Efecto de la adición de fitoesteroles en las características sensoriales de una bebida láctea destinada a personas adultas con hipercolesterolemia
Effect of Phytosterol Addition on the Sensory Characteristics of a Dairy Beverage Intended for Adults with Hypercholesterolemia
Efecto de la adición de fitoesteroles en las características sensoriales de una bebida láctea destinada a personas adultas con hipercolesterolemia
Conectividad, vol. 6, núm. 1, pp. 1-20, 2025
Tecnológico Superior Rumiñahui

Recepción: 18 Diciembre 2024
Aprobación: 06 Enero 2025
Publicación: 23 Enero 2025
Resumen: El hipercolesterolemia es responsable de 2,6 millones de muertes anuales según la OMS, es un problema de salud crítico en Ecuador. Este estudio desarrolló un yogurt con fitoesteroles como alternativa funcional para combatir este padecimiento. Se utilizó un diseño experimental multicategórico para evaluar el efecto de dos variables: tipo de emulsificante (monoglicéridos destilados al 2% y lecitina de soya al 0.3%) y tiempo de fermentación (6 y 12 horas) en la granulosidad y aceptabilidad del yogurt. Se realizaron análisis sensoriales y estadísticos (ANOVA) para evaluar estas características. Los resultados no mostraron diferencias estadísticamente significativas en la aceptabilidad o granulosidad del yogurt en relación con las variables estudiadas (p > 0.05). El producto final contiene 1,5 g de fitoesteroles por porción de 200 g, cumpliendo con la cantidad funcional recomendada diariamente (1500 mg/día) para obtener los beneficios hipocolesterolémicos. El análisis nutricional y el semáforo nutricional indicaron que el yogurt es medio en azúcar y grasa, y bajo en sal. Se desarrolló una etiqueta conforme a la normativa NTE INEN 1334-1. Este yogurt funcional representa una alternativa prometedora para mejorar la salud cardiovascular, combinando los beneficios de los probióticos y los fitoesteroles en un solo alimento.
Palabras clave: Fitoesterol, Yogurt, Hipercolesterolemia, Alimento funcional.
Abstract: Hypercholesterolemia, responsible for 2.6 million annual deaths according to the WHO, is a critical health problem in Ecuador. This study developed a yogurt enriched with phytosterols as a functional alternative to combat this condition. A multicategorical experimental design was used to evaluate the effect of two variables: type of emulsifier (2% distilled monoglycerides and 0.3% soy lecithin) and fermentation time (6 and 12 hours) on the yogurt's granulosity and acceptability. Sensory and statistical analyses (ANOVA) were performed to evaluate these characteristics. The results showed no statistically significant differences in the acceptability or granulosity of the yogurt in relation to the studied variables (p > 0.05). The final product contains 1.5 g of phytosterols per 200 g serving, meeting the recommended daily functional amount (1500 mg/day) to obtain hypocholesterolemic benefits. Nutritional analysis and traffic light labelling indicated that the yogurt is medium in sugar and fat, and low in salt. A label was developed in accordance with NTE INEN 1334-1 regulations. This functional yogurt represents a promising alternative to improve the cardiovascular health of the population, combining the benefits of probiotics and phytosterols in a single food.
Keywords: Phytosterol, Yogurt, Hypercholesterolemia, Functional food.
Citar como:
Valdez, V. H., & Tierra, W. (2025). Efecto de la adición de fitoesteroles en las características sensoriales de una bebida láctea destinada a personas adultas con hipercolesterolemia. CONECTIVIDAD, 6(1), 1–20. https://doi.org/10.37431/conectividad.v6i1.233
1. INTRODUCCIÓN
El colesterol es un lípido isoprénico presente en las células del cuerpo y en algunos alimentos procesados. Aunque a menudo se le asocia con problemas cardíacos, es fundamental para diversas funciones corporales, como la producción de hormonas y la formación de membranas celulares. Existen dos tipos principales de colesterol en la sangre: el colesterol LDL (lipoproteína de baja densidad) y el colesterol HDL (lipoproteína de alta densidad). El colesterol LDL, a menudo denominado "colesterol malo," puede acumularse en las paredes de las arterias y formar placas, lo que aumenta el riesgo de enfermedades cardiovasculares. Por otro lado, el colesterol HDL, conocido como "colesterol bueno," favorece la reducción del exceso de colesterol de las arterias y lo transporta al hígado para su eliminación. Mantener un equilibrio adecuado entre estos dos tipos de colesterol es esencial para una buena salud cardiovascular. Cuando la concentración de LDL en sangre sobrepasa los niveles normales en función de la edad de la persona, se adquiere una condición médica conocida como hipercolesterolemia. Cabe indicar que esta condición puede ser adquirida por una incorrecta dieta, así como también puede ser producto de alteraciones genéticas que ocasionan altos niveles de colesterol LDL desde el nacimiento y aumentan el riesgo de enfermedades cardiovasculares prematuras (Merchán, et al., 2016).
Hipercolesterolemia: Antecedentes
Según la Organización Mundial de la Salud (OMS), se estima que la hipercolesterolemia causa alrededor de 2,6 millones de muertes anuales a nivel mundial, convirtiéndose en una de las principales causas de mortalidad global (OMS, 2012). Además, la Organización de las Naciones Unidas para la Alimentación y la Agricultura (FAO) señala que la alta mortalidad asociada con la hipercolesterolemia se debe principalmente al aumento significativo del riesgo de desarrollar cardiopatías isquémicas. Estas enfermedades, que se caracterizan por la obstrucción de las principales arterias del corazón, pueden llevar a condiciones graves como la angina de pecho o el infarto del miocardio (Herrero et al., 2014).
Hipercolesterolemia en el Ecuador
De acuerdo con un estudio realizado por la Organización Panamericana de Salud (OPS), hasta el año 2018 Ecuador era el tercer país de América con mayor nivel de colesterol no saludable respecto a la media de su población masculina, mientras que la población femenina ocupa el segundo lugar. Estos resultados sugieren que Ecuador es uno de los países de América en donde existe mayor riesgo de presentar hipercolesterolemia, razón por la cual, el gobierno debe promover medidas que favorezcan su reducción en la población ecuatoriana (OPS, 2018).
Tratamientos para el hipercolesterolemia
Una dieta equilibrada, así como la actividad física moderada pueden ayudar a mantener el nivel de colesterol bajo control; sin embargo, en personas con hipercolesterolemia fuera de control, el uso de fármacos a base de estatinas puede servir como mecanismo de control y reducción del hipercolesterolemia (Pramparo et al., 2011) además de complementar con actividad física y bajo consumo de alimentos procesados altos en calorías.
Los fitoesteroles como reductores del “colesterol malo” (LDL).
Una forma efectiva de mantener una buena salud cardíaca es mediante la ingesta de alimentos ricos en fitoesteroles, como frutos secos, soya, maíz, leguminosas, verduras entre otros. Los fitoesteroles son compuestos vegetales que tienen la capacidad de reducir los niveles de colesterol LDL en la sangre; sin embargo, en estos alimentos, los fitoesteroles se encuentran en concentraciones relativamente bajas para lograr un efecto significativo en la reducción del colesterol. Con el consumo de estos alimentos, se estima que la ingesta diaria de fitoesteroles se limita a aproximadamente 160-500 mg/día (Silva et al., 2016) mientras que el consumo recomendado se sitúa entre los 1500 – 3000 mg/día (Buyuktuncer, 2017).
Bebidas fermentadas con fitoesteroles
Es posible suplementar fitoesteroles en bebidas lácteas fermentadas en cantidades funcionales y de esta forma, aprovechar de manera combinada los beneficios de los probióticos para la salud digestiva con los beneficios de los fitoesteroles para la salud cardiaca (Buyuktuncer, 2017, pp. 151-169). No obstante, en Ecuador no se dispone de este tipo de productos, de manera que se cuenta con menos alternativas alimenticias para prevenir enfermedades cardíacas. Por el contrario, la mayoría de las bebidas disponibles en los supermercados no contribuyen positivamente a la salud de los consumidores (Morales et al., 2022) como el caso de las bebidas carbonatadas.
2. MATERIALES Y MÉTODOS
El estudio incluyó un enfoque de tipo experimental para el desarrollo de nuevos productos alimenticios funcionales, basado en diseños experimentales y análisis sensoriales. El estudio se complementó con la implementación de aspectos normativos para la elaboración de tablas nutricionales, semáforo nutricional y etiquetado.
Materiales
Las materias primas utilizadas fueron: leche descremada UHT (Vita Alimentos C.A.), monoglicéridos destilados (Innovapec S.A.), lecitina de soya (Refaquim), fitoesteroles (PureBulk, Inc.), sorbato de potasio (Refaquim) y cultivos lácticos (Corporación Codán).
El material de empaque para el prototipo fueron botellas de plástico PET de 200 ml (Rhenania S.A.).
Métodos
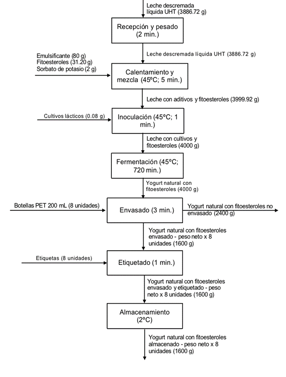
En la Figura 1. se observa el diagrama de flujo del proceso de elaboración del yogurt con fitoesteroles. En este se detallan las operaciones unitarias aplicadas, así como las condiciones de operación durante el proceso de transformación de la materia prima en producto terminado.
Variables de diseño
Las variables de diseño son los factores o condiciones que el experimentador manipula para observar sus efectos en el sistema estudiado. Estas variables son controladas y modificadas sistemáticamente para evaluar su impacto sobre el fenómeno en cuestión. Para la creación de la bebida con fitoesteroles las variables controladas fueron: Tipo de emulsificante y tiempo de fermentación.
Tipo de emulsificante
Se empleó monoglicéridos destilados debido a su alta afinidad para emulsificar productos alimenticios de origen lácteo como: postres con leche o yogurt, helados de crema, crema de leche, entre otros. La concentración de 2% se basó en las recomendaciones proporcionadas por la ficha técnica del fabricante Zhengzhou Yizeli Industrial Co., Ltd, en donde se sugiere una dosificación del 2% para mejorar la dispersión de componentes hidrofóbicos (como aceites y grasas), mejorar la calidad del producto y extender su vida útil en percha (Zhengzhou Yizeli Industrial Co., Ltd, 2024).
Se empleó lecitina de soya en polvo por su alta capacidad emulsificante y estabilizante, ya que, previene la separación del lactosuero, ayuda a mantener una textura homogénea y mejora la consistencia y sensación en boca del producto final. La concentración de 0.3% se basó en las recomendaciones proporcionadas por la ficha técnica del fabricante Louis FRANÇOIS, en donde se sugiere una dosificación de 3g/Kg (Gourment-Versand, 2024), la cual, por medio de conversión de unidades es equivalente a 0.3g/100g, es decir, 0.3%.

Tiempo de fermentación
El tiempo de fermentación puede llegar a afectar las propiedades texturales del yogurt, por ende, se evaluaron dos tiempos de fermentación: 6 horas y 12 horas. Se establecieron estos tiempos con base al estudio realizado por Marhons et al. (2023), en donde se esclarece que, tiempos de fermentación más cortos (6 horas) pueden producir un yogurt con una consistencia más suave y líquida, mientras que, tiempos más largos (12 horas) pueden resultar en un yogurt más espeso y cremoso.
Variables de respuesta
Las variables de respuesta son las medidas que se recopilan para evaluar el efecto de las variables de diseño. Estas variables reflejan los resultados del experimento y permiten analizar cómo las modificaciones en las variables de diseño afectan al sistema. Como variables de diseño se tomaron en cuenta a la granulosidad y a la aceptabilidad, parámetros que fueron evaluados mediante evaluación sensorial.
Granulosidad y aceptabilidad
La granulosidad es un aspecto importante que se consideró al momento de formular el yogurt adicionado con fitoesteroles. Por su naturaleza hidrofóbica, los fitoesteroles no se mezclan adecuadamente en una amplia gama de alimentos (entre ellos el yogurt), ya que la mayoría de los alimentos tienen un alto contenido de agua en su composición (Buyuktuncer, 2017, pp. 151-169). Por esta propiedad de inmiscibilidad, al incorporar los fitoesteroles, el yogurt adquirió una textura granulosa que puede llegar a percibirse sensorialmente de forma negativa por parte del consumidor. La presencia de partículas de gran tamaño en productos bebibles puede afectar significativamente el grado de aceptabilidad del producto en el mercado (Ubeyitogullari y Ciftci, 2019).
Frente a estos desafíos se propone: i) la inclusión de emulsificantes y ii) el establecimiento de diferentes tiempos de fermentación, ya que, ambas variables pueden llegar a modificar la consistencia y la textura en el yogurt con el fin de obtener un producto sin solutos en suspensión, o con gránulos de gran tamaño perceptibles por el consumidor.
Diseño experimental
Se estableció un diseño multicategórico con las variables de diseño: tipo de emulsificante y tiempo de fermentación, lo que generó 4 experimentos los cuales corresponde a 4 muestras diferentes de yogurt a ser analizadas (Tabla 1). Adicionalmente, se estudió el efecto de estos tratamientos sobre granulosidad y aceptabilidad. El diseño contó con 6 repeticiones (panelistas) y 24 corridas experimentales.
| Tratamiento | Tipo de emulsificante | Tiempo de fermentación | Variable de respuesta |
| 1 | Monoglicéridos destilados (2%) | 6 h | Granulosidad Aceptabilidad |
| 2 | Monoglicéridos destilados (2%) | 12 h | |
| 3 | Lecitina de soya (0.3%) | 6 h | |
| 4 | Lecitina de soya (0.3%) | 12 h |
Análisis estadístico
El análisis estadístico para el diseño multicategórico fue realizado en el programa Statgraphics Centurion XVI empleando la prueba ANOVA, en donde fueron analizados el valor p, la prueba de múltiples rangos y el gráfico de medias con un 95 % de confianza.
Análisis sensorial
Se realizó una prueba afectiva para medir la aceptabilidad en una escala de 1 a 5 y una prueba descriptiva para medir la granulosidad en una escala lineal de 10 puntos. Los formatos de análisis sensorial con los que se realizaron las pruebas a los panelistas se encuentran disponibles en el Anexo 1 y Anexo 2.
Tabla nutricional
Para la elaboración de la tabla nutricional se partió de un análisis de composición para cada uno de los ingredientes (materias primas) del yogurt con fitoesteroles, basado en la información proporcionada por los proveedores. Luego de este análisis, se adaptó la composición del alimento al tamaño de porción (200 g) y se construyó la tabla nutricional, aplicando los criterios para el reporte de nutrientes señalados en la normativa NTE INEN 1334-2.
Semáforo nutricional
El semáforo nutricional fue elaborado con ayuda de la calculadora online del ARCSA y el reglamento técnico RTE 022. Los cálculos se basaron en la composición en gramos de azúcar, grasa y sal con respecto a 100 mL del yogurt con fitoesteroles.
Etiqueta
La etiqueta fue elaborada con base a los requisitos señalados en la normativa NTE INEN 1334-1 y NTE INEN 1334-2.
3. RESULTADOS Y DISCUSIÓN
Análisis estadístico de pruebas sensoriales
Los valores obtenidos de aceptabilidad y granulosidad para el diseño multicategórico son presentados en la Tabla 2.
| Panelista | Muestra | Aceptabilidad | Granulosidad |
| 1 | DMG 2% + 6 h | 1 | 5 |
| 2 | DMG 2% + 6 h | 3 | 4 |
| 3 | DMG 2% + 6 h | 3 | 0.5 |
| 4 | DMG 2% + 6 h | 5 | 6.5 |
| 5 | DMG 2% + 6 h | 4 | 0 |
| 6 | DMG 2% + 6 h | 4 | 6.3 |
| 1 | DMG 2% + 12 h | 3 | 3.5 |
| 2 | DMG 2% + 12 h | 1 | 6.7 |
| 3 | DMG 2% + 12 h | 2 | 4.7 |
| 4 | DMG 2% + 12 h | 3 | 7.2 |
| 5 | DMG 2% + 12 h | 4 | 0 |
| 6 | DMG 2% + 12 h | 4 | 5.5 |
| 1 | Lecitina 0.3% + 6 h | 2 | 5 |
| 2 | Lecitina 0.3% + 6 h | 3 | 5.7 |
| 3 | Lecitina 0.3% + 6 h | 2 | 1 |
| 4 | Lecitina 0.3% + 6 h | 4 | 0 |
| 5 | Lecitina 0.3% + 6 h | 1 | 0 |
| 6 | Lecitina 0.3% + 6 h | 1 | 0.7 |
| 1 | Lecitina 0.3% + 12 h | 4 | 7 |
| 2 | Lecitina 0.3% + 12 h | 2 | 0.7 |
| 3 | Lecitina 0.3% + 12 h | 2 | 1 |
| 4 | Lecitina 0.3% + 12 h | 2 | 0 |
| 5 | Lecitina 0.3% + 12 h | 3 | 0 |
| 6 | Lecitina 0.3% + 12 h | 2 | 2.7 |
ANOVA: variable aceptabilidad
Los resultados de la Tabla 3 demostraron que tanto el tipo de emulsificante como el tiempo de fermentación no tienen un efecto significativo en la aceptabilidad del yogurt con fitoesteroles, ya que, los valores p para ambas variables son mayores a 0.05.
| Fuente | Suma de Cuadrados | Grados de libertad | Cuadrado Medio | Razón-F | Valor-P |
| Efectos Principales | |||||
| A: Tipo de emulsificante | 3.375 | 1 | 3.375 | 2.57 | 0.1236 |
| B: Tiempo de fermentación | 0.0416667 | 1 | 0.0416667 | 0.03 | 0.8602 |
| Residuos | 27.5417 | 21 | 1.31151 | ||
| Total (corregido) | 30.9583 | 23 |
La prueba de múltiples rangos para el tipo de emulsificante (Tabla 4) demostró que tanto los tratamientos que incorporaron monoglicéridos destilados (2%) como lecitina de soya (0.3%) son grupos homogéneos, por tanto, se corrobora que esta variable de diseño no tiene incidencia significativa en la aceptabilidad del producto final ya que con una confianza del 95 %.no existen diferencias estadísticamente significativas entre tratamientos (p > 0.05).
| Tipo de emulsificante | Casos | Media LS | Sigma LS | Grupos Homogéneos |
| Lecitina 0.3% | 12 | 2.33333 | 0.330594 | X |
| DMG 2% | 12 | 3.08333 | 0.330594 | X |
El gráfico de medias para el tipo de emulsificante (Figura 2) también demostró que no existen diferencias estadísticamente significativas con relación al uso de un tipo de emulsificante con respecto a la variable de aceptabilidad, ya que, ambas medias se superponen entre sí.

La prueba de múltiples rangos para el tiempo de fermentación (Tabla 5) demostró que los tratamientos sometidos a 6 horas y a 12 horas de fermentación son grupos homogéneos, por tanto, se corrobora que esta variable de diseño tampoco tiene incidencia significativa en la aceptabilidad del yogurt.
| Tiempo de fermentación | Casos | Media LS | Sigma LS | Grupos Homogéneos |
| 12 h | 12 | 2.66667 | 0.330594 | X |
| 6 h | 12 | 2.75 | 0.330594 | X |
El gráfico de medias para el tiempo de fermentación (Figura 3) demostró que no existen diferencias estadísticamente significativas respecto a la variable de aceptabilidad, ya que, ambas medias se superponen entre sí.

ANOVA: variable granulosidad
Los resultados se tabulan en la Tabla 6 donde se demuestra que no hay efecto significativo en la granulosidad por parte del tipo de emulsificante o por el tiempo de fermentación, ya que, el valor p para ambas variables es mayor a 0.05.
La prueba de múltiples rangos para el tipo de emulsificante (Tabla 7) indicó que los tratamientos con monoglicéridos destilados o lecitina de soya son grupos homogéneos, lo que, corrobora que esta variable no tiene efecto en la granulosidad.
| Fuente | Suma de Cuadrados | Grados de libertad | Cuadrado Medio | Razón-F | Valor-P |
| Efectos Principales | |||||
| A: Tipo de emulsificante | 28.3837 | 1 | 28.3837 | 3.94 | 0.0611 |
| B: Tiempo de fermentación | 0.770417 | 1 | 0.770417 | 0.11 | 0.7471 |
| Residuos | 144.142 | 20 | 7.20708 | ||
| Total (corregido) | 174.95 | 23 |
| Tipo de emulsificante | Casos | Media LS | Sigma LS | Grupos Homogéneos |
| Lecitina 0.3% | 12 | 1.98333 | 0.774978 | X |
| DMG 2% | 12 | 4.15833 | 0.774978 | X |
El gráfico de medias para el tipo de emulsificante (Figura 4) también indicó que no existen diferencias estadísticamente significativas entre los tratamientos, ya que, ambas medias se superponen entre sí.

Para el tiempo de fermentación, la prueba de múltiples rangos (Tabla 8) demostró que los tratamientos sometidos a 6 y 12 horas de fermentación son grupos homogéneos, por lo que, se corrobora que no hay efecto de esta variable en la granulosidad.
| Tiempo de fermentación | Casos | Media LS | Sigma LS | Grupos Homogéneos |
| 12 h | 12 | 2.89167 | 0.774978 | X |
| 6 h | 12 | 3.25 | 0.774978 | X |
El gráfico de medias para el tiempo de fermentación se muestra en la Figura 5, donde se demostró que no existen diferencias entre los tratamientos, pues la gráfica de medias se superpone entre sí.

Con base a los resultados, se puede indicar que el mejor tratamiento del estudio experimental correspondería a la muestra que posea el menor costo en tiempo de procesamiento y con respecto a sus materias primas (monoglicéridos destilados 2% y 6 horas de fermentación), ya que independientemente de los niveles analizados en cada variable de diseño: Tipo de emulsificante y tiempo de fermentación, los valores de granulosidad y aceptabilidad no cambian significativamente con una confianza del 95 %.
Tabla nutricional
La composición nutricional porcentual obtenida de cada ingrediente se presenta en la Tabla 9.
| Ingredientes | Grasa (g) | Grasa saturada (g) | Grasa trans (g) | Grasa monoinsaturada (g) | Grasa poli-insaturada (g) | Sodio (mg) | Colesterol (mg) | Fibra (g) | Azúcares (g) | Proteína (g) | Humedad (g) | Cenizas (g) |
| Leche descre-mada | 0.2 | 0.15 | 0 | 0.05 | 0 | 52 | 0.16 | 0 | 4.9 | 3.3 | 99.6 | 0.65 |
| DMG | 100 | 98 | 0 | 2 | 0 | 0 | 0 | 0 | 0 | 0 | 8 | 2 |
| Fitoesterol | 0 | 0 | 0 | 0 | 0 | 0 | 0 | 0 | 0 | 0 | 8 | 1.7 |
| Sorbato de potasio | 0 | 0 | 0 | 0 | 0 | 0 | 0 | 0 | 0 | 0 | 8 | 2 |
| Probióticos liofilizados | 0 | 0 | 0 | 0 | 0 | 0 | 0 | 0 | 0 | 0 | 8 | 2 |
El análisis de composición del yogurt obtenido se resume en la Tabla 10.
Para la obtención de la cantidad de carbohidratos totales en 200 g de yogurt se realizó una resta, considerando la suma de los nutrientes grasa, proteína, humedad y cenizas. El resultado matemático de 200 g - (4.38 g + 6.41 g + 176.52 g + 1.37 g) fue 11.32 g.
La tabla nutricional del producto obtenido se presenta en la Tabla 11. Cabe recalcar que, una porción de 200 g de yogurt aporta 1.5 g de fitoesteroles. Con lo cual, si una persona consume una porción de yogurt al día puede aprovechar los beneficios hipocolesterolémicas de los fitoesteroles en las cantidades funcionales recomendadas (1500 mg/día).
| Ingredientes | Cantidad en 200 g de yogurt | Grasa (g) | Grasa saturada (g) | Grasa trans (g) | Grasa mono-insatu-rada (g) | Grasa poli-insaturada (g) | Sodio (mg) | Coles-terol (mg) | Fibra (g) | Azúca-res (g) | Proteína (g) | Hume-dad (g) | Ceni-zas (g) |
| Leche descremada | 194.33 | 0.38 | 0.29 | 0 | 0.09 | 0 | 101.05 | 0.31 | 0 | *Biocon-versión | 6.41 | 176.06 | 1.26 |
| DMG | 4 | 4 | 3.92 | 0 | 0.08 | 0 | 0 | 0 | 0 | 0 | 0 | 0.32 | 0.08 |
| Fitoesterol | 1.56 | 0 | 0 | 0 | 0 | 0 | 0 | 0 | 0 | 0 | 0 | 0.12 | 0.026 |
| Sorbato de potasio | 0.1 | 0 | 0 | 0 | 0 | 0 | 0 | 0 | 0 | 0 | 0 | 0.008 | 0.002 |
| Probióticos liofilizados | 0.004 | 0 | 0 | 0 | 0 | 0 | 0 | 0 | 0 | 0 | 0 | 3.2 x 10 -4 | 8 x 10 -5 |
| Total | 200 | 4.38 | 4.21 | 0 | 0.17 | 0 | 101.05 | 0.31 | 0 | **8 | 6.41 | 176.52 | 1.37 |
| Información nutricional |
| Tamaño por porción (g) 200 |
| Porción por envase 1 |
| *Energía (Calorías) 436 KJ 104 Kcal |
| **Energía de grasa (Calorías de grasa) 151 KJ 36 Kcal |
| % Valor diario (basado en una dieta de 8380 KJ (2000 calorías). |
| Grasa total 4 g 6% |
| Gasa saturada 4 g 20% |
| Grasa trans 0 g - |
| Grasa monoinsaturada 0 g - |
| Grasa poliinsaturada 0 g - |
| Colesterol 0 mg 0% |
| Sodio 100 mg 4% |
| Carbohidratos totales 11 g 4% |
| Fibra 0 g 0% |
| Azúcares 8 g - |
| Proteína 6 g 12% |
| Fitoesteroles 1.5 g - |
**Nota: La energía en Kcal fue determinada considerando la cantidad de grasa por su factor de aporte calórico 9. Por medio de esto se obtuvo: 9x4 = 36 Kcal. Para pasar de 36 Kcal a KJ se multiplicó por 4.19, dando como resultado 151 KJ.
Semáforo nutricional
El semáforo nutricional del yogurt con fitoesteroles (Figura 6) indica que el producto es medio en azúcar (> 2.5 g y < 7.5 g en 100 ml), medio en grasa (> 1.5 g y < 10 g en 100 ml) y bajo en sal (≤ 120 mg en 100 ml).

Etiqueta
La etiqueta desarrollada como se observa en la Figura 7, presenta conformidad con respecto a la normativa NTE INEN 1334-1, pues contiene: nombre de producto, peso neto, tabla nutricional, ingredientes, declaración de alérgenos, código de lote, fecha de elaboración y vencimiento, P.V.P., notificación sanitaria, semáforo nutricional, forma de conservación, modo de consumo e información del fabricante.


4. CONCLUSIONES
El estudio desarrolló un yogurt funcional con fitoesteroles como una alternativa para combatir el hipercolesterolemia. A pesar de las variaciones en el tipo de emulsificante y el tiempo de fermentación, el análisis estadístico no mostró diferencias estadísticamente significativas en la aceptabilidad y granulosidad del producto. Sin embargo, para este tipo de análisis es recomendable aumentar el número de repeticiones/panelistas para tener datos más concluyentes, sobre todo para el tipo de emulsificante y su efecto en la granulosidad que presentó un valor p de 0.06 (muy cercano a 0.05). Es probable que, con un mayor número de muestra cambie la tendencia de los datos y, por el contrario, presente un valor p menor a 0.05 y, por tanto, existan efectos significativos sobre la variable de respuesta analizada.
El mejor tratamiento en cuanto a costos por tiempo de procesamiento y con respecto a sus materias primas fue el yogurt con 6 horas de fermentación y con 2% de monoglicéridos destilados, ya que, independientemente de los niveles analizados en cada variable de diseño, los valores de granulosidad y aceptabilidad no cambian significativamente con una confianza del 95 %.
Por otra parte, la tabla nutricional del yogurt resultante indica que este producto proporciona 1.5 g de fitoesteroles por porción de 200 g, cumpliendo con las cantidades funcionales recomendadas diariamente (1500 mg/día) para obtener los beneficios hipocolesterolémicos. El semáforo nutricional y la etiqueta indican un producto con niveles medios de azúcar y grasa, y bajo en sal. Este yogurt representa una opción prometedora para mejorar la salud cardiovascular de la población, combinando los beneficios de los probióticos y los fitoesteroles en un solo alimento.
ANEXOS


REFERENCIAS
Agencia Nacional de Regulación, Control y Vigilancia Sanitaria [ARCSA]. (2024). Calculado-ra de etiquetado de alimentos. Recuperado de https://permisosfuncionamiento.control-sanitario.gob.ec/publico/calculadora_etiquetado/
Buyuktuncer, Z. (2017). Yogurt with plant sterols and stanols.En Yogurt in Health and Disease Prevention (pp. 151-169). Academic Press
Fernández, A. (2017). Alimentación saludable -¿Cómo elegir un buen yogur?. Recuperado de https://www.nutricionistasdietistas.com/2017/04/elegir-buen-yogur/
Gourmet-Versand. (2024). Lecitina de soja emulsionante en polvo E322 1 kg. Recuperado de https://www.gourmet-versand.com/es/article1865/lecitinade-soja-emulsionan-te-en-polvo-e322-1-kg.html
Herrero, M., García, M., García, L. y López, A. (2014). Riesgo cardiovascular en la po-blación laboral. Impacto en aspectos preventivos. Revista mexicana de cardiología, 25(2), 73-81.
Marhons, Š., Hyršlová, I., Stetsenko, V., Jablonská, E., Veselý, M., Míchová, H., Čurda, L. y Štĕtina, J. (2023). Properties of yoghurt treated with microbial transglutaminase and exopolysaccharides. International Dairy Journal, 144, 105701
Merchán, A., Ruiz, Á. J., Campo, R., Prada, C. E., Toro, J. M., Sánchez, R., Gómez, J.,-Jaramillo, N., Molina, D., ... & Alonso, R. (2016). Hipercolesterolemia familiar: artículo de revisión. Revista colombiana de Cardiología, 23, 4-26
Morales, T., Aimacaña, N., Silva, A. y Martínez, D. (2022). Tendencia del consumo de las bebidas azucaradas en el Ecuador 2014-2019. Uniandes Episteme - Revista de Cien-cia, Tecnología e Innovación, 9(4), 589-601
OMS. (2012, noviembre, 21). Report of the Formal Meeting of Member States to conclude the work on the comprehensive global monitoring framework, including indicators, and a set of voluntary global targets for the prevention and control of communicable diseases. http://apps.who.int/gb/NCDs/pdf/A_NCD_2-en.pdf
OPS. (2018, agosto, 10). Blood cholesterol. https://www.paho.org/en/enlace/blood-cho-lesterol
Pramparo, P., Boissonnet, C. y Schargrodsky, H. (2011). Evaluación del riesgo cardiovas-cular en siete ciudades de Latinoamérica: las principales conclusiones del estudio CARMELA y de los subestudios. Revista argentina de cardiología, 79(4), 377-382
Silva, P., Pinheiro, A., Rodríguez, L., Figueroa, V. y Baginsky, C. (2016). Fuentes naturales de fitoesteroles y factores de producción que lo modifican.Archivos Latinoamer-icanos de Nutrición, 66(1), 17-24.
Ubeyitogullari, A. y Ciftci, O. (2019). In vitro bioaccessibility of novel low-crystallinity phytosterol nanoparticles in non-fat and regular-fat foods. Food Research Interna-tional, 123, 27-35
Zhengzhou Yizeli Industrial Co., Ltd. (2024). Introduction of distilled monoglycerides (DMG). Recuperado de https://www.chinaimprover.com/info/introductiondisti-lled-monoglycerides-dmg-28727146.html
Notas de autor
wladimir.tierra@iti.edu.ec
Información adicional
redalyc-journal-id: 7778