Artículos

Recepción: Agosto 21, 2019
Aprobación: 30 Octubre 2020
DOI: https://doi.org/10.12804/revistas.urosario.edu.co/apl/a.7906
Resumen: Las dinámicas adolescentes y las exigencias de la educación secundaria vuelven pertinente la investigación sobre procrastinación, tan extendida y estudiada en universitarios. El objetivo del presente estudio es adaptar y validar la Tuckman Procrastination Scale (TPS) en una muestra de 211 estudiantes de educación media superior, integrada por 125 mujeres (59 %) y 86 hombres (41 %), entre los 15 (45 %) y 16 (54 %) años. La escala presentó adecuada consistencia interna. Se obtuvo evidencia sobre la validez de constructo a partir del análisis factorial confirmatorio. Su validez predictiva se apoya en las correlaciones significativas y negativas con rendimiento académico, autoeficacia, valor intrínseco, y la positiva, con ansiedad ante las pruebas. Estos resultados avalan la validez de la interpretación de las puntuaciones obtenidas con la escala TPS para esta muestra de adolescentes, lo que permitirá avanzar en la descripción y explicación del fenómeno de procrastinación académica en esta población.
Palabras clave: procrastinación, autorregulación, auto- eficacia, rendimiento académico, construcción de test.
Abstract: Adolescent dynamics and the demands of secondary school education make it pertinent to carry out research on procrastination, so widespread and studied in university students. The objective of the present study was to adapt and validate the Tuckman Procrastination Scale (TPS) in a sample of 211 high school students, composed of 125 women (59 %) and 86 men (41 %), aged 15 (45 %) and 16 (54 %) years. The scale presents adequate internal consistency. Evidence about the construct validity was obtained based on confirmatory factor analysis. The significant and negative correlations with academic performance, self-efficacy, intrinsic value, as well as the positive one with anxiety before the tests, provide evidence of their predictive validity. These results support the validity of the interpretation of the scores obtained with the TPS scale for this sample of adolescents, which will allow advancing in the description and explanation of the academic procrastination in this population.
Keywords: Procrastination, self-regulation, self-efficacy, academic achievement, test development.
Resumo: As dinâmicas do adolescente e as demandas do ensino médio tornam pertinente a pesquisa sobre procrastinação, tão difundida e estudada em estudantes universitários. O objetivo do presente estudo é adaptar e validar a Escala de Procrastinação de Tuckman (Tuckman Procrastination Scale – TPS) em uma amostra de 211 alunos do ensino médio, composta por 125 mulheres (59%) e 86 homens (41%) com 15 (45%) e 16 (54%) anos de idade. A escala apresenta consistência interna adequada. As evidências sobre a validade do construto foram obtidas a partir da análise fatorial confirmatória. Sua validade preditiva é sustentada pelas correlações significativas e negativas com desempenho acadêmico, autoeficácia, valor intrínseco e correlação positiva com a ansiedade perante as provas. Esses resultados corroboram a validade da interpretação das pontuações obtidas com a TPS para esta amostra de adolescentes, o que permitirá avançar na descrição e explicação do fenômeno da procrastinação acadêmica nesta população.
Palavras-chave: procrastinação, autorregulação, auto- eficácia, desempenho acadêmico, construção de teste.
El escaso número de estudios sobre procrastinación en estudiantes de secundaria contrasta con la importancia de su detección en edades tempranas para intervenir, procurando disminuir las consecuencias negativas (Janssen, 2015; Ziegler & Opdenakker 2018). En ese ciclo educativo, los estudiantes deben manejarse con crecientes niveles de autonomía al enfrentar los desafíos académicos y consolidar habilidades que resultan importantes para su avance en el sistema. Sin embargo, un importante porcentaje de los estudiantes que egresan del ciclo secundario presentan dificultades para autorregular sus procesos de aprendizaje (Kim & Seo, 2015). Por ese motivo, resulta pertinente avanzar en la comprensión de la incidencia de la procrastinación académica en esa etapa del ciclo vital. Se presenta la adaptación de un instrumento para detectar distintos niveles procrastinación académica en estudiantes de educación media superior, último tramo de enseñanza secundaria, sobre el que poco se ha indagado hasta el momento.
Procrastinación: postergación recurrente y falla en la planificación
La procrastinación es un fenómeno complejo que involucra componentes comportamentales, emocionales y cognitivos (Alegre, 2013; González & Sánchez, 2013; Solomon & Rothblum, 1984). Se la describe como “el acto de demorar tareas innecesariamente al punto de experimentar un malestar subjetivo” (Solomon & Rothblum, 1984, p. 503). En esta se pueden identificar dos componentes: una postergación de actividades y un déficit en las conductas orientadas a metas y planificación de actividades (Domínguez-Lara et al., 2014). Además, los pensamientos y conductas que la acompañan se encuentran asociados con reacciones emocionales negativas (Flett et al., 2012).
El aplazamiento de tareas o decisiones es una característica central del concepto de procrastinación y un fenómeno común en diferentes ámbitos de la vida. A los efectos de comprender e intervenir sobre este fenómeno, se pueden distinguir los comportamientos de procrastinación del rasgo procrastinador (Chan, 2011). Como comportamiento, puede ser pensada como un fenómeno dinámico resultado de la interacción entre el individuo y el contexto. Por ejemplo, un aplazamiento puede ser necesario si se requiere de condiciones más propicias para tomar decisiones o cumplir algunas tareas. Sin embargo, como rasgo es un patrón regular de funcionamiento y las acciones o decisiones que se dilatan a pesar de no resultar apropiado (Van Eerde, 2003). La procrastinación como rasgo, puede ser definida entonces como una tendencia regular e innecesaria a postergar tareas que deben ser hechas. Por lo general, en ella confluyen una postergación intencional y la conciencia de posibles perjuicios (Ferrari et al., 2009; Klingsieck, 2013). Además, se la relaciona con una disminución de productividad y aumento de ansiedad (Steel, 2007).
La procrastinación puede ser considerada como un fallo de autorregulación porque implica un déficit en las conductas orientadas a metas y planificación de actividades (Balkis & Duru, 2016; Ferrari et al., 2009; Palo et al., 2019; Steel & Ferrari, 2013; Sirois & Pychyl, 2013; Tuckman, 2005; Van Eerde & Klingsieck, 2018). La autorregulación engloba un conjunto de procesos que habilitan un control sobre los pensamientos, sentimientos, acciones y motivación, mediante estrategias personales de control y adaptación permanentes para el logro de las metas que se han definido (Panadero & Alonso Tapia, 2014; Zimmerman & Schunk, 2011). Esto se hace visible y particularmente necesario en contextos académicos.
Procrastinación y su incidencia en contextos académicos
La procrastinación se puede presentar en el desempeño personal, académico y laboral. La procrastinación académica (PrA) alude específicamente a la demora en la realización de tareas en el entorno educativo. La PrA es uno de los fenómenos que se asocia a un peor desempeño en comparación con los pares (Kljajic & Gaudreau, 2018), menor creatividad en las producciones (Ferrari, 2001) y abandono de los estudios (Garzón & Gil, 2017). Esta se manifiesta, por ejemplo, en las dificultades experimentadas por los estudiantes cuando se les proponen tareas con una fecha límite de entrega o cuando dejan para último momento el estudio para un examen o la preparación de un trabajo (Ferrari, 2010; Steel, 2007; 2011). Varias de las conductas identificadas se relacionan con un manejo inadecuado de los tiempos (Sirois & Pychyl, 2013). Los estudiantes que procrastinan estudian menos horas de las que pensaban estudiar y demoran al comenzar o terminar sus trabajos o devolver los materiales de estudio (Brownlow & Reasinger, 2000). Además, dedican más tiempo del que deberían a las actividades recreativas o sociales que no se vinculan con lo académico.
La PrA tiene gran prevalencia en el dominio académico (González & Sánchez, 2013; Rozental & Carlbring, 2014; Steel, 2011). Por ejemplo, se la señala como un fenómeno presente en el 70 % de los estudiantes universitarios anglosajones (Ferrari et al., 2005). Steel (2007) sostiene que el 75 % de los estudiantes universitarios se considera procrastinador y el 50% aplaza la realización de tareas. En una investigación realizada entre estudiantes universitarios españoles, se concluyó que el 40 % de ellos tiende a posponer sus tareas (Natividad, 2014). A la vez, se plantea que un porcentaje superior al 50 % de los estudiantes universitarios quiere modificar esa conducta (Natividad, 2014; Sánchez, 2010; Steel, 2007) y se sugiere que la procrastinación aumenta en la adolescencia de forma progresiva hasta la educación media superior (Clariana et al., 2012; Rosario et al., 2009). Klassen y Kuzucu (2009) informan que un 83 % de los estudiantes de secundaria procrastinan en Turquía. En Latinoamérica, recientemente se empezó a investigar su prevalencia entre universitarios (Domínguez-Lara, 2017; 2018).
Algunos estudiantes que presentan fallos en la autorregulación y un buen bagaje cognitivo acceden a los estudios terciarios, pero sus dificultades se expresan con mayor claridad en ese ciclo educativo. A nivel universitario, se espera que los estudiantes presenten un adecuado manejo de las estrategias de aprendizaje y se vuelven más relevantes los aspectos motivacionales y volitivos (Grund & Fries, 2018). Al relevar las investigaciones sobre la temática, Van Eerde (2003) encontró una mayor presencia de procrastinación entre los estudiantes universitarios más jóvenes, lo que puede indicar que a medida que avanzan logran un mejor manejo volitivo. También advierte que una menor presencia de procrastinadores en los últimos años del ciclo terciario puede ser un dato preocupante si el descenso del porcentaje de estudiantes con fallos volitivos se debe a que estos abandonan los estudios cuando encuentran mayores exigencias (Garzón & Gil, 2017; Van Eerde, 2003).
Al cursar la educación media, los estudiantes deben presentar niveles crecientes de autonomía y pericia que les permitan ser competentes cuando enfrentan desafíos académicos de mayor complejidad. Ante una nueva tarea, deben definir metas, administrar los tiempos y mantener su motivación. Para ello deben desplegar estrategias volitivas que ayudan a mantener la concentración, “controlando su cognición, motivación y emociones, incluso cuando se enfrentan con la distracción personal o la intromisión de nueva información proveniente del entorno” (Corno, 1993, p. 17). También deben inhibir algunos comportamientos vinculados con actividades que les resulten más placenteras, protegiendo así las intenciones de aprendizaje de otras que entran en competencia con ellas (Corno, 2001; Duckworth & Seligman, 2006). Sin embargo, no todos los estudiantes muestran la “iniciativa personal, perseverancia [ni] habilidad adaptativa necesarias para autorregular sus aprendizajes” (Zimmerman, 2008, p. 167). Algunos estudiantes se encuentran afectados “por ciertos pensamientos intrusos sobre éxitos y fracasos anteriores, posibles resultados futuros y cursos alternativos de acción” (Crozier, 2001, p. 190) y su conducta se orienta hacia ese estado emocional. Dichos pensamientos y preocupaciones pueden ser un impedimento para la acción y formar parte de la procrastinación, descrita como una conducta prevalente y perniciosa (Steel, 2007).
Numerosas investigaciones, principalmente con estudiantes universitarios, identifican la relación significativa entre PrA y otros constructos relevantes en el contexto educativo (Steel & Klingsieck, 2016). Se identifica una relación inversa entre PrA y rendimiento académico (Garzón & Gil, 2017; Kim & Seo, 2015; Kljajic & Gaudreau, 2018). También se relacionan inversamente la PrA y la autoeficacia académica (Malkoc & Multu, 2018; Wäschle et al., 2014; Ziegler & Opdenakker, 2018). La relación entre PrA y la motivación intrínseca también es inversa (Aguilar et al., 2016; Brownlow & Reasinger, 2000). Por el contrario, se observa una relación positiva entre la PrA y la ansiedad ante exámenes (Furlan et al., 2014; Pardo et al., 2014). Ziegler y Opdenakker (2018) evaluaron la PrA en estudiantes de secundaria y confirmaron una relación inversa con autoeficacia, autorregulación, regulación del esfuerzo y rendimiento académico en matemáticas y lengua extranjera.
Al considerar las relaciones entre PrA y género, los estudios no resultan concluyentes (Steel, 2007). En algunos no se encuentran diferencias (Álvarez, 2010; Domínguez-Lara, 2017; Furlan et al., 2012: Sirin, 2011) o se plantea que estas serían mínimas (Chan, 2011). En otros estudios se sostiene que procrastinan más los hombres (Balkis & Duru, 2017; Steel & Ferrari, 2013) o por el contrario que el fenómeno se encuentra más presente entre las mujeres (Carranza & Ramírez, 2013).
La evaluación de la procrastinación
A nivel internacional (tabla 1) existen múltiples formas de evaluar la procrastinación por medio de instrumentos de autoinforme (Steel, 2007, 2010; Van Eerde, 2003). A partir de la década del ochenta, se generaron los que se emplean al investigar sobre la temática en estudiantes universitarios de habla inglesa. Son más recientes los trabajos en estudiantes de habla hispana (Álvarez, 2010; Clariana & Martín, 2008; Furlan et al., 2012; Garzón & Gil, 2017; Moreta-Herrera & Durán-Rodríguez, 2018). A pesar de su importancia, la investigación en estudiantes de secundaria se comienza a desarrollar hace muy poco tiempo (Ziegler & Opdenakker, 2018). Se reconoce la necesidad de validar los instrumentos para esta población, particularmente en el contexto latinoamericano.

En particular, la Escala de Procrastinación de Tuckman (TSP) es propuesta como una medida válida y confiable de la tendencia a perder el tiempo, el retraso y la postergación intencional de algo que se debe hacer (Tuckman, 1990, 1991). Esta escala se genera como resultado de un proceso que comienza con una versión de 72 items que luego se depura a 35. Finalmente, se propone una versión de 16 ítems, que puede administrarse sin que se afecte sustantivamente la confiabilidad (Tuckman, 1990). La adaptación al español en estudiantes universitarios argentinos muestra buenas propiedades psicométricas (Furlan, et al., 2012). El procedimiento empleado en la traducción y adaptación transcultural de la escala original se ajustó a lo propuesto por la Comisión Internacional de Tests para asegurar la equivalencia entre los ítems originales y los traducidos (Muñiz et al., 2013).
Como se ha planteado, la investigación en procrastinación se ha enfocado mayoritariamente en estudiantes universitarios. Sin embargo, dadas las exigencias del sistema educativo, parece necesario y pertinente conocer sobre esta en adolescentes que transitan por la educación media. La identificación temprana de la procrastinación resulta importante dada su relación con el rendimiento académico y su prevalencia, pues podría asociarse al bajo desempeño y constituir un factor del abandono de los estudios. Para avanzar en ello, resulta necesario contar con instrumentos válidos para la población de adolescentes que cursan secundaria.
El presente estudio tiene como objetivo principal adaptar y validar la adaptación al español de la Escala de Procrastinación de Tuckman (Furlan et al., 2012) para su empleo en estudiantes de educación secundaria. Se busca aportar evidencia sobre la validez de constructo de la escala en una muestra de adolescentes. Se procura analizar la validez predictiva de la escala. En base a lo que sugieren investigaciones previas, se espera que la PrA se relacione de forma significativa y negativa con el rendimiento académico, la autoeficacia y el valor intrínseco, en tanto será significativa y positiva con la ansiedad ante las pruebas. Se verifica la consistencia interna de la escala. Por último, con propósito exploratorio, se realizan comparaciones por género en una muestra de adolescentes de educación media.
Método
Participantes
La muestra incidental estuvo integrada por 211 estudiantes que cursaban primer año de educación media superior. Estuvo conformada por 125 mujeres (59 %) y 86 hombres (41 %). Sus edades eran de 15 (45 %) y 16 años (54 %). Fueron elegidos por conveniencia cuatro liceos privados de contexto socioeconómico medio, dos de la capital (153 estudiantes, 72 %) y dos del interior del país (58 estudiantes, 28 %). En dichos liceos, se invitó a participar a la totalidad de estudiantes que cursaban el primer año de educación media superior. Solo un estudiante desistió de participar.
Instrumentos
Escala de Procrastinación Académica de Tuckman (TPS). Se trata de una medida unidimensional de la tendencia a perder el tiempo o aplazar tareas académicas que deben ser realizadas en un tiempo determinado (Tuckman, 1990). Fue adaptada al español y aplicada a estudiantes universitarios de la ciudad de Buenos Aires (Furlan, et al., 2012). Se elige trabajar con esa adaptación de 15 ítems, con codificación directa (por ejemplo: “Demoro innecesariamente en terminar trabajos, incluso cuando son importantes”) e inversa (por ejemplo: “Empiezo a trabajar de inmediato, incluso en actividades que me resultan displacenteras”). El formato de respuesta es de tipo Likert (de 1 = nunca a 5 = siempre), y el índice de confiabilidad α de Cronbach = .87, tanto en la escala original (Tuckman, 1990), como en la adaptación (Furlan et al., 2012).
Motivated Strategies for Learning Questionnarie (MSLQ). Evalúa componentes de la motivación y del aprendizaje autorregulado. Se elige el bloque de motivación de la adaptación uruguaya (MSLQ-UY), realizada por Curione et al. (2017). El bloque administrado incluye las subescalas de autoeficacia, valor intrínseco y ansiedad ante las pruebas. La escala de autoeficacia (α = .89) releva la autoevaluación que el individuo hace sobre su pericia para dominar las tareas académicas. Incluye además su juicio sobre su capacidad y expectativa de éxito (ejemplo: “Creo que soy un buen estudiante”). La escala de valor intrínseco (α = .87) evalúa si el estudiante percibe las tareas como un fin en sí mismo o como medios (ejemplo: “Para mi es importante aprender lo que se da en este curso”). La escala de ansiedad ante las pruebas (α = .75) evalúa la presencia de pensamientos negativos intrusivos que afecten el rendimiento y la manifestación de ansiedad a nivel afectivo y fisiológico al enfrentar situaciones de evaluación (ejemplo: “Me pongo tan nervioso en un examen o parcial que no logro recordar los temas que he aprendido”). Las escalas del MSLQ-UY se han empleado en investigaciones con adolescentes uruguayos en enseñanza secundaria, con buenas propiedades psicométricas (Cuevasanta, 2018).
Procedimiento
Previamente, se realizó un estudio piloto con 86 estudiantes de primer año de educación media superior en un colegio de contexto socioeconómico medio de Montevideo. Además, se requirió el juicio de cinco expertos para estimar la validez del contenido de la escala. Se les consultó si consideraban los ítems adecuados para reflejar el constructo, y sobre la claridad de redacción y la factibilidad de ser comprendida por la población a la que estaba dirigida. A partir de los datos del estudio piloto y el aporte de los jueces, siguiendo los criterios expuestos por Muñiz y Fonseca-Pedrero (2019), se decidió eliminar el ítem que generaba mayores dudas (Carbajal, 2019).
La administración de los cuestionarios se realizó el último trimestre del año, de forma grupal, en horario de clase y en las instalaciones de cada liceo. Cada cuestionario insumió entre veinte y treinta minutos; la TPS se administró primero y luego el MSLQ. En este último, se solicitó a los participantes que al contestar se basaran en la asignatura de matemática. Se realizó la recolección de las calificaciones de matemática, biología y promedio general, que fueron elegidas como medidas del rendimiento académico. Ambas asignaturas requieren del trabajo sostenido de los estudiantes en primer año de educación media superior.
En cuanto a los aspectos éticos, se siguieron las normativas y criterios vigentes a escala nacional. Previo al trabajo con los estudiantes, se solicitó autorización a las autoridades de las instituciones educativas participantes. Luego se entregó consentimiento informado a los padres o responsables de los estudiantes. Del mismo modo, en el momento de la aplicación se les informó de los propósitos de la investigación y se dejó abierta su participación voluntaria acompañada de su firma del consentimiento.
Análisis estadístico
Inicialmente se identificaron valores perdidos y outliers. Se eliminó un caso que no presentaba respuestas al MSLQ. Se identificaron los outliers univariados, calculando la puntuación estandarizada del total de la escala (PrA). A partir de ello, se eliminaron dos casos en los que Z > 3. Utilizando la prueba de distancia de Mahalanobis para identificar outliers multivariados, se eliminó otro caso con nivel de significación menor a .001. Posteriormente, para cada ítem se calculó la media, desviación estándar, asimetría, kurtosis y correlación con la escala total, y se realizó análisis factorial confirmatorio para verificar la estructura interna del cuestionario. Luego se calcularon las correlaciones entre PrA, autoeficacia, valor intrínseco, ansiedad ante las pruebas y calificaciones (matemáticas, biología y promedio general). La consistencia interna de la escala se calculó mediante α de Cronbach y ω de Mc- Donald. Finalmente, se realizaron comparaciones por género utilizando la prueba .. Para la ejecución de los distintos análisis estadísticos se utilizaron los paquetes estadísticos SPSS 18 y AMOS 20.
Análisis estadístico de los ítems
En la tabla 2 se presentan las medias, desviaciones estándar, valores de asimetría y kurtosis de cada ítem, además del valor de correlación con el total de la escala de PrA. En general, los ítems se comportan de forma aceptable a buena, con medias próximas a la media de la escala y desvíos estándar próximos a 1 (Carretero-Dios & Pérez, 2005). Todos los ítems superan el valor .30 de correlación con la escala total.
Resultados
Análisis estadístico de los ítems
En la tabla 2 se presentan las medias, desviaciones estándar, valores de asimetría y kurtosis de cada ítem, además del valor de correlación con el total de la escala de PrA. En general, los ítems se comportan de forma aceptable a buena, con medias próximas a la media de la escala y desvíos estándar próximos a 1 (Carretero-Dios & Pérez, 2005). Todos los ítems superan el valor .30 de correlación con la escala total.
Validez de constructo
La estructura interna de la TPS fue verificada a través de un análisis factorial confirmatorio, utilizando el procedimiento de máxima verosimilitud. Se presentan los resultados de la evaluación de dos modelos (tabla 3). Para analizar el ajuste del modelo se consideraron la razón Chi-cuadrado sobre los grados de libertad (χ²/df), el índice comparativo de ajuste (CfI) y el índice de Tucker-Lewis (TLI). Como medidas del error se tuvieron en cuenta el Root Mean Square Residual (RMR) y el promedio de los residuales estandarizados al cuadrado (RMSEA). Para la valoración de los índices se han seguido los criterios expuestos por Hu y Bentler (1999), Martínez-Arias et al. (2006) y Ruiz et al. (2010).


El modelo 1 agrupaba los 14 ítems en una sola dimensión. Presenta algunos indicadores de ajuste que pueden considerarse aceptables: χ²/df fue menor a tres, en tanto el RMR y el RMSEA fueron menores a .08. Sin embargo, los indicadores CfI y TLI no pueden considerarse de buen ajuste dado que sus valores fueron menores a .90.
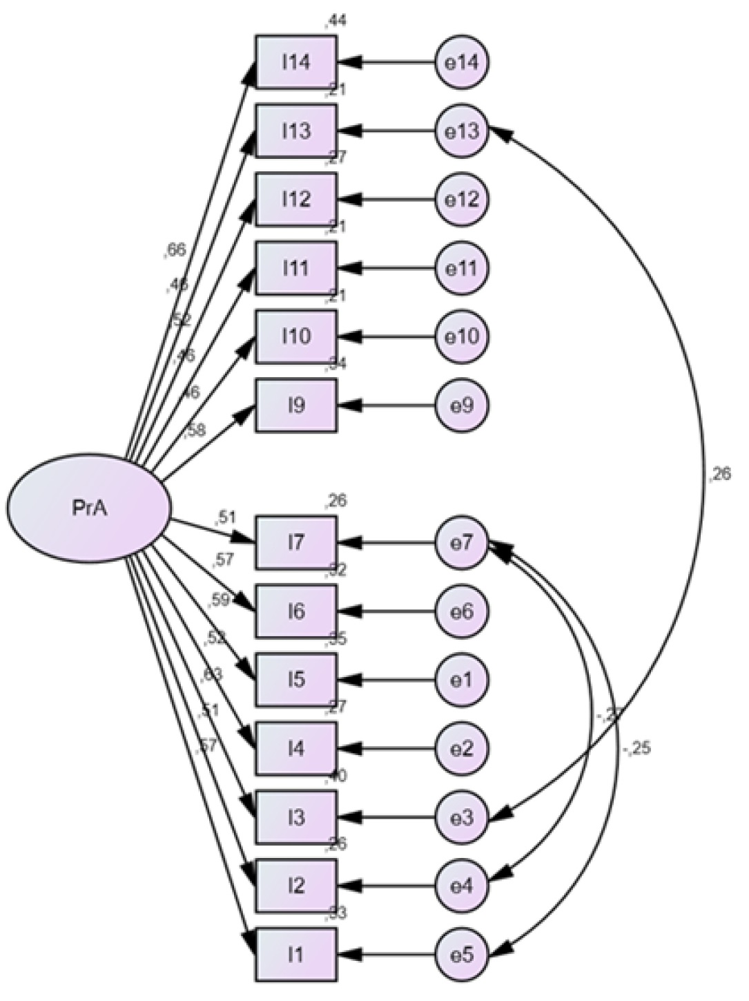
El modelo 2 agrupa 13 ítems en una única dimensión, para ello se excluyó el ítem 8 por presentar el menor valor de la escala total y, a su vez, se relacionaron algunos errores de medida (figura 1). Este modelo alcanza mejores indicadores de ajuste. Puede considerarse bueno que χ²/df fuera menor a dos. Los valores de RMR y RMSEA pueden considerarse de aceptables a buenos, ya que fueron menores a .08. Los indicadores CfI y TLI fueron mayores a.90, y estos valores pueden considerarse de aceptables a buenos.
Validez de criterio
En la tabla 4 pueden observarse estadísticos descriptivos de las distintas variables que se consideraron para la validez de criterio. Se correlacionó la puntuación de la TPS con las medidas de rendimiento académico (calificación promedio, matemáticas y biología) y con los componentes motivacionales (autoeficacia, valor intrínseco y ansiedad ante las pruebas).

χ²/gl = 1.79, CFI = .923, TLI = .903, RMR = .062, RMSEA = .056
al como se observa en la tabla 4, la puntuación en procrastinación correlaciona de forma significativa, negativa y baja con las distintas medidas de rendimiento académico, así como con las escalas de autoeficacia y valor intrínseco. Por el contrario, la puntuación de la TPS correlaciona de forma significativa, positiva y baja con la ansiedad ante las pruebas. Estas correlaciones se comportan de acuerdo con lo esperado, con base en los antecedentes, y aportan evidencias de la validez de criterio de la TPS.

Fiabilidad de la TPS: La consistencia interna alcanza un valor α de Cronbach = .85, para la versión administrada de 14 ítems. Se obtiene un valor idéntico al calcular el ω de McDonald.
Comparación por género: Al comparar los resultados en PrA de varones (M = 2.88, DS = 0.57) y mujeres (M = 2.85, DS = 0.59), utilizando la prueba t para muestras independientes, no se observaron diferencias estadísticamente significativas, t(205) = 0.30, p = .76, representando un tamaño del efecto mínimo (r = .02). En esta muestra de adolescentes no se han observado diferencias entre hombres y mujeres.
Discusión y conclusiones
Asumiendo la relevancia de la investigación sobre la PrA en población adolescente latinoamericana, se ha propuesto adaptar y validar la TPS, partiendo de la adaptación argentina de esta en población universitaria (Furlan, et al., 2012). Si bien la aproximación al fenómeno de la procrastinación en la población adolescente ha sido demandada, se encuentran pocos antecedentes de investigación en general y menos aún en Latinoamérica (Álvarez, 2010; Clariana, et al., 2012; Ziegler & Opdenakker, 2018). Contar con herramientas validadas para dicha población constituye un paso necesario, que se ha pretendido abordar en este estudio. Inicialmente, los resultados avalan la validez de la interpretación de las puntuaciones obtenidas con la TPS para esta muestra de adolescentes, lo que permitirá avanzar en la descripción y explicación del fenómeno de PrA en esta población.
En cuanto a la validez de constructo, puede asumirse que el conjunto de ítems de la TPS evalúa el fenómeno de la PrA, contemplando la característica central de postergación de las tareas académicas. Se tiene una prueba que da cuenta de la postergación sistemática de las actividades académicas por parte de adolescentes que cursan el primer año de bachillerato, que resulta el aspecto más objetivable del fenómeno. Sin embargo, cuando se considera exclusivamente el conjunto de ítems, el ajuste del modelo generado podría ser cuestionable. El modelo que logra un mejor ajuste en esta muestra de adolescentes se produce al eliminar uno de los ítems y vincular los errores sistemáticos en las respuestas. Esto puede reflejar la presencia de otros aspectos que están incidiendo sistemáticamente en las respuestas de los adolescentes y deberían analizarse en futuras administraciones. Lo que acompaña a la postergación sistemática puede ser diverso, por ejemplo, falta de motivación e interés para las tareas académicas, dificultades para planificar y organizarse (Domínguez-Lara et al., 2014; Van Eerde & Klingsiek, 2018), respuestas evitativas, debilidad para postergar la gratificación e inhibición volitiva (Flett et al., 2012).
En relación con la validez de criterio, en el presente estudio, la medida de PrA que proporciona la TPS correlaciona significativa y negativamente con rendimiento académico (Kim & Seo, 2015), autoeficacia (Ziegler & Opdenakker, 2018) y valor intrínseco (Aguilar et al., 2016). Estas relaciones coinciden con las observadas en estudios previos realizados principalmente con estudiantes universitarios (Steel & Klingsieck, 2016). Por el contrario, correlaciona significativa y positivamente con la ansiedad ante las pruebas, lo que es coincidente con el estudio de adaptación de la TPS con universitarios argentinos (Furlan et. al., 2012). La medida de PrA que brinda la TPS se comporta tal como sería esperable de acuerdo con los estudios previos, lo que suma evidencia de su validez para interpretar sus resultados en la muestra de adolescentes.
La consistencia interna de la TPS es buena; por tanto, resulta una medida fiable de la PrA. La fiabilidad, en esta muestra de adolescentes, es similar a la reportada en el estudio original (Tuckman, 1990) como en su adaptación (Furlan, et al., 2012), y está en el rango que reportan distintos cuestionarios de evaluación de la PrA (Steel, 2010).
Al explorar los resultados por género no se han observado diferencias significativas, tal como ha ocurrido en la muestra de estudiantes universitarios evaluados por Furlan et al. (2012) y en otros estudios similares (Domínguez-Lara, 2017; Sirin, 2011). La discusión sobre el tema sigue abierta y probablemente sea un aspecto que deba considerarse a la hora de aproximarse al fenómeno de la PrA en la adolescencia.
Una de las limitaciones del presente estudio se relaciona con las características de la muestra intencional, procedente de algunas instituciones privadas. En futuros estudios, se debería avanzar hacia muestras más representativas todavía. Por otra parte, se debería profundizar en los distintos aspectos que pueden vincularse a la postergación de actividades académicas.
Futuros estudios podrían investigar sobre los puntos de corte de la escala; es decir, tratar de conocer a partir de qué puntuaciones obtenidas en la escala los comportamientos que pueden identificarse como problemáticos están acompañados de bajo rendimiento académico porque estos aumentarían las probabilidades de fracaso y abandono del sistema educativo.
Deberían integrarse en futuras investigaciones algunos factores contextuales como las diferencias entre asignaturas (Kljajic & Gaudreau, 2018), el clima motivacional de clase (Grund & Fries, 2018), el tipo de evaluación, las estrategias de autorregulación (Palo et al., 2019). La comprensión de estas claves contextuales aportaría más profundidad a los estudios sobre procrastinación en adolescente y brindaría pistas sobre las posibilidades de intervención en contextos educativos.
La evidencia obtenida permite concluir que la TPS constituye una medida válida y fiable de la PrA en estudiantes de educación media superior, que puede ser empleada con fines de investigación en el campo de la educación. La TPS es una escala de fácil aplicación, que permite la detección de niveles de PrA en educación secundaria y puede ser pensada como un buen recurso para el seguimiento de las trayectorias educativas del conjunto de estudiantes en el marco de las acciones de orientación educativa. Considerando que la procrastinación es un fenómeno relacionado con las trayectorias educativas signadas por el rezago o abandono de los estudios (Garzón & Gil, 2017; Kljajic & Gaudreau, 2018), continuar avanzando en su investigación en adolescentes puede constituir un aporte significativo en el contexto latinoamericano.
Referencias
Aitken, M. E. (1982). A personality profile of the college student procrastinator. University Microfilms International.
Aguilar, J., González, D., & Aguilar, A. (2016). Un modelo estructural de motivación intrínseca. Acta de Investigación Psicológica, 6(3), 2552-2557. https://doi.org/10.1016/j.aipprr.2016.11.007
Alegre, A. (2013). Autoeficiencia y procrastinación académica en estudiantes universitarios de Lima Metropolitana. Propósitos y Representaciones, 1(2), 57-82. https://doi.org/10.20511/pyr2013.v1n2.29
Álvarez Blas, Ó. R. (2010). Procrastinación general y académica en una muestra de estudiantes de secundaria de Lima metropolitana. Persona, (13), 159-177.
Balkis, M., & Duru, E. (2016). Procrastination, self-regulation failure, academic life satisfaction, and affective well-being: Underregulation or mis-regulation form. European Journal of Psychology of Education, 31(3), 439-459. https://doi.org/10.1007/s10212-015-0266-5
Balkis, M., & Duru, E. (2017). Gender differences in the relationship between academic procrastination, satisfaction with academic life and academic performance. Electronic Journal of Research in Educational Psychology, 15(1), 105-125. https://doi.org/10.14204/ejrep.41.16042
Brownlow, S., & Reasinger, R. D. (2000). Putting off until tomorrow what is better done today: academic procrastination as a function of motivation toward college work. Journal of Social Behavior and Personality, 15(5), 15-34.
Busko, D. A. (1998). Causes and consequences of perfectionism and procrastination: A structural equation model. (Tesis de maestría, The University of Guelph, Canadá). https://citeseerx.ist.psu.edu/viewdoc/download?-doi=10.1.1.456.4450&rep=rep1&type=pdf
Carbajal, M. (2019). Adaptación y análisis factorial de la Escala de Procrastinación de Tuckman (AtPs) para el trabajo con alumnos de educación media (Tesis de maestría, Universidad Católica del Uruguay, Montevideo, Uruguay).
Carranza, R., & Ramírez, A. (2013). Procrastinación y características demográficas asociados en estudiantes universitarios. Apuntes Universitarios, 3(2), 95-108. https://doi.org/10.17162/au.v0i2.284
Carretero-Dios, H., & Pérez, C. (2005). Normas de desarrollo y revisión de estudios instrumentales. International Journal of clinical and Health Psychology, 5(3), 521-551.
Chan, L. (2011). Procrastinación académica como predictor en el rendimiento académico en jóvenes de educación superior. Temática Psicológica, 7(1), 53-62.
Clariana, M., Gotzens, C., Badia M., & Cladellas, R. (2012). Procrastination and cheating from secondary school to university. Electronic Journal of Research in Educational Psychology, 10(2), 737-754. https://doi.org/10.25115/ejrep.v10i27.1525
Clariana, M., & Martín, M. (2008). Escala de Demora Académica (EDA). Revista de Psicología General y Aplicada, 61(1), 37-51.
Corno, L. (1993). The best-laid plans. Modern conceptions of volitional and educational research. Educational Researcher, 22(2), 14-22. https://doi.org/10.2307/1176169
Corno, L. (2001). Volitional aspects of self-regulated learning. En B. J. Zimmerman & D. H Schunk (Eds), Self-regulated learning and academic achievement: theoretical perspectives (pp. 191- 225). Lawrence Erlbaum Associates.
Crozier, W. R. (2001). Diferencias individuales en el aprendizaje. Personalidad y rendimiento escolar. Narcea.
Cuevasanta, D. (2018). Exposición a la Violencia Comunitaria y su relación con la motivación, la autorregulación y el rendimiento académico en adolescentes de primer año de liceo (Tesis de maestría, Universidad Católica del Uruguay, Uruguay).
Curione, K., Gründler, V., Piriz, L., & Huertas, J. A. (2017). MSLQ-UY, validación con estudiantes universitarios uruguayos. Evaluar, 17(2), 1-17. https://doi.org/10.35670/1667-4545.v17.n2.18716
Domínguez-Lara, S. (2017). Prevalencia de procrastinación académica en estudiantes universitarios de Lima metropolitana y su relación con variables demográficas. Revista de Psicología, 7(1), 81-90.
Domínguez-Lara, S. (2018) Procrastinación en universitarios: evidencia preliminar del efecto de contextualización en asignaturas específicas. Avaliação Psicológica, 17(1), 12-19. https://doi.org/10.15689/ap.2017.1701.02.13028
Domínguez-Lara, S., Villegas, G., & Centeno, S. (2014). Procrastinación académica: validación de una escala en una muestra de estudiantes de una universidad privada. Liberabit, 20(2), 293-304.
Duckworth, A. L., & Seligman, M. E. P. (2006). Self-discipline gives girls the edge: Gender in self-discipline, grades, and achievement test scores. Journal of Educational Psychology, 98(1), 198-208. https://doi.org/10.1037/0022-0663.98.1.198
Ferrari, J. R. (2001). Procrastination as self-regulation failure of performance: effects of cognitive load, self-awareness and time limits on “working under pressure”. European Journal of Personality, 15, 391-406. https://doi.org/10.1002/per.413
Ferrari, J. R. (2010). Still procrastinating? The no regrets guide to getting it done. J. Wiley & Sons.
Ferrari, J., Barmes, K., & Steel, P. (2009). Life regrets by avoidant and arousal procrastinators. Why put off today what you will regret tomorrow? Journal of Individual Differences, 30(3), 163-168. https://doi.org/10.1027/1614-0001.30.3.163
Ferrari, J., O’Callaghan, J., & Newbegin, I. (2005). Prevalence of procrastination in the United States, United Kingdom, and Australia: Arousal and avoidance. North American Journal of Psychology, 7(1), 1-6.
Flett, G. L., Stainton, M., Hewitt, P., Sherry, S., & Lay, C. (2012). Procrastination automatic thoughts as a personality construct: An analysis of the procrastinatory cognitions inventory. Journal of Rational-Emotive & Cognitive-Behavior Therapy, 30, 223-236. https://doi.org/10.1007/s10942-012-0150-z
Furlan, L., Heredia, D. E., Piemontesi, S. E, & Tuckman, B. W. (2012). Análisis factorial de la adaptación argentina de la Escala de Procrastinación de Tuckman (ATPS). Perspectivas en Psicología, 9(3), 142-149.
Furlan, L., Ferrero, M., & Gallart, G. (2014). Ansiedad ante los exámenes, procrastinación y síntomas mentales en estudiantes universitarios. Revista Argentina de Ciencias del Comportamiento, 6(3), 31-39.
Garzón, A., & Gil, J. (2016). Propiedades psicométricas de la versión en español de la prueba Procrastination Assessment Scale-Students (PASS). Revista Iberoamericana de Diagnóstico y Evaluación Psicológica. 43(1), 149-163. https://doi.org/10.21865/RIDEP43_149
Garzón, A., & Gil, J. (2017). El papel de la procrastinación académica como factor de la deserción universitaria. Revista Complutense de Educación, 28(1), 307- 324.
González, M., & Sánchez, A. (2013). ¿Puede amortiguar el engagement los efectos nocivos de la procrastinación académica? Acción Psicológica, 10(1), 117-134. https://doi.org/10.5944/ap.10.1.7039
Grund, A., & Fries, S. (2018). Understanding procrastination: A motivational approach. Personality and Individual Differences, 121, 120-130. https://doi.org/10.1016/j.paid.2017.09.035
Hu, L. T., & Bentler, P. M. (1999). Cutoff criteria for fit indexes in covariance structure analysis: Conventional criteria versus new alternatives. Structural Equation Modeling, 6(1), 1-55. https://doi.org/10.1080/10705519909540118
Janssen, J. (2015). Academic procrastination: Prevalence among high school and undergraduate student and relationship to academic achievement. (Tesis de doctorado, Georgia State University, Atlanta, Estados Unidos de Norte América). https://scholarworks.gsu.edu/cgi/viewcontent.cgi?article=1115&context=epse_diss
Kim, K. R., & Seo, E. H. (2015). The relationship between procrastination and academic performance: a meta-analysis. Personality and Individual Differences, 82, 26-33. https://doi.org/10.1016/j.paid.2015.02.038
Klassen, R. M., & Kuzucu, E. (2009). Academic procrastination and motivation of adolescents in Turkey. Educational Psychology, 29(1), 69-81. https://doi.org/10.1080/01443410802478622
Klingsieck, K. B. (2013). Procrastination: When good things don’t come to those who wait. European Psychologist, 18, 24-34. https://doi.org/10.1027/1016-9040/a000138
Kljajic, K., & Gaudreau, P. (2018). Does it matter if students procrastinate more in some courses than in others? A multilevel perspective on procrastination and academic achievement. Learning and Instruction, 58, 193-200. https://doi.org/10.1016/j.learninstruc.2018.06.005
Lay, C. H. (1986). At last, my research article on procrastination. Journal of Research in Personality, 20, 474-495. https://doi.org/10.1016/0092-6566(86)90127-3
McCown, W., & Johnson, J. (1989). Validation of an adult inventory of procrastination. Unpublished manuscript, Department of Mental Health/Psychology, Hahnemann University, Philadelphia, PA.
Malkoç, A., & Kesen Mutlu, A. (2018). Academic self-efficacy and academic procrastination: Exploring the mediating role of academic motivation in Turkish university students. Universal Journal of Educational Research, 6(10), 2087-2093. https://doi.org/10.13189/ujer.2018.061005
Martínez-Arias, M., Hernández-Lloreda, M., & Hernández-Lloreda, M. (2006) Psicometría. Alianza.
Moreta-Herrera, R., & Durán-Rodríguez, T. (2018). Propiedades psicométricas de la Escala de Procrastinación Académica (EPA) en estudiantes de psicología de Ambato, Ecuador. Salud & Sociedad, 9(3), 236-247. https://doi.org/10.22199/S07187475.2018.0003.00003
Muñiz, J., Elosua, P., & Hambleton, R. (2013). International Test Commission Guidelines for test translation. Psicothema, 25(2), 151-157. https://doi.org/10.7334/psicothema2013.24
Muñiz, J., & Fonseca-Pedrero, E. (2019). Ten steps for test development. Psicothema, 31(1), 7-16. https://doi.org/10.7334/psicothema2018.291
Natividad, L. A. (2014). Análisis de la procrastinación en estudiantes universitarios. (Tesis doctoral, Universidad de Valencia, Valencia, España). https://core.ac.uk/download/pdf/71027781.pdf
Palo, V. D. E., Monacis, L., & Sinatra, M. (2019). How self-regulated learning strategies interfere between metacognitions and decisional procrastination. Psychology, Society and Education, 11(1), 39-52. https://doi.org/10.25115/psye.v10i1.1932
Panadero, E., & Alonso-Tapia, J. (2014). ¿Cómo autorregulan nuestros alumnos? Revisión del modelo cíclico de Zimmerman sobre autorregulación del aprendizaje. Anales de Psicología, 30(2), 450-462. https://doi.org/10.6018/analesps.30.2.167221
Pardo, D, Perilla, L, & Salinas, C. (2014). Relación entre procrastinación académica y ansiedad-rasgo en estudiantes de psicología. Cuadernos Hispanoamericanos de Psicología, 14 (1), 31-44. https://doi.org/10.18270/chps.v14i1.1343
Rosario, P., Costa, M., Nuñez, J. C., González-Pienda, J., Solano, P., & Valle, A. (2009). Academic procrastination: Associations with personal, school, and family variables. The Spanish Journal of Psychology, 12(1), 118-127. https://doi.org/10.1017/S1138741600001530
Rozental, A., & Carlbring, P. (2014). Understanding and treating procrastination: A review of a common self-regulatory failure. Psychology, 5, 1488-1502. https://doi.org/10.4236/psych.2014.513160
Ruiz, M. A., Pardo, A., & Martín, S. (2010). Modelos de ecuaciones estructurales. Papeles del Psicólogo, 31(1), 34-45.
Sánchez, A. (2010). Procrastinación académica: un problema en la vida universitaria. Studiositas, 5(2), 87-94.
Şirin, E. F. (2011). Academic procrastination among undergraduates attending school of physical education and sports: Role of general procrastination, academic motivation and academic self-efficacy. Educational Research & Review, 6(5), 447-465.
Sirois, F., & Pychyl, T. (2013) Procrastination and the priority of short-term mood regulation: Consequences for future self. Social and Personality Psychology Compass, 7(2), 115-127. https://doi.org/10.1111/spc3.12011
Solomon, L., & Rothblum, E. (1984). Academic procrastination: Frequency and cognitive-behavioral correlates. Journal of Counselling Psychology, 31(4), 503-509. https://doi.org/10.1037//0022-0167.31.4.503
Steel, P. (2007). The nature of procrastination: a meta-analytic and theoretical review of quintessential self-regulatory failure. Psychological Bulletin. 133(1), 65-94. https://doi.org/10.1037/0033-2909.133.1.65
Steel, P. (2010). Arousal, avoidant and decisional procrastinators: Do they exist? Personality and Individual Differences, 48, 926-934. https://doi.org/10.1016/j.paid.2010.02.025
Steel, P. (2011). Procrastinación. Editorial Grijalbo.
Steel, P., & Ferrari, J. R. (2013). Sex, education and procrastination: An epidemiological study of procrastinators’ characteristics from a global sample. European Journal of Personality, 27(1), 51-58. https://doi.org/10.1002/per.1851
Steel, P., & Klingsieck, K. B. (2016). Academic procrastination: Psychological antecedents revisited. Australian Psychologist, 51(1), 36-46. https://doi.org/10.1111/ap.12173
Tuckman, B. W. (1990). Measuring procrastination attitudinally and behaviorally. Ponencia presentada en la Annual Meeting of American Educational Research Association. Boston, abril 16-20. https://files.eric.ed.gov/fulltext/ED319792.pdf
Tuckman, B.W. (1991). The development and concurrent validity of the procrastination scale. Educational and Psychological Measurement, 51(2), 473-480. https://doi.org/10.1177/0013164491512022
Tuckman, B. W. (2005). Relations of academic procrastination, rationalization, and performance in a web course with deadlines. Psychological Reports, 96, 1015-1021. https://doi.org/10.2466/pr0.96.3c.1015-1021
Van Eerde, W. (2003) A meta-analytically derived nomological network of procrastination. Personality and Individual Differences, 35, 1401-1418. https://doi.org/10.1016/S0191-8869(02)00358-6
Van Eerde, W., & B. Klingsieck, K. (2018). Over-coming procrastination? A meta-analysis of intervention studies. Educational Research Review, 25, 73-85. https://doi.org/10.1016/j.edurev.2018.09.002
Wäschle, K., Allgaier, A., Lachner, A., Fink, S., & Nückles, M. (2014). Procrastination and self-efficacy: Tracing vicious and virtuous circles in self-regulated learning. Learning and Instruction, 29, 103-114. https://doi.org/10.1016/j.learninstruc.2013.09.005
Ziegler, N., & Opdenakker, M. C. (2018). The development of academic procrastination in first-year secondary education students: The link with metacognitive self-regulation, self-efficacy, and effort regulation. Learning and Individual Differences, 64, 71-82. https://doi.org/10.1016/j.indif.2018.04.009
Zimmerman, B. J. (2008) Investigating self-regulation and motivation: historical background, methodological developments, and future prospects. American Educational Research Journal, 45(1), 166-183. https://doi.org/10.3102%2F0002831207312909
Zimmerman, B. J., & Schunk, D. H. (2011). Self-regulated learning and performance: an introduction and an overview. En B. Zimmerman & D.H. Schunk (Eds.), Handbook of Self-Regulation of Learning and Performance(pp. 1-12). Routledge.
Notas de autor
Dirigir correspondencia a Daniel Trías Seferian, Universidad Católica del Uruguay. Departamento de Psicología del Desarrollo y Educacional. Correo electrónico: gtrias@ucu.edu.uy
Información adicional
Para citar este artículo: Trías Seferian, D., & Carbajal Arregui, M. (2020). Adaptación de una escala de procrastinación académica para adolescentes de educación secundaria. Avances en Psicología Latinoamericana, 38(3), 1-16. https://doi.org/10.12804/revistas.urosario.edu.co/apl/a.7906