Artículos
Efectos de la estructura textual sobre la comprensión y abstracción de hechos históricos
Effects of textual structure on comprehension and abstraction of historical facts
Efectos de la estructura textual sobre la comprensión y abstracción de hechos históricos
Acta Colombiana de Psicología, vol. 25, núm. 2, pp. 41-64, 2022
Universidad Catolica de Colombia
Recepción: 02 Abril 2021
Recibido del documento revisado: 17 Agosto 2021
Aprobación: 27 Enero 2022
Resumen: En este trabajo se indagó, desde una aproximación psicológica no representacional, y a partir de dos experimentos, por el efecto de la estructura textual en la comprensión y abstracción de textos. En el primer experimento, quince estudiantes universitarios leyeron tres textos históricos distintos con una de tres estructuras -secuencial, jerárquica o circunstancial-, y se midió si interpretaron, subinterpretaron o sobreinterpretaron los textos en tres pruebas propias de cada estructura, y si realizaban la abstracción de un hecho común a los tres textos. En el segundo, se replicó sistemáticamente el primer experimento, pero con otros quince estudiantes, que se asignaron según su conocimiento conceptual del dominio histórico-político. Los resultados sugieren mayor subinterpretación con la estructura secuencial, y mayor sobreinterpretación con la jerárquica y la circunstancial; el conocimiento conceptual explicó los hallazgos mejor que la estructura textual, pero no dio cuenta de toda la variabilidad. Al final se discuten los resultados en términos de la mediación lingüística como una competencia subordinante tanto del conocimiento conceptual como de la estructura textual. Asimismo, se resaltan las ventajas del registro evolutivo de la comprensión de cada lector, se anticipan algunas fuentes de control adicional para futuros estudios, y se culmina proponiendo algunas implicaciones educativas de los hallazgos.
Palabras clave: estructura textual, comprensión, abstracción, conocimiento conceptual, mediación lingüística.
Abstract: In two experiments, the effect of textual structure on the comprehension and abstraction of texts from a non-representational psychological approach was investigated. In the first experiment, fifteen college students read three different historical texts with one of three structures: -sequential, hierarchical, and circumstantial- and t was measured whether they interpreted, under-intetpreted or over-interpreted the texts in three tests specific to each structure, and whether they abstracted a fact common to the three texts. In the second, the first experiment was systematically replicated but with another fifteen students, who were assigned according to their conceptual knowledge of the historical-political domain. The results suggest greater under-intetpretation with the sequential structure, and greater over-interpretation with the hierarchical and circumstantial. Conceptual knowledge explained the findings better than the textual structure but did not account for all variability. The results are discussed in terms of linguistic mediation as a subordinating competence of both conceptual knowledge and textual structure. It also highlights the advantages of the evolving record of each reader's comprehension, anticipates some sources of additional control for future studies, and concludes by proposing some educational implications of the findings.
Keywords: textual structure, comprehension, abstraction, conceptual knowledge, linguistic mediation.
Introducción
La relación entre la estructura textual, la comprensión y el recuerdo es un tema que ha atraído la atención de los estudiosos de la comprensión de textos desde hace varias décadas (Kendeou & van den Broek. 2007: Voss & Silfies. 1996). En general, la evidencia sugiere que la comprensión y el recuerdo de un texto son sensibles a su estructura (Dymock, 2005: León & Carretero, 1995; Meyer, 1984; Meyer & Ray. 2011; Williams. 2005), y suele encontrarse que, cuando la estructura es altamente organizada y cohesionada, esta beneficia tanto el recuerdo como la comprensión de lo explícito (Amiri et al., 2012: McNamara. 2004).
No obstante, la investigación sobre dicho efecto presenta diferentes criterios de clasificación para las estructuras textuales y respecto a lo que se mide como efecto. Por ejemplo, se ha distinguido entre estructuras más o menos cohesionadas (McNamara, 2004), más o menos organizadas (Amiri et al., 2012), diseñadas en función de diferentes relaciones -como causa-efecto o comparación- (Armand. 2001). entre otras; y a veces el efecto se mide sobre el recuerdo (Bolm-Gettler & Kendeou, 2014: McNamara. 2004), o sobre la comprensión de la información explícita, sin medir las inferencias sobre lo implícito (Linderholm et al., 2000). De igual forma, tampoco se sabe cuál es el efecto de los tipos de estructuras sobre las diferentes medidas, ni si el efecto es consistente entre varios textos.
En el presente estudio se asume que un texto es una muestra de un sistema categorial y conceptual (SCC), es decir, una organización de categorías y conceptos propios de un dominio de conocimiento (Pérez-Almonacid et al., 2015) -una muestra que se emparenta con el concepto de macroestructura de Van Dijk y Kintsch (1983)-: y, por su parte, la estructura textual se entiende como el ordenamiento escrito de los componentes del SCC para que sea legible, considerando un lector potencial con características más o menos definidas -emparentado con el concepto de superestructura de Van Dijk y Kintsch (1983)-.Así, una misma gramática del SCC se puede desplegar en diferentes estructuras textuales, y en una misma estructura se puede identificar diferentes gramáticas.
Las ventajas de una estructura dependen de la gramática del SCC y, por tanto, del dominio de conocimiento. Por ejemplo, Shanahan y Shanahan (2008) destacan que los textos de matemáticas incluyen información complementaria como analogías, ejemplos, definiciones formales, pruebas, etc., mientras que los textos de química suelen incluir problemas contextualizados, explicaciones, principios, ejemplos, ejercicios, etc.
Por su parte, los textos de historia -de interés para este estudio- suelen incluir secuencias causales o narrativas de las tramas de los actores detrás de tales secuencias, y las estructuras textuales de estos textos son características y críticas para su comprensión (Barton & Levstik. 2004: Voss Sí Wiley, 1997). En estos casos, son comunes las relaciones temporales organizadas en tomo a una cadena causal primaria que estructura los hechos (Armand, 2001; Barton & Levstik, 2004; Linderholm et al., 2000; Montanero & Lucero, 2012). una estructura que facilita el despliegue de lo que Carretero y Limón (1993) y Carretero y López (2011) señalan como la explicación causal en los textos históricos, y tienen la ventaja de que facilitan tanto el recuerdo (Fustes & Fernández, 2006; Montanero & Lucero, 2012) como la comprensión de lo explícito (Linderholm et al., 2000). Como bien señalan Achugar y Schleppegrell (2005), el efecto de esta estructura es muy local en tanto omite motivaciones, fuerzas o tendencias, que son los aspectos sobre los que se hacen interpretaciones. En esta misma dirección. Paxton (1999) resalta que, aunque estos textos puedan favorecer las medidas sobre la información explícita, no favorecen la inferencia de relaciones implícitas, lo cual interfiere en la comprensión completa de la trama.
Los textos históricos también pueden estructurarse a partir del énfasis que se le dé a la trama de relaciones entre los motivos, intenciones, intereses, etc., de los agentes involucrados. Comprender esto es fundamental para el pensamiento histórico y, por tanto, es uno de los objetivos de su enseñanza (Carretero et al., 2006). Esta estructura, que resalta las circunstancias de las acciones, facilita el despliegue de lo que Carretero y Limón (1993) denominan explicación intencional-o dar cuenta históricamente-, gracias a la cual se comprende un hecho en función de los motivos e intenciones de los agentes (Khoo et al., 2002). No obstante. Achugar y Sclileppegrell (2005) señalan que esta narrativa es más zigzagueante y puede omitir las cadenas causales locales, lo cual hace a un texto más demandante intelectualmente. Cuando esta estructura se hace más cohesionada y coherente, facilita el recuerdo y la comprensión de lo explícito, especialmente en lectores con menos habilidad (Fustes & Fernández, 2006; Linderholm et al., 2000; McNamara, 2004), y cuando no está bien cohesionada o no es del todo coherente, solo el lector que domina el tema suele comprender mejor lo implícito (McNamara. 2004).
Ahora bien, es de destacar que tanto las estructuras textuales causales como las circunstanciales facilitan el conocimiento conceptual histórico de primer orden, referido al quién, qué. dónde, cuándo, cómo y por qué de un hecho (Rodríguez-Moneo & López, 2017; Shanahan & Shanahan, 2008). No obstante, la comprensión del hecho desde los criterios disciplinares de la historia exige un conocimiento conceptual de segundo orden -o el de los metaconceptos- (Rodríguez-Moneo & López, 2017), pues es con base en este que se organiza la historia como disciplina (Cercadillo et al., 2017) y, por tanto, se requiere de un alto nivel de abstracción que permita una explicación a partir de principios que cubran los hechos particulares (Achugar & Schleppegrell, 2005).
Sin embargo, una estructura basada en conceptos de orden superior resulta más demandante para un lector no especializado (Shanahan & Shanahan. 2008). Como señala Schleppegrell (2004), es común que los textos históricos acudan a la abstracción y nominalización porque, de lo contrario, el texto sería una narración indistinguible de los textos literarios. Al respecto. Rodríguez-Moneo y López (2017) indican que los sistemas conceptuales forman estructuras como taxonomías, jerarquías, meronomías, etc., que permiten al lector inferir pertinentemente los conceptos y categorías que conforman tales sistemas. A nuestro entender, no hay aún evidencia sobre su efecto en la comprensión.
Partiendo de lo anterior, el presente estudio tiene como objetivo evaluar el efecto de la estructura textual sobre el recuerdo de lo explícito, la comprensión de lo implícito y la abstracción de un hecho común a tres textos históricos. Para tal efecto, se adopta el marco conceptual que ofrecen Pérez-Almonacid et al. (2015), una propuesta, de ascendencia conductual, que considera que la comprensión es un logro o resultado, y no un proceso cognoscitivo (Kintsch. 1998), que consiste en inferir -es decir, explicitar lo implícito de forma pertinente y legítima según el SCC-. Este logro resulta de lo que una persona hace cuando lee un texto, como, por ejemplo, discriminar entre letras y palabras, leer una palabra en términos de su relación consistente con otras, etc., y, de forma crítica, resulta de la relación que establece el lector entre diferentes segmentos del texto en términos del SCC -es decir, la mediación lingüística- (Pérez-Almonacid et al., 2014: Pérez-Almonacid et al., 2015: Pérez-Almonacid & Bautista-Castro. 2021). De acuerdo con esto, comprender no es reproduce la información explicita, aunque eventualmente lo incluya.
El logro comprensivo, como comportamiento pertinente, se descompone en dos logros: por un lado, el logro categorial -o comprensión del sentido-, es decir, del criterio que define lo que es coherente o no en un ámbito determinado -o no confundir "peras con manzanas", por dar un ejemplo-, que, cuando no se logra, se dice que se malinterpreta1 el texto: y, por otro lado, el logro conceptual -o comprensión del significado-, esto es, del criterio que delimita la congruencia de lo que se hace con un segmento del texto -subléxico, léxico o supraléxico- de acuerdo con su lugar en el SCC -siguiendo el ejemplo, se trata de hacer y decir lo que es congruente de las manzanas cuando se trata de frutas-. Cuando se logra la congruencia, se dice que se interpreta el texto de forma legítima según su SCC: y cuando no, se subinterpreta -si no se aprovecha toda la información implícita disponible- o se sobreinterpreta -si se añaden relaciones ilegítimas- (Pérez-Almonacid et al., 2015).
En particular, en el dominio de la historia. Voss y Wiley (2006) recalcan que la captación de lo implícito es fundamental en el pensar históricamente, pero la evidencia al respecto es escasa. Desde este punto de vista, se afirma que las distintas estructuras textuales demandan que la persona haga diferentes cosas durante y después de la lectura, y el resultado es función de eso que se hace: por tanto, podría suponerse que la estructura que demande al lector mayor mediación lingüística facilitará la comprensión de lo implícito. Por ejemplo, para comprender la relación entre la toma de Bastilla y la destitución de Necker se requiere que el lector relacione congruentemente esos hechos por lo menos en términos de los conceptos de crisis financiera, burguesía, nobleza, absolutismo, constituyente, entre otros: de lo contrario, leerá una cadena de acontecimientos desprovistos de significado y sentido. La organización de tales conceptos es su gramática, y el relacionarlos de acuerdo con tal organización, durante y después de la lectura, es lo que denominamos mediación lingüística.
Ahora bien, algunas estructuras textuales exigen que la persona establezca tales relaciones, mientras que otras no. ya sea porque se les hacen explícitas -textos considerados, en términos de Paxton. 1999- (véase también Voss & Silfies, 1996), o porque está escrito de tal modo que no las facilita. Algunos autores sugieren una idea semejante en términos de que una estructura textual es más "demandante cognitivamente" (Armand. 2001), lo cual básicamente se plantea como diferentes demandas de "procesamiento" (Schnotz. 1982), como demandar' un "procesamiento más activo" que implique a los estudiantes (Paxton. 1999), lo cual no deja de ser ambiguo.
Finalmente, en tanto la comprensión de un texto histórico supone leerlo en términos del SCC, y que este sistema incluye conceptos de primer y segundo orden (Rodríguez-Moneo & López. 2017), sería razonable preguntarse si su comprensión cubre la abstracción de tales conceptos y de los principios más generales que puedan identificarse -esto se ha incluido como una característica del pensar históricamente (Cercadillo et al., 2017: Rodríguez-Moneo Sí López. 2017: Shanahan, 2009: Voss & Wiley. 1997)-, pero la evidencia del efecto de diferentes tipos de estructuras textuales sobre la abstracción de hechos históricos es nula -a nuestro entender-, por lo que el presente estudio, a partir de dos experimentos, aporta evidencia al respecto.
Experimento 1
Par a este experimento, se manipuló el tipo de estructura textual con tres condiciones: (a) una estructura secuencia!, con secuencia cronológica; (b) una estructura jerárquica, con conceptos y eventos progresivamente inclusivos; y (c) una estructura circunstancial, que enfatiza las circunstancias de los agentes y sus motivaciones.
A su vez, se midieron diferentes logros: (a) el logro no comprensivo, que consiste en la reproducción de la secuencia explícita; (b) el logro comprensivo, que puede ser (i) de tipo categorial o de comprensión del sentido -reconocimiento de opciones coherentes e incoherentes, o (ii) de tipo conceptual o de comprensión del significado -selección de opciones congruentes-; y (c) la abstracción de un hecho histórico.
Según la evidencia, podría hipotetizarse que: (a) la estructura secuencial permitirá acertar las preguntas de reproducción, pero no las de comprensión ni abstracción, porque la estructura no lo demanda: (b) la estructura jerárquica permitirá acertar sus propias preguntas de comprensión, así como las de reproducción y las de abstracción, pues se esperaría que la explicitación de la gramática del SCC facilite su abstracción: (c) la estructura circunstancial permitirá acertar- sus preguntas de comprensión y en las de reproducción de la secuencia, pero no necesariamente la abstracción: y (d) no habrá diferencias en el logro categorial en sí mismo, aunque eventualmente sí una menor proporción de aciertos en la condición secuencial.
Método
Participantes
Participaron voluntariamente quince estudiantes del segundo semestre de una carrera en formación de maestros para secundaria (13 mujeres). El estudio satisfizo los requerimientos éticos de un comité de investigación institucional y fue clasificado como de riesgo mínimo. Los participantes tenían entre 18 y 19 años y consintieron su participación en el estudio.
Este grupo fue seleccionado a partir de una muestra de 54 participantes, luego de haber obtenido mi puntaje igual o mayor a 77 %, que equivale al tercer cuartil, en una prueba de comprensión textual diseñada para el experimento. La prueba consistió en leer un texto elaborado con base en los tres tipos de estructura propuestos y responder a un cuestionario con nueve reactivos de opción múltiple. La prueba se validó con dos aplicaciones previas: la primera con 33 estudiantes de bachillerato, y la segunda con 24 aspirantes a una maestría en investigación psicológica en educación. Estas aplicaciones permitieron realizar análisis de dificultad y discriminación de los ítems, y ajustar su versión definitiva.
Las tres condiciones experimentales-secuencial, jerárquica y circunstancial- se formaron emparejando a partir del puntaje en la prueba de selección. La edad promedio fue de 18.4 años en la condición secuencial. 19 en la jerárquica y 18.8 en la circunstancial. En las dos primeras condiciones quedaron cuatro mujeres, y en la tercera, cinco. Aunque en la muestra inicial el 38 % eran hombres, el 13 % quedó por enchila del cuartil 3, y el 69 % entre el cuartil 2 y 3. Este sesgo de género en comprensión de textos ya ha sido reportado, pero no consistentemente (Koban. 2016). La diferencia de géneros en los cuartiles 3 y 4 no se atiende explícitamente en el estudio.
Lo relevante para los propósitos actuales es el emparejamiento en la prueba, de modo que en cada una de las tres condiciones el promedio en la prueba fue de 82 %, con desviación estándar de .09 para la condición secuencial, .06 para la jerárquica, y .06 para la circunstancial. Con esta medida se cumple el criterio de asignación a las condiciones por una regla no aleatoria, pero sí conocida (Judd & Kenny, 1981), estableciendo una equivalencia inicial entre las condiciones, por lo menos en una variable correlacionada con las variables dependientes del estudio.
Para el análisis de los datos, se hizo uso de una estrategia de análisis intrasujeto (Castro, 1972). La agregación de los datos se considera un dato complementario de una tendencia de los participantes en la misma condición, por lo que se incluye y se analiza. Finalmente, se usaron estadísticos no paramédicos para verificar diferencias entre condiciones cuando fue pertinente.
Instrumentos
La tarea experimental se programó en Java, donde se registró las respuestas, el tiempo de lectura y el número de veces que los participantes consultaban el texto.
Textos
Se presentaron nueve textos ficticios con una longitud aproximada de 250 palabras, revisados por ti es profesionales en literatura en los aspectos de legibilidad y gramática. A estos se les pidió, además, que clasificaran y caracterizaran los textos según su estructura textual, sin dalles ningún referente. Todos indicaron alguna característica propia de cada tipo. Por ejemplo, de la secuencial resaltaron que "describe los hechos de forma cronológica": de la circunstancial señalaron que "presenta la trama de forma literaria y con una secuencia temporal hacia atrás": y de la jerárquica indicaron que "comienza el relato de los hechos con una reflexión en voz enunciadora", haciendo referencia a la primera oración que declaraba el hecho más abstracto.
Los nueve textos tenían en común que ejemplifican un principio susceptible de ser abstraído: los procesos bélicos como mecanismo para la obtención del poder. Además, formaban una matriz de 3 x 3: tres historias distintas -"El ejército nacionalista". "El imperio Xoquince" y "El reino de Bolotea"-, escritas cada una en las tres estructuras textuales.
La estructura secuencial tenía una narrativa centrada en la cronología en que fueron ocurriendo los hechos -que coincide con lo que Voss y Simes (1996) llamaron "textos expandidos", porque desenvuelven las relaciones causales explícitamente-, tenía un promedio de 24 palabras por frase, y se consideró que su legibilidad era "normal" (índice de 57.36) según la escala Inflesz (Szigriszt. 1993).
Por su parte, la estructura jerárquica iniciaba con una proposición genérica sobre el concepto histórico-político que enmarcaba categorialmente a la historia subsiguiente, ejemplificando el concepto sin enfatizar los móviles de la trama: tuvo un promedio de 22 palabras por fiase y una legibilidad algo difícil en la escala Inflesz (índice de 5.36).
Finalmente, la estructura circunstancial enfatizo en la trama de relaciones entre personas, objetos y eventos en circunstancia, y tuvo 22 palabras por frase, con una legibilidad algo difícil según la escala Inflesz (índice de 52.89).
Los dos últimos tipos de estructura serian textos no expandidos, porque las relaciones causales no están desplegadas linealmente (Voss & Silfies. 1996). Los textos y las pruebas están disponibles por solicitud al correo de correspondencia.
Pruebas de reproducción y comprensión
Se diseñaron nueve pruebas, tres para cada historia, pertinentes a cada tipo de estructura textual. Así, la prueba derivada de la estructura secuencial solicitaba la reproducción del orden explicito en el que sucedieron los eventos organizando 12 oraciones: la prueba derivada de la estructura jerárquica solicitaba la subordinación de tres conceptos -uno respecto al otro, tras elegirlos de nueve palabras disponibles-: y la prueba derivada de la estructura circunstancial pedía elegir oraciones de entre 12 opciones que sirvieran de respuesta a las preguntas ¿qué?, ¿por qué?, ¿cómo? y ¿para qué?, de manera que la respuesta ante una pregunta diera pie par a formular coherentemente la siguiente.
Se consideró que las pruebas jerárquica y circunstancia] permitían medir el grado de comprensión del texto gracias a su demanda de explicitación de relaciones implícitas: en cambio, la prueba secuencial solo exigía la reproducción de la secuencia explicita de los eventos. El participante podía revisar los textos a discreción.
Las pruebas de comprensión midieron la coherencia y congruencia respecto al texto, y para ello se diseñaron opciones de respuesta que fueran (a) incoherentes, (b) coherentes pero incongruentes conceptualmente -que tuvieran sentido, pero no correspondieran con los conceptos del texto-, y (c) coherentes y congruentes.
Se pedía a la persona que eligiera las opciones conectas -coherentes y congruentes- de entre un conjunto de opciones disponibles. Además, se le pidió que organizara en dos grupos las opciones restantes de acuerdo con el criterio que considerara relevante, con el objeto de evaluar la sensibilidad a la distinción entre incoherencia/coherencia incongruente, que estaban disponibles y salientes entre las opciones. Se registró la proporción de opciones clasificadas en cada grupo según esos criterios y la evolución acumulada de este dato a lo largo de las nueve pruebas. Aunque las pruebas comprensivas son más exigentes que la de reproducción -por las inferencias que exigen-, el conjunto cenado de opciones reducía su dificultad.
Prueba de abstracción
El participante respondió a la pregunta "¿Cuál es el tema común del que tratan los tres textos?", y se le pedía que usara el menor número posible de palabras. Se calculó un índice de abstracción de la respuesta evaluando: (a) su genericidad -cuando la respuesta no hacía alusión a personajes, eventos o al propósito particular de alguno de los textos, sino a clases a las que estos pertenecen [p. ej., no dice "la batalla contra Xoquince", sino "procesos bélicos"]-: (b) su pertinencia -cuando se refería a las categorías y conceptos que correspondían fielmente con las tratadas en los tres textos [p. ej., habla de conflicto, poder, etc., pero no de enamoramiento, costumbres indígenas, etc.]-; y (c) su precisión -cuando incluye relaciones detalladas entre las categorías y conceptos, que ofrecen una elaboración adicional a lo que los textos ofrecen [p. ej., relaciones como "conflictos cansados por la ambición"]-. Cada criterio recibía una valoración de 0 cuando no se cumplía en absoluto. 0.5 al cumplirse parcialmente, o 1 si se cumplía por completo.
Tres evaluadores expertos en las categorías y conceptos implicados en el SCC de los textos se encargaron de asignar su valoración en cada uno de los tres criterios con base en un protocolo (disponible por solicitud). Se calculó un índice de Kappa como medida de la confiabilidad de su juicio y se aceptaron valores que indicaran mínimo una concordancia sustancial (> .61), según Landis y Koch (1977). La calificación de la pertinencia obtuvo un índice de .779 (p < .0001): la de precisión obtuvo un valor de .664 (p < .001): y el de generalidad, un valor de .688 (p < .001). A partir de esa concordancia mínima aceptable, se discutieron las diferencias y se asignó finalmente una puntuación acordada.
Además, se interpretó que una prueba de abstracción sería válida si se acompañaba de un puntaje alto en las pruebas de comprensión, bajo el supuesto de que solo se puede abstraer pertinentemente un concepto que se ha comprendido: de lo contrario, un puntaje alto en la prueba de abstracción indicaría la tendencia a formular genéricamente los elementos comunes a un grupo de ejemplares.
Finalmente, se verificaron las cualidades de todas las pruebas por medio de un piloto con nueve estudiantes universitarios -cinco de maestría y cuatro de pregrado-. La medida de coherencia fue alta (81 %) y homogénea entre las tres condiciones, mientras que las de reproducción, congruencia y abstracción mostraron variabilidad (7 % a 83 %), lo cual sugiere que las pruebas permiten exhibir la varianza del fenómeno. La congruencia en general mostró valores bajos, por lo que se pidió la retroalimentación de los lectores. Se corrigieron algunos aspectos formales y uno estructural -fijar el orden de las preguntas en la prueba circunstancial- para garantizar' legibilidad y aumentar la validez.
Diseño y procedimiento
El estudio es tipo cuasiexperimental, porque no hubo asignación aleatoria -el diseño se muestra en la Tabla 1-. En cuanto al procedimiento, el participante asistió a una sesión diaria durante tres días, y en cada sesión leía un texto de una de las tres estructuras textuales y respondía las tres pruebas correspondientes. Al inicio de cada sesión, se mostraba al participante una instrucción general indicándole la forma de proceder. Al terminar su lectura pasaba a la prueba secuencial, seguida de la jerárquica y la circunstancial, en ese orden. Al final de cada prueba se le indicó que separara las opciones que no había elegido en dos grupos según un criterio que considerara conveniente y los marcara con dos colores distintos. No hubo retroalimentación, pero se permitía corregir las respuestas antes de pasar a la siguiente prueba. La última fase incluía la prueba de abstracción, en la cual se indicaba que leyera de nuevo los tres textos y respondiera en un recuadro la pregunta formulada.

Resultados
Los resultados sugieren que lo planteado en las hipótesis se cumplió parcialmente. En particular, se encontró (a) que la estructura secuencial facilitó la reproducción de tal estructura en pruebas, pero no la comprensión del texto ni la abstracción: (b) que la estructura jerárquica no facilitó el desempeño en pruebas de reproducción y comprensión, ni se asoció confiablemente a una mayor abstracción: (c) que aquellos que leyeron con estructura circunstancial tuvieron inconsistentemente un buen desempeño en su mismo tipo de prueba y en algunas de reproducción, y no hubo asociación con mayor abstracción: y (d) que todos los lectores mostraron sensibilidad al reconocimiento de opciones incoherentes y coherentes incongruentes.
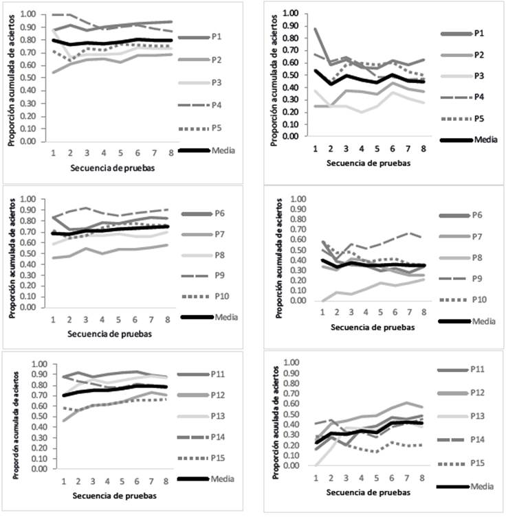
No obstante, el fenómeno se ve distinto si se mide como el desempeño acumulado a través de las nueve pruebas, diferente a los desempeños en cada prueba En la Figura 1 se muestra la acumulación de las proporciones medias del reconocimiento de opciones coherentes (izquierda) y de interpretación congruente (derecha), en función de la secuencia de las pruebas. Con respecto al reconocimiento de la coherencia, se observa que prácticamente todos los lectores obtuvieron promedios por encima de .5 y en muchos casos se nota una tendencia ascendente. Si se compara los rangos medios de esas proporciones acumuladas entre los tres tipos de estructura textual, se encuentran diferencias estadísticamente significativas (secuencial = 19.1; jerárquica = 5.75; circunstancial = 12.63; Kruskal-Wallis (K-W) (2, N=27) = 14.43, p< .001, η2= .61). No ocurre lo mismo al comparar entre sí las nueve pruebas. Por tanto, se sugiere que leer con estructura secuencial facilita el reconocimiento de opciones coherentes, mientras que con estructuras jerárquica y circunstancial tiende a mejorarse lentamente.

Asimismo, la elección de opciones congruentes con el SCC, es decir, que se haya interpretado adecuadamente, mostró mayor variabilidad en una misma condición y entre condiciones. Como se aprecia en la Figura 1. la media acumulada de los aciertos se mantuvo en un nivel alrededor del .5 con la estructura secuencial, con máximos hasta de .9; alrededor de .4 en la jerárquica, con máximos cercanos a .7; y en la circunstancial, en cambio, comenzó el nivel medio en .2 y ascendió hasta .4, con un máximo alrededor de .6. Obsérvense los niveles terminales en la condición secuencial, muy dispersos entre sí: en la condición jerárquica, concentrados en un valor por debajo de la media en cuatro de cinco casos: y en la misma proporción, pero por encima de la media, en la condición circunstancial. Esta diferencia resultó ser significativa estadísticamente (secuencial = 20.5. jerárquica = 9.31, circunstancial = 7.69; K-W (2, N=27) = .5.68, p<.01, η2=.61).
Cuando se compara entre las tres condiciones el desempeño no acumulado en cada prueba, se encuentran algunas diferencias estadísticas a favor de quienes leyeron con estructura circunstancial, ya sea con una prueba del mismo tipo (prueba 3. rangos medios: secuencial = 6.10; jerárquica = 6; circunstancial = 11.9; K-W 2, N=15 = 6.52, p = .038. η2= .46) o de reproducción (prueba 7. rangos medios: secuencial = 9; jerárquica = 4.5; circunstancial 10.5; K-W 2, N=15. = 5.8, p = .055, η2=.48). Esto también ocurrió en la primera prueba, de reproducción, en la que sobresalieron quienes leyeron con estructura secuencial (rangos medios: secuencial = 11.7; jerárquica = 7.10; y circunstancial = 5.2; K-W 2, N=15 = 5.95, p = .051, η2 = .38). Los participantes con desempeños más bajos en las pruebas de interpretación congruente tendieron a tener bajos puntajes en las pruebas de reconocimiento de coherencia -p. ej., participantes 2 y 3 en la condición secuencial, 7 y 8 en la jerárquica, y 15 en la circunstancial-.
En síntesis, a pesar de la variabilidad entre los lectores de mía misma condición, se encuentra una leve tendencia en la condición circunstancial a mejorar progresivamente hasta 20 puntos porcentuales, y a impactar el desempeño en las pruebas circunstanciales y de reproducción. Asimismo, el impacto de la estructura secuencial se limita en algunos casos al desempeño en pruebas de reproducción de tales secuencias.
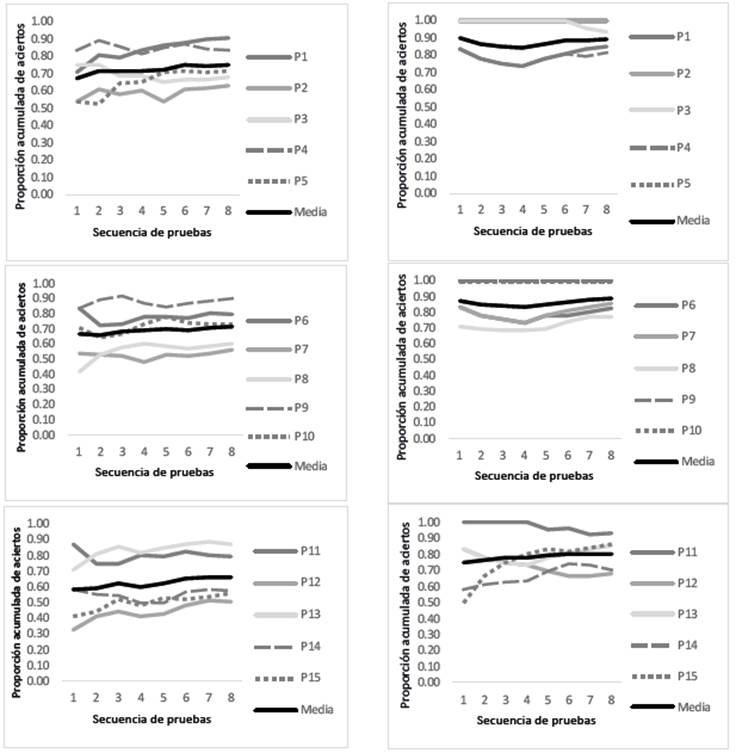
Por otra parte, en la Figura 2 se presenta la media acumulada de las proporciones de acierto en la identificación de opciones coherentes incongruentes (izquierda) e incoherentes (derecha). Respecto a la primera medida, las estructuras secuencial y jerárquica son semejantes, mientras que la circunstancial muestra un incremento progresivo desde niveles más bajos. Estas diferencias resultaron estadísticamente significativas (rango medio: secuencial = 16.5; jerárquica = 16.5; circunstancial=4.5; K-W (2, N=27) = 15.86, p< .001, η2= .61).

Al verificar las diferencias de los desempeños no acumulados entre condiciones, solo se encontraron respecto al buen desempeño en las pruebas de reproducción para quienes leyeron jerárquicamente (prueba 1, rangos medios: secuencial = 9.1; jerárquica = 10.6; circunstancial = 4.3; K-W 2, N=15 = 5.91, p = .052, η2= .43), y para los que leyeron circunstancialmente en su mal desempeño en la prueba del mismo tipo (prueba 9, rangos medios: secuencial = 10.1; jerárquica = 10.1; circunstancial = 3.8; K-W 2, N=15 = 6.92, p = .031, η2= .61). En síntesis, se observan impactos diferenciales, pero no consistentes, de las estructuras jerárquica y circunstancial en la sensibilidad a la coherencia e incongruencia simultáneas. En el desempeño acumulado se nota una clara desventaja de la condición circunstancial.
Por su parte, las estructuras secuencial y jerárquica fueron más homogéneas y altas en el reconocimiento de incoherencia que la circunstancial. Esta diferencia resultó significativa y con un gran tamaño del efecto (secuencial = 17.81; jerárquica = 15.19; circunstancial = 4.50; K-W 2, N=27 = 16.04, p < .001. η2= .8). Al considerar el desempeño no acumulado, esta diferencia se encontró en quienes leyeron con estructura circunstancial y respondieron una prueba del mismo tipo (prueba 9. rangos medios: secuencial = 6.10; jerárquica = 6.10; circunstancial = 11.80; H 2, N=15 = 6.92. p = .031, η2 = .60). Por tanto, se encuentra un bajo desempeño acumulado en la condición circunstancial, pero, al mismo tiempo, el único impacto importante en el desempeño fue en las pruebas comprensivas del mismo tipo.
Adicionalmente, en la Figura 3 se resume la proporción de reproducciones e interpretaciones congruentes, agrupadas por el tipo de prueba, orden de presentación y tipo de estructura. Como se puede observar, solo la prueba de reproducción logró consistentemente valores superiores al .7 cuando el texto estaba estructurado en la misma secuencia causal. La diferencia entre pruebas fue significativa y con un tamaño del efecto grande (X2(8, N=9) = 23.57, p = .003, W de Kendall = 0.59), no obstante, la estructura circunstancial alcanzó el puntaje más alto (.95) en una prueba de reproducción, arrojando diferencias entre las pruebas, con un tamaño del efecto pequeño (X2(8, N=9) = 16.15, p = .04. W de Kendall = 0.09). Esto no ocurrió en la estructura jerárquica (X2(8, N=9)=3.42, p= .905), en donde las pruebas, incluso las de reproducción, no superaron el .5 de aciertos.

En conclusión, la misma prueba de reproducción puede arrojar resultados diferentes dependiendo de la estructura en la que estaba organizado el texto. Puede haber facilitación cuando el texto está estructurado de la misma manera, o puede incluso superar esos niveles si el texto promueve la inferencia en el nivel de los hechos, como lo hizo el texto circunstancial.
Por otra parte, la abstracción del hecho histórico fue mayor en la condición jerárquica comparada con las demás, pero no resultó significativa estadísticamente (rango medio secuencial = 8.0; jerárquica = 10.50; circunstancial = 5.50; K-W (2, N=15) =3.24, p = .198). Además, el puntaje en abstracción correlacionó positiva y fuertemente con el promedio del reconocimiento de opciones coherentes pero incongruentes (rs (15) = .616, p = .015), mientras que con los demás puntajes no mostró ninguna correlación.
Por último, como se muestra en la Tabla 2. en promedio se dedicó más tiempo a leer los textos con estructura circunstancial, seguidos de los jerárquicos y los secuencial es, lo cual puede ser indicador de su complejidad diferencial, aunque este resultado no fue significativo (X2(2, N=15) = 2.22, p = .33). Por su parte, los textos con estructura secuencial fueron consultados más veces que los demás, lo cual sugiere que las pruebas de reproducción en efecto midieron eso, con una diferencia significativa (X2(2, N=15) = 1.571, p = .45).

Cabe mencionar que la variabilidad interindividual intragrupal que se observó en algunas medidas puede deberse a diferencias en el repertorio de entrada de los lectores. Esa diferencia puede ser en el dominio de los conceptos histórico-políticos involucrados, o bien en la competencia para mediar lingüísticamente de acuerdo con tales conceptos. El Experimento 2 intenta controlar lo primero, por lo que tiene como objetivo replicar las condiciones del Experimento 1, pero, además, medir el conocimiento de conceptos históricos para evaluar su asociación con los efectos.
Experimento 2
La evidencia sugiere que el conocimiento previo afecta cualitativa y cuantitativamente a la comprensión (Johnston, 1984), y que es una condición necesaria, pero no suficiente para comprender, pues resulta critico lo que el lector hace mientras lee (Koh, 1985). Asimismo, se ha encontrado que la influencia del conocimiento previo es más notoria cuando se infieren relaciones conceptuales que involucran todo el texto -inferencias globales- que cuando se leen comprensivamente oraciones -inferencias locales- (Fincher-Kiefer. 1992: Ozuni et al., 2009: Voss & Silfies. 1996). y que el efecto es más claro sobre la comprensión de lo implícito que de lo explicito (Pearson et al., 1979).
La interacción entre el conocimiento del tópico y la estructura textual apunta a que textos con estructuras causales no impactan la comprensión cuando la persona no conoce el tópico, aunque pueden favorecer el recuerdo de relaciones explícitas locales: no obstante, si la persona sabe cómo relacionar conceptos implícitos, tal estructura puede facilitar su comprensión, incluso sin que sepa del tema. Por su parte, textos con estructuras no causales afectan la comprensión si la persona conoce del tema. Por ejemplo, Ozuru et al. (2009) reportaron que los textos más estructurados de ciencias naturales solo mejoraron el recuerdo de lo explicito en personas que no conocían del tema, y anticiparon que esto no sería el caso en textos históricos, donde los conceptos implicados están disponibles más fácilmente en las prácticas ordinarias. Por su parte. Voss y Silfies (1996) reportaron que el conocimiento del tema solo impactaba la comprensión cuando los textos históricos no tenían una estructura causal, lo que correspondería en el contexto actual a las estructuras jerárquica y circunstancial: en cambio, no ocurrió lo mismo si los textos estaban estructurados causalmente -secuenciales. en el contexto de nuestros estudios-.
Esos resultados han sido replicados por McNamara y Kintsch (1996). quienes lo interpretan como un indicador de que los textos sin estructura causal requieren más inferencias, y que estas pueden ser hechas más probablemente por aquellos que conocen del tema. En un estudio más reciente. McNamara (2001) encontró que el efecto de los textos sin estructura causal en lectores con gran conocimiento del tema ocurría cuando ese tipo de texto era el primero que leía, mientras que el orden no importa si el texto tiene estructura causal y los lectores tienen bajo conocimiento.
Desde la perspectiva que sustenta el presente estudio, cuando se habla de conocimiento se hace referencia a la precisión y pertinencia de lo que se hace o dice respecto de las entidades y sus propiedades, incluyendo los conceptos que instancian. Por ejemplo, decimos que una persona conoce un búfalo si puede responder precisa y pertinentemente a la pregunta sobre uno: y decimos que sabe qué es una revolución si puede hacer y decir cosas distintas y pertinentes -es decir, coherentes y congruentes- respecto a ese concepto. Si lo hace de forma precisa, haciendo distinciones finas, decimos que sabe mucho sobre el concepto, o que tiene un conocimiento sofisticado: si hace distinciones gruesas, decimos que solo tiene alguna familiaridad.
En este caso, lo que resulta relevante no es solo que sea un conocimiento con el que la persona llega al experimento, sino su carácter modal y disposicional en el presente, a saber: si le permite desplazarse pertinentemente por el SCC, y lo que es probable que haga de acuerdo con eso. Por tanto, se midió el conocimiento de la persona sobre el tópico, a partir de la conceptualización o definición que puede ofrecer de los conceptos históricos incluidos en los tres textos y las nueve pruebas. Así, asumimos que, si una persona define de forma precisa y pertinente los conceptos implicados en los textos, entonces podrá relacionarlos en términos de la gramática que le ofrece el SCC del texto, y, por tanto, podrá comprenderlo mejor.
Según lo anterior, se espera que: (a) los lectores que definen los conceptos de forma pertinente y precisa -y que, por tanto, tienen un conocimiento sofisticado del tópico- sean los que muestren mejor comprensión, especialmente si la estructura es jerárquica o circunstancial, y si el texto es el primero que lee -la razón es que son estructuras textuales que exigen integrar todas las relaciones implícitas que componen el texto y, por ende, requieren la mediación lingüística soportada por lo que la persona sabe sobre el tema-: y (b) al contrario, si el conocimiento es pobre, entonces la comprensión será mínima, aunque podrían mostrar buenos desempeños en las pruebas de reproducción.
Método
Participantes
Participaron voluntariamente quince estudiantes: dos del segundo y seis del sexto semestre de una carrera en formación de maestros para secundaria, y siete estudiantes de una maestría de investigación en psicología educativa. Todos consintieron la participación en el estudio tras explicar sus condiciones. Los perfiles fueron los mismos del Experimento 1, pero se incluyeron estudiantes de posgrado para aumentar la variabilidad en el puntaje de conocimiento sobre el tópico. Diez de los quince participantes eran mujeres de entre 18 y 43 años.
Los participantes se seleccionaron de una muestra de 47 opcionados, luego de haber obtenido un puntaje igual o mayor al tercer cuartil en la misma prueba de comprensión textual que se usó para el Experimento 1. Se conformaron las tres condiciones experimentales -secuencial, jerárquica y circunstancial- emparejando en lo posible por el puntaje obtenido. La distribución fue así: 74 % (DS = 0.06) para la condición secuencial, 74 % (DS = 0.06) para la condición jerárquica, y 78 % (DS= .07) para la condición circunstancial: los grupos no resultaron diferentes estadísticamente (K-W 2, N=15 = 1.28, p = .527, η2=.10). En cada grupo quedaron cuatro, tres y tres mujeres, respectivamente, y los promedios de edad fueron de 24 (DE = 6.2), 28 (DE = 9.4) y 22 (DE = 3.4) años, respectivamente. El promedio en la prueba de selección fue menor al de los participantes del Experimento 1, pero todos pertenecientes al último cuartil. y el promedio de las edades fue mayor.
Instrumentos
Se usaron los mismos textos y pruebas del Experimento 1. pero, adicionalmente, se aplicó una prueba de conocimiento.
Prueba de conocimiento
Antes de iniciar el experimento se pidió a las personas seleccionadas que respondieran una prueba escrita con la siguiente instrucción: "Define de la forma más simple y precisa posible los siguientes conceptos". En seguida, aparecía mi listado de 27 conceptos presentes en los textos y pruebas, pertenecientes al dominio histórico-político, como, por ejemplo, rebelión, autoritarismo, régimen, sublevación, oposición, destierro, reelección, monarca, tregua, sufragio, tributo, y nacionalismo, entre otros. El formato incluía un espacio en blanco después de cada concepto y la persona escribía sin límite de tiempo.
El referente para hacer la calificación de la pertinencia y precisión de las definiciones fue el de Scruton (2007), y la calificación de estos dos atributos la lucieron dos evaluadores -los mismos que crearon los textos y las pruebas- de forma independiente para cada concepto. Se aceptaron valores que indicaran mínimo una concordancia sustancial (> .61) según el criterio de Landis y Koch (1977). Si no la había, se revisaban de nuevo las categorías y se volvía a calificar independientemente. El intervalo de los índices Kappa obtenidos inicialmente para los 27 conceptos estuvo entre .62 y 1.00, todos con p < .001, con un promedio de .75 para precisión, y de .69 para pertinencia. Una vez establecida la concordancia mínima, se llegaron a acuerdos sobre las diferencias, de haberlas, y se definió un puntaje (mico para hacer los análisis.
La media en la prueba de conocimiento de cada condición fue de .59 para la secuencial, .6 para la jerárquica, y .48 para la circunstancial, sin que resultaran estadísticamente diferentes (K-W (2, n=15) = 1.82, p = .40). Los lectores fueron clasificados con alto o bajo conocimiento, teniendo como punto de corte la media de los 15 participantes (.56). Esto arrojó dos lectores de conocimiento bajo en la condición secuencial y jerárquica, respectivamente, y cuatro en la condición circunstancial.
Diseño y procedimiento
Se utilizó el mismo diseño y el mismo procedimiento que en el Experimento 1. con la diferencia de que se aplicó la prueba de conocimiento.
Resultados
Los datos obtenidos sugieren que el desempeño de los lectores con alto y bajo conocimiento es diferencial en las pruebas, y que explican mejor los datos que la diferencia en la estructura textual.
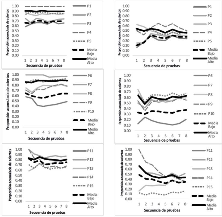
En la columna de la izquierda de la Figura 4 se comparan las proporciones acumuladas de las elecciones coherentes en las tres condiciones -secuencial, jerárquica y circunstancial-, contrastando entre los participantes con conocimiento bajo y alto. Como se puede observar, prácticamente todos los lectores obtuvieron puntajes por encima de .5, aunque en la condición secuencial y jerárquica los de conocimiento alto estuvieron alrededor de .9, mientras que los de conocimiento bajo obtuvieron alrededor de .65. En la condición circunstancial el grupo de conocimiento bajo osciló alrededor de .75. y el de conocimiento alto por encima de .8. Estos datos replican el Experimento 1, y la diferencia entre los niveles de conocimiento añade información relevante. Las distribuciones acumuladas de ambos niveles de conocimiento resultaron ser independientes entre sí en todas las condiciones (secuencial y jerárquica: Kolgomorov-Smirnov (K-S) = 2, p< .001, D = 1; circunstancial: K-S = 1.5, p= .022, D = .75).

Por su parte, la comparación entre las condiciones experimentales de los rangos medios de los lectores con conocimiento alto y bajo, respectivamente, revela que hubo diferencias significativas: los de bajo conocimiento comprendieron mejor en la condición circunstancial que en las demás, con un tamaño del efecto grande (rangos medios: secuencial = 12.5, jerárquica = 4.56, circunstancial = 20.44; K-W 2, N=24 = 20.23, p < .001, η2 = .80); en cambio, los de conocimiento alto sobresalieron en la secuencial, y tuvieron su peor desempeño en la circunstancial (rangos medios: secuencial = 19.88. jerárquico = 13.06. circunstancial = 4.56: K-W 2, N=24 = 19.26, p < .001. η2 = .80). Estos resultados replican, en general, el Experimento 1, pero ofrecen detalles específicos, como que los de conocimiento alto superan a los de bajo cuando se trata de identificar coherencia en todos los tipos de estructura textual, y que los de conocimiento bajo, por otro lado, se beneficiaron más de la estructura circunstancial para identificar opciones coherentes.
Adicionalmente, en la columna derecha de la Figura 4 se compara las proporciones acumuladas de las elecciones de opciones congruentes, diferenciando la media entre conocimiento bajo y alto. Replicando el Experimento 1, los niveles de desempeño son más bajos que los de la elección de opciones coherentes. Además, se replican valores medios entre .3 y .6, pero no se replican las tendencias, pues mientras que en el Experimento 1 el valor medio no mostró tendencia en la condición secuencial y jerárquica, en el presente los de conocimiento bajo mostraron un leve aumento en la primera, los de alto levemente en la segunda, y tanto los de alto como los de bajo fueron disminuyendo sus aciertos en la condición circunstancial. En cada una de las condiciones, las distribuciones de los lectores con conocimiento alto y bajo resultaron significativamente distintas estadísticamente (K-S = 2, p< .001, D = 1 para secuencial y jerárquica: K-S = 1.75, p = .004, D = .87 para circunstancial). Asimismo, solo se encontraron diferencias en la interpretación congruente con los de conocimiento alto, quienes sobresalieron en la condición jerárquica, seguida de la secuencial (rangos medios: secuencial = 11, jerárquica = 18.56, circunstancial = 7.94; K-W 2, N=15 = 9.61, p = .008. η2=.40).
Estos hallazgos apoyan parcialmente las expectativas, pues los lectores con bajo conocimiento se beneficiaron más de la estructura secuencial, y los de alto de la estructura jerárquica -pero no en la circunstancial-.
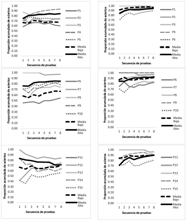
Por otra parte, en la columna izquierda de la Figura 5 se resumen las proporciones acumuladas de elecciones de opciones coherentes pero incongruentes. En todos los casos, la media es mayor para los lectores con conocimiento alto en comparación con los de bajo, y la diferencia resultó estadísticamente significativa, con un tamaño del efecto grande (secuencial: K-S = 2, p < .001, D = 1; jerárquica: K-S = 2, p = < .001. D = 1; circunstancial: K-S = 2, p < 001, D = 1). Al comparar esa misma medida, pero entre condiciones experimentales, se encontró que los de conocimiento bajo sobresalieron en la condición secuencial significativamente (rangos medios: secuencial = 17.25, jerárquica = 6.69. circunstancial = 13.56: K-W 2, N=24 = 9.57, p< .008, η2= .45), mientras que los de conocimiento alto sobresalieron en la jerárquica y en la secuencial (rangos medios: secuencial = 14.44, jerárquica = 15.75, circunstancial = 7.31: K-W 2, N=24 = 6.75. p < .034, η2= .31). Así pues, aquellos lectores con bajo conocimiento se beneficiaron más de la estructura secuencial, mientras que los de conocimiento alto lo hicieron más en la condición jerárquica y no en la circunstancial.
También, en la columna derecha de la Figura 5 se muestra la acumulación de las proporciones de acierto en la elección de opciones incoherentes. En las tres condiciones las medias estuvieron alrededor del .85 para ambos niveles de conocimiento, lo cual replica lo encontrado en el Experimento 1, incluyendo una leve tendencia ascendente en la condición circunstancial. Además, comparando las distribuciones entre ambos niveles de conocimiento en cada condición, se encontró significatividad de la diferencia en la condición secuencial, en donde los lectores con conocimiento bajo estuvieron levemente por encima (secuencial: K-S = 1.5. p = .022, D = 0.75; jerárquica: K-S = .75, p = .62, D = 0.37: circunstancial: K-S = 1 p = .27. D = .5). Asimismo, al comparar los rangos medios de cada una de esas distribuciones entre las tres condiciones, se encuentra que tanto en conocimiento bajo (rangos medios: secuencial = 20.44, jerárquica = 9.69, circunstancial = 7.38; K-W 2, N=24 = 16.86, p < .001, η2 = .78) como en alto (rangos medios: secuencial = 17.69, jerárquica = 13.38, circunstancial = 6.44: K-W 2, N=24 = 10.46. p = .005. η2 = .39) se presentaron diferencias significativas y con un tamaño del efecto fuerte y aceptable, respectivamente, donde sobresalen los aciertos en la condición secuencial. Este patrón de resultado replica los del Experimento 1, y da cuenta de una leve ventaja para los lectores con alto conocimiento en la condición jerárquica.

Ahora bien, la Figura 6 muestra la proporción de reproducciones textuales conectas e interpretaciones congruentes en las respectivas pruebas, agrupadas por su tipo, y comparándolas por su posición -primera, segunda y tercera-, el tipo de estructura en la que se leyó el texto, y el grado de conocimiento del lector -bajo y alto-. Tras el análisis, se encontraron réplicas de algunos resultados del Experimento 1. Por ejemplo, en la condición secuencial se obtuvieron altos desempeños en la prueba de reproducción y más bajos en las pruebas de interpretación -jerárquica y circunstancial: y en las condiciones jerárquica y circunstancial se vieron bajos desempeños en estas mismas pruebas. Sin embargo, a diferencia del Experimento 1, en esas mismas dos condiciones alcanzaron altos desempeños en la prueba de reproducción. Una comparación entre las pruebas de cada condición revela que fueron significativamente distintas y con un tamaño moderado en la condición secuencial (X2(8, N=9) = 16.42, p = .037, W de Kendall = 0.41) y en la circunstancial (X2(8, N=9) = 20.61. p = .008. W de Kendall = 0.51), mas no en la jerárquica (X2(8, N=9) = 13.70, p = .09. W de Kendall = 0.34), lo cual replica el patrón del Experimento 1.

Al comparar cada prueba de reproducción e interpretación entre los lectores con alto y bajo conocimiento se encontró que, a pesar de las diferencias aritméticas, en ningún caso resultaron significativas (U de Maim-Whitney, p > .05). Sin embargo, si se compara el promedio total en todas las pruebas entre lectores con alto y bajo conocimiento, sin discriminar entre las condiciones experimentales, se encuentra una diferencia estadísticamente significativa y con un tamaño del efecto moderado (rango medio: bajo = 45, alto = 75; Z =-2.19, p = .029. η2= .35). Esta diferencia también se encuentra cuando se comparan las elecciones coherentes, pero no con las demás medidas (rango medio: bajo = 42.5, alto = 77.5; Z = -2.49. p = .009, η2 = .41). Sin distinguir nivel de conocimiento, la comparación de la media de aciertos entre condiciones no resulta en una diferencia significativa (rangos medios: secuencial = 7, jerárquica = 11.2, circunstancial = 5.8; K-W 2, N= 15 = 4.0, p = .13). En síntesis, al considerarla media de las puntuaciones de interpretación congruente y del reconocimiento de coherencia, la división de la muestra entre quienes disponen de mayor y menor conocimiento, respectivamente, explica mejor el desempeño en el conjunto de las pruebas que los tipos de estructura textual.
A diferencia del Experimento 1, en este el puntaje de abstracción no correlacionó significativamente con ninguna prueba, ni hubo diferencia entre condiciones (X2(2, N = 15)= 3.45, p = .178), a pesar de que se replicó que la condición jerárquica presentó el mayor rango medio (secuencial = 8.2, jerárquico = 10.5, circunstancial = 5.30). Dado que se consideró que la prueba de abstracción era válida si iba acompañada de comprensión, se identificaron los casos que superaban el percentil 75 en el puntaje de abstracción y en el de comprensión global al mismo tiempo, y se les asoció con las tres condiciones. Una prueba Chi-cuadrado sugiere que no hay asociación entre esas variables (X2(2, N= 15) = 2.5, p = .287), aunque los pocos casos que cumplieron ese criterio (3) pertenecían a la condición que leyó con estructura jerárquica (2) o circunstancial (1). Al comparar entre lectores con alto y bajo conocimiento, con y sin diferenciación entre condiciones, no se encontró ningún caso en el que la diferencia resultara significativa.
Finalmente, en la Tabla 3 se resumen los descriptivos de la frecuencia de consulta del texto y el tiempo de lectura, discriminado entre condiciones y grado de conocimiento. Los valores de frecuencia y duración de los lectores con conocimiento bajo son más similares a los obtenidos en el Experimento 1, pero este segundo experimento añade información interesante, como que los lectores con conocimiento alto consultaron menos veces el texto y duraron más cuando la estructura fue circunstancial, mientras que lo consultaron más veces cuando fue secuencial -con los textos jerárquicos los valores fueron intermedios-: o que los de conocimiento bajo exhiben valores homogéneos en esas dos medidas en los tres tipos de estructura. No obstante, la comparación entre lectores con alto y bajo conocimiento, diferenciando y sin diferenciar entre condiciones experimentales, no resultó en una diferencia estadística.

Discusión general
Los dos experimentos indagaron por el efecto del tipo de estructura textual sobre tres logros: la reproducción de mía secuencia explícita, la comprensión del texto -con cuatro medidas sobre la distinción coherencia/incoherencia, y congruencia/incongruencia-, y la abstracción del principio histórico que podía extraerse en tres textos. El segundo experimento fue una réplica sistemática del primero, pero en este se diferenció la influencia del conocimiento disponible sobre el tópico de los textos.
Se esperaba (a) que la estructura secuencial facilitaría la reproducción de la secuencia, pero no la comprensión ni la abstracción del hecho histórico -la razón es que no exigiría la mediación lingüística de los distintos conceptos del texto, sino ser diferencial a lo explícito-: (b) que las otras dos estructuras -jerárquica y circunstancial- facilitarían la comprensión en la medida en que exigían tal mediación lingüística entre los conceptos implícitos, así como la reproducción de la secuencia, por estar subordinada a lo anterior; (c) que la estructura jerárquica facilitaría la abstracción, por el hecho de presentar el texto en términos de sus relaciones conceptuales relevantes: (d) que estas dos últimas estructuras tendrían mayor efecto en quienes ya conocen el tópico de forma precisa y pertinente, en la medida en que esto facilitaría mediar lingüísticamente: y (e) que, al contrario, quienes no tienen tal conocimiento, podrían mostrar mejor desempeño únicamente en las pruebas de reproducción. Los resultados obtenidos apoyan parcialmente estas expectativas.
En primer lugar, la estructura secuencial o causal facilitó el desempeño en las pruebas que pedían que se reprodujera tal secuencia explícita, pues tanto las personas con alto como con bajo conocimiento disponible en el tópico se beneficiaron de esta estructura en las medidas de reproducción. En este sentido, con la estructura secuencial se presentó lo que podría llamarse una facilitación simétrica, aludiendo a que una estructura facilita el desempeño en la prueba que pregunta por las relaciones definitorias de la misma estructura.
Tal facilitación simétrica, sin embargo, ocurrió parcialmente con la estructura circunstancial y no con la jerárquica. La diferencia entre ambas estructuras es que la primera está organizada en un mismo nivel de abstracción referido a propiedades de entidades y eventos -como motivaciones, intereses, propósitos, rasgos, etc.-y sus relaciones, mientras que la jerárquica hace explícita una subordinación conceptual desde el concepto más abstracto hasta un caso que lo ejemplifica. En principio, podría interpretarse que el dominio de tales subordinaciones conceptuales, características de la historia como disciplina (Achugar & Schleppegrell. 2005), requieren de un repertorio lingüístico más sofisticado que el de los participantes. Esto podría evaluarse con lectores expertos en este dominio. En cambio, las estructuras que exigen un dominio conceptual de primer orden (Shanahan & Shanahan. 2008) pueden prestarse para responder con mayor facilidad a pruebas simétricas en estructura.
En segundo lugar, el hecho de que la estructura circunstancial haya presentado menor facilitación simétrica que la secuencial va de la mano con que en esta estructura se presentó en mayor medida interferencia asimétrica, es decir, cuando una estructura textual afecta el desempeño en una prueba de otra estructura. En el estudio se encontraron dos casos: de la estructura secuencial a las pruebas comprensivas -asimetría explícito-implícito-, y de la estructura circunstancial a la prueba de reproducción-asimetría implícito-explícito-. El hallazgo es que quienes leyeron con estructura secuencial subinterpretaron el texto (Pérez-Almonacid et al., 2015), es decir, no aprovecharon todas las posibilidades inferencíales que el texto ofrecía. Esto coincide con los hallazgos de McNamara (2004) y Amiri et al. (2012) respecto a que textos muy organizados y cohesionados tienen impacto en el desempeño sobre lo explícito, pero no sobre lo implícito. Según la evidencia reportada por estos autores, tal interferencia podría compensarse con la habilidad del lector para inferir, lo que lleva de nuevo a proponer que la mediación lingüística es esa competencia crítica que reduce la posibilidad de la interferencia asimétrica.
Ahora bien, sobre el segundo tipo de interferencia asimétrica se encontró que quienes leyeron con estructuras altamente implícitas, especialmente circunstanciales, sobreinterpretaron el texto (Pérez-Almonacid et al., 2015), en el sentido en el que fueron más allá de lo que la historia permitía en términos de la secuencia de eventos. Este hallazgo no se anticipaba, pues se asumía que las relaciones explícitas demandadas en la prueba serían mía condición básica para comprender el texto, aunque este las tuviera implícitas, pues las secuencias temporales constituyen la infraestructura sobre la que se despliega la trama.
La explicación de ambos tipos de interferencia puede recaer en el hecho de que la estructura circunstancial trae consigo una mayor carga inferencíal que la secuencial. Estudios previos han mostrado la relación entre la dificultad de un texto y la habilidad para hacer inferencias e integrar diferentes segmentos del mismo (Oakhill. 1993). De hecho, un texto altamente implícito abre un espacio mayor de posibilidades de relaciones pertinentes que uno explícito, y esto puede magnificarse si se cuenta con mayor conocimiento, pues es más probable que algo pueda ser el caso dependiendo de muchas otras variables que se conocen y termine sobreinterpretando o malinterpretando el texto. Si esto fuera así, la aptitud de los lectores para hacer explícito lo implícito -es decir, inferir gracias a la mediación lingüística- sería un factor crítico posibilitado!' que tendría que controlarse en futuros estudios. La expectativa es que aquellos con mayor aptitud mostrarían un efecto más marcado de facilitación simétrica con estructuras circunstanciales (McNamara. 2004).
En tercer lugar, resultan interesantes los pocos casos de facilitación asimétrica encontrados, es decir, cuando una estructura textual facilita la comprensión en pruebas correspondientes a mía estructura distinta. La estructura circunstancial permitió en algunos casos superar con gran nivel las pruebas de reproducción. Asimismo, mientras que se dieron algunos casos de facilitación asimétrica de implícito a explícito, no se dio ningún caso opuesto, de explícito a implícito, y aunque esto era lo que se esperaba, asumiendo que la exigencia de inferencia facilitaría reconstruir las secuencias temporales implícitas, llama la atención que fue un dato escaso. Por tanto, los resultados sugieren que no habría una ventaja inherente de un tipo de asimetría sobre otra, por lo que la diferencia puede deberse a factores del lector, como su repertorio de entrada o lo que hizo durante la lectura. Además, la evidencia obtenida en el Experimento 2 nos permite descartar que el conocimiento disponible haya marcado una diferencia en este efecto. Apuntamos, entonces, que la calidad en la mediación lingüística pudo ser responsable del efecto, y eso mismo daría cuenta de la variabilidad de los datos, pues no fue un factor controlado.
En cuarto lugar, las diferentes medidas de comprensión utilizadas permitieron sacar algunas conclusiones, como que, aunque en general todos los lectores distinguieron lo que es coherente e incoherente, fue más fácil notarlo con la estructura secuencial, y en particular con conocimiento alto. Posiblemente esto se deba a lo que se comentó sobre la mayor probabilidad a sobreinterpretar con textos más implícitos: de hecho, los puntajes más bajos en el reconocimiento de coherencia se presentaron en la estructura circunstancial. Asimismo, la medida que mejor se asoció a la calidad del conocimiento fue la de la elección de opciones incongruentes pero coherentes, pues los de alto conocimiento sobresalieron en esta medida en los textos jerárquicos, mientras que los de bajo lo hicieron en los textos secuenciales. Esto podría explicarse apelando a la menor discriminabilidad entre opciones coherentes congruentes e incongruentes, si no se sabe del tema -esta diferencia fue más notable con la estructura jerárquica y no con la circunstancial-. Una interpretación plausible es la correspondencia entre la naturaleza conceptual abstracta de la estructura jerárquica y la medida del conocimiento. Al contrario, la estructura circunstancial se organiza en un mismo plano de abstracción referido a propiedades conceptuales de entidades y eventos.
En quinto lugar, la medida de conocimiento fue suficiente para encontrar diferencias en la comprensión. De hecho, esta variable explica mejor las diferencias en la interpretación congruente que la estructura textual, lo cual indica que, aunque ambas variables modulan el desempeño, el conocimiento del lector sobre el tópico pesaría más para predecir la comprensión, sin que resulte suficiente explicarla por completo. Algunos estudios reportan una subordinación del conocimiento a la habilidad del lector (McNamara, 2004: Ozuru et al., 2009), por lo que es posible que una buena competencia para mediar lingüísticamente potencie la influencia de tener un mayor conocimiento sobre el dominio.
Finalmente, un mejor desempeño en la prueba de abstracción se asoció con la estructura jerárquica, lo cual sugiere que esta dispuso de una manera de hablar genérica sobre el hecho histórico. No obstante, el análisis conjunto con las medidas de comprensión revela que en pocos casos quien abstrajo el hecho comprendió las relaciones implícitas del texto, por lo que no es posible concluir que haya una relación sistemática entre abstracción y comprensión. La única asociación encontrada fue con la identificación de opciones coherentes incongruentes. Quizás la separación sutil entre lo congruente e incongruente, pero ambos coherentes, exija los mismos requisitos conductuales para formular conceptos de forma pertinente, precisa y genérica. Posiblemente la raíz de lograr aquella distinción sea la habilidad para separar ejemplares de no ejemplares, y. según la evidencia (William & Camine, 2014), es una habilidad crítica para el logro conceptual.
Para terminar, en la medida en que la interpretación de los datos apunta a la mediación lingüística como factor crítico, lo que procede a futuro es caracterizar cómo la manera de leer lleva a tales resultados con factores moderadores como la estructura textual y el tipo de prueba, entre otros. La literatura suele distinguir entre lectores hábiles y expertos de los que no lo son. para comparar sus desempeños (Linderholm et al., 2000), pero no es fácil encontrar estudios en los que se observe con detenimiento el comportamiento del lector durante la lectura, y, en particular, el que lleva a hacer explicito lo implícito. Esta podría ser una dirección para conducir la investigación en adelante.
Por otro lado, se ha mencionado que el estatus conceptual de la mediación lingüística es el de una competencia. A diferencia del conocimiento conceptual, que es un tipo de saber qué -o declarativo-, la mediación lingüística es un tipo de saber cómo -o procedimental- (Ryle, 1949), que se ubica en el ámbito de las competencias. Para ser más precisos, en tanto relación pertinente con base en el SCC, no es mía competencia desde un principio, sino que se muestra episódicamente como acto efectivo. Es un proceso conductual que permite el logro comprensivo y a través del entrenamiento puede devenir en una competencia. Como señalan De la Sancha y Pérez-Almonacid (2017). para que ocurra el logro comprensivo, el lector tendría que exponerse a textos y pruebas cuya solución exija procedimientos flexibles par a lograr una interpretación legítima, en lugar de rutinas invariantes de solución.
Asimismo, los hallazgos sugieren que es necesario distinguir entre la mediación lingüística de relaciones conceptuales isoordinadas y las subordinadas, por lo que tendrían que entrenarse diferencialmente (Pérez-Almonacid et al., 2014). Una vez establecida la competencia, puede ser un predictor suficiente del grado de comprensión que un lector puede obtener, por lo que, en un experimento posterior, clasificar a la población en términos de su nivel de competencia logrado para mediar lingüísticamente podría ser suficiente para predecir su logro comprensivo. Los demás factores, como el desarrollo léxico, el dominio disciplinar, el conocimiento del tema, la motivación por la lectura, entre otros, serían factores moduladores del impacto de tener esa competencia.
Adicional a lo anterior, es importante mencionar que alguna variabilidad en los datos podría atribuirse a las siguientes decisiones metodológicas, lo cual podría ser tenido en cuenta para próximos estudios:
Finalmente, el estudio podría tener algunas implicaciones educativas, como que el desempeño de un lector se ve afectado por la correspondencia entre la estructura textual y la estructura de la prueba, por lo que, si se busca que el lector comprenda lo implícito, el texto debe promoverlo. Sin embargo, esto se facilita si el lector tiene un conocimiento conceptual del dominio, y. aún más importante, que sepa cómo inferir, y esto tendría que entrenarse. De lo contrario, el texto interfiere en la comprensión, ya sea produciendo sub o sobreinterpretaciones, incluso conociendo del tema. Si lo que se busca es que el lector abstraiga principios intertextuales, la estructura jerárquica facilita formulaciones genéricas que resultan superficialmente abstractas si no se comprenden los textos. Sin embargo, incluso comprendiendo, la abstracción de principios intertextuales necesitaría estrategias diferentes para su desarrollo.
Referencias
Achugar, M., & Schleppegrell, M. J. (2005). Beyond connectors: The construction of cause in history textbooks. Linguistics and Education, 16(3). 298-318. https://doi.org/10.1016/j.linged.2006.02.003.
Amiri, R, Zainal, Z., & Abdul, A. (2012). Effects of text structure on the Iranian students' reading comprehension reading. Procedia: Social and Behavioral Sciences, 66, 402-409. https://doi.org/10.1016/j.sbspro.2012.11.283.
Armand, F. (2001). Learning from expository texts: Effects of the interaction of prior knowledge and text structure on responses to different questions types. European Journal of Psychology of Education, 16(1), 67-86. https://doi.org/10.1007/BF03172995.
Barton, K. C, & Levstik, L. S. (2004). Narrative structure and history education. En K. C. Barton & L. S. Levstik (Eds.), Teaching history for the common good (pp. 129-149). Lawrence Erlbaum.
Bohn-Gettler, C. M., & Kendeou, P. (2014). The interplay of reader goals, working memory, and text structure during reading. Contemporary Educational Psychology, 39(3), 206-219. https://doi.org/10.1016/j.cedpsych.2014.05.003.
Carretero, M., & Limón, M. (1993). Aportaciones de la psicología cognitiva y de la instrucción a la enseñanza de la historia y las ciencias sociales. Journal for the Study of Education and Development, 16(62-63). 153-167. https://doi.org/10.1080/02103702.1993.10822378.
Carretero, M., & López, C. (2011). Estudios sobre el aprendizaje y la enseñanza de la historia: Implicaciones para el desarrollo de la alfabetización histórica. Ciencias & Letras. 49. 139-155. https://docplayer.es/90902005-Estudios-sobre-el-aprendizaje-y-la-enseñanza-de-la-historia-implicaciones-para-el-desrrollo-de-la-alfabetizacion-hiistorica.html.
Carretero, M . Rosa, A., & González, M F. (2006). Introducción. Ensenar historia en tiempos de memoria. En M. Carretero, A. Rosa & M. F. González (Comps.). Enseñanza de la historia y memoria colectiva (pp. 1136). Paidós.
Castro, L. (1972). Diseños experimentales sin estadística. Trillas.
Cercadillo, L., Chapman, A., & Lee, P. (2017). Organizing the past: historical accounts, significance and unknown ontologies. En M. Carretero , S. Berger & M. Grever (Eds.). Palgrave Handbook of Research in Historical Culture and Education (pp. 529-552). Palgrave MacMillan.
De la Sancha, O., & Pérez-Almonacid, R. (2017). Competencias y habilidades: implicaciones de su naturaleza disposicional. En J. J. Irigoyen, K. F. Acuña, & M. Y. Jiménez (Coords.), Aportes conceptuales y derivaciones tecnológicas en psicología y educación, (pp.43-56). Qaituppi.
Dymock, S. (2005). Teaching expository text structure awareness. The Reading Teacher, 59(2), 177-181. https://doi.org/10.1598/RT.59.2.7.
Fincher-Kiefer, R. (1992). The role of prior knowledge in inferential processing. Journal of Research in Reading, 15(1), 12-27. https://doi.org/10.1111/j.1467-9817.1992.tb00018.x.
Fustes, M., & Fernández, M. (2006). El discurso causal en la enseñanza de la historia. Campo Abierto, 25(1), 99-101. http://hdl.handle.net/11162/28151.
Johnston, P. (1984). Prior knowledge and reading comprehension Test Bias. Reading Research Quarterly, 19(2), 219-239. https://doi.org/10.2307/747364.
Judd, C. M. & Kenny, D. (1981). Estimating the effects of social interventions. Cambridge University Press.
Kendeou, P., & van den Broek, P. (2007). The effects of prior knowledge and text structure on comprehension processes during reading of scientific texts. Memory & Cognition, 35(7). 1567-1577. https://doi.org/10.3758/BF03193491.
Khoo, Ch., Chao, S., & Niu, Y. (2002). The many facets of cause-effect relation. En R. Green, C. A. Bean. & S. H. Myaeng (Eds.). The semantics of relationships: An interdisciplinary perspective (pp. 51-70). Kluwer.
Kintsch. W. (1998). Comprehension. A paradigm for cognition. Cambridge University Press.
Koban Koç, D. (2016). The role of gender in reading comprehension: An analysis of college-level EFL students' comprehension of different genres. International Online Journal of Education and Teaching (IOJET), 3(3). 218-227. http://iojet.org/index.php/IOJET/article/view/142/137
Koh, M. Y (1985). The role of prior knowledge in reading comprehension. Reading in a Foreign Language, 3(1), 375-380. https://scholarspace.manoa.hawaii.edu/bitstream/10125/66995/3_1_10125_66995_rfl31yin.pdf.
Landis, J. R., & Koch, G. G. (1977). The measurement of observer agreement for categorical data. Biometrics, 33(1), 159-174. https://doi.org/10.2307/2529310.
León, J. A., &Carretero, M . (1995). Intervention in comprehension and memory strategies: Knowledge and use of text structure. Learning and Instruction, 5(3), 203-220. https://doi.org/10.1016/0959-4752(95)00011-Q.
Linderholm, T., Everson, M. G., van den Broek, P., Mischmski, M, Crittenden, A., & Samuels, J. (2000). Effects of causal text revisions on more- and less-skilled readers' comprehension of easy and difficult texts. Cognition and Instruction, 18(4), 525-556. https://doi.org/10.1207/S1532690XCI1804_4.
McNamara, D. S. (2001). Reading both high-coherence and low-coherence texts: Effects of text sequence and prior knowledge. Canadian Journal of Experimental Psychology, 55(1), 51-62. https://doi.org/10.1037/h0087352.
McNamara, D. S. (2004). Aprender del texto: Efectos de la estructura textual y las estrategias del lector. Revista Signos, 37(55), 19-30. http://dx.doi.org/10.4067/S0718-09342004005500002.
McNamara, D.S., & Kintsch, W. (1996). Learning from texts: effects of prior knowledge and text coherence. Discourse Processes, 22(3), 247-288. https://doi.org/10.1080/01638539609544975.
Meyer, B. J. F. (1984). Text dimensions and cognitive processing. En H. Mandl, N. Stem & F. Trabasso (Eds.). Learning and comprehension of text (pp. 3-52). Lawrence Erlbaum Associates.
Meyer, B. J. F., & Ray, M. N. (2011). Structure strategy interventions: Increasing reading comprehension of expository text. International Electronic Journal of Elementary Education, 4(1), 127-152. https://files.eric.ed.gov/fiilltext/EJ1070453.pdf.
Montanero, M., & Lucero, M. (2012). Rhetorical structure and graphic organizers: Effects on learning from a history text. International Journal of Instruction, 5(2). 21-40. https://dergipark.oig.tr/en/download/article-file/59737.
Oakhill, J. (1993). Children's difficulties in reading comprehension. Educational Psychology Review, 5(3), 223-237. https://www.jstor.org/stable/23359245.
Ozuru, Y. Dempsey, K., & McNamara, D. S. (2009). Prior knowledge, reading skill, and text cohesion in the comprehension of science texts. Learning and Instruction , 19(3), 228-242. https://doi.org/10.1016/j.leaniinstruc.2008.04.003.
Paxton, R. J. (1999). A deafening silence: history textbooks and the students who read them. Review of Educational Research, 69(3), 315-339. htrps://doi.org/10.3102/00346543069003315.
Pearson, P. D., Hansen, J., & Gordon, C. (1979). The Effect of background knowledge on young children's comprehension of explicit and implicit information. Journal of Reading Behavior, 11(3), 201-209. https://doi.org/10.1080/10862967909547324.
Pérez-Almonacid, R., & Bautista-Castro, L. R. (2021). Ajuste categorial/conceptual: un análisis histórico-conceptual. Acta Comportamentalia, 29(4), 83-113. https://www.revistas.unam.nix/index.php/acom/article/view/80315/70797.
Pérez-Almonacid,, R., García-Utrera, L., & Ortiz, D. M. (2015). El estudio psicológico de la comprensión. En M. A. Reyes. G. Mendoza & P. Barrera (Eds.), Algunas aportaciones psicológicas y sociológicas a la educación (vol. 2. pp. 77-101). Nautilum.
Pérez-Almonacid, R., Rangel, M. M., Bautista, L. R., Hernández, L, & Ortiz, D. M. (2014). Aprendizaje y abstracción conceptual. En G. Mendoza , M. A. Reyes & P. Barrera (Eds.), Algunas aportaciones psicológicas y sociológicas a la educación (1.a ed.). (pp. 59-79). Universidad Autónoma de Chihuahua.
Rodríguez-Moneo, M., & López, C. (2017). Concept acquisition and conceptual change. En M. Carretero . S. Berger & M. Grever (Eds.), Palgrave Handbook of Research in Historical Culture and Education (pp. 469-490). Palgrave MacMillan.
Ryle, G. (1949). The concept of mind. Barnes & Noble.
Schleppegrell, M. J. (2004). The language of schooling: A functional linguistics perspective (1.a ed.). Lawrence Erlbaum.
Schnotz, W. (1982). How do different readers learn with different text organizations? En A. Flammer & W. Kintsch (Eds.), Discourse processing (pp. 87-97). North Holland.
Scruton, R. (2007). The Palgrave. Macmillan Dictionary of Political Thought (3.a ed.). Palgrave MacMillan.
Shanahan, C. (2009). Disciplinary comprehension. En S. E. Israel & G. G. Duffy (Eds.), Handbook of research on reading comprehension (pp. 240-260). Routledge.
Shanahan, T., & Shanahan, C. (2008). Teaching disciplinary literacy to adolescents: rethinking content- area literacy. Harvard Educational Review, 78(1), 40-59. https://doi.org/10.17763/haer.78.1.v62444321p602101.
Sidman, M. (1960). Tactics of scientific research. Basic Books.
Szigriszt, F. (1993). Sistemas predictivos de. legibilidad del mensaje, escrito: fórmula de perspicuidad (Tesis doctoral). Universidad Complutense de Madrid. http://webs.ucm.es/BUCM/tesis//19911996/S/3/S3019601.pdf.
Thanyapa, I., & Currie, M.G. (2014). The number of options in multiple choice items in language tests: Does it make any difference? Evidence from Thailand. Language Testing in Asia, 4(8), 1-21. https://doi.org/10.1186/S40468-014-0008-7.
Van Dijk, T. A., & Kintsch, W. (1983). Strategies of discourse comprehension. Academic Press.
Voss, J. R, & Silfies, L. N. (1996). Learning from history text: The interaction of knowledge and comprehension skill with text structure. Cognition and Instruction , 14(1), 45-68. https://doi.org/10.1207/s1532690xci1401_2.
Voss, J. F., & Wiley, J. (1997). Conceptual understanding in history. European Journal of Psychology of Education , 12. 147-158. https://doi.org/10.1007/BF03173082.
Voss, J. F., & Wiley, J. (2006). Expertise in History. En K. A. Ericsson, N. Charness, P. J. Feltovich & R. R. Hoffman (Eds.). The Cambridge handbook of expertise and expert performance (1a ed.) (pp. 569-584). Cambridge University Press.
William, P. B., & Camine, D. W. (2014). Relationship between range of examples and of instructions and attention in concept attainment. The Journal of Educational Research, 74(3). 144-148. https://doi.org/10.1080/00220671.1981.10885300.
Williams, J. P. (2005). Instruction in reading comprehension for primary-grade students: a focus on text structure. The Journal of Special Education, 39(1). 6-18. https://files.eric.ed.gov/fulltext/EJ693938.pdf.
Notas
Notas de autor
* Avenida María Enriqueta # 3, entre Privada Justo Fernández y Calle Juan G. Alarcón, Coatepec, Veracruz, México, CP.: 91500. luis.garciau@msev.gob.mx, ** Avenida María Enriqueta # 3, entre Privada Justo Fernández y Calle Juan G. Alarcón, Coatepec, Veracruz, México, CP.: 91500. ricardo.pereza@udea.edu.co