Artículos
Failure of Peace and the Disarmament, Demobilisation and Reintegration (DDR) *
Fracaso de la paz y el desarme, desmovilización y reintegración (DDR)
Failure of Peace and the Disarmament, Demobilisation and Reintegration (DDR) *
Papel Político, vol. 25, pp. 1-26, 2020
Pontificia Universidad Javeriana
Received: 19 October 2019
Accepted: 19 October 2020
Published: 30 November 2021
Abstract: Existing studies suggest that DDR programmes do not strengthen peace after negotiations or treaties. This research argues that the various components of DDR can have different impacts on the failure of peace. This paper examines the implications of the DDR provision in internal armed conflict negotiation for preventing the recurrence of war. This research addresses the following question: Does a DDR provision, in internal armed conflict settlements, prevent the recurrence of war in the post-conflict scenario? Using an original database that records 102 peace negotiation processes during the period 1975 to 2012, I demonstrate that peace is more likely to be achieved when the peace agreement includes a DDR provision, especially the reintegration process.
Keywords: Disarmament, demobilisation, reintegration, peace, conflict resolution, war recurrence.
Resumen: Estudios existentes sugieren que los programas de DDR no fortalecen la paz después de las negociaciones o de los tratados. La presente investigación plantea que los diversos componentes del DDR pueden tener diferentes impactos sobre el fracaso de la paz. Este artículo examina las implicaciones de la disposición del DDR en la negociación del conflicto armado interno para evitar la recurrencia de la guerra. La presente investigación aborda las siguientes preguntas: ¿La disposición de un DDR en los acuerdos del conflicto armado interno evita la recurrencia de la guerra en el escenario del post-conflicto? Usando una base de datos original que registra 102 procesos de negociaciones de paz durante el periodo de 1975 a 2012, demuestro que es más probable que se logre la paz cuando el acuerdo de paz incluye la disposición de un DDR y, en particular, el proceso de reintegración.
Palabras clave: Desarme, desmovilización, reintegración, paz, resolución de conflictos, recurrencia de la guerra.
Introduction
There have been 117 conflicts during the period from 1980 to 2015; out of them, 47 have ended with a peace agreement, and 14 have ended with a military victory ( Escola de Cultura de Pau, 2016). The literature on the failure of peace argues that the probability of recurrence of conflict is likely in around 60% of the cases ( Collier et al., 2003; Collier & Sambanis, 2002; Walter, 2010). The Colombian case is a good example thereof. Colombia has had nine peace talks 1 and three peace agreements since 1953. 2 These agreements could be considered as only partially successful because the armed conflict is ongoing. Many former combatants have subsequently relapsed into different militant groups, including guerrilla groups, criminal bands and drug cartels. Thus, the criminal and homicide rates are still very high. Currently, there is an implementation of a peace process with FARC and a peace negotiation with ELN. If the peace is achieved, the challenge for the Colombian government and civil society is enormous, because the warring parties need to uphold the compromises and maintain the trust in one another. However, Colombian history has demonstrated the challenges and difficulties for a lasting and fruitful peace.
The Colombian example raises the important question, why does peace sometimes last and sometimes fail? Countries in conflict have formulated different provisions to try to achieve and (or) maintain the peace. These mechanisms are often implemented as a part of the peace negotiations. Warring parties (rebels and government) negotiate different provisions such as power-sharing, cease-fire conditions, amnesties, political participation, third-party verification and DDR. Do these measures work? This paper will answer the following question: Does a DDR provision, in internal armed conflict settlements, prevent the recurrence of war in the post-conflict scenario?
The existing scholarly work on peace failure 3 mainly focuses on the determinants of peace building after the civil war, the impact of the provision negotiated and its implementation. These works focuses on the relationship between the failure of peace and hostility, local capacities, international support, power-sharing, military sharing, cease-fire agreements or mediation. There are hundreds of works 4 on disarmament, demobilisation and reintegration that focus on case studies, evaluation of results and lessons learnt. However, only a few studies adopt a macro vision of the relationship between DDR 5 provision and the durability of peace or failure of peace. This deficiency seems somewhat surprising since international organisations, like the World Bank, United Nations, national governments and NGOs, emphasise the positive effect of developing this kind of programme to achieve peace and stability in post-conflict. In addition, these organisations invest not only financial capital but also technical and human capital in DDR programmes. However, a systematic analysis of this relationship is missing, and the academic works on the failure of peace do not study the role of the DDR programme. 6 This paper seeks to contribute to this debate by explaining the importance and impact of DDR on the longevity of peace, taking into consideration process completeness, individual paths and different types of reintegration. Previous studies have produced inconclusive or contradictory findings, but these works do not identify the different stages of DDR, as they only focus on one stage. This study divides the DDR into its components in order to understand if there is a differential impact. I found that reintegration (military and social) has a positive and statistical impact on preventing the conflict recurrence. It is important to highlight that the information collected is focused on whether or not the peace process includes this provision.
This chapter argues that a DDR mechanism within a peace negotiation can make peace more durable because this provision has a high political and economic cost for both sides in the event that either of them should decide to renege on the commitment or to alter the agreement. In the Nicaraguan case, rebel leaders agreed that they would not disband until the political system changed ( Chamorro, 2015; CIDOB, 2000; Fauné, 2014; Berdal, 1996a, 1996b; Berdal & Suhrke, 2012). In the Salvadorian case, the FMLN maintained a significant stock of weapons in secret places because they did not trust in the government’s political will and the government was also reluctant to demobilise military forces, “citing the need to combat the country’s rising tide of crime” ( Hill, 2004, p. 162). Another example is Angola, which signed three peace agreements (1991, 1994 and 2002) with not only power-sharing clauses but also DDR provision and military reform. The first two agreements failed due to the lack of credibility of the parties, and the lack of resources, planning and security. Other reasons for failure were that many of the aspects of military provision were only discussed after the peace agreement was signed, and the rebels experienced election defeat ( Hill, 2004; Samset, 2013). It is worthy noting that both sides have the possibility to keep weapons, maintain control of their former soldiers and preserve territorial control, meaning that they could cheat. Therefore, DDR is a fundamental element of bargaining power. This provision reduces the uncertainty of actions and intentions during the implementation stage and prevents recidivism because the re-organisation of armies would be costly ( Walter, 2002, p. 21). As Hartzell (2013) highlights,
power-sharing provisions such as those that mandate the integration of rivals’ troops into the state’s military make it more difficult for adversaries to return to armed conflict, opposing factions that implement these measures should be more likely to abide by the terms of the bargain they agree to at the war’s end. (p. 243)
If the previous argument is upheld, then the inclusion and contents of a DDR provision should affect the duration and success of peace.
An original DDR database was compiled that records 102 peace negotiation processes during the period from 1975 to 2012 and identifies the three components of DDR and the kind of reintegration (military, civil or both). There are two dependent variables and both are dichotomous, one registers if the peace is achieved after 2 years and the other variable after 5 years, from the date of signature of a peace agreement between the government and the same rebel group. The key independent variables are the DDR provision, using different combinations of each stage and the kind of reintegration process, which could be civil, military, or both.
A peace negotiation 7 is considered as a set of peace accords that are negotiated between representatives of the government and the rebel group that resulted in compromises involving how to solve the conflict causes, how to manage the consequences of conflict and how to rebuild war-torn societies. Hoddie and Hartzell (2003) identify four different power-sharing provisions in a negotiation settlement: political, territorial, military and economic. The military power-sharing is defined as the integration of armed forces into a new common security force. It includes a part of each group’s former combatants into the new army and the inclusion of rebel leaders into equivalent ranks in the new army (DeRouen, Lea, & Wallensteen, 2009; Hoddie & Hartzell, 2003). DDR provision is defined as much broader than military power-sharing. Military provision is a process related to security sector reforms and military institutions while DDR is a social, political and economic process based on individuals. It is understood as a path between the end of military life and the journey towards a new start, within a new civil life. This correlates with the definition of DDR from the United Nations point of view.
This article proceeds as follows. The first section develops a brief overview of why DDR is necessary for durable peace. Opening with a literature review, it lays out five causal mechanisms between the DDR process and the recurrence of war. The second section describes the research design and the dataset. The findings and conclusions are presented in the third and fourth sections.
Literature review: Why does DDR contribute to a lasting peace?
We can theorise that peace in an armed conflict is the result of interchange and mutual dissuasion, in which both parties cease fighting while the government gives the rebels some concessions and the rebels must disband ( Fortna, 2004b; Walter, 2002). However, this definition cannot be totally accepted, because there are cases where DDR is not negotiated or is negotiated some years later, after the original signing, due to the lack of credibility or security between both sides. We need to be mindful that peace negotiations and their agreements operate as a mechanism to solve the roots of the conflict, to stop fighting and to maximise the expectations of both parties, in terms of military-political and economic power. For the government, authority and security can be interpreted as necessary to increase its credibility, to achieve the state monopoly of violence and to strengthen its institutions. On the rebel side, power and safety can be understood as political participation, 8 access to public resources, access to government agencies and security guarantees for its members. Most theories about conflict resolution emphasise that the main difficulty in achieving peace relates to whether the parties can rely on the commitment by the other side. This difficulty is because “The government cannot trust the rebels to end their military campaign once they have been granted concessions [...] Similarly, the rebels cannot trust the government to honour its side of the deal.” ( Mattes & Savun, 2009, p. 739). Muggah (2013) has highlighted how
disarmament is an intensely political issue and linked to a widely recognised security dilemma for parties involved in or emerging from armed conflict […] Without transparent and credible guarantees that the terms of a peace agreement will be enforced, and the security of disarmed parties will be ensured, the rational response is to decline the handing over of armaments or the demobilisation of one’s forces. (p. 34)
In sum, DDR is “a politically driven process, and its success depends on the will of the parties in the conflict to demilitarise after conflict.” ( United Nations Disarment, Demobilization, and Reintegration Centre, UNDDR, 2014, p. 25) Moreover, it is created as a cost provision that helps to recover the monopoly of violence by the state and to generate and demonstrate trust between the parties ( Correia, 2009; Giustozzi, 2012).
Barbara Walter (2002) points out that the implementation stage is when many peace processes fail and cooperation between parties collapses, because the accord “creates potentially devastating opportunities 9 for post-treaty exploitation” (p. 20), and “after the signing of a peace agreement, both sides have incentives to try to renegotiate its terms […] changes in the distribution of power between belligerents can provide incentives to return to armed strife” ( Kreutz, 2014, p. 355). This means that the possibility of commitment problems appears during the implementation 10 stage of DDR, because the parties are more vulnerable to be annihilated or captured at this time. For example, if the peace agreement only calls for rebels to disband, they are susceptible to attack if the government decides to defect on the deal, because the process implies that they are going to be identified and put into special camps. However, there is the possibility that rebels could hide their best weapons and combatants for reassembly of the rebel group and resume the war, in cases when they think that the government can renege on the deal, or should they not obtain the results and benefits that they want. To avoid this scenario, it is important that the design of the implementation of DDR be planned and coordinated during the peace talks and its enforcement should start shortly after the signing of the peace agreement. As UNDDR highlights, “DDR programmes are more likely to be successful when planning is integrated and starts early, preferably during peace negotiations” ( UNDDR, 2014, p. 57). Also, it is important to ensure the involvement of the international community, because their support is essential in financial, logistical and military terms, since the state capacity is too weak at the early stage of post-conflict when both parties need to build trust ( Doyle & Sambanis, 2006; Fortna, 2004b; Walter, 2002).
The main objective of this research is to identify the effect of including a DDR provision on the subsequent peace stability when the parties have negotiated a peace settlement. There are five studies focused on the relationship between peace and this “military provision.” First, there is a study conducted by Hoddie and Hartzell (2003) that explored the impact of negotiating and implementing military power-sharing 11 arrangements on peace duration. They used the comparative method with a sample of 16 peace processes from 1980 to 1996. They found “a strong relationship between successful efforts at implementation of military power-sharing and the maintenance of peace” ( Hoddie & Hartzell, 2003, p. 313). Following the same logic, DeRouen et al. (2009) studied the relation between costly power-sharing provision to government and the lifespan of the peace agreements. They analysed territorial autonomy and military power-sharing and concluded that these provisions have a positive and significant effect on the duration of peace ( DeRouen et al., 2009). In contrast, Glassmyer and Sambanis (2008) estimated the impact of rebel and military integration on peace using a dataset featuring 138 peace processes from 1945 to 1999. They concluded that military integration “fails to provide credible security guarantees and that it serves mostly as an economic strategy” Also, military integration does not have a significant effect on peace duration ( Glassmyer & Sambanis, 2008). Likewise, Haer and Böhmelt (2016) and Krebs and Licklider (2016), using different approaches and perspectives, have analysed whether military reintegration 12 or DDR reduces the risk of society’s relapse into civil war; both articles concluded that military integration or DDR has no impact on the durability of post-war peace.
In conclusion, the scholarly studies of military power-sharing have produced inconclusive or contradictory findings. As mentioned above, military power-sharing is the configuration of a new army with the view to integrate entirely or partially the former combatants and legal forces. It is part of the reform of military institutions and security structures designed for consolidation of a post-conflict peacebuilding strategy. In contrast, DDR is a social and civil strategy, which involves transitioning former combatants (rebels and soldiers) from military to civil life or into a new army.
The impact of DDR on peace
Undoubtedly, the disarmament, demobilisation and reintegration (DDR) process is a multidimensional and complex mechanism involving political, military, security, humanitarian and socio-economic dimensions that helps (re-)build national, regional and local capacities, creates a political identity and generates reconciliation and reconstruction ( Knight, 2008; UNDDR, 2014). This could be developed for rebels or all parties (rebels and military forces) involved in the conflict. It is considered a key component of the general recovery programme which is linked to security, humanitarian and peacebuilding programmes, such as landmine recovery, small arms control, security sector reform, poverty reduction, economic recoupment and political participation. Its implementation is the responsibility of central government with the involvement of non-state actors (NGOs), civil society organisations, the private sector and the support of the international community.
Maintaining peace after war requires strong cooperation between the parties because it is likely that they will have strong incentives to take advantage of each other as well as many reasons to fear each other. DDR operates on the basis of reciprocity in terms of security and confidence. But for this reciprocity to work, the expected utility of peace and the fulfilment of the agreements must be greater than the cost of war or a breach of the agreements. I argue that there are five mechanisms through which DDR provision might significantly help to increase the expected utility of peace: by preventing the parties from reneging on the commitment because of the high political cost; by improving the security; by building local capacities and generating community reconciliation through the creation of economic recovery programmes, and by inhibiting recidivism through the generation of employment and income and the development of professional and/or technical skills. These mechanisms suggest that when the peace negotiation proposes to establish the three stages of DDR provision, the greater its impact will be on the peace outcome.
Hypothesis 1: Peace is more likely if the peace agreement includes all three stages of DDR provision.
Every stage of DDR has different challenges and mechanisms, but the effect on durable peace is positive because the entire strategy is focused on improving the quality of life of ex-combatants and their communities using human, social and economic incentives. Özerdem (2002) emphasises that
a DDR programme means investment in the capacity building of human resources and the revitalisation of livelihoods. The time-line for such programmes should be envisaged as much longer than a couple of years […] every effort should be made to ensure that a closely interwoven relationship exists between DDR strategies and the overall reconstruction process. (p. 972)
Furthermore, a comprehensive DDR strategy seeks to divert military expenditure in war-torn countries, which, otherwise would expend a high percentage of income on war. Subsequent expenditures can be diverted toward other social sectors, such as education or health, and the recovery of infrastructure.
It is important to highlight, regarding public policies, that disarmament and demobilisation are considered as short-term stages, but disarmament could be achived in the long term if it is expanded to the community level. However, the reintegration stage is a long-term strategy. This stage means the end of criminal life for rebel combatants and the beginning of civil life.
The first component of a DDR strategy is the disarmament stage. The main objective in this stage is the removal of weapons, ammunition and explosives. This step is highly symbolic for combatants for two reasons: it is the end of their military role, and it is the sign of their willingness for peace. Regarding the peace process and recovery, disarmament suggests that there is a level of confidence between parties and communities. Additionally, this stage reduces the capacity of the parties to reassemble the armies and resume the armed conflict. The UN suggests that its duration should last no more than 30 days per group ( UNDDR, 2014). However, this step could be part of a long-term national strategy for arms reduction and control.
The disarmament can fail as a result of three security risks: operational risk, time delay and technical risk. The disarmament has three operational stages: first, collecting the weapons; second, storage and management of weapons; thirdly, weapon destruction. The operational decision about how disarmament is going to be implemented could have an impact on the process and the duration of peace because the illegal armed group could stockpile their best weapons because of their fears concerning the government’s inability to fulfil the agreement. This was the situation in Colombia during the disarmament of the paramilitary group Las Autodefensas Unidas de Colombia (AUC). The Organization of American States (OAS), which was the international guarantor, reported the rebirth of a new wave of paramilitaries in Colombia at this time ( OAS, 2007).
Hypothesis 2: Including disarmament provisions in a peace negotiation increases the likelihood of peace two (or five) years after the peace accord.
The second component is demobilisation. The main objective in this stage is the physical separation of combatants from their armed group. They are cutting formal military relations with their rebel group. Demobilisation is a multifaceted and short-term stage (no more than two months per unit), which includes activities such as registration and documentation of combatants (a census), health screening, counselling and awareness of the challenges of transitioning from military to civil life. The process is completed when combatants receive documentation that confirms their new social status. It is coordinated by civilians or peacekeepers who give guarantees of equality, security and protection from discrimination. It is a symbolic stage in the peace recovery because it is the end of the rebel structure as an army but the beginning of a new civil and (or) political structure.
The demobilisation stage needs to consider the areas where the former rebels are going to be quartered. There are two kinds of quartering, static or mobile. Static quarters mean that ex-rebels are held in one place, and they are not allowed to leave. In contrast, those who are mobile have free movement and are able to live on their own. Both options pose critical security challenges; for instance, static quarters can become a focal point for crime ( UNDDR, 2014, p. 145) and an easy target for spoilers. Mobile quartering is difficult with regard to control of participants and security because ex-combatants are more vulnerable to vendettas. The design of the demobilisation stasge needs to consider the minimum standards of living, the supplies and the special needs of ex-combatants, because the lack of appropriate conditions could induce internal security problems such as protests. These security vulnerabilities require attention not only in terms of the management of personal ex-combatant information, but also highlight the need to avoid internal riots and to protect the ex-combatants from external military attacks. The stage between demobilisation and reintegration is called reinsertion, which helps with the immediate and basic needs of the former combatants and their dependents. It is focused on short-term financial allowances but not on (long-term) sustainable income.
Hypothesis 3: Including a demobilisation provision in a peace negotiation increases the likelihood of peace two (or five) years after the peace accord.
Hypothesis 4: Including disarmament and demobilisation (DD) provisions in a peace negotiation increases the likelihood that internal armed conflict will not be resumed in the early stages.
The last stasge of the process is called reintegration. The reintegration should be military and/or civil. Military reintegration means that both armed forces could be merged into a new single entity ( Glassmyer & Sambanis, 2008; Hoddie & Hartzell, 2003; Krebs & Licklider, 2016). Civil reintegration is the inclusion of former combatants in communities ( Kaplan & Nussio, 2015). Some peace processes decide to develop both types of reinstatement, others incorporate just one of them. Out of 81 peace agreements observed with reintegration, 79% had military reintegration, 73% had civil reintegration, and 52% had both (see table 1). The challenge in this stage is to generate a sustainable reintegration of former rebels into the communities’ social life and a new army. This reintegration should be implemented in economic, political and social terms and should include a mix of different programmes, such as psycho-social therapies, vocational programmes and land access. The UN highlights that “failure to produce sustainable reintegration will increase the security risk posed by ex-combatants and the potential for relapse into conflict” ( UNDDR, 2014, p. 157).

Military reintegration can be designed “varying along three dimensions: the magnitude of the integration, the horizontal integration of units, and the vertical integration of the officer corps” ( Krebs & Licklider, 2016, p. 99). Civil reintegration can be planned with two approaches: individual and community-based. Both approaches require an understanding of the general context, psycho-social needs, capacities and necessities of former combatants and communities. Both have benefits and drawbacks. For example, the community-based reintegration creates a win–win situation, thus avoiding feelings of unfairness, and generates different economic opportunities, which could have a positive impact on the development of the host community ( Kaplan & Nussio, 2015).
The reintegration stage has two important risks: first, the national economy is devastated, and there is limited access to employment, assets, investment and markets, which can make too difficult to generate a successful economic reintegration. For this reason, the former combatants are more prone to participate in illicit activities such as drug trafficking, crime and illegal exploitation of natural resources for earning income. 13The second risk concerns the acceptance of former combatants within the communities. The presence of ex-combatants could generate vendettas, isolation and rejection by inhabitants. Additionally, the ex-combatants are very vulnerable because they have lost their social support from the rebel organisation. Furthermore, they could suffer mental illness, and these situations tend to generate anti-social behaviours and violence (especially intra-family violence). The socio-economic reintegration of ex-combatants and their families is a long-term process, but if the process is well-designed and implemented, it has a positive impact on peace.
Hypothesis 5: Including reintegration provisions in a peace negotiation increases the likelihood to not resume the conflict.
Hypothesis 5a: Including military reintegration provision in a peace negotiation increases the chances to not resume the conflict.
Hypothesis 5b: Including civil reintegration provision in a peace negotiation increases the likelihood to not resume the conflict.
Hypothesis 5c: Including both military and civil reintegration provisions in a peace negotiation increases the chances to not resume the conflict.
In conclusion, the DDR process has distinct perspectives, which are focused on the economic, social, political and security development of former combatants and their host communities. This process and their programmes have become a major part of the reconstruction strategy because it is a way to build confidence between the parties, to recover the state monopoly of force and to provide economic and political guarantees. The state and private sectors are important actors. The private sector is the main employer, while the state must re-configure its institutions and create legal and physical security. However, one of the challenges for the success of the programme is the implementation stage because many post-conflict countries are considered as failed states where the central authority is too weak to implement the recovery and the private sector is very hesitant to hire former combatants.
Research design
The main hypothesis is that DDR provision should contribute positively to peace, controlling for other relevant factors such as conflict duration, the presence of other rebels, GDP and political stability. This study employs a logistic regression ( Agresti, 2013; Agresti & Finlay, 2014) for the analysis of the impact of DDR in the discrete times (two and five years).
To find out how well DDR works, the dataset 14 uses information on internal armed conflicts, the peace agreement, whether DDR was negotiated and how long peace lasted, and it uses specific control variables. The dataset includes peace negotiations 15 by rebel groups that were signed from 1975 to 2012 ( Escola de Cultura de Pau, 2016; Högbladh, 2012). Peace is defined as the absence of war. 16 If a peace process started and failed immediately, then it is coded as a peace failure in the first year. Out of 102 peace negotiations, three cases have failed immediately and 30 have failed in less than one year. The subsequent section describes the dependent and independent variables.
Dependent variable
This paper examines the durability of peace (other studies about the duration of peace: Cochrane, 2008; Doyle & Sambanis, 2006; Fortna 2004a, 2004b; Gurses et al., 2008; Hartzell, 1999, 2013, 2014; Hartzell & Hoddie, 2003; Kreutz, 2010, 2014; Sambanis, 2007; Stedman et al., 2002; Svensson, 2014; Walter, 1997, 2002, 2009) and evaluates the effect of the DDR provision on the eventual absence of war after the peace agreement is signed. Some studies of durability or civil war recurrence attributed the success or failure of peace to whether the conflict was resumed within a certain period. In quantitative research, a common cut-off point is typically one five-year period ( Archer & Gartner, 1976) or two five-year periods ( Collier & Hoeffler, 2004). For the discrete time route, the cut-off point is two and five years, because the term of two years is average for the DD stasge and the five-year measure is average for a typical DDR process. In many cases, the duration of disarmament and demobilisation is two years, and the reintegration is five years.
The dependent variable is a dichotomous variable, which measures whether the conflict has ended. Two dichotomous variables were created to measure this fact: one after two years, and another one five years from the time the peace agreement was signed. The absence of war (peace) was coded as one (1) if the dyad (rebel and government) is not registered in the UCDP/PRIO Armed Conflict dataset. If the war is resumed after the peace process, it is coded as zero (0), which indicates peace failure or civil war recurrence. A peace treaty is assumed to mark the beginning of the post-conflict stage. Peace treaty information was determined from two sources: first, the Peace Agreement Dataset (PAD) ( Harbom et al., 2006), which registered the date when peace fails. Second, the UCDP Dyadic dataset (DD) ( Harbom et al., 2008), which registered the rebel group military activity. These two sources highlight discrepancies because some rebel groups, which had signed the peace agreement, are still active in the conflict, but do not meet the minimal requirement for being considered as a part of an armed conflict. For this reason, these groups are not in the DD dataset. In those cases, the general principle applied is that if the rebel groups are not in the UCDP/PRIO Armed Conflict (DD dataset), I assume that peace has been achieved. Table 2 demonstrates how the peace fails after two years in 21% of the cases; 17 after five years, the peace fails in 17% of cases. See annex B - table 6 for descriptive statistics of the dependent variables ( Adkins & Hill, 2011).
Key independent variable18
This paper is primarily interested in the effect of the DDR provision on the likelihood of peace failure after the parties have signed a peace agreement. Annex B - table 7 shows the descriptive statistics of the main independent variables. These variables are binaries and identify if the peace process has a disarmament, demobilisation and reintegration provision. Other variables identify if the peace agreement only mentions or includes the implementation of this provision. The information also includes the type of reintegration negotiated by the parties. The reintegration may be military, civil or both.
The DDR process could be considered circuitous, and every stage is connected. Therefore, I use the tetrachoric 19 and Pearson measures to estimate the correlations between the dependent and key independent variables. The results show us that only disarmament has a statistically significant correlation with the two-year variable. Demobilisation has a negative relationship with the two-year variable but a positive correlation with the five-year variable. This result is very logical considering the security situation, since demobilisation requires that the rebels reside in a special place (a military area - cantonment) for a short period (following UNDRR, at no more than three months per group) before they start their reintegration process. Reintegration has a positive relationship with both variables. In conclusion, these figures suggest that the models should omit one of the three key variables due to the high correlation between them. (See annex B - table 8).
Table 3 indicates that in 134 records, 80 cases have demobilisation, 67 have disarmament, and 81 cases have reintegration. Out of the total cases, 57 have all three stages. In sum, 28 cases have two stages (disarmament - demobilisation; disarmament - reintegration; demobilisation - reintegration). Additionally, 18 cases have only one stage, and 26 cases do not have DDR provision. Of the cases with three stages of DDR, 82% achieve peace whereas 18% do not.
Out of the 28 peace agreements with two DDR stages, 85% have reached peace (such as Papua New Guinea - The Bougainville Revolutionary Army (BRA), which has two previous peace accords), and 15% have not (for example, the peace settlement signed between the Chadian government and different rebel groups). Finally, out of the 18 peace accords with only one DDR stage, 82% have achieved peace (for example, the United Kingdom and The Provisional Irish Republican Army (IRA)), and 18% have not (such as Lebanon and Forces of Michel Aoun; Mali and Arab Islamic Front of Azawad (FIAA)). To conclude, out of the 102 peace processes with a DDR provision, 66.33% reached peace, but 33.66% did not; in contrast, 54% of the cases without DDR achieved peace although 46% did not.
Control variable
DDR provisions are clearly not the unique, influential factor in determining peace failure. I also need to control for other factors that are likely to affect the failure of peace. Different researches have determined those control variables and the study by Doyle and Sambanis (2006) produced one of the most interesting results. The authors developed a model of peacebuilding that has been used and modified by later researches. This model proposed that three dimensions determine the post-conflict circumstances: hostility, local capacity and international capacity. They used different proxies for each dimension and concluded that higher income, lower dependence on natural resources and less fractionalization of society reduce the risk of a new war. Ethnic wars are much more likely to have peacebuilding failure due to persisting claims over sovereignty. Economic growth and development are the critical determinants of a low risk to return to civil war ( Doyle & Sambanis, 2006). Another example is the work developed by Hartzell et al. (2001). They demonstrated that the duration of peace is longer when a peace agreement includes the national autonomy provision and the support of third parties because these provisions not only suggest a compromise but also offer security assurances among parties 20 ( Hartzell et al., 2001, p. 187).
In summary, the factors identified by the literature referenced herein can be classified into four sets: characteristics of the conflict, local capabilities, third-party mediation and power-sharing agreements. Therefore, this study 21 measures the intensity 22of conflict by using two variables. First, it is the number of years that the conflict by the rebel group has been active. This duration reflects the longevity of the armed conflict. The second variable is the number of deaths, which reveals the intensity of the armed conflict. In both variables, high values indicate that the armed conflict is costly, and this should make peace less probable. However, Glassmyer and Sambanis (2008) highlight that “war duration […] has an ambiguous effect: long wars can make signing a peace agreement more likely as victory seems unlikely, but they can also make peacebuilding harder if longer wars also result in greater hostility and more damage” (p. 368), see Cunningham et al. (2009).
The presence of spoilers 23 is defined as the presence of other rebel groups. It is a binary variable that measures whether the conflict is ongoing with another group. For robustness, I estimate some models using the multiparty definition developed by Christia: “civil wars in which there are three or more major domestic combatant groups” ( Christia, 2012, p. 11). I also used information about the maximum number of rebel groups by conflict and the number of rebel groups by conflict-year. The presence of a greater number of spoilers should make peace less probable, but if the negotiation includes other groups the probability of peace is higher.
I measure local capacities with the most accepted socio-economic indicator: gross domestic product (GDP). I use total real GDP per capita (2005 prices), which is collected and expanded by Gleditsch (2014, v.6.0). A high socio-economic indicator should increase the likelihood of peace. The democratic institutions are also measured by the duration of the regime and the type of regime ( Vreeland, 2008; Przeworski, 2004; Marshall et al., 2014; Hegre, 2014; Hegre et al., 2001; Sisk, 2013).
Empirical findings24
For these models the dependent variable is peace –0: war is resumed; 1: war is not resumed– ( Long & Freese, 2014; IDRE Stats, 2014). I calculate the models with disarmament, demobilisation and reintegration as a key independent variable. I also estimate models with other variables, such as civil or military reintegration, a variable that measures whether the peace process included both civil and military reintegration simultaneously. Other variables include at least one stage of DDR, or only disarmament and demobilisation. In annex D, I present other models that include certain provisions such as peacekeeping, sharing government and the creation of a political party. I also control by the presence of mediators, previous peace agreements and other forms of interactions.
The logistic regressions of peace on the main variables without other co-variables (model 1, model 2 and model 3: two years and five years) reveal the following results ( Stock & Watson, 2015; Long & Freese, 2014; Agresti, 2013). On disarmament, a non-significant positive relationship: peace is more likely to be achieved when the peace agreement includes this provision. On demobilisation, a non-significant positive correlation: peace is more likely to be achieved when demobilisation has been negotiated. On reintegration (model 4 is estimated with civil and military reintegration), a significant positive relationship. These results are displayed in table 4 and table 5.
According to these results, I could accept hypothesis 1, 2, 5a, 5c and reject hypothesis 3 and 5b (because the results are not statistically significant). However, to evaluate the real effect of DDR, we also need to control for other factors that are likely to influence the chance of conflict recurrence. Model 5 and Model 6 show the results: on disarmament, the association is negative and non-significant. On demobilisation, the relationship is also negative and non-significant. On the reintegration, military reintegration and simultaneous reintegration, the models show us a positive and statistically significant connection. However, civil reintegration presents a negative and non-significant relation. The other factors, such as the duration of the conflict, conflict with other rebels, GDP per capita, and length of political regime, are statistically significant, and there are works in the literature that corroborate these links.
In sum, in the presence of other factors, the most important variable for achieving peace (in a statistical sense) is the reintegration stage and this result is stable when I control other provisions (see models in annex D). Figure 1 shows that the probability of peace is increased by 37 percentage points in the two-year model (or 35 percentage points in the five-year model) if the process included reintegration or military reintegration but decreased by three percentage points if civil reintegration is included. Additionally, when the peace agreement includes civil and military reintegration, the likelihood of peace increases by 17 percentage points.
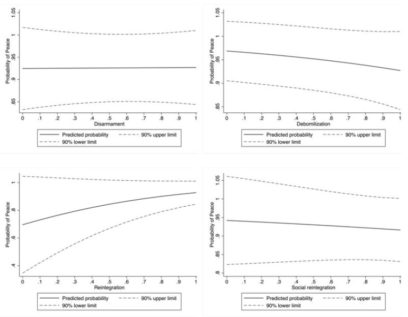
I also calculated the predicted probability for model 5 and model 6 (see annex C). Figure 2 and figure 3 in annex C show the predicted probabilities of peace when disarmament and demobilisation take values from 0 to 1. The negative effect of these variables is shown by the increasingly small probabilities. I can see that the probabilities decrease if the process has or does not have disarmament (or demobilisation). The graph (disarmament and demobilisation) shows that the confidence interval is wide in the possible scenarios. Bear in mind that these variables are not statistically significant in the models.
The graph of reintegration (military and civil) (from 0 to 1) shows that the confidence interval is narrow, and the probability increases slightly. Analysing these results, we can see that military reintegration has an important role in the reintegration of former combatants. The variables are statistically significant in the models.
In conclusion, the statistical models demonstrate that DDR is an important provision to achieve peace. When the process is divided into stages, I can see that the reintegration, especially military reintegration, has a positive impact due to the long process involved, which develops different programmes focusing on generating new opportunities. In other words, the reintegration is going to change the individual incentives for preferring a civil life over the war. This research presents new findings as compared to previous works (see for example Hartzell & Hoddie, 2003; Joshi & Quinn, 2012; Lamb, 2013) because it is based on the disaggregation of DDR, while other studies simply use one variable. I show that not all peace agreements have a complete DDR strategy, which is another distinctive quality in this research.


Discussion and conclusion
This paper seeks to answer whether the negotiation of a DDR provision, in internal armed conflict settlements, prevents the recurrence of war in the post-conflict scenario. The literature review helps us to identify different ways whereby this provision might achieve the peace because DDR is not only a political process but also a socio-economic process. The process is one of the requirements for the consolidation of peace 25 because it is considered as a bridge between the military and/or illegal status and civil life. I found that not all peace agreements have this kind of provision; sometimes the DDR is partially negotiated, which means that the agreement only includes one or two steps, or it remains unclear how the government will implement it. I also found that reintegration (military and civil) has a positive relationship with peace. This is a logical result bearing in mind that the reintegration is the stage that includes professional training and psychological treatments for adapting the former combatants to life within civil society.
I also highlight the fact that the literature concerning this topic has produced contradictory findings. The most important reason for this outcome is the different approaches to define and measure DDR. For this research, I only use an identification variable based on whether the peace agreement contains the provision or not and if so, which stage(s). In other words, I determine whether the peace agreement has a complete or partial DDR. Further research needs to analyse to what level the accords are implemented, because literature argues that it is during this stage when many peace agreements have failed. There have been remarkable advances in this area of study. For examples thereof, see the investigations by Joshi et al. (2015), Jarstad and Nilsson (2008), and Caramés and Sanz (2009).
The review of the impact of DDR helps us to identify the vulnerabilities and challenges present within each stage ( Giustozzi, 2012; Humphreys & Weinstein, 2007; Kingman, 1997; Knight & Ozerdem, 2004). Demobilisation is a critical stage because the rebels are very vulnerable when this stage fails. At this time, the possibility of different conflicts, such as riots or protests, or even the resumption of conflict is high. This was the case in Mozambique where a register recorded 317 incidents arising for various different reasons ( Striuli, 2012). The statistical models suggest a negative but not statistically relevant relationship with peace. However, disarmament is a fundamental element for the stability of peace. This stage is important because it reduces the stock of weapons in the society. However, it is a very vulnerable stage because in many cases there is evidence that the amount of weaponry collected, and its serviceability, is very low and the “best arms” are kept for commanders or combatants, as in the Mozambique, Nicaragua and El Salvador cases ( Giustozzi, 2012; Martí Puig, 2002). The models may conclude that disarmament has a positive but not statistically significant relationship. These results, from my point of view, are entirely reasonable because disarmament and demobilisation are, in many cases, the short-term stages.
The reintegration stage is a long-term programme, but it is important to bear in mind that in some cases the disarmament process could also be in the long term. The statistical models in this paper help us to conclude that disarmament and reintegration (civil and military) have a positive and statistical relationship with peace. I also estimated this effect by controlling for other factors. These models conclude that reintegration is the most important stage to achieve peace. If the peace negotiation has a clear mandate about how the process is going to be developed, the rebels are going to be more confident about the guarantees and their future. The reintegration strategy develops different programmes to improve not only the quality of life of the ex-combatants, but also the quality of life of the hosting communities ( Dercon & Ayalew, 1998; Richards, 2013; Gilligan et al., 2013). However, when I disentangle the programme of civil and military reintegration, the statistical models suggest that when the parties develop a military reintegration, peace is more achievable because this kind of reintegration could give the rebels more confidence about the process than social reintegration, where they would need to find not only economic stability (a job) but also social acceptance.
This paper has sought to expand our understanding of the relationship between DDR provision and peace. The findings suggest that including DDR in a peace agreement, especially the reintegration programme, has a significant positive impact on the peace and shows evidence of the importance of military reintegration in the process of peace consolidation. Therefore, this research implies that the policy-making community, at the international and national level, should think carefully about the scope of negotiation and implementation of this provision so as not to create higher expectations that cannot be achieved. This paper serves as an invitation for researching on this topic and its different interrelationships in more detail. Many other important questions are still lacking anwsers.
Bibliography
Adkins, L. C., & Hill, R. C. (2011). Using Stata for principles of econometrics (4th ed.). John Wiley & Sons.
Agresti, A. (2013). Categorical data analysis (3rd ed.). John Wiley & Sons.
Agresti, A., & Finlay, B. (2014). Statistical methods for the social sciences. Pearson.
Ansorge, J. (2011). Monopoly, Legitimacy, Lorce: DDR-SSR Liberia. In M. Civic & M. Miklaucic (Eds.), Monopoly of force (pp. 265-284). National Defense University Press.
Archer, D., & Gartner, R. (1976). Violent Acts and Violent Times: A Comparative Approach to Postwar Homicide Rates. American Sociological Review, 41(6), 937-963. https://doi.org/10.2307/2094796
Balcells, L., & Kalyvas, S. N. (2014). Does Warfare Matter? Severity, Duration, and Outcomes of Civil Wars. Journal of Conflict Resolution, 58(8), 1390-1418. https://doi.org/10.1177/0022002714547903
Banholzer, L. (2013). When do disarmament, demobilization and reintegration programs succeed? SSRN Electronic Journal. https://doi.org/10.2139/ssrn.2367307
Barbero-Baconnier, J. (1993). When Peace Breaks out. Mozambican Refugees: A Study in Socio-Economic Reintegration. International Migration, 31(4), 601-623. https://doi.org/10.1111/j.1468-2435.1993.tb00685.x
Bauer, M., Fiala, N., & Levely, I. (2014). Trusting former rebels: an experimental approach to understanding reintegration after civil war. Working Papers Series, (512), 1-73. http://dx.doi.org/10.2139/ssrn.2417617
Berdal, M. R. (1996a). Conclusion. The Adelphi Papers, 36(303), 73-76. https://doi.org/10.1080/05679329608449373
Berdal, M. R. (1996b). Introduction. The Adelphi Papers, 36(303), 5-8. https://doi.org/10.1080/05679329608449368
Berdal, M. R., & Suhrke, A. (2012). The peace in between: post-war violence and peacebuilding. Routledge.
Berdal, M. R., & Ucko, D. H. (2009). Reintegrating Armed Groups after Conflict: Politics, Violence and Transition. Routledge.
Boas, M., & Bjørkhaug, I. (2010). DDRED in Liberia: youth remarginalisation or reintegration? SSRN Electronic Journal, 20. https://doi.org/10.2139/ssrn.1650589
Boix, C., Miller, M. K., & Rosato, S. (2014). Boix-Miller-Rosato Dichotomous coding of democracy, 1800-2010. Harvard Dataverse. https://doi.org/10.7910/DVN/28468
Caramés, A., & Sanz, E. (2009). Analysis of the World's Disarmament, Demobilization and Reintegration (DDR) Programs in 2008. School for a Culture of Peace.
Chamorro, S. (2015). Acercamiento al proceso de desarme, desmovilización y reinserción (DDR) en Nicaragua después de 28 años de la firma de los acuerdos de Esquipulas II. Cultura de Paz, 21(65), 15. https://doi.org/10.5377/cultura.v21i65.1970
Christia, F. (2012). Alliance formation in civil wars. Cambridge University Press.
CIDOB. (2000). Nuevos temas de seguridad en América Latina. CIDOB. http://public.eblib.com/choice/publicfullrecord.aspx?p=3225581
Cochrane, F. (2008). Ending Wars. Polity.
Collier, P., Bank, P. W., & Group, W. B. (2003). Breaking the Conflict Trap: Civil War and Development Policy. World Bank Publications.
Collier, P., & Hoeffler, A. (2004). Murder by Numbers: Socio Economic Determinants of Homicide and Civil War. Center for the Study of African Economies; University of Oxford.
Collier, P., & Sambanis, N. (2002). Understanding Civil War: a New Agenda. Journal of Conflict Resolution, 46(1), 3-12. https://doi.org/10.1177/0022002702046001001
Correia, M. (2009). Disarm, Demobilize and Reintegrate: Transforming Combatants into Citizens to Consolidate Peace. Development Outreach, 11(2), 16-16. https://doi.org/10.1596/1020-797X_11_2_16
Cunningham, D. E., Gleditsch, K. S., & Salehyan, I. (2009). It Takes Two: A Dyadic Analysis of Civil War Duration and Outcome. Journal of Conflict Resolution, 53(4), 570-597. https://doi.org/10.1177/0022002709336458
Dercon, S., & Ayalew, D. (1998). Where have all the Soldiers Gone: Demobilization and Reintegration in Ethiopia. World Development, 26(9), 1661-1675. https://doi.org/10.1016/S0305-750X(98)00077-1
DeRouen, K. R., Lea, J., & Wallensteen, P. (2009). The Duration of Civil War Peace Agreements. Conflict Management and Peace Science, 26(4), 367-387. https://doi.org/10.1177/0738894209106481
Douma, P., & Gasana, J. M. (2008). Reintegration in Burundi: Between Happy Cows and Lost Investments. In L. Specker (Ed.), The R-phase of DDR Processes: An Overview of Key Lessons Learned and Practical Experiences. Netherlands Institute of International Relations Clingendael.
Doyle, M. W., & Sambanis, N. (2006). Making War and Building Peace: United Nations Peace Operations. Princeton University Press.
Escola de Cultura de Pau. (2006). Analysis of DDR Programmes in the World During 2005 (Yearbook). Barcelona Autonomous University’s Peace Culture School. http://escolapau.uab.es/index.php?option=com_content&view=article&id=523%3Aanuarios-ddr&catid=46&Itemid=66&lang=en
Escola de Cultura de Pau. (2007a). Analysis of DDR Programmes in the World During 2006 (Yearbook). Barcelona Autonomous University’s Peace Culture School. http://escolapau.uab.es/index.php?option=com_content&view=article&id=523%3Aanuarios-ddr&catid=46&Itemid=66&lang=en
Escola de Cultura de Pau. (2007b). Anuario 2007 de procesos de Paz. Icaria Editorial.
Escola de Cultura de Pau. (2008). Analysis of DDR Programmes in the World During 2007 (Yearbook). Barcelona Autonomous University’s Peace Culture School. http://escolapau.uab.es/index.php?option=com_content&view=article&id=523%3Aanuarios-ddr&catid=46&Itemid=66&lang=en
Escola de Cultura de Pau. (2009). Analysis of DDR Programmes in the World During 2008 (Yearbook). Barcelona Autonomous University’s Peace Culture School. http://escolapau.uab.es/index.php?option=com_content&view=article&id=523%3Aanuarios-ddr&catid=46&Itemid=66&lang=en
Escola de Cultura de Pau. (2016). Yearbook on Peace Processes 2016 (Yearbook). Barcelona Autonomous University’s Peace Culture School. http://escolapau.uab.cat/index.php?option=com_content&view=article&id=533%3Aanuarios-procesos&catid=46&Itemid=66&lang=en
Everitt, B., & Skrondal, A. (2010). The Cambridge Dictionary of Statistics. Cambridge University Press.
Fauné, M. A. (2014). “En la Nicaragua campesina se han ido acumulando engaños decepciones y enojos”. Revista Envío, 386. http://www.envio.org.ni/articulo/4842
Fortna, V. P. (2004a). Does Peacekeeping Keep Peace? International Intervention and the Duration of Peace after Civil War. International Studies Quarterly, 48(2), 269-292.
Fortna, V. P. (2004b). Peace Time: Cease-fire Agreements and the Durability of Peace. Princeton University Press.
Gilligan, M. J., Mvukiyehe, E. N., & Samii, C. (2013). Reintegrating Rebels into Civilian Life: Quasi-Experimental Evidence from Burundi. Journal of Conflict Resolution, 57(4), 598-626. https://doi.org/10.1177/0022002712448908
Giustozzi, A. (2012). Post-conflict disarmament, demobilization and reintegration: bringing state-building back in. Ashgate.
Glassmyer, K., & Sambanis, N. (2008). Rebel-military Integration and Civil War Termination. Journal of Peace Research, 45(3), 365-384. https://doi.org/10.1177/0022343308088816
Gleditsch, K. (2014). Kristian Skerede Gleditsch. Data, etc. Expanded Trade and GDP Data. Kristian Skerede Gleditsch. http://ksgleditsch.com/exptradegdp.html
González, A. (2018). Exploring the impact of the disarmament, demobilisation and reintegration process on post-conflict peace [unpublished doctoral dissertation]. University of Essex.
González, F. E. (2014). Poder y violencia en Colombia. Observatorio Colombiano para el Desarrollo, la Convivencia Ciudadana y el Fortalecimiento Instituciona (Odecofi); Centro de Investigación y Educación Popular (Cinep).
Gurses, M., Rost, N., & McLeod, P. (2008). Mediating Civil War Settlements and the Duration of Peace. International Interactions, 34(2), 129-155. https://doi.org/10.1080/03050620802043362
Haer, R., & Böhmelt, T. (2016). Child soldiers as time bombs? Adolescents’ participation in rebel groups and the recurrence of armed conflict. European Journal of International Relations, 22(2), 408-436. https://doi.org/10.1177/1354066115581910
Harbom, L., Högbladh, S., & Wallensteen, P. (2006). Armed conflict and peace agreements. Journal of Peace Research, 43(5). https://doi.org/10.1177/0022343306067613
Harbom, L., Melander E., & Wallensteen, P. (2008). Dyadic Dimensions of Armed Conflict, 1946-2007. Journal of Peace Research, 45(5), 697-710. https://ucdp.uu.se/downloads/dyadic/ucdp-dyadic-172.pdf
Hartzell, C. (1999). Explaining the Stability of Negotiated Settlements to Intrastate Wars. Journal of Conflict Resolution, 43(1), 3-22. https://doi.org/10.1177/0022002799043001001
Hartzell, C. (2013). Transitions from War to Peace. In G. K. Brown & A. Langer (Eds.), The Elgar Handbook of Civil War and Fragile States. (pp. 240-251). Edward Elgar Publishing.
Hartzell, C. (2014). Peacebuilding after Civil War. In E. Newman & K. Derouen (Eds.), Routledge handbook of civil wars (pp. 376-386). Routledge.
Hartzell, C., & Hoddie, M. (2003). Institutionalizing Peace: Power Sharing and Post-Civil War Conflict Management. American Journal of Political Science, 47(2), 318. https://doi.org/10.2307/3186141
Hartzell, C., Hoddie, M., & Rothchild, D. (2001). Stabilizing the Peace after Civil War: An Investigation of Some Key Variables. International Organization, 55(1), 183-208. https://doi.org/10.1162/002081801551450
Hegre, H. (2014). Democracy and Armed Conflict. Journal of Peace Research, 51(2), 159-172. https://doi.org/10.1177/0022343313512852
Hegre, H., Ellingsen, T., Gates, S., & Gleditsch, P. (2001). Toward a Democratic Civil Peace? Democracy, Political Change, and Civil War, 1816-1992. The American Political Science Review, 95(1), 33-48. DOI: https://doi.org/10.1017/S0003055401000119
Hill, S. M. (2004). United Nations Disarmament processes in Intra-State Conflict. Palgrave Macmillan. http://www.palgraveconnect.com/doifinder/10.1057/9780230502963
Hoddie, M., & Hartzell, C. (2003). Civil War Settlements and the Implementation of Military Power-Sharing Arrangements. Journal of Peace Research, 40(3), 303-320. https://doi.org/10.1177/0022343303040003004
Högbladh, S. (2012). Peace agreements 1975-2011 - Updating the UCDP Peace Agreement dataset. (States in Armed Conflict 2011 No. 99). Uppsala, Sweden: Uppsala University: Department of Peace and Conflict.
Humphreys, M., & Weinstein, J. M. (2007). Demobilization and Reintegration. Journal of Conflict Resolution, 51(4), 531-567. https://doi.org/10.1177/0022002707302790
IDRE Stats. (2014). Logistic regression diagnostics. https://stats.idre.ucla.edu/stata/webbooks/logistic/chapter3/lesson-3-logistic-regression-diagnostics/
Jarstad, A., & Nilsson, D. (2008). From Words to Deeds: The Implementation of Power-Sharing Pacts in Peace Accords. Conflict Management and Peace Science, 25(3), 206-223. https://doi.org/10.1080/07388940802218945
Joshi, M., Quinn, J. M., & Regan, P. M. (2015). Annualized Implementation Data on Comprehensive Intrastate Peace Accords, 1989-2012. Journal of Peace Research, 52(4), 551-562. https://doi.org/10.1177/0022343314567486
Joshi, M., & Quinn, M. (2012). Disarmament and Demobilisation in Comparative Perspective: Patterns and Policy Recommendations (NOREF Report). Norwegian Peacebuilding Resource Center.
Kaplan, O., & Nussio, E. (2015). Community counts: The social reintegration of ex-combatants in Colombia. Conflict Management and Peace Science. https://doi.org/10.1177/0738894215614506
Kingman, K. (1997). Post-war demobilization and the reintegration of ex-combatants into civilian life. Presented at the Promoting democracy, human rights and reintegration in post-conflict societies.
Knight, M., & Ozerdem, A. (2004). Guns, Camps and Cash: Disarmament, Demobilization and Reinsertion of Former Combatants in Transitions from War to Peace. Journal of Peace Research, 41(4), 499-516. https://doi.org/10.1177/0022343304044479
Knight, W. A. (2008). Disarmament, Demobilization, and Reintegration and Post-Conflict Peacebuilding in Africa: An Overview. African Security, 1(1), 24-52. https://doi.org/10.1080/19362200802285757
Krebs, R., & Licklider, R. (2016). Misplaced Faith in Military Integration after Civil War. Policy brief, Belfer Center for Science and International Affairs. The Belfer Center for Science and International ; Harvard Kennedy School.
Kreutz, J. (2010). How and When Armed Conflicts End: Introducing the UCDP Conflict Termination Dataset. Journal of Peace Research, 47(2), 243-250. https://doi.org/10.1177/0022343309353108
Kreutz, J. (2014). How civil wars end (and recur). In E. Newman & K. Derouen (Eds.), Routledge Handbook of Civil Wars (pp. 349–362). Routledge.
Lamb, G. (2013). DDR 20 Years later: historical review of the long-term impact of post-independence DDR in Southern Africa. (pp. 1–36). Presented at the history and experience of post-conflict reintegration and stabilization: reflections from DDR in Africa, Tunis, Tinisia. http://www.tdrp.net/PDFs/DDR%2020%20Years%20Later.pdf
Long, J. S., & Freese, J. (2014). Regression models for categorical dependent variables using Stata (3rd ed.). Stata Press Publication.
Marshall, M., Jaggers, K., & Gurr, T. (2014). Polity IV Project: Political Regime Characteristics and Transitions, 1800-2002. Center for International Development and Conflict Management; University of Maryland. http://www.cidcm.umd.edu/inscr/polity/index.htm.
Martí Puig, S. (2002). El proceso de desmovilización y “reinserción” de la contra nicaragüense: algunas claves para el análisis de la violencia rural en Nicaragua. Nuevos Temas de Seguridad En América Latina., 83–100.
Mattes, M., & Savun, B. (2009). Fostering Peace after Civil War: Commitment Problems and Agreement Design. International Studies Quarterly, 53(3), 737-759. https://doi.org/10.1111/j.1468-2478.2009.00554.x
Matveeva, A. (2012). Tajikistan: DDR in a Context of Authoritarian Peace. In In A. Giustozzi (Ed.), post-conflict disarmament, demobilization and reintegration: bringing state-building back in (pp. 29-39). Ashgate Publishing.
Merriam-Webster. (2004). Merriam-Webster's Collegiate Dictionary. (11 th ed.). Merriam-Webster.
Muggah, R. (2013). Negotiating Disarmament and Demobilization: A Descriptive Review of the Evidence. Colombia Internacional, (77), 19-41. https://doi.org/10.7440/colombiaint77.2013.02
Munive, J., & Jakobsen, S. F. (2012). Revisiting DDR in Liberia: Exploring the Power, Agency and Interests of Local and International Actors in the ‘Making’ and ‘Unmaking’ of Combatants. Conflict, Security & Development, 12(4), 359-385. https://doi.org/10.1080/14678802.2012.724792
Organization of American States (OAS). (2007). Octavo informe trimestral del secretario general al consejo permanente sobre la misión de apoyo al proceso de paz en Colombia (MAPP/OEA). OAS.
Özerdem, A. (2002). Disarmament, Demobilisation and Reintegration of Former Combatants in Afghanistan: Lessons Learned from a Cross-Cultural Perspective. Third World Quarterly, 23(5), 961-975. https://doi.org/10.1080/0143659022000028558
Przeworski, A. (2004). Democracy and Economic Development. In E. Mansfield, & Sisson, R. (Eds.), The Evolution of Political Knowledge. Democracy, Autonomy and Conflict in Comparative and International Politics. The Ohio State University Press.
Richards, J. (2013). Demobilization in the DRC armed groups and the role of organizational control. Armed Actors Issue brief, 1, 1-16. http://www.smallarmssurvey.org/fileadmin/docs/G-Issue-briefs/SAS-AA-IB1-DDR-in-the-DRC.pdf
Richmond, O. P. (2010). A Genealogy of Peace and Conflict Theory. In O. P. Richmond (Eds.), Palgrave Advances in Peacebuilding (pp. 14-38). Palgrave Macmillan.
Rudloff, P., & Findley, M. G. (2016). The Downstream Effects of Combatant Fragmentation on Civil War Recurrence. Journal of Peace Research, 53(1), 19-32. https://doi.org/10.1177/0022343315617067
Sambanis, N. (2007 ). Short-Term And Long-Term Effects Of United Nations Peace Operations. World Bank.
Samset, I. (2013). Explaining Variation in Violence after Civil War: A Comparative Analysis of Angola (2002-2009) and the Democratic Republic of Congo (2003-2010) [Unpublished doctoral dissertation]. University of Bergen.
Sisk, T. D. (2013). Statebuilding: Consolidating Peace after Civil War. Polity.
Stedman, S. J. (1997). Spoiler Problems in Peace Processes. International Security, 22(2), 5-53. https://doi.org/10.1162/isec.22.2.5
Stedman, S. J., Rothchild, D. S., & Cousens, E. M. (2002). Ending Civil Wars: the Implementation of Peace Agreements. Lynne Rienner Publishers.
Stock, J. H., & Watson, M. W. (2015). Introduction to Econometrics. Pearson.
Striuli, L. (2012). DDR in Mozambique: A Success without the First D. In A. Giustozzi (Ed.). Post-Conflict Disarmament, Demobilization and Reintegration: Bringing State-Building back in (pp. 41-56). Ashgate Publishing.
Svensson, I. (2014). Conflict Resolution in Civil Wars. In E. Newman & K. Derouen (Eds.), Routledge Handbook of Civil Wars (pp. 363-375). Routledge.
United Nations Disarment, Demobilization, and Reintegration Centre (UNDDR). (2014). The Integrated DDR Standards (IDDRS). United Nations Disarment, Demobilization, and Reintegration Centre
Villarraga, Á. (2015). Los procesos de paz en Colombia, 1982-2014: documento resumen. Fundación Cultura Democrática. http://biblioteca.ucp.edu.co/descargas/core/documentos/2.pdf
Vreeland, J. R. (2008). The Effect of Political Regime on Civil War: Unpacking Anocracy. Journal of Conflict Resolution, 52(3), 401-425. https://doi.org/10.1177/0022002708315594
Walter, B. (1997). The Critical Barrier to Civil Barrier to Civil War Settlement. International Organization, 51(3), 335-364. DOI: https://doi.org/10.1162/002081897550384
Walter, B. (2002). Committing to Peace: The Successful Settlement of Civil Wars. Princeton University Press.
Walter, B. (2009). Bargaining Failures and Civil War. Annual Review of Political Science, 12(1), 243-261. https://doi.org/10.1146/annurev.polisci.10.101405.135301
Walter, B. (2010). Conflict relapse and the sustainability of post-conflict peace. The World Bank.
Wooldridge, J. M. (2010). Econometric Analysis of Cross Section and Panel Data (2nd ed.). MIT Press.
Zartman, W., Kremenyuk, V., Audebert-Lasrochas, P., Beltramino, J., Cede F., Druckman, D., Dupont, C., Gross Stein, J., Lloyd, R., Lyons, T., Meerts, P., Naumkin, V., O'Brien, J., Richarte, M. P., Rosoux, V., Simmons, B., & Zvyagelskaya, I. (2005). Peace Versus Justice: Negotiating Forward- and Backward-Looking Outcomes. Rowman & Littlefield.
Annexes
Annex A. Dataset for DDR analysis
Dependent variable
It is a dummy variable. The dependent variable measures whether the conflict ended after the peace agreement was signed (peace negative). Source: UCDP dyadic dataset and UCDP dyadic Conflict Termination Dataset.
0. No
1. Yes
Peace 2 year: The peace was achieved after two years.
Peace 5 year: The peace was achieved after five years.
It is the time (in years) between the end of the conflict and the start of another war between the same parties.
Description of co-variables
Annex B. Statistical Test - main models
Descriptive statistics
Table 6 and table 7 show the descriptive statistics of the independent and control variables.

Correlation
Table 8 displays the correlation between the key variables. I calculate two types of correlation. The first is called a tetrachoric correlation. It is used to measure rater agreement for binary data. The results show us that there is only a weak association between peace after two years of signature and each stage of DDR. The association between the variable after five (5) years is still weak. The Pearson correlation corroborates these results.
Multicollinearity
Table 9 summarises the variation inflation factors (VIFs) of the control variables. Note that none of the variables have a VIF above 5, indicating that the controls do not present multicollinearity problems.
Diagnostic test
Table 10 summarises the specification test, goodness of fit, classification, influential observation and coefficient sensitivity. Those tests reveal some influential cases; I estimate the models without these cases. The results do not present important changes.
Annex C. Predict probabilities by control variables
I use the command ‘prgen’ to generate the predict probabilities and to plot the confidence intervals. The probabilities are calculated from min to max ranges of the key variable and the mean of other variables. The results are shown in figure 2 and figure 3.


Annex D. Other models




Notes
Author notes
a Corresponding author. E-mail: adgonzalezp@unal.edu.co