Artículos
Efecto del Tratamiento Grupai Breve de Activación Conductual para Depresión (BATD-G) en personas privadas de la libertad
Effect of Brief Group Behavioral Activation Treatment for Depression (BATD-G) in Incarcerated Individuals
Efecto del Tratamiento Grupai Breve de Activación Conductual para Depresión (BATD-G) en personas privadas de la libertad
Acta Colombiana de Psicología, vol. 27, núm. 1, p. 1, 2024
Universidad Catolica de Colombia
Recepción: 04 Octubre 2022
Recibido del documento revisado: 02 Mayo 2023
Aprobación: 25 Julio 2023
Resumen: El Tratamiento Breve de Activación Conductual para Depresión (BATD-R) orienta actividades reforzantes para intervenir sintomatología depresiva. El objetivo fue establecer el efecto del tratamiento en formato grupal (BATD-G) en una muestra no probabilística de seis hombres exmiembros de la fuerza pública privados de la libertad, con depresión. Se utilizó un estudio de caso único A-B con seguimiento. Los instrumentos fueron la Escala de Observación de Recompensa del Entorno, la Escala de Activación Conductual para Depresión, la Escala de Zung para depresión y los Formatos de monitoreo diario. Se encontró que el BATD-G tuvo efecto en la frecuencia de conductas saludables y depresivas, según las diferencias estadísticamente significativas entre la línea de base y tratamiento, así como la estabilidad del cambio en el seguimiento. Al mismo tiempo se encontraron cambios clínicos en las medidas de percepción de reforzamiento medioambiental y factores de cambio de la Activación Conductual (activación, evitación/rumia, afectación laboral/académica y deterioro social). Los tamaños del efecto fueron grandes según el no solapamiento de todos los pares en las conductas depresivas, saludables y estado del ánimo. Se concluyó que la intervención tuvo el efecto esperado en formato grupal para esta población, y fueron coherentes con las teorías de la activación conductual.
Palabras clave: Depresión, activación conductual, terapia grupal, prisión, sistema legal.
Abstract: Brief Behavioral Activation Treatment for Depression (BATD-R) directs reinforcing activities to address depressive symptomatology. The objective was to establish the effect of BATD-G in a non-probabilistic sample of six men, former members of the armed forces, incarcerated and experiencing depression. A single-case A-B design with follow-up was employed. Instruments included the Environmental Reward Observation Scale, the Behavioral Activation for Depression Scale, the Zung Depression Scale, and Daily Monitoring Formats. BATD-G was found to have an effect on the frequency of healthy and depressive behaviors, as indicated by statistically significant differences between baseline and treatment, along with the stability of change at follow-up. Concurrently, clinical changes were observed in measures of environmental reinforcement perception and Behavioral Activation change factors (activation, avoidance/rumination, occupational/academic impairment, and social deterioration). Effect sizes were large, demonstrated by non-overlapping pairs in depressive, healthy behaviors, and mood. It was concluded that the intervention had the expected effect in a group format for this population and was consistent with behavioral activation theories.
Keywords: Depression, behavioral activation, group therapy, prison, legal system.
Introducción
Desde el año 2000 la población mundial ha crecido 20%, mientras que la población encarcelada ha experimentado un aumento de 30%. La tasa de población penitenciaria ha pasado de 136 a 144 por cada 100000 habitantes, lo que deja un saldo de más de 10.35 millones de personas que actualmente se encuentran en prisión (Alemayehu et al., 2019). Alrededor de siete millones de personas privadas de la libertad (RRL) se encuentran en países de bajos ingresos y renta media, lo que representa cerca de 70% de la población carcelaria mundial (Baranyi et al., 2019).
Los trastornos en la salud mental y relacionados con el uso de sustancias son frecuentes en personas vinculadas a procesos legales y criminales (Borschmann et al., 2020), y quienes están encarcelados pueden presentar altos niveles de depresión, ansiedad y estrés (Per et al., 2019). Una de cada nueve RRL en el mundo padece de un trastorno mental, siendo la depresión y la ansiedad las más prevalentes (Alemayehu et al., 2019). Se han encontrado niveles de ansiedad y depresión en poblaciones penitenciarias que, en comparación con las comunitarias, resultan ser más del triple (Butcher et al., 2021). Los factores ambientales e individuales en la cárcel pueden empeorar la situación de las personas en prisión (Benavides et al., 2019); por ejemplo, el hacinamiento, la falta de higiene, la calidad de la comida, la falta de actividad, el uso problemático de drogas o sustancias, la soledad forzada, la culpa, la vergüenza, o la sensación de escaso apoyo social, en cuanto a lo ambiental (Thekkumkara et al., 2022); la agresión física, ser víctima de abuso sexual en algún momento de la vida, tener hijos (Ribeiro et al., 2020), la falta de espacio personal, de privacidad y de actividades profesionales, o la coerción entre RRL, en lo que respecta al ámbito individual (Butcher et al., 2021). En la revisión narrativa realizada en el año 2022 en las bases de datos Scopus, Science Direct y Sage, no se encontraron referencias frente a estos factores en penitenciarías dedicadas a exmiembros de la fuerza pública.
El trastorno depresivo mayor (TDM) es la enfermedad mental grave más común entre las RRL, que conlleva una elevada carga de mortalidad y discapacidad (Ferrari et al., 2013). Los efectos del TDM en las prisiones se han rastreado por décadas e incluyen riesgo de suicidio, interferencias en el tratamiento penitenciario, agresión física, incapacidad de protegerse de forma asertiva, rechazo por parte de otros reclusos y comportamiento agresivo (Johnson et al., 2019). El TDM también se asocia con la recaída en el uso de sustancias y con el regreso a la custodia correccional una vez que las personas son liberadas de la prisión (Baillargeon et al., 2009).
A la fecha existe una gran cantidad de terapias con apoyo empírico para la depresión. La decimosegunda división de la American Rsychological Association (ARA, 2022) muestra un listado de 16 alternativas de tratamiento para cuadros depresivos. La terapia cognitivo conductual, la interpersonal, la activación conductual (AC), la de resolución de problemas, entre otras, son tratamientos psicológicos bien establecidos que han mostrado efectos significativos en la depresión de adultos (Colombo et al., 2022; Cuijpers et al., 2019a). De acuerdo con Cuijpers et al. (2019c), diversos metaanálisis sugieren que no existen diferencias entre los efectos de las alternativas de tratamiento para la depresión ni en sus formatos de administración, además de contar con mejores resultados a largo plazo frente a los medicamentos antidepresivos.
Aunque es amplia la variedad de alternativas para atender los cuadros depresivos, la AC es una psicoterapia parsimoniosa, rentable y de fácil difusión (Richards et al., 2016). Es un tratamiento contextual orientado a incrementar las actividades que permitan acceder a fuentes de recompensa y a la solución empírica de problemas (Bianchi & Henao, 2015); es flexible, práctico (Magidson et al., 2022), menos intensivo y costoso que la terapia cognitivo conductual (Han & Kim, 2022). Su eficiencia se destaca frente a otras alternativas debido a su fácil entrenamiento, aplicabilidad en contextos tanto clínicos como comunitarios, menos sesiones de intervención (Cuijpers et al., 2019b), además de que se sustenta en una teoría parsimoniosa, tiene costos limitados, puede alcanzar efectos duraderos (González-Terrazas & Campos-Aguilera, 2021), y cuenta con evidencia de varios estudios y metaanálisis con tamaños del efecto superiores a .70 (Chan et al., 2017; Cuijpers et al., 2019b; Ekers et al., 2014).
Adicionalmente, la AC ha mostrado evidencia empírica que la consolida como una alternativa de tratamiento en diversas poblaciones con depresión, ya sea en pacientes con depresión subumbral (Jiang et al., 2021), universitarios con sintomatología depresiva, adultos con depresión mayor, población general (Ekers et al., 2014), cuidado res (Xu et al., 2020), personas de la tercera edad (Orgeta et al., 2017), con estrés postraumático (Etherton & Farley, 2022), y mujeres víctimas de violencia (Ramírez-Cruz et al., 2023), ya sea administrada en grupo (Chan et al., 2017) o por Internet (Han & Kim, 2022; Huguet et al., 2018).
En la revisión y búsqueda que se llevó a cabo en las bases de datos mencionadas no se encontraron estudios de AC en población penitenciaria en general, ni en personal de exmiembros de la fuerza pública en prisión. Únicamente se halló una investigación con adultos mayores (n = 4) en la residencia de ancianos (nursing home) de un sistema penitenciario estatal (Meeks et al., 2008). En esta se implementó BE-ACTIV, un tratamiento híbrido entre AC (sesiones individuales) que vinculó al personal de guardia, de modo que se facilitara la realización de actividades placenteras. Tras diez sesiones de intervención, los autores encontraron disminución de la sinto-matología depresiva e incremento en el funcionamiento global; el afecto negativo autorreportado mejoró en dos participantes. Los resultados sugieren la factibilidad del tratamiento en esta población en particular.
A nivel grupal, la AC ha presentado una efectividad similar a la individual. En el metaanálisis de ensayos clínicos aleatorizados de Chan et al. (2017), se encontró que 240 pacientes con depresión moderada mostraron una reducción de puntuaciones medias de 6.06% (IC de 95%: -8.08, -3.85) y un efecto total altamente significativo (z = 5.36; p < .001). En Colombia, Garcés-Rojas et al. (2022) adaptaron y validaron en formato grupal el Behavioral Activation Treatment for Depression (BATD-R) (Lejuez et al., 2011), y reportaron un efecto significativo de la AC sobre la frecuencia de conductas saludables (tau-U = 0.92; p < .01) y depresivas (tau-U = -.58, p < .01) en estudiantes universitarios, así como cambios clínicos en la gravedad de la depresión y la percepción de reforzamiento medioambiental.
El Tratamiento Breve de Activación Conductual para Depresión (BATD-R) (Lejuez et al., 2011) busca incrementar el valor de las actividades opuestas al comportamiento depresivo (Lejuez et al., 2001). De acuerdo con la ley de igualación de Herrnstein (1970), al incrementar el contacto con reforzadores de conductas saludables en la persona deprimida, disminuyen los comportamientos depresivos e incrementan los alternativos (Hopko et al., 2003). Las conductas depresivas se mantienen por el reforzamiento que reciben, por la ausencia de reforzamiento de conductas alternas, o por la combinación de ambas condiciones (Bianchi & Muñoz, 2014).
En Colombia se han desarrollado diferentes investigaciones afines a la AC: 1) evaluación de las propiedades psicométricas de escalas que evalúan el reforzamiento positivo contingente a la respuesta (índice de probabilidad de recompensa [RRI] [Reyes et al., 2023]; Escala de Observación de Recompensa del Ambiente [EROS] [Saavedra et al., 2023; Valderrama et al., 2016]) y factores de cambio propios de la AC (Escala de Activación Conductual para Depresión [BADS] [Leal-Hernández et al., 2023]); 2) estudios experimentales de caso único con el protocolo BATD con adolescentes (Guaidía, 2020), universitarios (Garcés et al., 2022; Gordillo, 2023), adultos con depresión (Pinzón-Corredor & Bianchi, 2023), personas con esclerosis lateral amiotrófica (Uribarren, 2020), entre otros, y 3) eficacia de protocolos BATD de única sesión con universitarios (Parra et al., 2019) y cuidadores (Cuevas, 2020).
La adaptación a formato grupal del BATD (BATD-G) (Garcés-Rojas et al., 2022) en comparación con intervenciones en formato individual trae consigo ventajas en el sentido costo-beneficio, como optimización de tiempo, recursos y esfuerzo (Soleimani et al., 2015), reforzamiento de comportamientos objeto de intervención (Vandenberghe, 2015), promoción de alianza terapéutica, y entrenamiento en solución de problemas, toma de decisiones, liderazgo y empoderamiento (Sanz, 2014).
Dadas las altas tasas de prevalencia de los TDM en personas privadas de la libertad, las dificultades relacionadas con la administración de tratamientos para este tipo de población (variables del contexto y personales) y las características de la AC como una alternativa costo-efectiva para la intervención de estas problemáticas en diversos contextos y poblaciones, el propósito de este estudio fue evaluar el efecto del BATD-G en exmiembros de la fuerza pública con TDM recluidos en una penitenciaría. Rara tal efecto se llevó a cabo un estudio de caso único que, como hipótesis preliminar, esperaba encontrar un incremento en frecuencias de conductas saludables y de niveles de estado de ánimo diario, así como una disminución de las conductas depresivas. Al mismo tiempo, aspiraba un cambio clínico a la luz de los supuestos de la AC con mayores niveles de reforzamiento positivo contingente a la respuesta y activación, y menores niveles de severidad de la depresión, evitación o rumia, afectación laboral o académica, y deterioro social en cada uno de los participantes.
Método
Diseño
Se implementó un diseño de caso único A-B con seguimiento. En la fase A se incluyó una serie de observaciones de la frecuencia natural de las conductas objeto de estudio (conductas saludables, depresivas y estado de ánimo), con el registro de monitoreo diario en las cuatro primeras sesiones del protocolo BATD-G (Garcés-Rojas et al., 2022) (sesión preliminar, 1, 2 y 3) dirigidas a la preparación de la intervención (áreas vitales, valores, actividades y jerarquía de activación). En la Fase B se administró el componente activo del tratamiento desde la sesión 4 hasta la 10 del BATD-G, y se continuó el registro de las conductas objeto de estudio en el monitoreo diario. En la fase de seguimiento se tomaron mediciones durante tres semanas.
La variable dependiente corresponde a la depresión. Rara su evaluación se tuvieron en cuenta tanto medidas primarias como secundarias. Las conductas objetivo fueron la frecuencia de conductas depresivas y saludables, y el registro de estado de ánimo diario. Como medidas secundarias se midieron la severidad de la depresión, los factores responsables del cambio (activación, evitación o rumiación, afectación laboral o académica, y deterioro social) y la percepción de re forzamiento medioambiental.
Participantes
A través de un muestreo no probabilístico (Hernández-Sampieri et al., 2014), se reclutaron, de un total de nueve candidatos, seis hombres exmiembros de la fuerza pública, privados de la libertad, con edades entre 21 y 34 años (n = 6, M = 29.83, DE = 5.27), con un nivel de escolaridad hasta secundaria: dos exoficiales y cuatro exsuboficiales. Dos de ellos reportaron un nivel socioeconómico bajo y una escasa red de apoyo.
Dentro de los criterios de inclusión se tuvieron en cuenta: 1) vinculación mínima de seis meses en la fuerza pública; 2) puntuaciones superiores a 40 en la Escala autoaplicada de Zung para depresión (Zung-SDS); 3) cumplimiento de criterios diagnósticos para TDM, y 4) descarte de comorbilidades con trastornos psiquiátricos severos (trastornos psicóticos, bipolares, de personalidad, entre otros). Los criterios de exclusión fueron: 1) síntomas depresivos desencadenados por factores endógenos; 2) problemas de consumo de sustancias psicoactivas; 3) asistir concomitantemente a un tratamiento psicológico o psiquiátrico, y 4) comorbilidad con trastornos mentales. Tres personas cumplieron los criterios de exclusión durante el proceso de selección identificados en la entrevista inicial y la administración de la entrevista estructurada.
Instrumentos
Entrevista neuropsiquiátrica internacional (MINI) (Galli et al., 2002)
Entrevista estructurada breve que identifica la presencia de los principales trastornos psiquiátricos (CIE-10 y eje I del DSM-IV) a través de la evaluación de cada categoría diagnóstica por medio de respuestas dicotómicas (s/7 no). Cuenta con un tiempo de administración entre 15 y 20 minutos para indagar criterios diagnósticos de 16 trastornos neuropisquiátricos con sus especificaciones temporales y códigos diagnósticos CIE-10 y DSM-IV. Los indicadores de validez fueron analizados mediante la capacidad discriminativa según los valores de especificidad (0.72-0.97) y sensibilidad (0.46-0.94) diagnóstica con la entrevista diagnóstica internacional compuesta (CIDI por su abreviatura en inglés), y acuerdos interjueces con el coeficiente kappa (.36-.82), sumado a una confiabili-dad test-retest favorable (.83-.90) (Ferrando et al., 2000; Lecrubier et al., 1997). Se aplicó la versión para el idioma español de Ferrando et al. (2000) para determinar criterios de inclusión y exclusión en los candidatos.
Formatos de registro del Manual BATD-G (Garcés et al., 2022)
Se utilizaron los formularios del manual BATD-G para identificar la frecuencia de conductas saludables y depresivas, el estado de ánimo diario, los patrones de conducta saludable y depresiva, y los aspectos propios de la preparación de la intervención (formularios de monitoreo diario, áreas vitales, valores y actividades, selección y jerarquía de actividades, y acuerdos).
Zung Self-rating Depression Scale o Escala autoaplicada de depresión de Zung (Zung-SDS) (Zung, 1965)
Adaptada por Campo-Arias (2006) en población colombiana, evalúa el nivel de sintomatología depresiva. Se encuentra compuesta por 20 ítems con 4 opciones de respuesta en una escala tipo Likert (1 a 4). La calificación del instrumento varía de 20 a 80 puntos, con un punto de corte de 40 a partir del cual es posible evidenciar síntomas depresivos significativos (Campo-Arias, 2006). En población colombiana presentó buena consistencia interna (a = .85), sensibilidad para episodios depresivos mayores (94.7%), especificidad (67%), y valor predictivo positivo (37.5%) y negativo (98.4%) (Campo-Arias et al., 2005).
Environmental Reward Observation Scale o Escala de percepción de recompensa del entorno (EROS) (Armento & Hopko, 2007)
Validada para la población colombiana por Valderrama-Díaz et al. (2016) y Saavedra et al. (2023), evalúa el reforzamiento medioambiental que recibe el individuo. Se encuentra compuesta por 10 ítems con 5 opciones de respuesta de 0 α 4. En su confiabilidad presentó una buena consistencia interna (α = .87) (Valderrama-Díaz et al., 2016), y un test-retest de .84 (Armento & Hopko, 2007). Las evidencias de validez de la estructura interna mostraron que un factor explica 56.93% de la varianza total (Valderrama-Díaz et al., 2016).
Behavioral Activation for Depression Scale o Escala de activación conductual para depresión (BADS) (Kanter et al., 2007)
Evalúa comportamientos responsables del cambio (conductas que incrementan contacto con reforzadores positivos), de acuerdo con el tratamiento de activación conductual, mediante la medición de la activación, la evitación o rumiación, la afectación laboral o académica, y el deterioro social (Kanter et al., 2007). Compuesto por 25 ítems con 7 opciones de respuesta tipo Likert (0 a 6), con un rango entre 0 y 150 puntos. Ha mostrado adecuada consistencia interna (α = .79) para la escala total, y entre adecuada y buena para sus dimensiones (activación a = .87, evitación o rumiación α =.83, afectación laboral o académica α = .78 y deterioro social α = .83). La adaptación colombiana (Leal et al., 2023) informó una buena consistencia interna (α = .92), evidencias de su estructura interna (AFC) con buenos índices de ajuste para el modelo de 4 factores y evidencias en la relación con la depresión, con correlaciones significativas e inversas con la Zung-SDS.
Procedimiento
Fase 1
Se llevaron a cabo encuentros de socialización del proyecto de investigación en diferentes momentos tanto con directivos como con el equipo interdisciplinario de atención en el centro carcelario. Una vez revisada la viabilidad del proyecto por parte del equipo psicosocial, el director tramitó la autorización ante la dirección respectiva (se omiten intencionalmente nombres específicos tanto de instituciones como personas en pro de salvaguardar información confidencial de los participantes). Una vez establecidos los permisos para el desarrollo de la investigación en población penitenciaria se seleccionó a los participantes tras la remisión del equipo de trabajo psicosocial. En reuniones individuales se le informó a cada candidato los objetivos del estudio, los beneficios y los riesgos de vincularse.
Fase 2
Se implementó el BATD-G al grupo (11 sesiones). Los participantes registraron la frecuencia diaria de las conductas saludables y depresivas y valoraron su estado de ánimo diario durante la totalidad de las semanas. La fase A (28 días) comprendió la sesión preliminar y tres sesiones de evaluación; la fase B (49 días) incluyó desde la cuarta sesión hasta la décima, con la planeación de actividades como componente activo del tratamiento.
El tratamiento fue administrado por una psicóloga especialista en evaluación y tratamiento de los trastornos emocionales y afectivos, con entrenamiento específico en el modelo BATD. Se llevaron a cabo reuniones semanales de supervisión y acompañamiento, que implicaron la discusión de eventualidades y el diligenciamiento de una lista de chequeo de adherencia durante la administración del BATD-G.
Fase 3
Finalizado el tratamiento, durante tres semanas se realizó el seguimiento de cada uno de los participantes mediante la aplicación de los formatos de monitoreo diario, el registro de estado de ánimo diario y los instrumentos psicométricos.
Análisis de datos
Los análisis visuales de las medidas primarias para cada uno de los participantes se desarrollaron a partir de gráficas de las frecuencias de conductas saludables, depresivas y del estado de ánimo diario. Rara las medidas primarias se realizaron análisis visuales de los datos entre fases (línea de base, tratamiento y seguimiento) para determinar el cambio de nivel y la tendencia, así como estimar la variabilidad intrafase, referente a la estabilidad de los datos (Bono & Arnau, 2014). Adicionalmente, se calculó el tau-u, cuyo valor de significancia (p < .05) indica variaciones entre la magnitud del efecto de la intervención en términos del no solapamiento de los datos y de las tendencias de las medidas conductuales entre fases (Rarker et al., 2011). Del mismo modo, se calcularon los valores de no solapamiento de todos los pares (NAR) (Rarker & Vannest, 2009) para las conductas objetivo (saludables, depresivas y estado de ánimo), cuyos valores entre 93% y 100% indican efectos grandes, entre 66% y 92%, efectos medios y entre 0% y 65%, efectos débiles.
En cuanto a las medidas secundarias con los instrumentos psicométricos y la comparación entre sujetos, se realizó un análisis de significancia clínica con la prueba de rangos de Wilcoxon y una prueba de tamaño del efecto no paramétrico según la fórmula r = z /√N (Rallant, 2007) para evaluar el efecto de un tratamiento y determinar el cambio de una conducta objetivo (Roussos, 2007). Se tomaron como referencia los parámetros poblacionales de las medidas obtenidas.
Se analizó la significación clínica del efecto, según el índice de Jacobson & Truax (1991), para determinar la existencia de un cambio clínicamente confiable entre las medidas previas y posteriores de la EROS. En este índice se supone una distribución poblacional funcional del paciente actual, a diferencia de la previa al tratamiento (población disfuncional). Dicho cambio es clínicamente significativo si se evidencia una puntuación de corte que el paciente debe alcanzar en el instrumento psicopatológico.
Rara los cálculos de los valores tau-U y de NAR se utilizó la aplicación basada en la web "Calculators for SCR análisis" (Vannest et al., 2016), mientras que para el análisis de significancia clínica se utilizó el "Reliable Change Criterion Calculator 20л/.04" (Evans, 1998).
Consideraciones éticas
La investigación formó parte del proceso de estudios para obtener el título de magíster en psicología clínica, con evaluación de jueces y conforme a los procedimientos del Centro de Investigaciones de la universidad. Se obtuvo la aprobación del comité de posgrados en una reunión el 13 de febrero de 2020. Durante este proceso se garantizó la protección de la autonomía, beneficencia y no maleficencia de cada participante, de acuerdo con lo estipulado en la Declaración de Helsinki (Asociación Médica Mundial, 2017) y el código de ética de la ARA (2017).
Se garantizaron los principios éticos de respeto y dignidad al evitar el uso de información encubierta o incompleta, conforme a la Ley 1090 de 2006, capítulo VII. Además, se veló por la dignidad, la seguridad y la privacidad de los participantes, asegurando el riesgo mínimo según la Resolución 8430 de 1993, artículos 5, 6 y 8. Esto se logró mediante la firma del consentimiento informado, la custodia y no develación de datos que pudieran identificar a los participantes, la aplicación de una intervención respaldada empíricamente, la retroalimentación de las estrategias de evaluación y los resultados de la intervención, la competencia de la terapeuta y la posibilidad de retirarse en cualquier momento de la investigación. Al finalizar el estudio se compartieron los hallazgos con los participantes, sin ofrecer incentivos para el proceso penal en curso de los sujetos del estudio en ningún momento.
Resultados
Medidas primarias
Análisis Visual
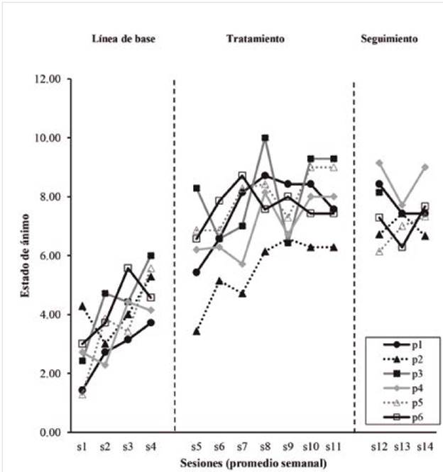
En el análisis gráfico de las variaciones entre las fases se evidencian incrementos en la fase B en el estado de ánimo y las conductas saludables, así como un decremento en las conductas depresivas. En la figura 1 se observan incrementos en los promedios semanales del estado de ánimo diario al contrastar la línea de base con la fase B, a excepción del R2. Adicionalmente, el nivel permanece estable al comparar la fase B con el seguimiento en todos participantes, a excepción del R2, en el que se observa un incremento.

En cuanto a las conductas saludables, la figura 2 muestra incremento al comparar la línea de base con el tratamiento y estabilidad en el mantenimiento de los resultados en la fase de seguimiento al compararla con la intervención de los seis participantes.

La figura 3 muestra los contrastes entre las fases A y B, con un decremento en la frecuencia del promedio semanal de las conductas depresivas en los participantes. Al igual que en las demás medidas primarias, se observa que los resultados en la fase de seguimiento de los seis participantes mantienen las ganancias del tratamiento.

Prueba de hipótesis
En la tabla 1 se presentan las pruebas de hipótesis verificadas con el tau-u cuyo valor p < .05 es un indicador de variabilidad significativa entre las fases. Al comparar línea de base con el tratamiento se observa que cinco de los participantes obtuvieron una diferencia significativa (p < .01) en el estado de ánimo, excepto el participante 2, quien superó el valor de referencia (p = .08), es decir que, aunque tuvo un incremento en el estado de ánimo, la prueba arrojó un resultado no significativo. En las conductas depresivas y saludables en todos los participantes las variaciones fueron estadísticamente significativas (p < .01).
Al contrastar el tratamiento y el seguimiento, las hipótesis no fueron significativas (p > .05), lo que indica que no hubo cambios significativos una vez retirado el tratamiento, con excepción del participante 2, en el que tuvo diferencias estadísticamente significativas (p < .05) la comparación entre el tratamiento y el seguimiento en las medidas del estado de ánimo.

En relación con los valores NAR (Rarker & Vannest, 2009), indicaron efectos grandes (.93 y 1) para las medidas de estado de ánimo y las conductas saludables (rango entre .96 y 1) y efectos débiles (0% y 65%) para las depresivas (NAR= .0357). Se destaca que en el participante 2, en lo que respecta a conductas saludables, se presentó un efecto medio (.66 y .92) en el valor NAR (.82), a diferencia de los demás participantes, que presentaron similitudes en los valores со n efecto grande.
Medidas secundarias
En cuanto a la comparación entre sujetos según las medidas previas y posteriores por cada prueba aplicada, se encontró diferencias estadísticamente significativas (Pallant, 2007). En las medidas previas y posteriores de la severidad de la depresión (Zung-SDS) se presentaron variaciones estadísticamente significativas obtenidas en todos los participantes, algo que se evidencia en las barras de la figura 4(z=-2.201, p=.028, r=.64 -efecto grande-) y todos los participantes con ausencia de depresión en las medidas postratamiento.

En cuanto a las medidas previas y posteriores del reforzamiento medioambiental (EROS), en la figura 5 se presentan las variaciones estadísticamente significativas obtenidas en todos los participantes (z=-2.201, p = .028, r = 0.64 -efecto grande-). Adicionalmente, según el índice de Jacobson y Truax (1991) la diferencia entre las medidas previas y posteriores de seis o más indican un cambio clínicamente confiable.

Finalmente, se observaron cambios significativos en las medidas previas y posteriores de los comportamientos que mide el BADS según sus subescalas. En la figura 6 se presentan los comparativos estadísticamente significativos de incremento en la activación (z = -2.214, p = .027, r = .64-efecto grande-) y decrementos significativos y de efectos grandes en las medidas de evitación o rumiación (z=-2.207, p=.027, r = .64), afectación laboral o académica (z = -2.207, p = .027, r = .64) y deterioro social (z = -2.226, p = .026, r = .64).

Discusión
El estudio estimó el efecto del BATD-R en formato grupal, el BATD-G, para trastornos depresivos operacionalizados a partir de la frecuencia de conductas depresivas y saludables, el estado de ánimo diario, el reforzamiento medioambiental, la severidad de la depresión y la activación en una muestra de personas privadas de la libertad. Para ello, se llevó a cabo un contraste entre las fases (línea de base, tratamiento y seguimiento) en las que se observó un efecto en la reducción de las conductas depresivas y el incremento de las conductas saludables, lo que llevó a un aumento en el estado de ánimo de los participantes.
La disminución de las conductas depresivas y el aumento en las saludables señalan una variabilidad significativa entre fases según los tamaños del efecto obtenido (según los valores NAP) en todos los participantes. Así pues, se encontraron efectos grandes sobre las conductas saludables, excepto para el P2, quien mostró un efecto medio. Estos resultados dan cuenta del efecto positivo que tuvieron las actividades valiosas planeadas idiográficamente en el contexto de encarcelamiento, ya que el tiempo y el esfuerzo invertidos en conductas saludables en comparación con las conductas depresivas es proporcional al valor del reforzamiento (Bianchi & Henao, 2015). Los resultados ratifican que la tasa de respuesta de una alternativa es igual a la tasa de reforzamiento que dicha alternativa recibe (Hopko et al., 2003), incluso en condiciones de privación de acceso a fuentes de reforzamiento y elevados niveles de incertidumbre.
Los resultados son coherentes con la disminución de los síntomas depresivos y un aumento del reforzamiento medioambiental, ya que la AC permite incrementar la posibilidad de acceso a los reforzado res (Garcés-Rojas et al., 2022; Hopko et al., 2003; Pinzón-Corredor & Bianchi, 2023). Las personas con depresión, al llevar a cabo actividades apetitivas, independientemente de los eventos privados, retoman el contacto con fuentes estables de reforzamiento, lo que extingue la respuesta depresiva al no escapar o evitar la estimulación aversiva y al poner el control bajo contingencias apetitivas automáticas o naturales (Aguilera & González-Terrazas, 2021).
En relación con las otras medidas secundarias, se observaron cambios significativos (p < .05) y de magnitud alta en la percepción de re forzamiento medioambiental, el nivel de activación, evitación o rumiación, afectación laboral o académica, y deterioro social. Estos resultados se ajustan a la evidencia empírica afín a la eficacia de la AC (Cuijpers et al., 2019b; Parikh et al., 2016), así como el carácter de la activación como ingrediente activo en terapias transdiagnósticas (Fernández-Rodríguez, 2022). Exponerse a actividades o acontecimientos gratificantes está relacionado con niveles más bajos de depresión (Armento & Hopko, 2007) y se relaciona con el incremento en la disponibilidad de reforzamiento, la capacidad de obtenerlo y la exposición a eventos aversivos (Ryba et al., 2014), propio de las intervenciones fundamentadas en la planeación de actividades como la AC (Pinzón-Corredor & Bianchi, 2023).
Los participantes y el equipo psicosocial del centro penitenciario informaron de una disminución en la duración del pensamiento negativo repetitivo (rumiación/preocupación) y en la frecuencia de conductas de evitación. Los datos obtenidos son coherentes con la evidencia empírica recogida por varios metaanálisis de la AC en diversas poblaciones con depresión (Chan et al., 2017; Etherton & Farley, 2022; Han & Kim, 2022; Jiang et al., 2021; Xu et al., 2020); sin embargo, no se encontró información relacionada con la aplicación de la AC en población privada de la libertad y exmiembros de la fuerza pública, por lo cual no es posible comparar los resultados.
La estadía permanente de los participantes en un mismo espacio favoreció la adherencia al tratamiento (asistencia, cumplimiento en compromisos por sesión). Además, el formato grupal produce una percepción de compañía (al encontrarse frente a la misma situación contextual), una mayor receptividad del proceso terapéutico, una reducción del estigma al naturalizar o normalizar, entre otros (Organización Mundial de la Salud [OMS], 2017).
Esta investigación proporciona evidencia del efecto del BATD-G (Garcés et al., 2022) en la disminución de la depresión en exmiembros de la fuerza pública privados de la libertad. Esto podría deberse a lo pragmático y parsimonioso del tratamiento (Jacobson et al. 2000; Uphoff et al., 2020) y a lo breve de la intervención (Cuijpers et al., 2019a; Ekers et al., 2014). Igualmente, permite aportar evidencia empírica al grupo de personas privadas de la libertad (PPL).
Limitaciones y recomendaciones
Dentro de las limitaciones se identificaron amenazas a la validez interna del estudio, dadas las características individuales y las fuentes de error (variaciones en los puntajes sintomáticos, las edades, la historia, la maduración y el nivel jerárquico cuando pertenecían a la fuerza pública). El tipo de diseño utilizado no permitió determinar la estabilidad de la línea de base debido al formato grupal de aplicación, las consideraciones éticas de la espera y las condiciones de acceso a la población. Se presentaron amenazas a la validez externa, posibles efectos de novedad que pudieran traer consigo la presencia de una persona ajena a la cotidianidad y la administración del tratamiento per se.
En lo relacionado a las fuentes de error, el desconocimiento del tiempo de condena de los participantes y del tiempo de permanencia dentro del centro penitenciario pudieron fungir como una limitación. Sin embargo, la nor-matividad del contexto carcelario dificulta la realización de actividades propuestas frente a áreas de valo r, dada la condición restrictiva y punitiva de estos escenarios. Por lo tanto, se puede considerar que parte de la eficacia del programa depende de variables individuales o contextuales de difícil control (horario de actividades obligatorias, de redención de sus condenas o de la vida diaria).
Los participantes se encontraron expuestos a factores ambientales que pudieron incidir en el fomento de conductas depresivas, como la falta de reforzamiento contingente a las respuestas, el déficit de habilidades sociales, el afrontamiento funcional, la desregulación emocional y el exceso de castigo, dado que se desenvolvían en un contexto hostil donde experimentaban situaciones aversivas constantemente (Kanter et al., 2005).
A manera de conclusión, la aplicación del protocolo en formato grupal resultó tener un efecto significativo y los datos respaldan que la activación conductual no solo incrementó las conductas saludables, sino que también disminuyó notoriamente las conductas depresivas de los consultantes que cumplen con la función de evitar, escapar, aislarse e interrumpir rutinas (Mulick & Naugle, 2004) en un contexto con restricciones de acceso a reforzamiento medioambiental. Esto es congruente con lo esperado en la implementación del BATD y la ley de igualación de Herrnstein (1970). Se requiere explorar si existe la necesidad de adaptar este tipo de intervenciones para población carcelaria, como en el programa BE-ACTIV propuesto por Meeks et al. (2008), ya que en ocasiones las restricciones propias de este tipo de instituciones no permiten el desarrollo de actividades valiosas en la misma frecuencia o duración que en otros contextos no institucionales. Se recomienda nuevos y variados estudios con diferentes poblaciones tanto carcelarias (menores de edad, de distintos sexos, con distintos niveles de seguridad, sindicados frente a condenados, con varias duraciones de condena) como no carcelarias (instituciones cerradas, hospitales psiquiátricos) que den cuenta de la efectividad del protocolo de activación conductual breve en formato grupal.
Referencias
Aguilera, M. G., & González-Terrazas, R. (2021). Activación conductual (programación de actividades) y depresión: Una mirada analítica-conductual. Acta Comportamentalia: Revista Latina de Análisis de Comportamiento, 29(4), 175-195. https://www.redalyc.org/articulo.oa?id=274571372011
Alemayehu, F., Ambaw, F., & Gutema, H. (2019). Depression and associated factors among prisoners in Bahir Dar Prison, Ethiopia. BMC psychiatry, 19(1), 1-7. https://doi.org/10.1186/s12888-019-2071-1
American Psychological Association [APA]. (2017). Ethical Principles of Psychologists and Code of Conduct. American Psychological Association. https://www.apa.org/ethics/code
APA. (2022). Treatment Target: Depression. Division 12: Society of Clinical Psychology. https://div12.org/diagnosis/depression/
Armento, M. E. A., & Hopko, D. R. (2007). The Environmental Reward Observation Scale (EROS): Development, validity, and reliability. Behavior Therapy, 38(2), 107-119. https://doi.org/10.1016/j.beth.2006.05.003
Asociación Médica Mundial [AMM] (2017). Declaración de Helsinki de la AMM - Principios éticos para las investigaciones médicas en seres humanos. Asociación Médica Mundial. https://www.wma.net/es/policies-post/declara-cion-de-helsinki-de-la-amm-principios-eticos-para-las-investigaciones-medicas-en-seres-humanos/
Baillargeon, J., Penn, J. V., Thomas, C. R., Temple, J. R., Baillargeon, G., & Murray, O. J. (2009). Psychiatric disorders and suicide in the nation's largest state prison system. The Journal ofthe American Academy of Psychiatry and the Law, 37(2), 188-193. http://www.antoniocasella.eu/salute/Baillargeon_suicide_prisons_2009.pdf
Baranyi, G., Scholl, C., Fazel, S., Patel, V., Priebe, S., & Mundt, A. P. (2019). Severe mental illness and substance use disorders in prisoners in low-income and middle-income countries: a systematic review and meta-analysis of prevalence studies. The Lancet Global Health, 7(4), e461-e471. https://doi.org/10.1016/S2214-109X(18)30539-4
Benavides, A., Chuchuca, J., Klain, D., Waters, W., Martín, M., & Romero, N. (2019). Depression and psychosis related to the absence of visitors and consumption of drugs in males prisoners in Ecuador: a cross sectional study. BMC Psychiatry, 19, 248. https://doi.org/10.1186/s12888-019-2227-z
Bianchi, J., & Henao, Á. (2015). Activación conductual y depresión: Conceptualización, evidencia y aplicaciones en Iberoamérica. Terapia Psicológica, 33(2), 69-80. https://dx.doi.org/10.4067/S0718-48082015000200002
Bianchi, J., & Muñoz-Martínez, A. (2014). Activación conductual: revisión histórica, conceptual y empírica. Psychologia: Avances de la Disciplina, 8(2), 83-93. https://revistas.usb.edu.co/index.php/Psychologia/article/view/1223
Bono, R., & Arnau, J. (2014). Diseños de caso único en cienciassocialesy de la salud. Síntesis.
Borschmann, R., Dos Santos, M. M., Young, J. T., Andreoli, S. B., Love, A. D., & Kinner, S. A. (2020). Health, social and criminal justice factors associated with dual diagnosis among incarcerated adults in Brazil and Australia: a cross-national comparison. Social Psychiatry and Psychiatric Epidemiology, 55(10), 1355-1362. https://doi.org/10.1007/s00127-020-01832-w
Butcher, E., Packham, C., Williams, M., Miksza, J., Kaul, A., Khunti, K., & Morriss, R. (2021). Screening male prisoners for depression and anxiety with the PHQ-9 and GAD-7 at NHS Healthcheck: patterns of symptoms and caseness threshold. BMC Psychiatry, 21(1), 1-11. https://doi.org/10.1186/s12888-021-03453-2
Campo-Arias, A. (2006). Comparación de algunas propiedades psicométricas de la Escala de Zung para Depresión con puntuaciones dicotómicas. Revista Colombiana de Psiquiatría, 35(4), 511-518. http://www.scielo.org.co/pdf/rcp/v35n4/v35n4a05.pdf
Campo-Arias, A., Díaz-Martínez, L. A., & Rueda-Jaimes, G. E., & Barros-Bermúdez, J. A. (2005). Validación de la escala de Zung para depresión en universitarios de Bucaramanga, Colombia. Revista Colombiana de Psiquiatría, 34(1), 54-62. http://www.scielo.org.co/pdf/rcp/v34n1/v34n1a04.pdf
Chan, A. T. Y., Sun, G. Y. Y., Tam, W. W. S., Tsoi, K. K. F., & Wong, S. Y. S. (2017). The effectiveness of group-based behavioral activation in the treatment of depression: An updated meta-analysis of randomized controlled trial. Journal of Affective Disorders, 208, 345-354. https://doi.org/10.1016/j.jad.2016.08.026
Colombo, D., Suso-Ribera, C., Ortigosa-Beltrán, I., Fernández-Álvarez, J., García-Palacios, A., & Botella, C. (2022). Behavioral activation through virtual reality for depression: a single case experimental design with multiple baselines. Journal of Clinical Medicine, 11(5), 1262. https://doi.org/10.3390/jcm11051262
Cuevas, W. A. (2020). Efectividad de un tratamiento de única sesión de activación conductual para reducir síntomas depresivos en cuidadores de personas con enfermedades crónicas [Tesis de maestría, Fundación Universitaria Konrad Lorenz]. Repositorio Digital Konrad Lorenz. https://repositorio.konradlorenz.edu.co/handle/001/4183
Cuijpers, P, Karyotaki, E., de Wit, L., & Ebert, D. D. (2019a). The effects of fifteen evidence-supported therapies for adult depression: A meta-analytic review. Psychotherapy Research: Journal of the Society for Psychotherapy Research, 30 (3), 279-293. https://doi.org/10.1080/10503307.2019.1649732
Cuijpers, P, Quero, S., Dowrick, C., & Arroll, B. (2019b). Psychological Treatment of Depression in Primary Care: Recent Developments. Current Psychiatry Reports, 21, 129. https://doi.org/10.1007/s11920-019-1117-x
Cuijpers, P, Quero, S., Papola, D., Cristea, I. A., & Karyotaki, E. (2019c). Careas-usual control groups across different settings in randomized trials on psychotherapy for adult depression: a meta-analysis. Psychological-Medicine, 51(4), 634-644. https://doi.org/10.1017/S0033291719003581
Ekers, D., Webster, L., Van Straten, A., Cuijpers, P., Richards, D., & Gilbody, S. (2014). Behavioural Activation for Depression; An update of meta-analysis of effectiveness and sub group analysis. PLoS ONE, 9(6), Article e100100. https://doi.org/10.1371/journal.pone.0100100
Etherton, J. L., & Farley, R. (2022). Behavioral activation for PTSD: A meta-analysis. Psychological Trauma: Theory, Research, Practice, and Policy, 14(5), 894-901. https://doi.org/10.1037/tra0000566
Evans, C. (1998). Reliable change criterion calculator20.v.04. PSYCTC. https://www.psyctc.org/stats/rcsc1.htm
Fernández-Rodríguez, C., Coto-Lesmes, R., Martínez-Loredo, V., González-Fernández, S., & Cuesta, M. (2022). Is activation the active ingredient of transdiagnostic therapies? a randomized clinical trial of behavioral activation, acceptance and commitment therapy, and transdiagnostic cognitive-behavioral therapy for emotional disorders. Behavior modification, 47(1), 3-45. https://doi.org/10.1177/01454455221083309
Ferrando, L., Bobes, J., Gibert, J., Soto, M., & Soto, O. (2000). MINI Entrevista Neuropsiquiátrica Internacional. Versión en español 5.0.0. Fundación Foro. https://www.fundacionforo.com/pdfs/mini.pdf
Ferrari, A. J., Charlson, F. J., Norman, R. E., Patten, S. B., Freedman, G., Murray, C. J., Vos, T., & Whiteford, H. A. (2013). Burden of depressive disorders by country, sex, age, and year: findings from the global burden of disease study 2010. PLoS Medicine, 10(11), Article e1001547. https://doi.org/10.1371/journal.pmed.1001547
Galli, E., Feijóo, L., Roig, I., & Romero, S. (2002). Aplicación del "MINI" como orientación diagnóstica psiquiátrica en estudiantes de medicina de la Universidad Peruana Cayetano Heredia. Informe preliminar epidemiológico. Revista Médica Herediana, 13(1), 19-25. http://www.scielo.org.pe/pdf/rmh/v13n1/v13n1ao3.pdf
Garcés-Rojas, D. A., Romero-Moreno, P. C., Bianchi-Salguero, J. M., & Montoya, C. E. (2022). Protocolo grupal BATD-R: Adaptación y efecto en estudiantes con síntomas depresivos. Acta Comportamentalia: Revista Latina de Análisis del Comportamiento, 30(1), 7-28. https://www.revistas.unam.mx/index.php/acom/article/view/81388
González-Terrazas, R., & Campos-Aguilera, M. de G. (2021). Activación conductual (programación de actividades) y depresión: Una mirada analítica-conductual. Acta Comportamentalia: Revista Latina de Análisis de Comportamiento, 29(4), 175-195. https://revistas.unam.mx/index.php/acom/article/view/80320
Gordillo, A. F. (2023). Efecto del tratamiento de activación conductual breve en formato grupal (BATD-GB) en modalidad virtual en estudiantes universitarios adultos con sintomatologia emocional en la ciudad de Pasto [Tesis de maestría]. Fundación Universitaria Konrad Lorenz.
Guaidía, A. K. (2020). Efecto de la aplicación del tratamiento de activación conductual breve (BATD-R) en seis adolescentes diagnosticados con trastorno de depresión mayor [Tesis de maestría, Fundación Universitaria Konrad Lorenz]. https://repositorio.konradlorenz.edu.co/bitstream/handle/001/2260/Tesis-911181021.pdf
Han, A., & Kim, T. H. (2022). Effects of internet-delivered behavioral activation on individuals with depressive symptoms: A systematic review and meta-analysis. Journal of Psychiatric Research, 152, 104-118. https://doi.org/10.1016/j.jpsychires.2022.05.031
Hernández-Sampieri, R., Fernández-Collado, C., & Baptista-Lucio, P (2014). Metodología de la investigación (6.a ed.). McGraw Hill Education.
Herrnstein, R. J. (1970). On the law of effect. Journal of the Experimental Analysis of Behavior, 13(2), 243-266. https://doi.org/10.1901/jeab.1970.13-243
Hopko, D., Lejuez, C., Ruggiero, K., & Eifert, G. (2003). Contemporary behavioral activation treatments for depression: Procedures, principles, and progress. Clinical Psychology Review, 23(5), 699-617. https://doi.org/10.1016/S0272-7358(03)00070-9
Huguet, A., Miller, A., Kisely, S., Rao, S., Saadat, N., & McGrath, P J. (2018). A systematic review and meta-analysis on the efficacy of Internet-delivered behavioral activation. Journal of Affective Disorders, 235, 27-38. https://doi.org/10.1016/j.jad.2018.02.073
Jacobson, N. S., Dobson, K. S., Truax, P. A., Addis, M. E., Koerner, K., Gollan, J. K., Gortner, E., & Prince, S. E. (2000). A component analysis of cognitive-behavioral treatment for depression. Prevention & Treatment, 3(1), Article 23a. https://doi.org/10.1037/1522-3736.3.1.323a
Jacobson, N., & Truax, P (1991). Clinical significance: a statistical approach to defining meaningful change in psychotherapy research. Journal of Consulting and Clinical Psychology, 59, 12-19. https://psycnet.apa.org/doi/10.1037/10109-042
Jiang, X., Luo, Y., Chen, Y., Yan, J., Xia, Y., Yao, L., Wang, X., He, S., Wang, F., Wang, T., & Chen, Y. (2021). Comparative efficacy of multiple therapies for the treatment of patients with subthreshold Depression: A systematic review and network meta-analysis. Frontiers in Behavioral Neuroscience, 15, Article 755547. https://doi.org/10.3389/fnbeh.2021.755547
Johnson, J. E., Stout, R. L., Miller, T. R., Zlotnick, C., Cerbo, L. A., Andrade, J. T., Nargiso, J., Bonner, J., & Wiltsey-Stirman, S. (2019). Randomized cost-effectiveness trial of group interpersonal psychotherapy (IPT) for prisoners with major depression. Journal of Consulting and Clinical Psychology, 87(4), 392-406. http://dx.doi.org/10.1037/ccp0000379
Kanter, J. W., Cautilli, J. D., Busch, A. M., & Baruch, D. E. (2011). Toward a comprehensive functional analysis of depressive behavior: Five environmental factors and a possible sixth and seventh. International Journal of Behavioral Consultation and Therapy, 7(1), 5-14. https://doi.org/10.1037/h0100920
Kanter, J., Mulick, P., Busch, A., Berlin, K., & Martell, C. (2007). The Behavioral Activation for Depression Scale (BADS): Psychometric Properties and Factor Structure. Journal of Psychopathology and Behavior Assessment, 29, 191-202. https://doi.org/10.1007/s10862-006-9038-5
Leal-Hernández, D. A., Bianchi, J. M., Montoya, C. E., & Villalba-Garzón, J. A. (2023). Escala de Activación Conductual para la Depresión (BADS): Confiabilidad, Estructura Interna y otras Evidencias de Validez en Bogotá. Revista Iberoamericana de Diagnóstico y Evaluación - e Avaliação Psicológica RIDEP, 70(4) 5-17. https://doi.org/10.21865/RIDEP70.4.01
Lecrubier, Y., Sheehan, D., Weiller, E., Amorim, P, Bonora, I., Harnett-Sheehan, K., Janavs, J., & Dunbar, G. (1997). The Mini International Neuropsychiatric Interview (MINI). A short diagnostic structured interview: reliability and validity according to the CIDI. European Psychiatry, 12(5), 224-231. https://doi.org/10.1016/S0924-9338(97)83296-8
Lejuez, C. W., Hopko, D. R., LePage, J. P, Hopko, S. D., & McNeil, D. W. (2001). A brief behavioral activation treatment for depression. Cognitive and Behavioral Practice, 8(2), 164-175. https://doi.org/10.1016/S1077-7229(01)80022-5
Lejuez, C. W., Hopko, D. R., Acierno, R., Daughters, S., & Pagoto, S. (2011). Ten Year Revision of the Brief Behavioral Activation Treatment for Depression: Revised Treatment Manual. Behavior Modification, 35(2), 111-161. https://doi.org/10.1177/0145445510390929
Ley 1090 de 2006. Por la cual se reglamenta el ejercicio de la profesión de Psicología, se dicta el Código Deonto-lógico y Bioético y otras disposiciones. 6 de septiembre de 2006. D. O. No. 46341. https://www.funcionpu-blica.gov.co/eva/gestornormativo/norma.php?i=66205
Magidson, J. F., Kleinman, M. B., Bradley, V., Anvari, M. S., Abidogun, T. M., Belcher, A. M., Greenblatt, A. D., Dean, D., Hines, A., Seitz-Brown, C. J., Wagner, M., Bennett, M. & Felton, J. W. (2022). Peer recovery specialist-delivered, behavioral activation intervention to improve retention in methadone treatment: Results from an open-label, Type 1 hybrid effectiveness-implementation pilot trial. International Journal of Drug Policy, 108, Article 103813. https://doi.org/10.1016/j.drugpo.2022.103813
Meeks, S., Sublett, R., Kostiwa, I., Rodgers, J. R., & Haddix, D. (2008). Treating Depression in the Prison Nursing Home: Demonstrating Research-to-Practice Translation. Clinical Case Studies, 7(6), 555-574. https://doi.org/10.1177/1534650108321303
Mulick, P S., & Naugle, A. E. (2004). Behavioral Activation for Comorbid PTSD and Major Depression: A Case Study. Cognitive and Behavioral Practice, 11(4), 378-387. Https://doi.org/10.1016/s1077-7229(04)80054-3
Organización Mundial de la Salud [OMS]. (2023, 31 de marzo). Depresión. OMS. http://www.who.int/mediacen-tre/factsheets/fs369/es/
Orgeta, V., Brede, J., & Livingston, G. (2017). Behavioural activation for depression in older people: systematic review and meta-analysis. The British Journal of Psychiatry, 211(5), 274-279. https://doi.org/10.1192/bjp.bp.117.205021
Pallant, J. (2007). SPSS Survival Manual: A step by step guide to data analysis using SPSS for windows (3.a ed.). McGraw Hill Open University Press.
Parikh, S. V., Quilty, L. C., Ravitz, P., Rosenbluth, M., Pavlova, B., Grigoriadis, S., Velyvis, V., Kennedy, S. H., Lam, R. W., MacQueen, G. M., Milev, R. V., Ravindran, A. V., Uher, R., & CANMAT Depression Work Group (2016). Canadian Network for Mood and Anxiety Treatments (CANMAT) 2016 Clinical Guidelines for the Management of Adults with Major Depressive Disorder: Section 2. Psychological Treatments. Canadian Journal of Psychiatry. Revue Canadienne de Psychiatrie, 61(9), 524-539. https://doi.org/10.1177/0706743716659418
Parker, R. I., & Vannest, K. J. (2009). An improved effect size for single-case research: nonoverlap of all pairs. Behavior therapy, 40(4), 357-367. https://doi.org/10.1016/j.beth.2008.10.006
Parker, R. I., Vannest, K. J., Davis, J. L., & Sauber, S. B. (2011). Combining Nonoverlap and Trend for Single-Case Research: Tau-U. Behavior Therapy, 42, 284-299. https://doi.org/10.1016/j.beth.2010.08.006
Parra, P A. R., Uribe, J. I., & Bianchi, J. M. (2019). Effectiveness of a single session protocol of behavioral activation in college students with depressive symptomatology. International Journal of Psychology and Psychological Therapy, 19(1), 5-14. https://www.ijpsy.com/volumen19/num1/503/effectiveness-of-a-single-ses-sion-protocol-EN.pdf
Per, M., Spinelli, C., Sadowski, I., Schemelefske, E., Anand, L., & Khoury, B. (2019). Evaluating the effectiveness of mindfulness-based interventions in incarcerated populations: A Meta-Analysis. Criminal Justice and Behavior, 20(10), 1-21. https://doi.org/10.1177/0093854819891457
Pinzón Corredor, L. N., & Bianchi, J. M. (2023). Activación conductual: Efecto en adultos bogotanos con depresión en sesiones presenciales y en línea. Acta Comportamentalia: Revista Latina de Análisis del Comportamiento, 31(3). https://revistas.unam.mx/index.php/acom/article/view/86453
Ramírez-Cruz, J. C., Bianchi-Salguero, J. M., Santana-Cárdenas, S., Javier-Juárez, S. P, & Franco-Paredes, K. (2023). Eficacia de las terapias online de activación conductual y cognitivo conductual para el tratamiento de la depresión en mujeres mexicanas víctimas de violencia. Terapia Psicológica, 41(1), 87-109. https://doi.org/10.4067/S0718-48082023000100087
Resolución 8430 de 1993 [Ministerio de Salud]. Por la cual se establecen las normas científicas, técnicas y administrativas para la investigación en salud. 4 de octubre de 1993. https://www.minsalud.gov.co/sites/rid/Lists/BibliotecaDigital/RIDE/DE/DIJ/RESOLUCION-8430-DE-1993.PDF
Reyes-Buitrago, P L., Bianchi, J. M., Suárez-Falcón, J. C., & Ruiz, F. J. (2023). Psychometric properties of the Reward Probability Index in a Colombian sample. Revista Latinoamericana de Psicología, 55, 1-9. https://doi.org/10.14349/rlp.2023.v55.1
Ribeiro, C., Mendoza, R. A., de Souza, V., Rubin, T., Reis, A. J., & Vitola, C. (2020). Prevalence and associated factors with depression and anxiety in prisoners in South of Brazil. Archives of Clinical Psychiatry, 47(4), 89-94. https://doi.org/10.1590/0101-60830000000239
Richards, D. A., Ekers, D., McMillan, D., Taylor, R. S., Byford, S., Warren, F. C., Barrett, B., Farrand, P. A., Gilbody, S., Kuyken, W., O'Mahen, H., Watkins, E. R., Wright, K. A., Hollon, S. D., Reed, N., Rhodes, S., Fletcher, E., & Finning, K. (2016). Cost and Outcome of Behavioural Activation versus Cognitive Behavioural Therapy for Depression (COBRA): a randomised, controlled, non-inferiority trial. Lancet (London, England), 388(10047), 871-880. https://doi.org/10.1016/S0140-6736(16)31140-0
Roussos, A. (2007). El diseño de caso único en investigación en psicología clínica. Un vínculo entre la investigación y la práctica clínica. Revista Argentina de Clínica Psicológica, 16(3), 261-270. http://repositorio.ub.edu.ar/bitstream/handle/123456789/2733/roussos3.pdf?sequence=1
Ryba, M. M., Lejuez, C. W., & Hopko, D. R. (2014). Behavioral activation for depressed breast cancer patients: The impact of therapeutic compliance and quantity of activities completed on symptom reduction. Journal of Consulting and Clinical Psychology, 82(2), 325-335. https://doi.org/10.1037/a0035363
Saavedra, E. S., Bianchi, J. M., & Villalba, J. A. (2023). Escala de Percepción de Reforzamiento Medioambiental (EROS): evidencias de validez en una muestra colombiana. Suma Psicológica, 30(1), 21-29. https://doi.org/10.14349/sumapsi.2023.v30.n1.3
Sanz, M. (2014). Terapia grupal: Manual para la acción. Grupo 5.
Soleimani, M., Mohammadkhani, P., Dolatshahi, B., Alizadeh, H., Overmann, K. A., & Coolidge, F. L. (2015). A comparative study of group behavioral activation and cognitive therapy in reducing subsyndromal anxiety and depressive symptoms. Iranian journal of psychiatry, 10(2), 71-78. https://www.ncbi.nlm.nih.gov/pmc/articles/PMC4752528/pdf/IJPS-10-71.pdf
Thekkumkara, S. N., Jagannathan, A., Muliyala, K. P, & Murthy, P. (2022). Psychosocial Interventions for Prisoners with Mental and Substance Use Disorders: A Systematic Review. Indian Journal of Psychological Medicine, 44(3), 211-217. https://doi.org/10.1177/02537176211061655
Uphoff, E., Pires, M., Barbui, C., Barua, D., Churchill, R., Cristofalo, D., Ekers, D., Fottrell, E., Mazumdar, P, Purga-to, M., Rana, R., Wright, J., & Siddiqi, N. (2020). Behavioural activation therapy for depression in adults with non-communicable diseases. The Cochrane Database of Systematic Reviews, 8(8), CD013461. https://doi.org/10.1002/14651858.CD013461.pub2
Uribarren, M. C. (2020). Efecto del tratamiento breve de activación conductual para la depresión (BATD-R) sobre sintomatologia depresiva en una muestra con esclerosis lateral amiotrófica [Tesis de maestría]. Fundación Universitaria Konrad Lorenz.
Valderrama-Díaz, M., Bianchi-Salguero, J. M., & Villalba-Garzón, J. (2016). Validación de la Environmental Reward Observation Scale (EROS) en población colombiana. Universitas Psychologica, 15(4), 1-13. https://doi.org/10.11144/Javeriana.upsy15-4.vero
Vandenberghe, L. (2015). A Logical Framework for Functional Analytic Group Therapy. Cognitive and Behaviora Practice, 23(4), 1-9. https://doi.org/10.1016/j.cbpra.2015.09.005
Vannest, K. J., Parker, R. I., Gonen, O., & Adiguzel, T. (2016). Single Case Research: web-based calculators for SCR analysis. (Version 2.0) [Web-based application]. A&M University. http://singlecaseresearch.org/
Xu, X. Y., Kwan, R. Y. C., & Leung, A. Y. M. (2020). Behavioural activation for family dementia caregivers: A systematic review and meta-analysis. Geriatric Nursing, 41(5), 544-552. https://doi.org/10.1016/j.gerinur-se.2020.02.003
Zung, W. (1965). A self-rating depression scale. Archives of General Psychology, 12, 63-7. https://doi.org/10.1001/archpsyc.1965.01720310065008
Notas
Notas de autor