Artículos
Comparison of Spaced Retrieval and Fading out Techniques in Teaching Name-Figure Relations to Older People with Dementia
Comparación entre las técnicas de recuperación espaciada y desvanecimiento en la enseñanza de las relaciones nombre-figura a personas mayores con demencia
Comparison of Spaced Retrieval and Fading out Techniques in Teaching Name-Figure Relations to Older People with Dementia
Acta Colombiana de Psicología, vol. 27, no. 2, e2725, 2024
Universidad Catolica de Colombia
Received: 15 January 2024
Revised document received: 30 May 2024
Accepted: 14 June 2024
Abstract: People with Alzheimer's disease (AD) have difficulty naming people and objects. Several erroless learning methods have been used to restore this repertoire, but few studies have compared different methods. The aim of this study was to compare the learning/recovery of picture naming performance using Spaced Retrieval (SR) and Fading Out (FO) procedures in older adults with AD. A repeated measures design was used with all participants going through the two teaching conditions. Participants were eight people with Alzheimer's disease (seven women), aged between 65 and 90 years (median 84.5 years), with a mean score of 14.5 on the Mini-Mental State Examination -convenience sample. Participants retrieved seven name-figure relations using the SR procedure and seven other relations using the FO procedure. Participants' performance in the two teaching conditions and between teaching and maintenance was compared using ANOVA. Both procedures were equally effective in teaching relations to all participants, as verified in the naming and maintenance tests. However, in the FO condition, the average time for teaching each relation was approximately 50% shorter than in the SR condition. In practical terms, the FO procedure was faster with fewer correction trials.
Keywords: Spaced retrieval, fading out, vanishing cues, Alzheimer disease, older adults.
Resumen: Las personas mayores con enfermedad de Alzheimer (EA) tienen dificultades para nombrar personas y objetos. Se emplean algunos procedimientos de aprendizaje sin errores para recuperar este repertorio, pero pocos estudios comparan diferentes métodos. Este estudio tuvo como objetivo comparar el aprendizaje/recuperación del desempeño de nombrar figuras mediante los procedimientos de Recuperación Espaciada (RE) y Desvanecimiento (DV) en adultos mayores con EA. Participaron ocho personas mayores con EA (siete mujeres), con edades comprendidas entre 65 y 90 años (mediana de 84.5 años), con una puntuación promedio de 14.5 en el Mini-Mental State Examination - muestra de conveniencia. Se llevó a cabo un diseño de medidas repetidas, en el cual todos los participantes pasaron por las dos condiciones de enseñanza. Los participantes aprendieron siete relaciones nombre-figura a través del procedimiento RE y otras siete relaciones a través del procedimiento DV. El rendimiento de los participantes en las dos condiciones de enseñanza, y entre enseñanza y mantenimiento, se comparó utilizando ANOVA. Ambos procedimientos fueron igualmente efectivos para enseñar las relaciones a todos los participantes, como se verificó en las pruebas de reconocimiento de figuras y mantenimiento. Sin embargo, en la condición DV, el tiempo promedio para enseñar cada relación fue aproximadamente un 50% más corto que en la condición RE. En términos prácticos, el procedimiento DV fue más rápido y con menos ensayos de corrección.
Palabras clave: Recuperación espaciada, desvanecimiento, desvanecimiento de pistas, enfermedad de Alzheimer, personas mayores.
Alzheimer's disease (AD) is a neurocognitive disorder that causes impairments in cognitive functions, particularly memory and language (American Psychiatric Association [APA], 2013). There is no cure for AD, but pharmacological treatments and neuropsychological rehabilitation help maintain cognitive functions and recover from performance deficits due to memory impairment (Folch et al., 2018; Rodakowski et al., 2015; Rojas et al., 2013; Salamone et al., 2012).
Older adults with Alzheimer's disease have difficulties naming familiar people and objects (Dixon et al., 2011; Ducatti & Schmidt, 2016). These difficulties lead to problems in social interaction for people with AD, ranging from embarrassment at being unable to name a family member, to difficulties in making requests related to their basic needs or maintaining a coherent discourse due to narrative gaps and difficulties in using appropriate words.
Many teaching procedures are effective in improving the performance of older adults with AD in tasks involving different types of verbal repertoires and remembering behavior (Bourgeois, 1990; Camara et al., 2017; Clare et al., 2000; Ducatti & Schmidt, 2016; Haslam et al., 2010; Provencher et al., 2008). Specifically, the scientific literature has referred to procedures that guarantee the learning or recovery of verbal performances with minimal errors ("errorless learning" - EL) to intervene in different so-called "cognitive" performances of healthy adults and those with dementia (Aggio et al., 2021; Camara et al., 2017; Ducatti & Schmidt, 2016; Dunn & Clare, 2007; Steingrimsdottir & Arntzen, 2011). The central feature of these procedures is to prevent or reduce the likelihood that individuals will make errors during the learning process (Hopper et al., 2013) by ensuring that correct performance is evoked by different types of cues (Lear, 2004). In particular, spaced retrieval (SR) and vanishing cues (fading out of cues - FO - or, as noted in some studies, vanishing cues) are procedures that have been studied in interventions with people with AD.
SR is a procedure developed by Landauer and Bjork (1978) based o n studies demonstrati ng the effectiveness of repetition and progressively longer intervals between trials for learning and active responses by learners. These authors extended these principles by proposing a procedure in which the participant is exposed to the response in sequential trials whose range is progressively increased.
Camp (1989) adapted this technique for people with dementia, and several other studies have verified the effectiveness of SR in improving different repertoires of patients with cognitive impairment, especially for the rehabilitation ofperformances that depend on AD patients' memory (e.g., Cherry & Simmons-D'Gerolamo, 2005; Creighton et al., 2013; Jang et al., 2015; Small & Cochrane, 2020; Viccaro et al., 2019). In general, SR consists of presenting a visual stimulus (e.g., a photograph) along with a related verbal stimulus (e.g., a name: "Celso"). In subsequent trials, the visual stimulus (the photo) is presented, and the participant is asked for a verbal response (the name). Trials continue in this format but at increasingly longer intervals. Overall, the technique is quite useful for teaching different performances (Creighton et al., 2013), and SR has become a reference technique for teaching different types of repertories to patients with AD.
For example, Hawley and Cherry (2004) used the SR procedure to teach name-face relations to older adults with AD and to test the generalization of the learned relations. The six participants with moderate AD learned to associate such stimuli in six teaching sessions over two weeks. In addition to name-face relations, Hopper et al. (2013), describe in a review article the use of SR to teach various activities of daily living, recognition, calendar use, naming pictures and objects, remembering medications names, and using electronic devices.
Another strategy commonly used to teach various language-related skills is fading out of cues (FO). Teaching by FO involves the initial provision of cues for performing a particular task, with the progressive and systematic fading of these cues as learning becomes established (Glisky et al., 1986). In studies where the cue is verbal, FO consists of the progressive omission of parts of the word (spoken or written). For example, when teaching a name-figure relation (e.g., the dictated word "tomato" and its corresponding figure), the figure and the entire dictated word are first presented, and the participant is asked to repeat the word. In subsequent trials, the picture is presented simultaneously with only part of the word (e.g., "toma", "to", and finally "t") until the cue is omitted entirely.
The examples reported here show that these two techniques can easily be used to help patients with AD improve their communication. Professionals such as psychologists and speech therapists can use these techniques to help their patients make requests, call their family members and caregivers correctly, or even learn to find their place in the dining room or call a nurse using an alarm button. To do this, it is important that the caregiver knows how to choose the most effective technique for teaching the skills to the patient. Few studies have tested FO exclusively with AD patients (e.g., Mimura & Komatsu, 2010; Provencher et al., 2008). More commonly, FO is used in conjunction with other techniques to teach different repertoires to AD patients (e.g., Clare et al., 2000; Clare et al., 2002; Haslam et al., 2010; Thivierge et al., 2008). In all these studies, the combination of FO with other techniques was effective in teaching target performance. However, is the combination of different techniques always necessary?
In practice, it is recognized that the combination of different teaching strategies is important for older people with AD to address or circumvent their common difficulties. However, intervention studies using such combinations tend to make it difficult to understand the individual contribution of each technique to the teaching of specific skills (Haslam et al., 2010). In addition, over the past two decades, much research has been devoted to studying the effects of SR, demonstrating its effectiveness and even superiority over other techniques (e.g., Haslam et al., 2011), which has led to its recognition as an essential tool in interventions with older adults. On the other hand, despite a long history of application in special education (Alves et al., 2011; Boyle & Hughes, 1994; Sidman & Stoddard, 1967; Souza et al., 2013), FO has been poorly tested with people with AD. As a result, there is still little empirical support for its efficacy in this population (Hopper et al., 2013). The study of non-pharmacological interventions for patients with AD requires the systematic testing of different teaching/intervention procedures so that this knowledge can help professionals provide a better quality of life for these individuals.
Given the need to understand the effectiveness of different techniques of teaching/retrieving verbal repertoires in people with AD and to support professionals working to catalyze the recovery of different verbal repertoires, this study aimed to compare the performance of people with AD in a picture-naming task after SR and FO procedures.
Method
Diseño
Study Type
A repeated measures design (Cozby & Bates, 2012) was performed, in which all participants went through the two teaching conditions, counterbalancing the order of presentation of the participants' conditions.
Participants
Participants in this study were eight older adults (seven women), educated (between 4 and 7 years of schooling), aged between 65 and 90 years (mean age 79 years, median 84.5 years), with evidence of Alzheimer's disease (between 1 and 3 years after diagnosis), with an average score in the Mini-Mental State Exam (MEEM - Folstein et al., 1975) of14.5 points (between 12 and 21). Inclusion criteria for the sample were: (1) scoring less than 24 points on the MMSE, (2) understanding the tasks proposed in the procedure, and (3) having sufficient oral language to name the figures presented. Exclusion criteria were: (1) illiteracy, (2) significant visual, speech, and hearing deficits that interfered with communication, (3) depression, and (4) evidence of moderate AD (MMSE score equal to or less than 10 points).
Five participants resided in a long-term care facility for older adults, and three resided at home with family members (P2, P11 and P14). The participants were randomly divided into two groups to counterbalance the order of the teaching conditions, and the participants living with their families were randomly assigned to the groups separately. G1 consisted of four women, with a mean age of 80 years and a mean MMSE score of 13 points (median 13); and G2, consisted of three women and one man, with a mean age of 79 years, and a mean MMSE score of 16 (median 15.5). Statistical tests revealed no differences in age or MMSE performance between the groups. None of the participants were diagnosed with depression, according to the Geriatric Depression Scale (GDS) (Yesavage et al., 1983).
Ethical aspects
This research complied with the ethical standards in accordance with the provisions of Resolution 466/12 of the National Health Council (Brazil) (Ministry of State for Health, 2012). It was approved by the Research Ethics Committee of the University of São Paulo (FFCLRP - USP - CAAE 41678015.4.0000.5407). All participants were adequately informed of the research objectives and procedures and, when possible, signed an informed consent form to participate in the research. When it was not possible, a family member responsible for the participant signed the same document. In accordance with Resolution 466/12, this study was considered to pose minimal risk to participants (Ministry of State for Health, 2012).
Instruments
The Mini-Mental State Exam (MMSE - Folstein et al., 1975) and the Geriatric Depression Scale - 15 (GDS - 15; Yesavage et al., 1983) were used to verify the inclusion criteria of the participants in the sample. The MMSE is used to assess cognitive status. It evaluates memory, orientation, language, copying, attention, and ability to follow commands. The maximum score is 30 points, and the cut-off point for cognitive decline is 24 points, with adjustments for schooling. The MMSE was adapted to the Brazilian context by Bertolucci et al. (1994). It has good internal consistency with a Cronbach's alpha of .71 (Lourenço et al., 2008). The GDS - 15 is a scale that assesses the presence of depression in older adults and consists of 15 easy-to-understand binary (yes or no) questions. It ranges from zero (absenceof depressive symptoms) to 15 points (maximum score of depressive symptoms), and its cut-off point is ≥ 5 for the presence of depressive symptoms. It was developed by Yesavage and Sheikh (1986) and validated in Brazil by Almeida and Almeida (1999), with good internal consistency (Cronbach's alpha of .81).
Materials, Equipment and Experimental Situation For this study, 122 picture cards of the Andrade et al. (2000)'s Language Test (the ABFW) were used to measure vocabulary and phonology. These cards contain colored images printed on a white background, with dimensions of 12 x 21cm. The pictures are related to different categories such as animals, food, transportation, furniture and fixtures, clothing, places, toys, and instruments. The figures were presented to two older adults, an 86-year-old man (18 MMSE points) and a 70-year-old woman (26 MMSE points), to test their ability to identify the visual stimuli presented. Each figure was presented one at a time, and they were asked to name it. The woman (with no signs of cognitive decline) correctly identified all the figures, and the man correctly named 70 of the figures presented. This procedure indicated that the stimuli were appropriate for the task of the study. A Sony Handycam, CDR-SR 20, HDD 80GB, was also used.
Throughout the procedure, data collection was performed individually with each participant in an environment where both participant and researcher could be positioned facing each other, separated by a table that served as a support for the cards. The camcorder was positioned next to the participant to record their naming responses during the task. Data collection took place in a reserved room where the participant lived, which allowed for confidentiality and privacy during the session.
Procedures
The teaching procedure was divided into two phases (plus the maintenance test of each condition), which are described below.
Phase 1-Initial Evaluation. The purpose of this phase was to assess whether and how participants named the pictures printed on the cards and to select the pictures they did not name for use in the next phase. Participants were presented with all 122 cards individually and asked to look at each picture and name it. The procedure was repeated twice on different days. It was assumed that the participants did not know the names of the figures printed on the cards if they did not name the figure in both presentations. In the end, 21 cards were selected, seven whose pictures the participants correctly named, and 14 whose pictures the participants did not name in any of the presentations. Thus, the cards used in the following stages could vary from participant to participant. The cards used had pictures of objects such as a refrigerator, a clock, a statue, and a lamp. Half of the cards that the participants could not name were used in the FO condition and the other half in the SR condition. The cards used in each condition were randomized.
Phase 2 -Naming instruction. The naming of the figures printed on the cards was taught using the FO and SR procedures. G1 participants learned the first seven name-figure relations through FO and the other relations by SR; the order of conditions was reversed for G2. All words were presented in Portuguese.
FO teaching condition. The teaching by FO began with the following instruction: "I will show you a card on which a picture is drawn, and I will say the name of this picture. Then you have to repeat that name. We will do this twice. Next, I will say only part of the name of the picture, but you must say the full name of the picture. Each time, I will reduce the number of syllables in the word, but you must say the entire word. Finally, I will not say a word, but you must say the name of the picture I am showing". On each trial, if the participant spoke the name of the figure correctly, the researcher would say: "That's it, that's the name" and move on to the next trial. If the answer was incorrect, the researcher would say: "Not correct" and repeat the trial. Each correction occurred up to five times. After that, if the participant continued to make errors, the presentation of that word was suspended, and another relationship was considered. The FO procedure began with the presentation of 100% of the word, followed by 75%, 50%, 25%, and 0% of the word, i.e., four levels of cues were presented for each word. For example, the word "refrigerator" was presented in full on 100% cue trials ("refrigerator"); "refrigera" on 75% cue trials ; "refri" on 50% cue trials; "re" on 25% cue trials, and nothing was said (only the picture was shown) on 0% cue trials. There were three trials of cue 100% and three trials of no cue (0%); two trials were presented at intermediate levels (75% and 50%). In total, each name-picture relation was taught in 12 trials (not including the correction trials).
After teaching all seven name-figure relations, a naming test was conducted. In this test, the seven cards were presented to the participant, one after the other, twice (14 trials), and the participant was asked to name them ("What figure is that?"). The naming test was conducted after the last teaching session with no differential consequences for correct or incorrect responses.
SR teaching condition. The SR teaching procedure also began with the presentation of the instruction: "I will show you a picture card and say the name of this picture. You should repeat the word shortly after. Then, from time to time, I will ask you to tell me the name of the image that appears on the card". On the first trial, the card was presented, and the researcher said the name of the picture. Shortly thereafter, the participant was asked to say the name of the picture (e.g., "This is the clock; what is the name of that picture?'"). According to the FO procedure, the teaching of each relation consisted of 12 temporally spaced trials. The second trial occurred 1s after the word was presented; the remaining trials were presented in progressively longer intertrial intervals: 2s, 4s, 8s, 16s, 32s, 1min, 2min, 4min, 8min, 16min, and 32min. Each trial started with the question: "What is the name of this figure?". Between trials, the researcher engaged the participant in an activity that they found interesting, such as talking, listening to music, or drawing. If the participant correctly named the figure, the researcher would say "Correct" and return to the activity. If the participant gave an incorrect response or no response, the researcher would say "No, that is not correct", say the correct word, and ask the participant to name the picture. The interval of the next trial was the one preceding the incorrect response. For example, if the participant did not name the picture in the 32s interval trial, a correction was made, and the next trial occurred 16s after the correction. Immediately after completing the seven word-picture relations, the naming test was conducted, just as in the FO procedure.
Phase 3 - Final Evaluation. This phase was designed to assess the maintenance of the learning of naming the pictures and was conducted one day after the end of each teaching condition (therefore, two maintenance tests were administered). In each test, seven cards with familiar pictures (control cards) and the seven cards used in each teaching condition were presented. The cards were shuffled and presented to the participant one at a time. The researcher simply asked the participant to look at the picture and say its name. The same sequence of 14 cards was presented twice in a row on each trial, and there were no corrections or differential consequences for correct and incorrect responses.
Data Analysis
Participants' performance on the naming test at the end of Phase 2 and Phase 3 was analyzed. Participants had two trials to name each of the seven pictures in each phase. Each correct response was scored as one (1) point, and errors were not scored. The maximum possible score was 14 on each trial. In order to compare differences in participants' performance in both teaching procedures in both phases, statistical analysis was performed using ANOVA. The Shapiro-Wilk test showed that all dependent variables were normally distributed: SR in Phase 2 (S-W=.86; p = .149), FO in Phase 2 (S-W = .92; p = .46), SR in Phase 3 (S-W = .93; p = .51), and FO in Phase 3 (S-W = .87; p = .15). The assumption of homogeneity of variances is always valid for repeated measures comparisons where there are no factors between specified groups. For the statistical test used, the difference was considered significant when p ≤ .05. Data were presented as mean ± standard error of the mean (SEM) and analyzed using Statistica 12 software (StatSoft Inc., Tulsa, OK, USA).
A second observer watched 50% of the naming test videos (Phases 2 and 3) to record participants' performance and compare it to the researcher's record. Agreement was 100%.
Results
The fade-out procedure lasted five days for all participants, regardless of the order in which the conditions were presented. Two name-picture relations were taught on each of the first three days; one relation was taught on the fourth day; the maintenance test was administered on the last day. The SR procedure also lasted five days for all participants. Two name-picture relations were taught on the first three days, the final relation was taught, and the naming test was administered on the fourth day, and the maintenance test was administered on the last day. Table 1 compares the two procedures in terms of duration and participants' performance during instruction.

Although the total duration of each procedure is the same, the average teaching time of each relation was shorter in FO than in SR. In addition, a greater number of participants required correction procedures in the SR procedure compared to the FO procedure.
Figure 1 shows the mean correct responses of all participants (G1 and G2) in the naming tests administered after both teaching procedures (FO and SR), immediately after teaching (Phase 2) and maintenance (Phase 3).

The maximum number of correct responses per participant was 14 for each condition (two presentations of each of the seven cards). The average correct naming in the naming test of Phase 2 was 9.25 (SD = 2.62) in the FO condition and 9.5 (SD=1.92) in the SR condition. The mean correct naming score in Phase 3 was 7.8 (SD=4.18) in the SR condition and 8 (SD=1.51) in the FO condition. There was no statistical difference (repeated measures ANOVA) between the number of correctly named words in Phase 2 compared to Phase 3 in either the FO or SR condition (p > .05). This means that the decrease in mean correct naming between Phase 2 and Phase 3 was not statistically significant in any of the teaching conditions, regardless of the specific condition or the order of presentation of the conditions.
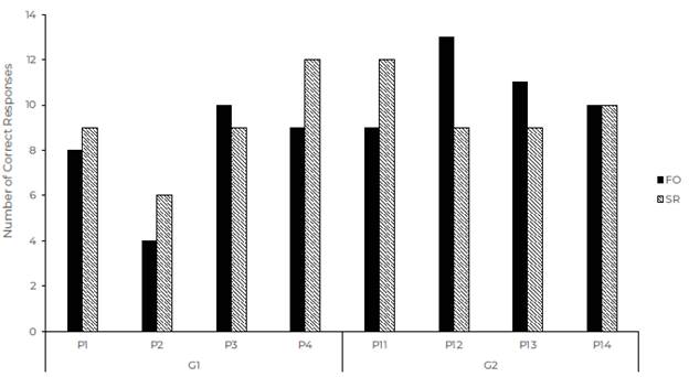
Figure 2 shows the number of correct responses for each participant in the naming test administered at the end of Phase 2 for each teaching condition. The G1 participants first completed the FO and then the SR condition, while the G2 participants first completed the SR condition and the FO condition. The maximum number of correct responses per condition was 14.

Figure 2 shows that all participants except P2 named the pictures correctly in at least half of the trials. Three participants from G1 (P1, P2, and P4) showed better performance on the naming test after SR teaching (second condition) compared to FO teaching. The advantage of SR over FO was observed in one participant of G2 (P11). In this group, participants P12 and P13 showed better performance in FO, and P14 showed the same performance in both teaching procedures. However, statistical analysis did not reveal any significant differences between the participants' performance on the two naming tests, indicating that both procedures promoted similar levels of naming learning (p > .05). Mean participant success on the naming test in Phase 2 was 7.75 (SD = 2.62) after FO and 9.0 (SD = 2.44) after SR for G1, 10.75 (SD = 1.70) after FO, and 10 (SD = 1.41) after SR for G2.
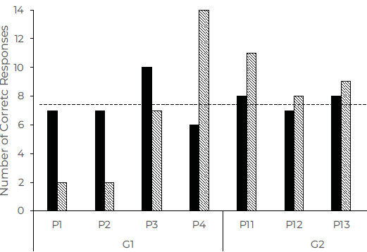
Figure 3 shows the individual performance of the participants in the naming maintenance test (Phase 3). All participants named all control cards correctly.

In G1, which started with the FO condition and then performed the SR condition, participants P1, P2, and P3 had a higher number of correct responses from the pictures taught by FO (between seven and ten), compared to those taught by SR (between two and seven). The participants of G2, who started the training with the SR condition, showed opposite performances. P11, P12, and P13 presented a higher number of correct responses to the figures taught by SR (between eight and eleven) compared to those taught by FO (between seven and nine). Participant P14 showed the same performance in both conditions (10 correct responses). Thus, all participants except P4 and P14 had a higher number of correct responses in the first teaching condition to which they were exposed. However, these differences in order of presentation were not statistically significant. The ANOVA made four comparisons for each teaching condition: performance in FO as the first condition in training and performance in maintenance; and FO as the second condition in training and maintenance (F (1, 12) = 2.4682; p = .11). The same analysis was performed for the SR condition, also without statistically significant differences (F(1, 12) = 1.0716; p = .39). The average score of the G1 participants in Phase 3 (maintenance) was 7.5 (SD = 1.7) for the relations taught by FO and 6.25 (SD = 5.67) for the relations taught by SR. The mean correct response for G2 participants was 8.5 (SD = 1.29) for FO and 9.5 (SD = 1.29) for SR.
Discussion
The purpose of this study was to compare the learning/ retrieval of picture naming performance using SR and FO procedures in people with Alzheimer's disease. Overall, both procedures were found to be effective in teaching picture naming performance, as participants showed similar performance for both name- figure relations learned by FO and SR in tests administered immediately after teaching (Phase 2) and maintenance (Phase 3).
These findings point to two important considerations. One concerns the individual effectiveness of the tested procedures themselves. The second is why these procedures were effective in producing the repertoire learning/recovery described here.
Several studies have compared teaching methods for different levels of performance of people with Alzheimer's disease. In particular, the SR procedure has received much attention compared to other procedures (Anderson et al., 2001; Cherry & Simmons-D'Gerolamo, 2005; Haslam et al., 2011; Provencher et al., 2008), and in association with other techniques (Benigas & Bourgeois, 2016; Lekeu et al., 2002; Loewenstein et al., 2004; Thivierge et al., 2008). FO has been less studied in the literature and is commonly used in combination with other techniques (e.g., Clare et al., 2000; Clare et al., 2002; Haslam et al., 2010). However, no studies were found that directly compared SR and FO procedures.
The results of the present study corroborate the findings of other researchers that also demonstrated the effectiveness of both procedures tested (Bourgeois et al., 2003; Clare et al., 2000; Gradmaison & Simard, 2003; Haslam et al., 2010; Haslam et al., 2011; Hawley et al., 2008; Provencher et al., 2008). However, the present study did not demonstrate the superiority of one procedure over another in terms of learning outcomes or maintenance of learned performance. This finding is particularly important considering that, although learning outcomes were similar, there may be an advantage in using FO over SR due to the duration of the teaching sessions and the lower number of correction procedures required by participants in the FO condition. Although each relation was taught in a series of 12 scheduled trials (not including correction trials), the average teaching time for each relation in the FO condition was less than half the time spent teaching each relation in the SR condition. In practical terms, this represents a considerable gain when considering planned interventions with older people in institutional or clinical settings. The choice of which procedures to use, in which contexts, and for which specific repertoires is still under discussion (Haslam et al., 2010). The results presented here facilitate the building of evidence that can guide professionals in these choices.
However, it is also necessary to consider a number of factors that may have contributed not only to the lack of differences between the procedures, but also to explain why learning occurred similarly. The first is that both FO and SR can be considered as procedures that prevent the occurrence of errors, which has been referred to in the literature as a vital instructional condition for learning (Melo et al., 2014).
Errorless learning procedures have been used with different populations and in different contexts and have generally been very useful for individuals with different levels of difficulty (e.g., Luchesi et al., 2022; Medeiros et al., 1997; Souza & de Rose, 2006). Specifically, among people with Alzheimer's disease, there is evidence that learning or retrieving repertoires with errorless learning procedures are superior to trial- and-error methods (Haslam et al., 2010). These procedures are characterized by the gradual teaching of the repertoires, ensuring the maximum occurrence of successful performances by the participants (Melo et al., 2014). SR, for example, is characterized as a teaching procedure in which the required performance model (e.g., naming response) is presented to the participant, and this performance is initially required repeatedly at very short intervals and expanded as correct responses are given. Thus, frequent opportunities to respond (discriminative stimuli) are presented, that evoke the expected performance, which, in turn, produces differential consequences in a continuous scheme. The gradual spacing of the presentation of the opportunity to respond favors performance enhancement, while at the same time ensuring the immediate correction of errors and the narrowing of the interval between trials when an incorrect response occurs.
According to the procedure, the FO initiates the "transfer of responding control" (Catania, 1998) from the dictated word to the figure itself. Initially, the participant was only asked to repeat the correct name of the picture (producing a verbal response identical to the verbal stimulus heard).Then, and as long as the verbal cue was withdrawn, the participant was asked to say the name of the figure under the control of the cue and the figure. Finally, it was expected that only the picture presentation would elicit the correct response (and, in this sense, transfer of control of the response would occur). In the FO procedure, as in SR, immediate feedback on the participant's performance, as well as the gradual removal of the cue and the guarantee of correction of incorrect responses, are part of what is characterized as an error-free procedure.
Another factor that may have contributed to the participants' learning in this study is the fact that the stimuli used were familiar; that is, they were not pictures of objects completely unfamiliar to the participants.
In this sense, it can be said that the procedures only re-established relationships between stimuli that had been affected by AD (Sidman, 2013). In other cited studies (e.g., Haslam et al., 2010; Provencher et al., 2008), participants learned relations between unknown stimuli (e.g., relations between photos of people and their names). While these investigations suggest potential variations in the application of different techniques, studies comparing the learning of entirely novel relations and the restoration of familiar relations have not yet been conducted.
Finally, it is also necessary to discuss the teaching of relation in isolation compared to the simultaneous teaching of several relations for people with AD, as occurs in the match-to sample (MTS) procedures, commonly used in stimulus equivalence research. Several studies have pointed to the difficulties that individuals with AD have in learning relations between stimuli in MTS procedures (e.g., Aggio et al., 2021; Ducatti & Schmidt, 2016; Steingrimsdottir & Arntzen, 2011). For example, Ducatti and Schmidt (2016) had to associate the delayed cue procedure with the MTS in order for people with AD to learn relations between names and photos. The difficulties experienced by people with Alzheimer's disease in conditional discrimination procedures such as MTS, may be due to a variety of reasons, ranging from the difficulty in adequately discriminating between samples to problems in inhibiting impulsive responses to comparison stimuli or in presenting observational responses to each comparison stimulus. Perhaps the teaching of independent relations may even be beneficial for stimulus equivalence research, since this previous teaching may favor older adults' performance on MTS tasks by facilitating the emergence of symmetrical and transitive relations. This possibility should be investigated in future studies.
The present study has some limitations that should be taken into account. One is the lack of generalization tasks; that is, participants were not presented with three-dimensional objects related to the learned figures to verify a generalized naming response. Also, it is crucial to maintain learning at longer intervals with longer follow-up measures. Finally, it is necessary to consider the limitations of the type of design used (repeated measures design). Despite the advantage of being able to compare the same individuals in both teaching conditions (FO and SR), which reduces error variation because individual differences are smaller than in independent groups, this design has some limitations, such as the absence of a control group and the loss of information about the individual performance of the participants. The inclusion of a control group (no intervention) could strengthen the study's conclusions by minimizing hypotheses about possible changes in participants' performance over time, independent of the interventions.
Comparisons between different teaching methods have been well studied using single-subject designs such as alternating treatments or modified alternating treatments. This design was not used in the present study for two reasons. First, running the two procedures simultaneously would require participants to learn 14 words prior to the naming tests, which could confound the results due to the excessive number of words. In addition, in order to monitor learning in each procedure, a probe of all words would have to be administered in each session, which could lead to excessive exposure of participants to errors (from words not yet learned) and a consequent detrimental effect on learning and motivation. However, it is suggested that future studies include a control group, even when using a repeated measures design, or a single-subject design, such as alternating treatments, adjusting the necessary measures to monitor individual performance over time, or reducing the number of words to be taught.
Beyond these limitations, the main contribution of the present study was to show that there were no differences in the results obtained between the FO and SR procedures in teaching picture naming. However, as a faster procedure, FO has a practical advantage over SR in teaching this skill. Comparisons between these teaching methods in relation to other abilities have yet to be investigated. Considering that the number of people with dementia is increasing worldwide, it is imperative to develop intervention procedures to reduce the difficulties arising from this situation, so that these elderly people can have a better quality of life.
Referencias
Aggio, N. M., Teixeira, I. O., & de Rose, J. C. (2021). An exploratory study of directly taught and emergent relations in an elderly woman with Alzheimer's disease. The Psychological Record, 71, 493-497. https://doi.org/10.1007/s40732-020-00441-y
Almeida, O. P, & Almeida, S. A. (1999). Confiabilidade da versão brasileira da Escala de Depressão em Geriatria (GDS) versão reduzida. Arquivos de Neuropsiquiatria, 57(2-B), 421-426. https://doi.org/10.1590/S0004-282X1999000300013
Alves, K. R. S., Assis, G. J. A., Kato, O. M., & Brino, A. L. F. (2011). Leitura recombinativa após procedimentos de fading in de sílabas das palavras de ensino em pessoas com atraso no desenvolvimento cognitivo. Acta Comportamentalia: Revista Latina de Análisis de Comportamiento, 19(2), 183-203. https:www.redalyc.org/pdf/2745/274520894004.pdf
American Psychiatric Association (2013). Diagnostic and statistical manual of mental disorders (5th ed.). American Psychiatric Association.
Anderson, J., Arens, K., Johnson, R., & Coppens, P. (2001). Spaced retrieval vs. memory tape therapy in memory rehabilitation for dementia of the Alzheimer's type. Clinical Gerontologist, 24(1-2), 123-140. https://doi.org/10.1300/J018v24n01_09
Andrade, C. R. F., Béfi-Lopes, D. M., Fernandes, F. D. M., & Wertzner, W. H. (2000). ABFW: Teste de linguagem infantil nas áreas de Fonologia, Vocabulário, Fluência e Pragmática. Pró-Fono.
Benigas, J. E., & Bourgeois, M. (2016). Using spaced retrieval with external aids to improve use of compensatory strategies during eating for persons with dementia. American Journal of Speech-Language Pathology, 25(3), 321-334. https://doi.org/10.1044/2015_AJSLP-14-0176
Bertolucci, P H., Brucki, S., Campacci, S. R., & Juliano, Y. (1994). O mini-exame do estado mental em uma população geral: Impacto da escolaridade. Arquivos de Neuro-Psiquiatria, 52(1), 01-07. https://doi.org/10.1590S0004-282X1994000100001
Bourgeois, M. S. (1990). Enhancing conversations skills in patients with Alzheimer's disease using a prosthetic memory aid. Journal of Applied Behavior Analysis, 23(1), 29-42. https://doi.org/10.1901/jaba.1990.23-29
Bourgeois, M. S., Camp. C., Rose. M., Blanche, W., Malone, M., Carr, J., & Rovine, M. (2003). A comparison of training strategies to enhance use of external aids by persons with dementia. Journal of Communication Disorders, 36(5), 361-378. https://doi.org/10.1016/S0021-9924(03)00051-0
Boyle, J. R. & Hughes, C. A. (1994). Effects of self-monitoring and subsequent fading of external prompts on the on-task behavior and task productivity of elementary students with moderate mental retardation. Journal of Behavior Education, 4, 439-457. https://doi.org/10.1007/BF01539544
Camara, M. R., Ducatti, M., & Schmidt, A. (2017). Identity matching to sample and exclusion performance in elderly with and without neurocognitive disorders. Behavior Interventions, 32(4), 326-340. https://doi.org/10.1002/bin.1487
Camp, C. J. (1989). Facilitation of new learning in Alzheimer's disease. In G. C. Gilmore, P J. Whitehouse, & M. L. Wykle (Eds.), Memory, aging, and dementia: Theory, assessment, and treatment (pp. 212-225). Springer Publishing Company.
Catania, A. C. (1998). Learning (4th ed.). Prentice Hall.
Cherry, K. E., & Simmons-D'Gerolamo, S. S. (2005). Long-term effectiveness of spaced-retrieval memory training for older adults with probable Alzheimer's disease. Experimental Aging Research, 31(3), 261-289. https://doi.org/10.1080/03610730590948186
Clare, L., Wilson, B. A., Carter, G., Breen, K., Gosses, A., & Hodges, J. R. (2000). Intervening with everyday memory problems in dementia of Alzheimer type: An errorless learning approach. Journal of Clinical and Experimental Neuropsychology, 22(1), 132-146. https://doi.org/10.1076/1380-3395(200002)22:1;1-8;FT132
Clare, L., Wilson, B. A., Carter, G., Roth, I., & Hodges, J. R. (2002). Relearning face-name associations in early Alzheimer's disease. Neuropsychology, 16(4), 538-547. https://doi.org/10.1037/0894-4105.16.4.538
Cozby, P. C., & Bates, S. (2012). Methods in behavioral research (12th ed). McGraw Hill.
Creighton, A. S., van der Ploeg, E. S., & O'Connor, D. W. (2013). A literature review of spaced-retrieval interventions: A direct memory intervention for people with dementia. International psychogeriatrics, 25(11), 1743-1763. https://doi.org/10.1017/S1041610213001233
Dixon, M., Baker, J. C., & Sadowski, K. A. (2011). Applying Skinner's analysis of verbal behavior to persons with dementia. Behavior Therapy, 42(1), 120-126. https://doi.org/10.1016/j.beth.2010.05.002
Ducatti, M., & Schmidt, A. (2016). Learning conditional relations in elderly people with and without neurocognitive disorders. Psychology & Neuroscience, 9(2), 240-254. https://doi.org/10.1037/pne0000049
Dunn, J., & Clare, L. (2007). Learning face-name associations in early-stage dementia: Comparing the effects of errorless learning and effortful processing. Neuropsychological Rehabilitation, 17(6), 735-754. https://doi.org/10.1080/09602010701218317
Folch, J., Ettcheto, M., Petrov, D., Abad, S., Pedrós, I., Marin, M., Olloquequi, J., Camins, A. (2018). Review of the advances in treatment for Alzheimer disease: Strategies for combating -amyloid protein. Neurología, 33(1), 47-58. https://doi.org/10.1016/j.nrl.2015.03.012
Folstein, M. F., Folstein, S. E., & McHugh, P R. (1975). "Mini-mental state": a practical method for grading the cognitive state of patients for the clinician. Journal of Psychiatric Research, 12(3), 189-198. https://doi.org/10.1016/0022-3956(75)90026-6
Glisky, E. L., Schacter, D. L., & Tulving, E. (1986). Learning and retention of computer-related vocabulary in memory-impaired patients: Method of vanishing cues. Journal of Clinical and Experimental Neuropsychology, 8(3), 292-312. https://doi.org/10.1080/01688638608401320
Gradmaison, E., & Simard, M. (2003). A critical review of memory stimulation programs in Alzheimer's disease. The Journal of Neuropsychiatry and Clinical Neurosciences, 15(2),130-44. https://doi.org/10.1176/jnp.15.2.130.
Haslam, C., Moss, Z., & Hodder, K. (2010). Are two methods better than one? Evaluating the effectiveness of combining errorless learning with vanishing cues. Journal of Clinical and Experimental Neuropsychology, 32(9), 973-985. https://doi.org/10.1080/13803391003662686
Haslam, C., Hodder, K. I., & Yates, P. J. (2011). Errorless learning and spaced retrieval: How do these methods fare in healthy and clinical populations? Journal of Clinical Experimental Neuropsychology, 33(4), 432-447. https://doi.org/10.1080/13803395.2010.533155
Hawley, K. S., & Cherry, K. E. (2004). Spaced-retrieval effects on name-face recognition in older adults with probable Alzheimer's disease. Behavior Modification, 28(2), 276-296. https://doi.org/10.1177/0145445503259283
Hawley, K. S., Cherry, K. E., Boudreaux, E. O., & Jackson, E. M. (2008). A comparison of adjusted spaced retrieval versus a uniform expanded retrieval schedule for learning a name-face association in older adults with probable Alzheimer's disease. Journal of Clinical and Experimental Neuropsychology, 30(6), 639-649. https://doi.org/10.1080/13803390701595495
Hopper, T., Bourgeois, M., Pimentel, J., Dean Qualls, C., Hickey, E., Frymark, T., & Schooling, T. (2013). An evidence-based systematic review on cognitive interventions for individual with dementia. American Journal of Speech-Language Pathology, 22(1), 126-145. https://doi.org/10.1044/1058-0360(2012/11-0137)
Jang, J. S., Lee, J. S., & Yoo, D. H. (2015). Effects of spaced retrieval training with errorless learning in the rehabilitation of patients with dementia. Journal of Physical Therapy Science, 27(9), 2735-2738. https://doi.org/10.1589/jpts.27.2735
Landauer, T. K., & Bjork, R. A. (1978). Optimum rehearsal patterns and name learning. In M. Gruneberg, P E. Morris, & R. N. Sykes (Eds.), Practical aspects of memory (pp. 625-632). Academic Press.
Lear, K. (2004). Help us learn: A self-paced training program for ABAPart, 1. Toronto.
Lekeu, F., Wojtasik, V., Van der Linden, M., & Salmon, E. (2002). Training early Alzheimer patients to use a mobile phone. Acta Neurology Belgium, 102(3), 114-121. https://europepmc.org/article/med/12400249
Loewenstein, D. A., Acevedo, A., Czaja, S. J., & Duara, R. (2004). Cognitive rehabilitation of mildly impaired Alzheimer disease patients on cholinesterase inhibitors. American Journal of Geriatric Psychiatry, 12(4), 395-402. https://doi.org/10.1176/appi.ajgp.12.4.395
Lourenço, R. A., Veras, R. P., & Ribeiro, P. C. C. (2008). Confiabilidade teste-reteste do Mini-Exame do Estado Mental em uma população idosa assistida em uma unidade ambulatorial de saúde. Revista Brasileira de Geriatria e Gerontologia, 11(1), 7-16. https://doi.org/10.1590/1809-9823.2008.11012
Lucchesi, F.D.M., Almeida-Verdu, A.C.M., Bolsoni-Silva, A.T., Monteiro Benjamin B. M. J. & de Souza, D. das G. (2022). Speech accuracy and reading in children with cochlear implants. The Psychological Record, 72, 697-711. https://doi.org/10.1007/s40732-022-00518-w
Medeiros, J. F., Antonakopoulu, A., Amorim, K., & Righetto, A. C. (1997). O uso da discriminação condicional no ensino da leitura e escrita. Temas em Psicologia, 5(1), 23-32. http://pepsic.bvsalud.org/pdf/tp/v5n1/v5n1a03.pdf
Melo, R. M., Carmo dos Santos, J., & Hanna, E. S. (2014). Ensino sem erro e aprendizagem de discriminação. Temas em Psicologia, 22(1), 207-222. https://doi.org/10.9788/TP2014.1-16
Mimura, M., & Komatsu, S. I. (2010). Factors of error and effort in memory intervention for patients with Alzheimer's disease and amnesic syndrome. Psychogeriatrics, 10(4), 179-186. https://doi.org/10.1111/j.1479-8301.2010.00339.x
Ministry of State for Health (2012). Resolution no. 466, of 12 December. 2012. https://conselho.saude.gov.br/resolu-coes/2012/466_english.pdf
Provencher, V., Bier, N., Audet, T., & Gagnon, L. (2008). Errorless-based techniques can improve route finding in early Alzheimer's disease: A case study. American Journal of Alzheimer's Disease & Other Dementias, 23(1), 47-56. https://doi.org/10.1177/1533317507307228
Rodakowski, J., Saghafi, E., Butters, M. A., & Skidmore, E. R. (2015). Non-pharmacological interventions for adults with mild cognitive impairment and early stage dementia: An update scoping review. Molecular Aspects of Medicine, 43, 38-53. https://doi.org/10.1016/j.mam.2015.06.003
Rojas, G. J., Villar, V., Iturry, M., Harris, P., Serrano, C. M., Herrera, J. A., & Allegri, R. F. (2013). Efficacy of a cognitive intervention program in patients with mild cognitive impairment. International Psychogeriatrics, 25(5), 825-831. https://doi.org/10.1017/S1041610213000045
Salamone, S., Caraci, F., Leggio, G. M., Fedotova, J., & Drago, F. (2012). New pharmacological strategies for treatment of Alzheimer's disease: Focus on disease modifying drugs. British Journal of Clinical Pharmacology, 73(4), 504-517. https://doi.org/10.1111/j.1365-2125.2011.04134.x
Sidman, M. (2013). Techniques for describing and measuring behavioral changes in Alzheimer's patients. European Journal of Behavior Analysis, 14(1), 141-149. https://doi.org/10.1080/15021149.2013.11434452
Sidman, M. & Stoddard, L. T. (1967). The effectiveness of fading in programming a simultaneous form discrimination for retarded children. Journal of the Experimental Analysis of Behavior, 10(1), 3-15. https://doi.org/10.1901/jeab.1967.10-3
Small, J. A., & Cochrane, D. (2020). Spaced retrieval and episodic memory training in Alzheimer's disease. Clinical Interventions in Aging, 15, 519-536. https://doi.org/10.2147/CIA.S242113
Souza, D. G. de & de Rose, J. C. (2006). Desenvolvendo programas individualizados para o ensino de leitura. Acta Comportamentalia, 14(1), 77-98. https:www.redalyc.org/pdf/2745/274520148004.pdf
Souza, F. C., Moreira Almeida Verdu, A. C., & Bevilacqua, M. C. (2013). Ecoico e nomeação de figuras em crianças com deficiência auditiva pré-lingual com implante coclear. Acta Comportamentalia: Revista Latina de Análisis de Comportamiento, 21(3), 273-283. https://www.redalyc.org/pdf/2745/274528346004.pdf
Steingrimsdottir, H. S., & Arntzen, E. (2011). Identity matching in a patient with Alzheimer's disease. American Journal of Alzheimer's Disease & Other Dementias, 26(3), 247-253. https://doi.org/10.1177/1533317511402816
Thivierge, S., Simard, M., Jean, L., & Grandmaison, E. (2008). Errorless learning and spaced retrieval techniques to relearn instrumental activities of daily living in mild Alzheimer's disease: A case report study. Neuropsychiatry Disease and Treatment, 4(5), 987-999. https://doi.org/10.2147/NDT.S3684
Viccaro, E., Sands, E., & Springer, C. (2019). Spaced retrieval using static and dynamic images to improve face-name recognition: Alzheimer's dementia and vascular dementia. American Journal of Speech-Language Pathology, 28(3), 1184-1197. https://doi.org/10.1044/2019_AJSLP-18-0131
Yesavage, J. A., Brink, T.L., Rose, T. L., Lum O., Huang, V., Adey, M., Leirer, V. O. (1983). Development and validation of a geriatric depression screening scale: A preliminary report. Journal of Psychiatric Research, 17(1), 37-49. https://doi.org/10.1016/0022-3956(82)90033-4
Yesavage, J.A. & Sheikh, J. I. (1986). Geriatric depression scale (GDS): Recent evidence and development of a shorter version. Clinical Gerontologist, 5(1-2), 165-173. https://doi.org/10.1300/J018v05n01_09v
Notes
Conflict of interest declaration