Protocolo de enfermería para la atención de las pacientes con Hemorragia postparto Ingresadas en UCI
Nursing protocol for the care of patients with postpartum hemorrhage admitted to the ICU
Protocolo de enfermería para la atención de las pacientes con Hemorragia postparto Ingresadas en UCI
Conectividad, vol. 5, núm. 4, Esp., pp. 114-130, 2024
Tecnológico Superior Rumiñahui
Recepción: 19/09/24
Aprobación: 06/12/24
Publicación: 19/12/24
Resumen: La hemorragia obstétrica representa un riesgo vital para las mujeres especialmente la hemorragia postparto (HPP), es una de las principales causas de mortalidad materna a nivel mundial y en Ecuador. Esta puede ocurrir en cualquier etapa del embarazo, durante el parto o, con mayor frecuencia en el posparto. La HPP se clasifica como primaria si ocurre entre las 24 horas, y como secundaria si sucede después de las 24 horas y las 12 semanas posparto. A pesar de los avances médicos, muchos protocolos existentes para su manejo están desactualizados, lo que limita su efectividad. El objetivo de esta investigación es determinar el protocolo de enfermería para la atención de las pacientes con Hemorragia postparto Ingresadas en UCI. Este estudio se centró en la revisión exhaustiva de 19 documentos, incluidas guías, protocolos clínicos, tesis y otros textos relacionados con el objetivo de proponer un protocolo actualizado basado en la evidencia más reciente en el manejo de HPP en unidades de cuidados intensivos (UCI). Los hallazgos resaltan la importancia de estandarizar las prácticas de enfermería, lo que permitiría mejorar la atención, prevenir complicaciones y reducir las tasas de mortalidad asociadas a la HPP.
Palabras clave: Hemorragia Postparto, Shock Hipovolémico, Mortalidad Materna, Intervenciones de Enfermería.
Abstract: Obstetric hemorrhage represents a vital risk for women, especially postpartum hemorrhage (PPH), it is one of the main causes of maternal mortality worldwide and in Ecuador. This can occur at any stage of pregnancy, during childbirth or, more frequently, in the postpartum period. PPH is classified as primary if it occurs between 24 hours, and as secondary if it occurs after 24 hours and 12 weeks postpartum. Despite medical advances, many existing protocols for its management are outdated, limiting their effectiveness. The objective of this research is to determine the nursing protocol for the care of patients with postpartum hemorrhage admitted to the ICU. This study focused on the exhaustive review of 19 documents, including guidelines, clinical protocols, theses and other related texts with the objective of proposing an updated protocol based on the most recent evidence in the management of PPH in intensive care units (ICU). The findings highlight the importance of standardizing nursing practices, which would improve care, prevent complications, and reduce mortality rates associated with PPH.
Keywords: Postpartum Hemorrhage, Hypovolemic Shock, Maternal Mortality, Nursing Interventions.
Citar como:
Masache Novillo, Y. del C., Chávez Carrión, A. J., & Mejías de Duarte, M. (2024). Protocolo de enfermería para la atención de las pacientes con Hemorragia postparto Ingresadas en UCI. CONECTIVIDAD, 5(4), 114–130. https://doi.org/10.37431/conectividad.v5i4.180
INTRODUCCIÓN
La hemorragia obstétrica es un peligro para la vida de las mujeres, que puede ocurrir en cualquier momento del embarazo, ya sea antes, durante o, con mayor frecuencia, después del parto. Se clasifica como hemorragia postparto cuando se pierde más de 500 ml de sangre tras un parto vaginal, o más de 100 ml tras una cesárea (Karlsson & Pérez Sanz, 2009). Esta condición se divide en hemorragia postparto primaria, que ocurre dentro de las primeras 24 horas, y hemorragia postparto secundaria, que se presenta hasta 12 semanas después del parto (Belfort, M. 2018). La mayoría de los casos de hemorragia postparto son tempranos, es decir, ocurren en las primeras horas tras el parto. Se estima que a nivel global la morbilidad materna puede alcanzar los 530,000 casos, de los cuales una cuarta parte son causados por hemorragias obstétricas (Columbie Fariñes et al., 2019).
La hemorragia postparto (HPP) es una de las principales complicaciones obstétricas graves y se encuentra entre las cinco principales causas de mortalidad materna mundial. En países en vías de desarrollo, es la principal causa de muerte materna, y en Ecuador ocupa el segundo lugar (Cruz Gabriela & Flores Marvin, 2020). Según la OMS, la atonía uterina es la causa principal de HPP, representando el 25% de los casos, seguida de infecciones (15%), abortos inseguros (13%), trastornos hipertensivos (12%), causas indirectas (20%), complicaciones relacionadas con el parto (8%) y otras causas directas (8%) (Córdova et al., 2021).
Aunque existen protocolos institucionales e internacionales para controlar la hemorragia postparto y reducir la mortalidad y las complicaciones, muchas de estas guías están desactualizadas, ya que fueron elaboradas hace años. Esto subraya la necesidad de actualizar la información y proponer un protocolo moderno para la atención de pacientes con hemorragia postparto en la unidad de cuidados intensivos (UCI). Esto contribuirá a mejorar la calidad del cuidado de estas pacientes y optimizar el desempeño del personal de salud en situaciones de emergencia.
El propósito de esta investigación es determinar un protocolo de enfermería para la atención de pacientes con hemorragia postparto ingresadas en UCI. Los objetivos generales son: primero, comparar las guías y protocolos existentes para el manejo de hemorragia postparto en UCI; segundo, identificar las intervenciones de enfermería aplicadas en el cuidado de estas pacientes; y finalmente, diseñar un protocolo actualizado para la atención de enfermería en este contexto.
MATERIALES Y MÉTODOS
La investigación se realizó mediante un enfoque documental con análisis cualitativo. Se llevó a cabo una revisión de guías, protocolos, tesis y artículos científicos tanto nacionales como internacionales, que abordan los cuidados de enfermería en pacientes con hemorragia postparto ingresadas en la unidad de cuidados intensivos (UCI). La búsqueda de información se efectuó en bases de datos como Scielo, Google Académico y PubMed. Los criterios de inclusión fueron publicaciones recientes, la última guía práctica clínica del Ministerio de Salud Pública del Ecuador sobre "Prevención, Diagnóstico y Tratamiento de la Hemorragia Postparto", y la relevancia y aplicabilidad de los contenidos para el cuidado de pacientes con hemorragia postparto.
Para la recolección de datos, se diseñó una matriz en Excel que incluyó: el año de publicación, el tipo de documento (guía o artículo), el tipo de estudio, el título del documento, los cuidados propuestos y la referencia correspondiente.
El análisis de la información se realizó mediante un método de comparación entre las guías encontradas, seguido de un análisis de los artículos, identificando los criterios de actuación y los diagnósticos con sus respectivos cuidados. Además, se llevó a cabo un análisis crítico para identificar las fortalezas y debilidades de las guías, así como las áreas que requieren actualización. Este enfoque metodológico permitió una comprensión profunda y detallada de los cuidados de enfermería para pacientes con hemorragia postparto en la UCI. Tras este análisis, se procedió a elaborar una estructura detallada del protocolo de atención de enfermería para pacientes con hemorragia postparto en UCI, con el objetivo de mejorar la calidad del cuidado.
RESULTADOS
Se revisaron 19 documentos, entre los que se incluyen tesis, artículos, guías y protocolos, todos centrados en los cuidados proporcionados por el personal de enfermería en la unidad de cuidados intensivos a pacientes con hemorragia postparto. Cada uno de estos documentos ofrece información detallada y relevante sobre los diagnósticos, procedimientos y mejores prácticas para el manejo de pacientes en situaciones de emergencias obstétricas. (Tabla 1).
| Categoría profesional | Formato de publicación | Nro. de Documentos investigados | Base de datos | Tipos de estudio | Población |
| Titular | Articulo | 8 | Scielo, BioMed, Repostorios de la Universidad del Rosario, Cantabria, Cuenca, Scopus, Google académico | Estudios de cohortes prospectivo cualitativas, cuantitativas, revisión sistemática | Mujeres en el período posparto desde las primeras 24 horas hasta las 6 o 12 semanas después del parto |
| Tesis/Tesinas | 5 | ||||
| Guías | 4 | ||||
| Protocolos | 2 | ||||
Se llevaron a cabo comparaciones entre 4 guías y 2 protocolos (tabla 2) orientados al manejo de pacientes con hemorragia postparto, los cuales fueron elaborados en Ecuador, Bogotá, México, El Salvador, República Dominicana y España. En cuanto a las fechas de publicación, se observó que la guía más reciente en Ecuador data de 2013, al igual que el protocolo de República Dominicana, seguida por la de Bogotá en 2015, México en 2018, y El Salvador y España en 2023.
Los documentos revisados presentaban enfoques cualitativos, descriptivos, transversales y retrospectivos, basados en la revisión de la literatura. La información se centra en los cuidados esenciales que el personal de enfermería debe proporcionar a las mujeres con hemorragia postparto, con el objetivo de reducir las incidencias y errores durante las intervenciones. Además, buscan estandarizar los lineamientos para un manejo oportuno de la hemorragia postparto
| Guías\Protocolos | Guía clínica práctica - Prevención Diagnóstico y tratamiento de la hemorragia postparto (MSP,2013) | Guía de cuidado de enfermería a la mujer en el periodo postparto (Secretaría Distrital de Salud,2015) | Guía Práctica Clínica - Prevención y Manejo de la Hemorragia Postparto en el primero, segundo y tercer nivel de atención, Actualización 2018 (García et al., 2018) | Guía técnica: Guía de práctica clínica para el diagnóstico y manejo de la hemorragia postparto en el hospital de emergencias Villa el Salvador (Hospital de Emergencias Vila el Salvador,2023) | Protocolo de atención para la prevención y el manejo de la hemorragia postparto primaria (HPPP) (Guidance,2013) | Hemorragia postparto precoz (Hospital Universitario Virgen de las Nieves,2023) |
| País | Ecuador | Bogotá | México | El Salvador | República Dominicana | España |
| Idioma | Español | Español | Español | Español | Español | Español |
| Tipo de Estudio | Tesis (Cualitativa y cuantitativa) | Estudio de cohortes prospectivo (Cualitativa | Estudio descriptivo, transversal, retrospectivo | Revisión sistemática (Cualitativa) | Estudio cualitativo (protocolo) | Estudio cualitativo (protocolo) |
| Base de datos | Google Académico | Google Académico | Google Académico | PubMed | Google Académico | Google Académico |
| Palabras de búsqueda | Prevención hemorragia postparto, clave roja | Hemorragia posparto, cuidados de enfermería | Hemorragia postparto | Hemorragias postparto inmediatas | Protocolo, hemorragias postparto | Manejo de HPP, clave rojo |
| Población | Pacientes que presentan Hemorragia Posparto. | Mujeres en el periodo posparto | Pacientes diagnosticadas con hemorragia obstétrica durante el período de enero a diciembre de 2018. | Médicos y médicas generales, obstetricia y ginecología, emergenciólogos, personal de enfermería y paramédico. | Mujeres que se encuentran en el periodo de puerperio o que experimentan episodios de hemorragia postparto. | Mujeres de diversas edades, con diferentes antecedentes médicos y obstétricos, que están en el periodo periparto o postparto inmediato. |
| Metodología | Fue elaborada mediante la metodología ADAPTE | Encuestas a gestantes y revisión de la literatura. Búsqueda y síntesis de evidencia: Identificación de estudios relevante | Se consideraron los expedientes de pacientes diagnosticadas con hemorragia obstétrica entre enero y diciembre de 2018. | La metodología del trabajo descrito en el documento está claramente orientada a La administración y manejo de la hemorragia postparto en las unidades de atención del Hospital de Emergencias Villa El Salvador. | La metodología aplicada fue de revisar literatura y guías de práctica clínica | Identificación de factores de riesgo, prevención mediante manejo activo del parto |
| Contribución de la información a la investigación | Promueve prácticas actualizadas para reducir complicaciones y mejorar la calidad del cuidado y permite | Principales diagnósticos de enfermería en pacientes con hemorragia postparto. | El apego de la Guía de Práctica Clínica “Prevención y Manejo de la Hemorragia Postparto en el primero, segundo y tercer nivel de atención, Actualización 2018” en el Hospital General de Zona No. 20 Puebla | Identificamos los cuidados de enfermería que se debe brindar, según el tratamiento que necesite la paciente según su origen de hemorragia posparto. | Uniformizar los procedimientos para la prevención y el manejo adecuado de la hemorragia postparto primaria en las pacientes, por parte de los profesionales encargados de la atención al parto, aplicando intervenciones fundamentadas en la mejor evidencia disponible. | Nos ayuda a identificar prácticas eficaces, estandarizar el tratamiento, y evaluar la implementación de intervenciones preventivas y terapéuticas en entornos clínicos. |
El análisis de las guías y protocolos permitió identificar las intervenciones de enfermería utilizadas en el manejo de la hemorragia postparto en pacientes hospitalizadas en la UCI. Las guías indican que los cuidados e intervenciones están dirigidos a todo el personal de salud (enfermeras y médicos). Entre las principales intervenciones realizadas por el personal de enfermería se incluyen:
Moviliza urgente del personal, colocación de dos vías intravenosas grandes, tratamiendo del shock y realización de masaje uterino (Ministerio de Salud Pública, 2013)
Administración de lactato de Ringer, orden de hemoderivados y registro de eventos en el formato de código rojo (Secretaría Distrital de Salud, 2015).
Administración de medicamento uterotónicos, monitorización hemodinámica, revisión frecuente de la paciente y profilaxis con ergonovina y misoprostol (Hospital de Emergencias Villa del Salvador, 2023).
Administración de fluidoterapia y transfusión, administración de uterotónicos y ácido tranexámico, y prevención de la hipotermia (Ministerio de Salud Pública, 2016).
En cuanto a los protocolos, estos se centran exclusivamente en las acciones y cuidados que debe realizar el personal de enfermería para pacientes con hemorragia postparto ingresadas en la UCI. Incluyen directrices clave para la atención de mujeres con hemorragia postparto en la sala de puerperio (Gámez Hernández, 2017). El protocolo del Hospital Universitario Virgen de las Nieves presenta diagnósticos posibles, cada uno con sus respectivas intervenciones para manejar la hemorragia postparto, destacando la necesidad de actuar de forma secuencial y rápida una vez diagnosticada la HPP (Bermejo Bravo, 2020). Desde el inicio, el tratamiento debe enfocarse en dos aspectos: el soporte vital de la paciente y la identificación del foco hemorrágico. Es fundamental tener en cuenta los diagnósticos y las intervenciones propuestas para el cuidado adecuado de la paciente con HPP. (Tabla 3).
| Principales Cuidados e intervenciones de enfermería de guías | Informe sobre la situación y coordine la movilización inmediata de todo el personal disponible. | |
| Cateterizar vías intravenosas de gran calibre preferiblemente números (16G o 14G) | ||
| Si no se dispone de sangre para transfusión, se puede continuar con la administración de soluciones coloides, hasta un volumen de 1,5 litros. | ||
| Si sospecha shock, inicie tratamiento inmediata mente. | ||
| Comience con el masaje uterino bimanual como medida inicial para controlar el sangrado, mientras prepara simultáneamente el tratamiento farmacológico. | ||
| Canalizar segunda vía de acceso venoso calibre 14 o 16. | ||
| Obtener muestras de sangre. | ||
| Administrar 500 cm³ de Lactato de Ringer en bolo, caliente, y continuar la infusión según la indicación verbal del médico. | ||
| Emitir la orden escrita para los hemoderivados según la indicación verbal del ginecólogo. | ||
| Registrar los eventos con la hora correspondiente en el formato institucional para la activación del código rojo. | ||
| Preparar y administrar los medicamentos uterotónicos conforme a los protocolos institucionales establecidos. | ||
| Seguimiento de los parámetros hemodinámicos. | ||
| Medición del volumen de sangre perdido por vía vaginal. | ||
| Valoración del tono del útero. | ||
| Durante la primera hora del puerperio, realizar un seguimiento de la paciente cada 15 minutos. | ||
| Se sugiere administrar ergonovina 0.2 miligramos por vía intramuscular y misoprostol a una dosis de 600 microgramos por vía oral como medida preventiva para evitar la hemorragia postparto. | ||
| Luego, se realizará una revisión cada 30 minutos durante las primeras dos horas del puerperio, y posteriormente, entre 4 y 8 horas según la evolución de la paciente, hasta su alta. | ||
| Colocar dos vías periféricas número 16 o 18 fluidoterapia | ||
| Transfusión de hemoderivados | ||
| Administración de uterotónicos | ||
| Administración de ácido tranexámico | ||
| Sonda foley y permeable | ||
| Evitar la hipotermia | ||
| Principales Cuidados de enfermería de protocolos | Valoración de la mujer con hemorragia posparto en la sala de puerperio | Colocar al recién nacido con un familiar o bajo la atención del servicio de neonatología. |
| Detectar y abordar la causa del sangrado, y continuar con el tratamiento según el origen identificado. | ||
| Transferir a la paciente al área de procedimientos y manejo de sangrado. | ||
| Insertar una sonda vesical y monitorizar la diuresis. | ||
| Administrar 5 UI de oxitocina por vía intravenosa lenta, diluida en 500 ml de solución cristaloide, a infundir durante un período de cuatro horas. | ||
| Descartar un trastorno de la coagulación realizando las pruebas sanguíneas correspondientes. Monitorizar clínicamente al paciente cada 30 minutos durante las primeras 4 horas del posparto, luego cada hora durante las siguientes 4 horas y, posteriormente, cada hora durante 24 horas postparto. | ||
| Descartar posibles trastornos de coagulación mediante la realización de las pruebas sanguíneas necesarias. Realizar un monitoreo clínico del paciente cada 30 minutos durante las primeras 4 horas postparto, luego cada hora durante las siguientes 4 horas y, a continuación, cada hora durante 24 horas. | ||
| Cuidados post cesárea de la mujer | Activar el código rojo o informar al personal del área correspondiente. | |
| Mover a la mujer a la sala de procedimientos. | ||
| Involucrar al servicio de anestesiología, identificar y documentar las condiciones clínicas de la paciente. | ||
| Incorporar al servicio de anestesiología, reconocer y registrar las condiciones clínicas de la paciente. | ||
| Gestionar la hemorragia perioperatoria de acuerdo con la causa específica. | ||
| Evaluación de la mujer en la sala de Unidades de Cuidados Intensivos. | Gestión sofisticada del impacto hipovolémico | |
| Una vez detectada la HPP, es necesario proceder de forma secuencial y ágil. Desde el comienzo, el tratamiento debe enfocarse en dos aspectos: el respaldo vital de la paciente y la identificación del foco de hemorragia. | ||
| En caso de ser diagnosticado con una HPP severa, se deben tener al menos un FEA de Anestesia, 2 matronas, 2 TCA Es y un FEA de Ginecología. | ||
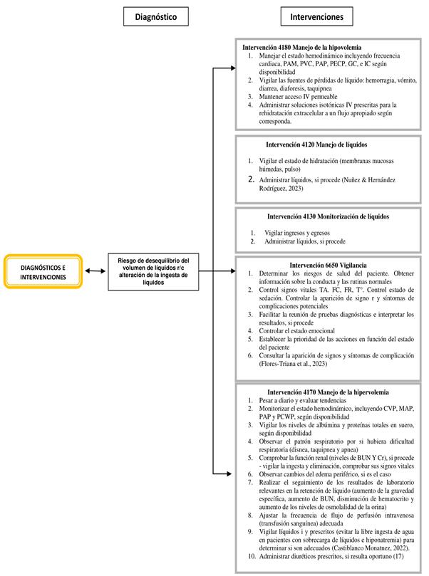
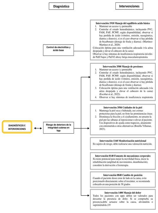
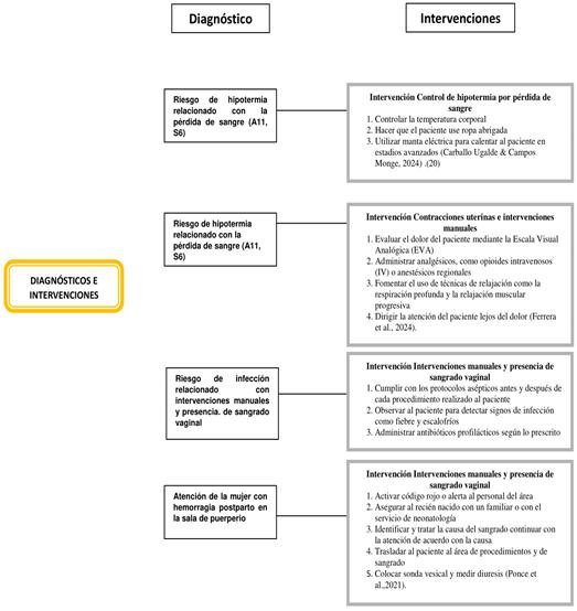
Con la información recolectada, se desarrollo un protocolo integral para el cuidado de enfermería en pacientes con hemorragia postparto ingresadas en la unidad de cuidados intensivos. Este protocolo está diseñado para guiar al personal de salud en la implementación de prácticas estandarizadas y eficaces para el manejo de esta condición crítica. A continuación, se presentan directrices para el cuidado de la paciente con HPP en la hospitalizada en la UCI (Figura 1).






DISCUSIÓN
La comparación de las directrices y protocolos centrados en el cuidado que el personal sanitario proporciona a pacientes con hemorragia postparto que han sido admitidos en la unidad de cuidados intensivos (UCI), supone un reto considerable. Con la finalidad de abordar este desafío, se realizó una exhaustiva revisión bibliográfica de una variedad de documentos, especialmente se compararon 6 documentos, dentro de ello 4 guías y 2 protocolos encontrados. Proceso que es esencial para estandarizar los cuidados y garantizar la mejor práctica clínica del personal de enfermería. A pesar de la riqueza de información, es importante evaluar la efectividad y actualización de estos documentos para asegurar que reflejan las últimas investigaciones y prácticas recomendadas. Este enfoque permitirá al personal de enfermería mejorar la calidad del cuidado a las pacientes y reducir las complicaciones.
En otro estudio, se identificó que aplicaron una metodologia similar a la nuestra como es la revision bibliográfica para identificar documentacion sobre hemorragia postparto precoz. Enfatizando la gestión activa de la tercera fase del parto con oxitocina, es el método más aconsejable para evitar la HPP temprana, mientras que su tratamiento eficaz implica la aplicación de oxitocina y ácido tranexámico (Sarango Malla & Gutiérrez Barragán, 2024). La revisión bibliografía nos proporciona una base sólida para actualizar y estandarizar los cuidados en pacientes con HPP en la UCI, basadas en la evidencia disponible. Además, Zavala et al., (2022) coincide con nosotros mencionado que la hemorragia postparto es una de las causas de muertes maternas a nivel mundial. Conocer los factores de riesgo y las causas de HPP es esencial para prevenir y manejar esta complicación. Por ello es fundamental contar con protocolos actualizados y adaptados a las circunstancias específicas de cada institución para mejorar la prevención, diagnóstico y tratamiento, con el fin de reducir la mortalidad materna.
El reconocimiento de las acciones e intervenciones que lleva a cabo el equipo de enfermería en pacientes con hemorragia postparto que se encuentran en la Unidades de Cuidados Intensivos resalta la relevancia para evitar complicaciones durante la hemorragia postparto. Estas intervenciones comprenden el monitoreo constante de signos vitales para identificar alteraciones en la hemodinámica, el masaje uterino para fomentar la contracción del útero, y la aplicación de uterotónicos como la oxitocina intramuscular, que ha probado disminuir la hemorragia postparto por atonía uterina, entre otras medidas. A pesar de estas acciones, resulta relevante la instalación de un acceso intravenoso de gran calibre, la administración de hemoderivados y la regulación de la diuresis, así como el respaldo emocional a la madre y su familia (Rivera Fumero et al., 2020).
Este enfoque multidisciplinario y coordinado proporciona una base sólida para establecer procedimientos claros y directrices específicas para el manejo de la HPP en la UCI de manera eficaz. Para ello, los protocolos son una herramienta valiosa para el manejo de la HPP. Entre las intervenciones fundamentales que deben ser adaptadas según el contexto clínico y las necesidades específicas de cada paciente se incluyen la administración de fluidos y medicamentos, el monitoreo hemodinámico intensivo y la prevención de la hipotermia. La integración de estas estrategias puede mejorar significativamente los resultados y la recuperación de las pacientes con HPP en la UCI.
El estudio de los rasgos personales, obstétricos y clínicos de las pacientes con morbilidad materna extrema muestra patrones particulares que pueden afectar la administración clínica. Los datos obtenidos de este estudio sobre morbilidad materna extrema subrayan la relevancia de ajustar las intervenciones según las particularidades individuales de las pacientes. La administración de fluidos y fármacos, el seguimiento intensivo de la hemodinámica y la prevención de la hipotermia son acciones esenciales que necesitan ser personalizadas para optimizar los resultados y la recuperación en la Unidades de Cuidados Intensivos (Jorge-Chahuayo et al., 2021).
La atonía uterina es la principal causa de hemorragia, donde el manejo debe seguir protocolos estandarizados que incluyan el uso de uterotónicos (oxitocina, el misoprotol, ergometrina/metilergometrina, etc). Según las directrices nacionales e internacionales (Ministerio de Salud,2020). Además, estos medicamentos deben ser administrados con una vigilancia continua y la preparación para intervenciones adicionales debido a las complicaciones graves como el choque hipovolémico, la insuficiencia renal aguda y la sobrecarga hídrica pulmonar (Flores Paredes & Benítez Osorio, 2022).
Asimismo, existe la necesidad de mantener y actualizar los protocolos de manejo en la UCI, integrando la información más reciente y adaptando las estrategias a las características específicas de cada paciente. La integración de enfoques basados en evidencia y la mejora continua de las prácticas clínicas son esenciales para reducir la morbilidad y mortalidad asociadas a la hemorragia obstétrica severa, garantizando así una atención de alta calidad para las pacientes en situaciones críticas.
CONCLUSIONES
· Esta investigación permitió llevar a cabo una revisión exhaustiva de tesis, tesinas, artículos científicos, guías y protocolos, así como la comparación detallada de las guías, protocolos enfocados en la valoración de los profesionales de cuidadores de la salud para pacientes con hemorragia postparto en la UCI. Esta comparación fue clave para identificar diferencias y similitudes en los documentos analizados, proporcionándonos una visión integral de las mejores prácticas para optimizar el cuidado y los hallazgos clínicos en estas situaciones críticas.
· La investigación nos permitió utilizar diversas bases de datos (Scopus, Google académico, Scielo, BioMed, etc), para realizar una revisión minuciosa de las diversas fuentes académicas y clínicas enfocadas en la atención de enfermería para pacientes que sufren hemorragias postparto en la Unidades de Cuidados Intensivos.
· El análisis de las guías y protocolos para el manejo de pacientes con hemorragia postparto ingresadas en las UCI destacan la necesidad de intervenciones rápidas y coordinadas entre el personal de enfermería y médicos. Las prácticas recomendadas incluyen la activación de un "código rojo” lo cual incluye movilizar urgente el equipo de salud de las diferentes disciplinas (ginecólogo, anestesiólogo, laboratoristas, etc), así como colocar vías intravenosas, administrar medicamentos uterotónicos, fluidoterapia y transfusiones, y llevar a cabo un constante monitoreo hemodinámico. Además, es fundamental mantener una vigilancia rigurosa en las primeras horas postparto son fundamentales para una atención efectiva Este enfoque integral y la adherencia a los protocolos son esenciales para reducir la morbilidad y mortalidad materna, garantizando mejores resultados clínicos en situaciones críticas.
· El protocolo creado para el cuidado de enfermería en pacientes con hemorragias postparto que han sido ingresados en la Unidades de Cuidados Intensivos (UCI) es un recurso crucial que aspira a incrementar la calidad y la eficacia de la atención en circunstancias críticas. Este protocolo ofrece un esquema bien definido y organizado que orienta al equipo de enfermería en la detección exacta de los diagnósticos enfermeros, los cuales facilitan la puesta en marcha de intervenciones apropiadas y el seguimiento constante del estado clínico de las pacientes. Así, permitiendo al equipo de enfermería tomar decisiones fundamentadas y a tiempo, se puede disminuir la morbilidad y mortalidad materna. Por lo tanto, su puesta en marcha garantiza un cuidado completo y de primera calidad, favoreciendo directamente a pacientes y a sus familiares. La actualización continua de los protocolos de manejo para el personal de enfermería es esencial para adaptar las estrategias a los avances más recientes en la práctica clínica para la atención de pacientes con hemorragia postparto (HPP). Esto ayuda a reducir la morbilidad y mortalidad asociadas y garantiza una atención materna de alta calidad.
REFERENCIAS
Arévalo Ochoa, E. S., & Espinoza Berrezueta, F. P. (2022). Intervenciones de enfermería en pacientes con hemorragia posparto. https://dspace.ucacue.edu.ec/handle/ucacue/16419
Bermejo Bravo, M. G. (2020). Caso Clínico: Plan de Cuidados de Enfermería Estandarizado en Hemorragia Posparto. https://repositorioinstitucional.buap.mx/server/api/core/bitstreams/12eaeba2-bd48-4692-a907-8b0db9b7030b/content
Bonilla Villamar, J. S. (2023). Interpretación de los cuidados de enfermería en pacientes obstétricas con síndrome de hellp de la unidad de cuidados intensivos [masterThesis]. https://dspace.uniandes.edu.ec/handle/123456789/17430
Carballo Ugalde, S., & Campos Monge, R. (2024). Revisión bibliográfica del conocimiento sobre el manejo de la clave roja obstétrica frente a una hemorragia post parto por parte del personal de enfermería. https://hdl.handle.net/10669/91459
Castiblanco Monatnez, R. A. (2022). Hemorragia postparto: Intervenciones y tratamiento del profesional de enfermería para prevenir shock hipovolémico. 13. http://www.scielo.org.co/scielo.php?pid=S2216-09732022000100009&script=sci_abstract&tlng=es
Columbie Fariñes, T., Pérez Castillo, R., & Cordero Gonzales, Y. (2019). Factores asociados a la hemorragia obstétrica en el postparto inmediato: Hospital Juan Bruno Zayas. Revista Médica Sinergia. 4.
Córdova, M. C. A., Ramírez, T. M. L., Vera, A. J. V., & Briones, W. V. V. (2021). Causas de hemorragia postparto. RECIMUNDO, 5(1), Article 1. https://doi.org/10.26820/recimundo/5.(1).enero.2021.191-206
Cruz Gabriela & Flores Marvin. (2020). “GUÍA DE ATENCIÓN DE HEMORRAGIA POST PARTO.
Escobar, M. F., Nassar, A. H., Theron, G., Barnea, E. R., Nicholson, W., Ramasauskaite, D., Lloyd, I., Chandraharan, E., Miller, S., Burke, T., Ossanan, G., Andres Carvajal, J., Ramos, I., Hincapie, M. A., Loaiza, S., Nasner, D., & FIGO Safe Motherhood and Newborn Health Committee. (2022). FIGO recommendations on the management of postpartum hemorrhage 2022. International Journal of Gynaecology and Obstetrics: The Official Organ of the International Federation of Gynaecology and Obstetrics, 157 Suppl 1(Suppl 1), 3-50. https://doi.org/10.1002/ijgo.14116
Ferrera, I. P., Martínez, M. S., Bermudes, G. G., & Espangler, L. G. (2024). Plan de cuidados de enfermería en puérperas con hemorragia en la unidad de cuidados intensivos. Revista Cubana de Medicina Militar, 53(1), Article 1.
Flores Paredes, R. G., & Benítez Osorio, N. Y. (2022). Caracterización clínica de las pacientes con hemorragia obstétrica severa que ingresaron a UCI del Hospital Nacional San Juan de Dios de San Miguel, en el período comprendido de Enero a Julio de 2019 [Postdoctoral, Universidad de El Salvador]. https://oldri.ues.edu.sv/id/eprint/29155/
Flores-Triana, M. R. de F., Hernández-Gómez, L. R., & Palacios-Quintanilla, E. M. (2023). Factores de mal pronóstico para histerectomía obstétrica en pacientes con hemorragia postparto, Unidad de Cuidados Intensivo, Hospital Amistad Japón Nicaragua, Granada, 2019-2023. [Bachelor, Universidad Católica Redemptoris Mater]. https://repositorio.unica.edu.ni/151/
Gámez Hernández, E. (2017). Proceso Cuidado Enfermero a Paciente con Hemorragia Post Evento Obstétrico por Atonía Uterina [Thesis, Facultad de Enfermería y Nutrición]. https://repositorioinstitucional.uaslp.mx/xmlui/handle/i/4580
Hospital de Emergencias Villa el Salvador. (2023). Guía Técnica: Guía Práctica Clínica para el diagnóstico y manejo de la hemorragia postparto en el Hospital de emergencias villa el Salvador. Guía Clínica Práctica. Departamento de Salud.
Jorge-Chahuayo, M., Vilca-Aponte, E., & Jaurapoma-Lizana, E. (2021). Morbilidad materna en la unidad de cuidados intensivos en un hospital de Huancavelica, Perú. Revista Internacional de Salud Materno Fetal, 6(2), Article 2. https://doi.org/10.47784/rismf.2020.5.2.83
Karacan. (2024). Evaluación de la calidad de los planes de atención de enfermería para la hemorragia posparto generados por modelos de inteligencia artificial.
Karlsson, H., & Pérez Sanz, C. (2009). Hemorragia postparto. Anales del Sistema Sanitario de Navarra, 32, 159-167.
Martínez-Martínez, C., Aguirre-Villanueva, Cepeda-Nieto, A. C., Martínez-Martínez, C., Aguirre-Villanueva, & Cepeda-Nieto, A. C. (2020). Morbilidad y mortalidad asociadas con protocolos de transfusión masiva en hemorragia obstétrica severa. Ginecología y obstetricia de México, 88(10), 675-685. https://doi.org/10.24245/gom.v88i10.4347
Ministerio de Salud Pública. (2016). Protocolo de atención para la prevención y el manejo de la hemorragia posparto primaria (HPPP).https://platform.who.int/docs/default-source/mca-documents/policy-documents/operational-guidance/DOM-MN-32-01-OPERATIONAL-GUIDANCE-2013-esp-Protocolo-hemorragia-postarto-primaria.pdf
Ministerio de Salud Pública. (2013). Prevención, dianóstico y tratamiento de la hemorragia posparto. https://www.salud.gob.ec/wp-content/uploads/2016/09/Gu%C3%ADa-de-hemorragia-postparto.pdf
Ministerio de Salud. (2020). Guía de práctica clínica para el uso de uterotónicos en la prevención de la hemorragia posparto. Gobierno el Salvador
Nuñez Burbano, M. J., & Hernández Rodríguez, C. (2023). Caracterización de las Pacientes con Hemorragia Posparto en el Centro Policlínico del Olaya entre 2015—2020. https://doi.org/10.48713/10336_40246
Ponce-Pilozo, M. J., Zapata-Mata, M. A., Cárdenas-Chávez, A. B., & Parra-Conforme, W. G. (2021). Manejo de la hemorragia severa post-parto por atonía uterina. Dominio de las Ciencias, 7(4), Article 4. https://doi.org/10.23857/dc.v7i4.2470
Rivera Fumero, S., Chacón González, S., & González Chavarría, A. (2020). Hemorragia posparto primaria: Diagnóstico y manejo oportuno. 5(6). https://doi.org/10.31434/rms.v5i6.512
Sarango Malla, A. D., & Gutiérrez Barragán, M. A. (2024). Hemorragia posparto precoz: Actualización de prevención y manejo. https://dspace.ucuenca.edu.ec/handle/123456789/44814
Secretaria Distrital de Salud. (2015). Guía de cuidado de enfermería a la mujer en el periodo posparto. file:///C:/Users/USUARI~1/AppData/Local/Temp/Guia%20posparto.pdf
Zavala, R. S., Betancourth, M. A. O., Pazmiño, N. J. V., & Intriago, M. R. E. (2022). Hemorragias obstétricas. RECIAMUC, 6(2), Article 2. https://doi.org/10.26820/reciamuc/6.(2).mayo.2022.287-295
Información adicional
redalyc-journal-id: 7778