ARTÍCULO DE INVESTIGACIÓN
Caracterización de indicadores de la calidad del fruto en líneas de fresa transgénicas con genes silenciados que codifican para enzimas pectinolíticas
Characterization of quality traits in transgenic strawberry fruits with genes encoding pectinolytic enzymes down-regulated
Caracterización de indicadores de la calidad del fruto en líneas de fresa transgénicas con genes silenciados que codifican para enzimas pectinolíticas
Revista Colombiana de Biotecnología, vol. XX, núm. 1, pp. 42-50, 2018
Instituto de Biotecnología, Universidad Nacional de Colombia
Recepción: 10 Diciembre 2017
Aprobación: 27 Mayo 2018
RESUMEN: Se han evaluado algunos indicadores de calidad del fruto en líneas transgénicas de fresa con los genes de poligalacturonasa FaPGI (líneas PG) o pectato liasa FaplC (líneas APEL) silenciados. Se analizaron dos líneas independientes por genotipo transgénico. No se observaron diferencias en el contenido de sólidos solubles entre las líneas transgénicas y el control. De igual forma, la acidez total y el pH fueron similares en las líneas PG29, APEL21 y el control; sin embargo, la acidez de los frutos de las líneas PG62 y APEL39 fue superior al control. Los parámetros de color L*, a* y b* fueron similares en todos los genotipos; sin embargo, el contenido en antocianos fue menor en la línea APEL21. Los valores más altos de firmeza de fruto, estimada mediante un ensayo de extrusión, se observaron en las dos líneas transgénicas PG y en la línea APEL39. En cuanto a las pérdidas por goteo (drip loss), la línea APEL39 presentó un valor mayor que el control, pero la línea APEL21 registró valores menores. El contenido de compuestos fenólicos se analizó en la línea PG29, no encontrándose diferencias estadísticas con respecto al control. Finalmente, la capacidad del fruto para captar radicales libres fue ligeramente menor en la línea PG29 que en el control. Los resultados indican que el silenciamiento de los genes de pectinasas incrementa significativamente la firmeza de la fresa sin modificar sustancialmente parámetros de calidad del fruto maduro como color, acidez, sólidos solubles o contenido en antocianos.
Palabras clave: maduración de frutos, pared celular, pectinas, postcosecha, transformación genética.
ABSTRACT: Some quality traits of transgenic strawberry fruits with low levels of expression of the pectinase genes FaPGI (PG lines) or FaplC gene (APEL lines) were evaluated. Two independent lines per transgenic genotype were analyzed. Soluble solids were similar in control and transgenic lines. Similarly, pH and titratable acidity was similar in lines PG29, APEL21 and control; however, lines PG62 and APEL39 showed acidity values higher than the control. The color parameters L*, a* and b* were similar in control and transgenic fruits; however, line APEL21 displayed a lower value of anthocyanin content. The highest values of fruit firmness, measured with an extrusion test, were observed in both PG transgenic lines and in the APEL39 line. Regarding the drip loss, APEL39 line showed a higher value than the control, but the APEL21 line displayed lower values. The content of phenolic compounds was analyzed in line PG29, not observing significant differences with the control. Finally, the antiradical activity of the fruit was slightly lower in the line PG29 than in the control. The results obtained indicate that the silencing of the pectinase genes increases the firmness of the fruit without substantially modifying other quality parameters such as color, acidity, soluble solids or anthocyanin content.
Key words: cell wall, fruit ripening, genetic transformation, pectins, postharvest.
INTRODUCCIÓN
La fresa (Fragaria x ananassa Duch), conocida por su delicado sabor y aroma, es una de las bayas más populares y forma parte regular de la dieta de millones de personas en el mundo (Schwab y Raab, 2004; Restrepo y Aristizábal, 2010). Además, este fruto es rico en antioxidantes y otros compuestos bioactivos que disminuyen el riesgo de sufrir cáncer y enfermedades cardiovasculares (Hannum, 2004).
Uno de los principales problemas de este cultivo es el rápido reblandecimiento que sufre el fruto durante la maduración, limitando la vida postcosecha y causando significativas pérdidas comerciales (Manning, 1993; Schwab y Raab, 2004). La textura es la propiedad física representativa del proceso de masticación y percepción del alimento en la boca (Bourne, 2002). Está considerada como un parámetro clave indicador de calidad del fruto, por ser directamente proporcional a su grado de madurez. La textura es función de la estructura de los tejidos, del contenido de agua, la turgencia de las células y la composición de la pared celular (Bourne, 2002). Las modificaciones en la textura que tienen lugar durante la maduración del fruto implican alteraciones genéticamente programadas en la estructura de la pared celular (Posé et al., 2018; Wang et al., 2018). Las enzimas involucradas en el desensamblado de la pared celular y por ende la pérdida de firmeza son, entre otras, la poligalacturonasa (PG), pectato liasa (PL), pectin metil esterasa, endo-P-1,4-D-glucanasa y otras hidrolasas, así como otras proteínas como las expansinas (Brummell, 2006).
La actividad de la PG en la fresa madura es reducida, lo que se corresponde con la ausencia de una significativa despolimerización de pectinas durante la maduración (Quesada et al., 2009; Paniagua et al., 2017). Sin embargo, el silenciamiento del gen FaPGI, que codifica una PG cuya expresión se induce durante la maduración de la fresa, mediante transformación en antisentido, disminuyó el reblandecimiento del fruto maduro (Quesada et al., 2009). Por otro lado, la enzima PL cataliza la rotura de enlaces glicosídicos entre residuos de ácido galacturónico desmetilados mediante un mecanismo de P-eliminación. Esta enzima suele ser abundante en bacterias fitopatógenas, pero en frutos sólo se ha cuantificado actividad PL en banana (Payasi et al., 2006). En el caso de la fresa, el silenciamiento del gen FaplC que codifica una pectato liasa específica de fruto, también redujo el reblandecimiento del fruto maduro (Jiménez-Bermúdez et al., 2002).
Además de la textura, otros parámetros químicos determinan la calidad organoléptica de los frutos maduros, como el contenido en azúcares solubles, de ácidos orgánicos, el pH del zumo, los compuestos fenólicos o antocianinas responsables del color (Di Vittori et al., 2018). En la fresa, los principales componentes que determinan la calidad de los frutos maduros son los sólidos solubles y la acidez. El contenido en sólidos solubles (glucosa, fructosa y sacarosa) varía dependiendo de la variedad estudiada (Martínez-Bolaños et al., 2008; Ojeda-Real et al., 2008). El ácido cítrico es el ácido más abundante en la fresa, seguido del málico, suc-cínico y ascórbico, razón por la que los resultados de acidez se suelen expresar en cantidad de ácido cítrico (Ojeda-Real et al., 2008). Las antocianinas representan el grupo más importante de pigmentos hidrosolubles detectables en la región visible. Estos pigmentos son responsables de la pigmentación en varias frutas, vegetales y cereales, y se acumulan en la vacuola (Garzón, 2008). Estos compuestos son responsables del color rojo de la fresa, siendo indicadores naturales de la maduración de las frutas (Morales-Delgado et al., 2014). En el caso de la fresa madura, la antocianina mayoritaria es el pelargonido-3-glucósido (Tulipani et al., 2008).
Con el fin de determinar si la modificación de genes que codifican enzimas de pared celular altera la calidad del fruto de fresa, en este trabajo se han evaluado algunos parámetros organolépticos del fruto maduro en líneas transgénicas de fresa con los genes de poligalacturonasa FaPG1 o pectato liasa FaplC silenciados.
MATERIALES Y MÉTODOS
Material vegetal
Se utilizaron frutos de fresa, cv. 'Chandler', transformados con una secuencia en antisentido del gen FaPG1 (líneas PG) o del gen FaplC (líneas APEL). Las líneas transgénicas PG fueron obtenidas y caracterizadas por Quesada et al. (2009). Se evaluaron 2 líneas independientes, PG29 y PG62, ambas con un nivel de supresión del gen en estadio rojo maduro superior al 95%. Las líneas APEL fueron obtenidas y caracterizadas por Jiménez-Bermúdez et al. (2002). Se evaluaron las líneas transgénicas independientes APEL21 y APEL39, ambas con un grado de supresión de FaplC superior al 90%. Como controles, se utilizaron frutos del cv. 'Chandler' no transgénicos. Las plantas fueron propagadas mediante estolones y cultivadas en invernadero de confinamiento para plantas transgénicas, con sistema de refrigeración, T máxima inferior a 30°C, y bajo condiciones de luz natural. Las plantas se crecieron en macetas de 10 L con una mezcla de turba y arena (3:1) y se fertilizaron semanalmente con Hakaphos®. Los frutos fueron recolectados en estadio rojo maduro, definido como el estadio en el que el 100% de la superficie del fruto presenta coloración roja, y almacenados a -25°C entre 6 y 24 meses, hasta su utilización.
Determinación de la textura
Para la determinación de la firmeza se utilizó un Texturómetro (TA.XT plus, Stable Micro Systems, UK) equipado con una célula de extrusión de alimentos tipo Ottawa. En cada ensayo, se utilizaron 50-60 gr de frutos previamente descongelados a 25°C durante 4 horas. Las condiciones de trabajo del equipo fueron: velocidad de 1.5 mm/s y distancia recorrida 29 mm. El ensayo de compresión comenzó cuando el émbolo se puso en contacto con la superficie del producto, y terminó cuando el 95% de la muestra fue comprimida. La firmeza correspondió al pico más alto de la primera compresión en la curva fuerza-tiempo, y equivale a la fuerza máxima de compresión. Se registró también el trabajo de extrusión, correspondiente al área total bajo la curva fuerza-tiempo; los resultados se registraron en kilogramos/segundo.
Pérdidas por goteo (drip loss)
Se siguió el procedimiento empleado por Sesmero et al. (2007). Se pesaron 100 gramos de fruta congelada (712 frutos). Posteriormente, se colocaron en un embudo y se descongelaron durante 4 horas a 25°C. Transcurrido ese tiempo, se recogió el líquido exudado y se midió su volumen. Después, los frutos se homogenizaron con el líquido exudado en una licuadora. Por último, se midió el volumen total del zumo y se calculó la relación peso fruto/volumen de zumo.
Solidos solubles totales (SST) y acidez total
Para estas determinaciones se utilizó el zumo procedente del homogenizado de los frutos. Los sólidos solubles totales, expresados como °Brix, se registraron con un refractómetro Atago N1®. La acidez se determinó por el método empleado por Nunes et al. (2006), con algunas modificaciones. Una muestra de 5 ml de zumo se diluyó en 50 ml con agua destilada y se tituló con una solución de NaOH 0.1 N hasta obtener un pH de 8.1. La acidez total, expresada como porcentaje de ácido cítrico, se calculó con la ecuación 1:

siendo NaOH (mL) el volumen de NaOH utilizado, 0.1 la molaridad de la NaOH y 0.064 los miliequivalentes del ácido cítrico, debido a que es el principal ácido presente en la fresa (Aguayo et al., 2006).
Determinación del contenido en antocianos y del color
Para la cuantificación de antocianos, se diluyó 1 mL del homogeneizado de fresa en 9 ml de la solución metanol:HCL (99:1) y se incubó a 4 °C durante una hora. Tras ese tiempo, el extracto se centrifugó y se realizó la lectura de la absorbancia en el sobrenadante a 515 nm (Lara et al., 2006). La concentración de antocianinas se calculó con la ecuación 2:

siendo MW el peso molecular del pelargonido 3-glucósido (433.2 g/mol), DF el factor de dilución y e el coeficiente de extinción molar del pigmento (31620) (Giusti et al., 1999). La concentración de antoncianos se expresó como miligramos de pelargonido-3-glucósido por 100 g de peso fresco de fruto.
El color de las muestras de los homogeneizados de fruto fue determinado con un colorímetro Konica Minolta CR-400. El instrumento fue calibrado con placas reflectivas estándar blancas y negras antes de su uso. Se utilizó el espacio de color CIE L*a*b*, donde L* indica la luminosidad, a* el eje de color verde (valores negativos) a rojo (valores positivos) y b* el eje azul (-) a amarillo (+).
Determinación de fenoles totales
Los compuestos fenólicos totales se determinaron de acuerdo a Severo et al. (2011), con modificaciones, utilizando el reactivo Folin-Ciocalteu. El procedimiento fue el siguiente: 0.1 g de pulpa se suspendieron en 6 mL de agua destilada y 0.5 mL de reactivo de Folin-Riocalteu. Después de ocho minutos, la solución se neutralizó con 2 ml de una solución 7.5 g/L de carbonato de sodio y se mantuvo en oscuridad durante 2 h. La absorbancia se determinó a 725 nm. El ácido gálico se utilizó como control, determinando la concentración de compuestos fenólicos de la muestra a partir de una curva estándar de ácido gálico de 0 a 5 mg/L, que previamente había seguido el mismo procesamiento que la muestra. Los resultados se expresaron como miligramos de fenoles solubles por 100 g peso fresco.
Cuantificación de la capacidad antioxidante
La capacidad de captación de radicales libres del fruto de fresa fue estimada de acuerdo con el procedimiento descrito por Brand-Williams et al. (1995), con algunas modificaciones. Frutos pulverizados en nitrógeno líquido (1 g) se suspendieron en 6 mL de etanol y la mezcla se centrifugó a 9.000 g a 4°R durante 10 min. Posteriormente, seis alícuotas del sobrenadante de este extracto etanólico (5, 10, 20, 40, 80 y 120 p:L) se añadieron a tubos de ensayo conteniendo 3,9 mL de 2,2-difenil 1-picrilhidrazil (DPPH) en metanol, 0,025 g/L, preparado diariamente. La absorbancia a 515 nm se registró a tiempo 0, 1 y cada 10 min hasta que la reacción alcanzó una meseta. El porcentaje de DPPH restante se calculó una vez alcanzado el estado estacionario; para ello, se preparó una curva patrón de DPPH a diferentes concentraciones. Se representó el porcentaje de DPPH restante frente al volumen de extracto y se determinó la cantidad de extracto necesaria para disminuir la concentración de DPPH hasta el 50% (ER50). La determinación de la capacidad antioxidante y el contenido de fenoles solo se realizó en la línea PG29 y el control sin transformar por restricciones en la disponibilidad de materia vegetal.
Análisis estadístico
Todos los ensayos se realizaron por triplicado. Para el análisis estadístico de los datos, se utilizó el programa GraphPad InStat versión 3.1. Los datos fueron analizados mediante ANOVA, y posteriormente, se llevó a cabo una comparación de medias mediante el test de HSD Tukey. El nivel de significación fue P<0,05.
RESULTADOS Y DISCUSIÓN
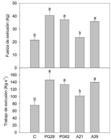
En trabajos anteriores, la caracterización de los frutos transgénicos antipectato liasa y antipoligalacturonasa mediante ensayos con penetrómetro manual permitieron seleccionar líneas transgénicas que producían frutos más firmes que el control en estadio rojo maduro (Jiménez-Bermúdez et al., 2002; Quesada et al., 2009). En este trabajo, se analizó la textura de los frutos transgénicos de estas líneas mediante un ensayo de extrusión. Mediante el software del texturómetro TA.XT plus, se determinaron los valores de fuerza máxima de extrusión y trabajo de extrusión, que se representan en la figura 1. En cuanto a la fuerza máxima, los valores más altos se observaron en las líneas transgénicas PG y APEL 39. Por el contrario, la menor fuerza máxima se obtuvo en el control. La línea APEL 21 presentó valores de fuerza ligeramente superiores al control, aunque las diferencias no fueron significativas. Los resultados correspondientes al trabajo de extrusión, calculado como el área bajo la curva fuerza-tiempo, fueron muy similares a los descritos para la fuerza máxima, obteniéndose el valor más alto en la línea PG29.

Los resultados obtenidos confirman el efecto positivo sobre la textura de la fresa del silenciamiento de genes de pectinasas. Quesada et al. (2009), en el análisis de la firmeza mediante un ensayo de célula de extrusión de alimentos tipo Ottawa en frutos transgénicos PG, encontraron valores significativamente más altos de trabajo de extrusión en los frutos transgénicos que en el control, tanto en frutos frescos como después de 6 días de post-cosecha. Los valores obtenidos en el presente trabajo fueron ligeramente inferiores a los descritos por Quesada et al. (2009), para fruto fresco, pero muy similares a los referidos por estos autores para frutos almacenados durante 6 días, lo que sugiere que la congelación-descongelación de los frutos no afecta de manera importante a la textura. En cuanto a las líneas transgénicas APEL, la línea 39 presentó valores similares a los genotipos antiPG; sin embargo, en la línea APEL 21 no se observó un incremento significativo de la firmeza del fruto. Estos resultados contrastan con los descritos previamente por Jiménez-Bermúdez et al. (2002), quienes, mediante un ensayo de penetración, observaron mayor firmeza en frutos de esta línea que en el control. La ausencia de diferencias significativas en firmeza entre la línea APEL 21 y el control descrita en el presente trabajo podría sugerir una pérdida de efectividad del silencia-miento inducido por el antisentido del gen FaplC tras varias rondas de multiplicación vegetativa del material, como se ha descrito previamente en otras líneas transgénicas de fresa (Lunkenbein et al., 2006). Sería necesario determinar nuevamente la expresión del gen FaplC en frutos de esta línea para confirmar esta hipótesis.
Las líneas transgénicas analizadas no presentaron diferencias significativas para la prueba de pérdidas por goteo o drip loss con respecto al control (tabla 1), de manera similar a lo observado por Sesmero et al. (2007). El test de drip loss, junto con la firmeza, son los parámetros físicos más relevantes para determinar la calidad del fruto de fresa para procesado. Lefever et al. (2004), analizaron estos parámetros en distintos cultivares de fresa, encontrando una correlación negativa entre firmeza y volumen de zumo exudado tras la descongelación. Así, los cultivares más blandos, entre ellos 'Chandler', mostraron los valores más altos de drip loss. Los resultados mostrados en el presente trabajo contradicen la hipótesis de Lefever et al. (2004), ya que, a pesar del incremento en firmeza de las líneas transgénicas, la cantidad de exudado fue similar a la obtenida en el control. Esto sugiere que la pérdida de líquido tras la descongelación puede estar relacionada con otros factores, como el potencial hídrico del fruto o el contenido en solutos, más que con la firmeza.

El grado de acidez y el pH se muestran en la tabla 1. En ambos parámetros se obtuvieron diferencias significativas entre las distintas líneas transgénicas, si bien en ningún caso se observaron diferencias estadísticas con respecto al control. Las líneas PG62 y APEL39 presentaron los mayores contenidos de acidez, con valores superiores al 0.8 % recomendado en fresa para un sabor aceptable (Martínez-Bolaños et al., 2008); la línea APEL21 registró el menor contenido de acidez, pero no presentó diferencias significativas con la línea PG29 y el control. Los valores de pH del zumo de fresa se correlacionaron negativamente con el grado de acidez total (coeficiente de correlación de Pearson de -0,985, significativo a P=0,01).
No se encontraron diferencias significativas en el contenido de sólidos solubles entre las líneas evaluadas, los valores obtenidos oscilaron entre 8,7 de la línea APEL 21 y 6,0 de PG29 (tabla 1). Martínez-Bolaños et al. (2008), mencionaron que los azúcares son los principales compuestos solubles en los frutos de fresa, de los cuales fructosa, glucosa y sacarosa son los que se encuentran en mayor cantidad y determinan los contenidos de grados Brix. De acuerdo con Alcántara (2009), la fresa tiene un sabor aceptable cuando el contenido de sólidos solubles mínimo es del 7% y la acidez inferior al 0,8%. Las pequeñas variaciones observadas en estos parámetros en los frutos transgénicos sugieren, por tanto, que la calidad organoléptica del fruto no se ve modificada por el silenciamiento de los genes que codifican pectinasas. Por otro lado, la ausencia de un patrón de variación claro en los genotipos transgénicos, sugiere que las ligeras modificaciones en los parámetros analizados pueden deberse a otros factores no relacionados con el silenciamiento de los genes pectinolíticos, como pudiera ser la regeneración in vitro del material vegetal. Jiménez-Bermúdez et al. (2002), observaron un amplio rango de valores de sólidos solubles en líneas de fresa del cv. 'Rhandler' transformadas con el gen marcador GUS.
Los contenidos de antocianos en los distintos genotipos transgénicos fueron similares al control, a excepción de la línea APEL21 que mostró un valor significativamente inferior (tabla 2). En cuanto al color, no se observaron diferencias significativas entre las líneas evaluadas para los parámetros a* y b*, obteniéndose los valores más altos en la línea APEL21. El parámetro L* fue similar en frutos control y transgénicos, a excepción de la línea APEL21 que mostró valores más altos (tabla 2). Severo et al. (2011), correlacionaron la aparición de color rojo con un aumento en el contenido de antocianinas totales durante el desarrollo del fruto. Sin embargo, en los frutos de la línea APEL21 se obtuvieron los mayores valores para los parámetros de color, pero el menor valor para el contenido de antocianinas. Según Martínez (2002), el contenido de antocianos de las frutas está relacionado con el grado de madurez. En el presente trabajo, el contenido de antocianos y de los parámetros de color en las distintas líneas transgénicas es similar, a excepción de la línea APEL21, lo que sugiere que tenían el mismo grado de madurez al momento de ser cosechadas.
| Antocianos | ||||
|---|---|---|---|---|
| Genotipo | Color | (mg/100 g fruto) | ||
| L* | a* | b* | ||
| Control | 23.51±3.94b | 16.45±8.78 | 8.66±4.83 | 26.9±3.3a |
| PG 29 | 26.3±0.64ab | 22.4±1.70 | 11.71 ±1.24 | 26.2±5.5ab |
| PG 62 | 24.42±0.53ab | 19.54±1.45 | 10.47±0.74 | 20.3±4.0ab |
| APEL21 | 29.99±0.23a | 26.55±2.62 | 13.94±1.41 | 15.4±0.5b |
| APEL 39 | 23.32±2.83ab | 15.45±6.02 | 8.22±3.28 | 23.6±8.2ab |
Con respecto a la capacidad antioxidante, los resultados obtenidos muestran que todos los extractos fueron capaces de atrapar radicales DPPH en función de la concentración (figura 2). Sin embargo, el control requirió menos cantidad de extracto que la línea PG29 para llegar al IC50, 107,4 vs 140,4 pL en control y PG29, respectivamente. Cuando los datos se expresaron en cantidad de fruto, los valores de IC50 se alcanzaron con 17,9 mg de fruto en el control contra 23,4 mg en los frutos transgénicos.

Por otro lado, el contenido total de compuestos fenólicos en la línea PG29 fue significativamente mayor que en el control, obteniéndose un incremento en la concentración de fenoles del 6,6%, 700 mg/100 g fruto en control vs. 740 mg/100 g de fruto en la línea PG29. El contenido de compuestos fenólicos en la fresa varía durante el desarrollo del fruto (Nunes et al., 2006; Severo et al., 2011). Los valores obtenidos en el presente trabajo son muy similares a los descritos para frutos rojos maduros por Severo et al., (2011).
Contrariamente a lo esperado, la línea PG29 presentó una mayor cantidad de compuestos fenólicos pero una capacidad antioxidante ligeramente menor que los frutos control. Este resultado podría ser debido a una menor concentración de ácido ascórbico en esta línea como resultado de la disminución de la solubilización de las pectinas. Agius et al. (2003), sugirieron una ruta alternativa para la síntesis de ácido ascórbico en frutos de fresa a partir de ácido galacturónico. De esta forma, una menor solubilización de las pectinas al silenciar el gen FaPG1 podría reducir la concentración de sustrato disponible para la síntesis de ascórbico.
CONCLUSIONES
Los resultados obtenidos confirman el efecto positivo sobre la textura de la fresa del silenciamiento de los genes pectato liasa y poligalacturonasa. En general, no se observaron diferencias significativas entre el control y las líneas transgénicas en los parámetros de calidad de fruto evaluados, tales como grado de acidez, sólidos solubles, color, contenido en antocianos o contenido en fenoles. El silenciamiento de los genes pectinolíticos, por tanto, incrementa la firmeza del fruto sin afectar a la calidad del mismo. Estos resultados indican que la manipulación de estos genes puede ser una estrategia biotecnológica adecuada para la mejora de este cultivo.
AGRADECIMIENTOS
Este trabajo se realizó en el marco del proyecto AGL2014-55784-C2-1-R, financiado por el Ministerio de Economía y Competitividad de España y Fondos Europeos FEDER.
REFERENCIAS BIBLIOGRAFICAS
Agius, F., González-Lamothe, R., Caballero, J.L., Muñoz-Blanco, J., Botella, M.A., & Valpuesta, V. (2003). Engineering increased vitamin C levels in plants by overexpression of a D-galacturonic acid reductase. Nature Biotechnology, 21, 177-181.
Aguayo, E., Jansasithorn, R., & Kader, A.A. (2006). Combined effects of 1-methylcyclopropene, calcium chloride dip, and/or atmospheric modification on quality changes in fresh-cut strawberries. Postharvest Biology and Technology, 40, 269-278.
Alcántara, M. (2009). Estimación de los daños físicos y evaluación de la calidad de la fresa durante el manejo poscosecha y el transporte simulado. [Tesis doctoral]. Universidad Politécnica de Valencia- Universidad de Guanajuato. Valencia, España.
Bourne, M. (2002). Food texture and viscosity: concept and measurement. 2nd Edition. Academic Press Book.
Brand-Williams, W., Cuvelier, M.E., Berset, C. (1995). Use of a free radical method to evaluate antioxidant activity. LWT - Food Science and Technology, 28(1), 25-30.
Brummell, DA. (2006). Cell wall disassembly in ripening fruit. Functional Plant Biology, 33, 103-119.
Di Vittori, L., Mazzoni, L., Battino, M., & Mezzetti, B. (2018). Pre-harvest factors influencing the quality of berries. Scientia Horticulturae, 233, 310-322.
Garzón, G. (2008). Las antocianinas como colorantes naturales y compuestos bioactivos: revisión. Acta Biológica Colombiana, 13(3), 27-36.
Giusti, M.M., Rodríguez-Saona, L.E., & Wrolstad, R. E. (1999). Molar absorptivity and color characteristics of acylated and non-acylated pelargonidin-based anthocyanins. Journal of Agricultural and Food Chemistry, 47, 4631-4637.
Hannum, S. (2004). Potential impact of strawberries on human health: A review of the science. Critical Reviews in Food Science and Nutrition, 44(1), 1-17.
Jiménez-Bermúdez, S., Redondo-Nevado, J., Muñoz-Blanco, J., Caballero, J.L., López-Aranda, J.M., Valpuesta, V., Pliego-Alfaro, F., Quesada, M.A., & Mercado, J.A. (2002). Manipulation of strawberry fruit softening by antisense expression of a pectate lyase gene. Plant Physiology, 128, 751-759.
Lara I., García, P., & Vendrell, M. (2006). Post-harvest heat treatments modify cell wall composition of strawberry (Fragaria x ananassa Duch.) fruit. Scientia Horticulturae , 109, 48-53.
Lefever, G., Vieuille, M., Delage, N., D'Harlingue, A., De Monteclerc, J., & Bompeix, G. (2004). Characterization of cell wall enzyme activities, pectin composition, and technological criteria of strawberry cultivars (Fragaria x ananassa Duch). Journal of Food Science, 69, 221-226.
Lunkenbein, S., Coiner, H., De Vos, C.H.R., Schaart, J.G., Boone, M.J., Krens, F.A, Schwab, W., & Salentijn, E.M.J. (2006). Molecular characterization of a stable antisense chalcone synthase phenotype in strawberry (Fragaria x ananassa). Journal of Agricultural and Food Chemistry , 54, 2145-2153.
Manning, K. (1993). Soft fruit. En: Biochemistry of Fruit Ripening. (G.B. Seymour, J.E. Taylor and G.A. Tucker). Chapman and Hall, Cambridge, UK. p. 347-377.
Martínez, F. (2002). Viticultura de calidad: factores que afectan al contenido de compuestos fenólicos. ARE. Revista de Enología, 0(21).
Martínez-Bolaños, M., Nieto-Angel, D., Téliz-Ortiz, D., Rodríguez-Alcazar, J., Martínez-Damian, Ma. T., Vaquera-Huerta, H., & Carrillo Mendoza, O. (2008). Romparación cualitativa de fresas (Fragaria x ananas-sa Duch.) de cultivares mexicanos y estadounidenses. Revista Chapingo. Serie horticultura, 14(2), 113-119.
Morales-Delgado, D.Y., Tellez-Medina, D.I., Rivero-Ramírez, N. L., Arellano-Cardenas, S., Lopez-Cortez, S., Hernandez-Sanchez, H. Gutierrez-Lopez, G., Cornejo-Mazon, M. (2014). Effect of convective drying on total anthocyanin content, antioxidant activity and cell morphometric parameters of strawberry parenchymal tissue (Fragaria x ananassa Duch). Revista Mexicana de Ingeniería Química, 13 (1), 179-187.
Nunes, C., Brecht, B., Morais, A., Sargent, S. (2006). Physicochemical changes during strawberry development in the field compared with those that occur in harvested fruit during storage. Journal of the Science of Food and Agriculture, 86(2), 180-190.
Ojeda-Real, L.A., Rárdenas-Navarro, R., Lobit, P., Grageda-Cabrera, O., Valencia-Rantero, E., Macías-Rodríguez, L. (2008). Nitric nutrition and irrigation systems effects on strawberry (Fragaria x ananassa Duch.) flavor. Revista Chapingo. Serie horticultura , 14(1), 61-70.
Paniagua, C., Santiago-Doménech, N., Kirby, A.R., Gunning, A.P., Morris, V.J., Quesada, M.A., Matas, A.J., & Mercado, J.A. (2017). Structural changes in cell wall pectins during strawberry fruit development. Plant Physiology and Biochemistry, 118, 55-63.
Payasi, A., Misra, P., & Sanwal, G. (2006). Purification and characterization of pectate lyase from banana (Musa acuminata) fruits. Phytochemistry, 67, 861-869.
Posé, S., Paniagua, R., Matas, A.J., Gunning, A.P., Morris, V.J., Quesada, M.A., & Mercado, J.A. (2018). A nanostructural view of the cell wall disassembly process during fruit ripening and postharvest storage by atomic force microscopy. Trends in Food Science & Technology. En prensa. https://doi.org/10.1016/j.tifs.2018.02.011.
Quesada, M. A., Blanco-Portales, R., Posé, S., García-Gago, J., Jiménez-Bermúdez, S., Muñoz-Serrano, A., Caballero, C., Pliego-Alfaro, F., Mercado, J. A., & Muñoz-Blanco, J. (2009). Antisense down-regulation of the FaPG1 gene reveals an unexpected central role for polygalacturonase in strawberry fruit softening. Plant Physiology , 150, 1022-1032.
Restrepo, J., & Aristizábal, T. (2010). Ronservación de fresa (Fragaria x ananassa Duch cv. Camarosa) mediante la aplicación de recubrimientos comestibles de gel mucilaginoso de penca sábila (Aloe barbadensis Miller) y cera de carnaúba. Revista Vitae, 17(3), 252-263.
Schwab, W., & Raab, T. (2004). Developmental changes during strawberry fruit ripening and physico-chemical changes during postharvest storage. In: Production Practices and Quality Assessment of Food Crops. Vol. 3, Quality Handling and Evaluation, Netherlands. (R. Dris and S.M. Jain). Kluwer Academic Publisher. p. 341-369.
Sesmero, R., Quesada, J., & Mercado, J.A. (2007). Anti-sense inhibition of pectate lyase gene expression in strawberry fruit: characteristics of fruits processed into jam. Journal of Food Engineering, 79, 194-199.
Severo, J., Tiecher, A., Chaves, F., Silva, J., & Rombaldi, C. (2011). Gene transcript accumulation associated with physiological and chemical changes during developmental stages of strawberry cv. Camarosa. Food Chemistry, 126, 995-1000.
Tulipani, S., Mezzetti, B., Capocasa, F., Bompadre, S., Beekwilder, J., de Vos, C.H.R., Capnoglu, E., Bovy, A., & Battino, M. (2008). Antioxidants, phenolic compounds, and nutritional quality of different strawberry genotypes. Journal of Agricultural and Food Chemistry, 56, 696-704.
Wang, D., Yeats, T.H., Uluisik, S., Rose, J.K.C., Seymour, G.B. (2018). Fruit softening: revisiting the role of pectin. Trends in Plant Science,,23, 302-310.