridge University Press, New York. 130-148.
Kosakowska, A., Marcin, N., Janusz, P. (2007). Responses of the toxic cyanobacterium Microcystis aeruginosa to iron and humic substances. Plant Physiology Biochemistry Journal, 45, 365-370.
Munawer, M., Mazharuddin, M. (2011). Production of carotenoids (antioxidants/colourant) in Spirulina platensis in response to indole acetic acid (IAA). International Journal of Engineering Science and Technology, 3 (6), 4973.
Nardi, S., Pizzeghello, D., Muscolo, A., Vianello, A. (2002). Physiological effects of humic substances on higher plants. Soil Biology Biochemistry, 34, 1527-1536.
Ogbonda, K., Aminigo, R., Abu, G. (2007). Influence of temperature and pH on biomass production and protein biosynthesis in a putative Spirulina sp. Bioresource Technology, 98, 2207-2211.
Pasqualoto, L., Canellas, F., Lopes, A., Okorokova, F., Rocha, A. (2009). Humic acids isolated from earthworm com- post enhance root elongation, lateral root emergence, and plasma membrane H+-ATPase activity in maize roots. Plant Physiology, 130, 1951-1957.
Peña, E., Havel, J., Patocka, J. (2005). Humic substances- Compounds of still unknown structure applications in agriculture, industry, environment and biomedicine. Journal of Applied Biomedicine, 3, 13-24.
Pouneva, I. (2005). Effect of humic substances on the growth of microalgal cultures. Russian Journal of Plant Physiology, 52 (3), 410-413.
Prakash, P., Dhanalakshmi, P., Anusha, B., (2011). Effect of humic acid on Spirulina platensis production and analysis of nutrient contents. Recent Research in Science and Technology, 3(1), 87-89.
Ramírez, L., Olvera, R. (2006). Uso tradicional y actual de Spirulina (Arthrospira sp). Interciencia, 31(9), 657-663.
Raoof, B., Kaushika, B. Prasanna, R. (2006). Formulation of a low-cost medium for mass production of Spirulina. Biomass and Bioenergy, 30, 537-542.
Rodolfi, L., Chini, G., Bassi, N., Padovani, G., Biondi, N, Bonini, G., Tredici, M. (2009). Microalgae for oil: Strain selection, induction of lipid synthesis and outdoor mass cultivation in a low-cost photobioreactor. Biotechnology and Bioengineering, 102, 100-112.
Ritchie, R. (2008). Universal chlorophyll equations for estimating chlorophylls a, b, c, and d and total chlorophylls in natural assemblages of photosynthetic organisms using acetone, methanol, or ethanol solvents. Photosynthetica, 46(1), 115-126.
Sánchez, M., Bernal, J., Rozo, C., Rodríguez, L. (2003). Spirulina (Arthrospira): an edible microorganism: a review. Universitas Scientiarum, 8 (1), 7-24.
Soltani, N., Khavari, R., Tabatabaei, Y. (2006). Variation of nitrogenase activity, photosynthesis and pigmentation of the cyanobacterium Fischerella ambigua strain FS18 under different irradiance and pH values. World Journal Microbiology Biotechnology, 22, 571- 576.
Steinbüchel, A. (2001). Biopolymers. Vol. 1: Lignin, Humic Substances and Coal. Weinheim: Institute of Microbiology, University of Münster. Wiley-VCH.
Tao, X.X., Pan, L.Y., Shi, K.Y., Chen, H., Yin, S.D., Luo, Z. F. (2009). Biosolubilization of Chinese lignite I: extra-cellular protein analysis. Mining Science and Technology, 19, 0358–0362.
Thurman, E., Weshaw, R., Malcolm, R., Pickney, D., (1982). Molecular size of aquatic humic substances. Organic Geochemistry, 4, 27- 35.
Ukeles, R., Rose, W. (1976). Cultivation of plants. Methods of culture. Marine Biology, 37, 11-28.
Ungsethaphand, T., Peerapornpisal, Y., Whangchai, N. (2009). Production of Spirulina platensis using dry chicken manure supplemented with urea and sodium bicarbonate. International Journal Science Technology, 3(3), 379-387.
Volkmann, H., Imianovsky, U., Furlong, E., Barcelos, O., Sant, E. (2007). Influence of desalinator wastewater for the cultivation of Arthrospira platensis. Fatty acids profile. Grasas y Aceites, 58(4), 396-401.
Vraná, D., Votruba, J. (1995). Influence of soluble humic substances on the growth of algae and blue-green algae. Folia Microbiológica, 40 (2), 207-208.
Wiley, J. (1977). An improved method for optical density measurement of the semimicroscopic blue green alga Spirulina maxima. Biotechnology and Bioengineering, 19, 1219-1224.
Wyman, M., Fay, P. (1986). Underwater light climate and the growth and pigmentation of planktonic bluegreen algae (Cyanobacteria). I. Influence of light quantity. Proceedings of the Royal Society of London, 227, 367-380.
Zarrouk, C. (1966). Contribution à l’étude d’une cyano- phycée. Influence de divers facteurs physiques et chimiques sur la croissance et la photosynthèse de Spirulina maxima. Ph.D. Thesis, Université de Paris, Paris.