Artículos

Recepción: Marzo 03, 2021
Aprobación: Julio 20, 2021
DOI: https://doi.org/10.12804/revistas.urosario.edu.co/apl/a.8931
Resumo: Avaliações nacionais e internacionais demonstram que estudantes brasileiros do ensino fundamental têm apresentado dificuldades no aprendizado do comportamento de resolver problemas aritméticos. O objetivo deste estudo foi investigar, a partir de um delineamento de linha de base múltipla (LBM) entre participantes, o efeito da formação de classes de equivalência entre diferentes formas de apresentação de problemas envolvendo diferentes posições da incógnita e estruturas semânticas dos problemas escritos sobre o desempenho na resolução de problemas de adição e subtração. Participaram seis estudantes entre o quarto e o quinto ano do ensino fundamental de uma escola pública, sendo que cinco finalizaram o estudo. Todos apresentaram comportamentos de leitura e escrita suficientes para a participação na pesquisa, dificuldades na resolução de problemas aditivos e nenhum indício de ansiedade matemática ou problemas significativos em comportamentos de estudo nesta disciplina. P1, P2 e P3 foram expostos ao treino de discriminações condicionais a problemas de adição, enquanto P4 e P5 a problemas de subtração. Os testes de desempenho, que compuseram pré-testes e pós-testes, envolviam problemas de adição e subtração. Após a formação das classes de equivalência, verificou-se que P1, P2 e P3 apresentaram ganhos médios de desempenho de 22,34% (DP = 14.62), e P4 e P5 de 19,84% (DP = 11.22). Esses resultados sugerem a eficacia do procedimento. Recomenda-se que estudos futuros usem o delineamento de LBM com sondas para reduzir repetições dos testes, elaborem estratégias para ampliar engajamento dos participantes e investiguem como adaptar este procedimento para contextos aplicados.
Palavras-chave: análise do comportamento, equivalência de estímulos, ensino da matemática, aritmética.
Resumen: Las evaluaciones nacionales e internacionales demuestran que estudiantes brasileños de la escuela primaria tienen dificultades para aprender el comportamiento de resolución de problemas aritméticos. El objetivo de este estudio fue investigar, a partir de un diseño de línea base múltiple (LBM) entre los participantes, el efecto de la formación de clases de equivalencia entre diferentes formas de presentación de problemas involucrando diferentes posiciones del elemento desconocido y estructuras semánticas de problemas escritos sobre el desempeño en la resolución de problemas de suma y resta. Participaron seis estudiantes entre cuarto y quinto año de primaria de una escuela pública, y cinco completaron el estudio. Todos mostraron habilidades suficientes de lectura y escritura para participar de la investigación, dificultades para resolver problemas aditivos y ninguna evidencia de ansiedad matemática o problemas significativos de estudio en esta disciplina. P1, P2 y P3 fueron expuestos al entrenamiento de discriminación condicional a problemas de suma, mientras que P4 y P5, a problemas de resta. Las pruebas de rendimiento, que incluían pretests y postests, consistieron en problemas de suma y resta. Después de la formación de clases de equivalencia, P1, P2 y P3 presentaron ganancias promedio de desempeño de 22.34% (DE = 14.62), y P4 y P5 de 19.84% (DE = 11.22). Estos resultados sugieren la efectividad del procedimiento. Se recomienda que estudios futuros utilicen el diseño de LBM con sondeo para reducir las repeticiones de pruebas, diseñar estrategias para aumentar el interés de los participantes e investigar cómo adaptar este procedimiento a los contextos aplicados.
Palabras clave: análisis de la conducta, equivalencia de estímulo, enseñanza de las matemáticas, aritmética.
Abstract: National and international assessments demonstrate that Brazilian elementary school students have difficulties learning the behavior of solving arithmetic problems. This study aimed to investigate, using a multiple-baseline design (MBL) for participants, the effect of the formation of equivalence classes between different forms of problem presentation involving different positions of the unknown element and different semantic structures of the written problems on the performance in solving addition and subtraction problems. Six students in the fourth or fifth year of a public elementary school participated, and five completed the study. They all showed sufficient reading and writing behavior for participating in the research, difficulties in solving additive problems, and no evidence of math anxiety or significant problems in study behaviors in this discipline. P1, P2, and P3 were exposed to the conditional discrimination training to addition problems, while P4 and P5 to subtraction problems. The performance tests, which were composed of pre-tests and post-tests, involved problems of addition and subtraction. After the formation of equivalence classes, we found that P1, P2, and P3 presented average performance gains of 22.34% (SD = 14.62), and P4 and P5 of 19.84% (SD = 11.22). These results suggest the effectiveness of the procedure. We recommend that future studies use the MBL design with probes to reduce test repetitions, devise strategies to increase participant engagement, and investigate how to adapt this procedure to applied contexts.
Keywords: behavior analysis, stimulus equivalence, mathematics teaching, arithmetic.
Por qual motivo estudantes apresentam dificuldades em matemática? Os dados são consistentes sobre a existência de déficits no aprendizado dessa disciplina. Em relação ao ensino fundamental brasileiro, resultados do pisa (Programme for International Student Assessment) de 2018 mostraram que o Brasil ficou abaixo da média mundial (492), obtendo apenas 384 pontos em matemática (Brasil, 2019a). Nas provas do saeb (Sistema de Avaliação da Educação Básica) de 2017, constatou-se que o aprendizado em matemática está no limite inferior do nível básico, Nível 4 de 10 (Brasil, 2019b). Além disso, estudos revelam que apesar da importância da matemática para a vida das pessoas, muitos estudantes identificam essa disciplina como difícil e geradora de ansiedade (Mendes, 2016). No senso comum, é usual ouvir que a dificuldade com a matemática reside na falta de “base” ou que o estudante apresenta desempenho ruim porque não sabe a “base”. Mas, a que esse termo se refere?
Um exame analítico-comportamental pode auxiliar a esclarecer o que significa ter “base” em matemática. Esse termo se refere a comportamentos necessários ou que são componentes do comportamento que precisa ser aprendido (Neef et al., 2003; Cortegoso & Coser, 2013). Ainda hoje, uma das principais lacunas na área educacional consiste no baixo grau de clareza sobre o que é necessário aprender para viabilizar a aquisição de cada comportamento que os educadores definem como objetivo de ensino (Kubo & Botomé, 2001), incluindo o caso dos comportamentos matemáticos. Por essa razão, pesquisadores têm se dedicado a investigar quais são os comportamentos que constituem a base para a aquisição de comportamentos como conceituar números, somar, subtrair, resolver problemas com funções de primeiro grau ou frações, manejar dinheiro entre outros (e.g., Haydu et al., 2019).
Um exemplo a esse respeito pode ser útil para esclarecer a noção de que alguns comportamentos devem ser aprendidos para que outros possam ser desenvolvidos. Se uma criança, quando solicitada a contar quantos elementos um conjunto possui, comete um erro, tem-se um indício, descartadas outras hipóteses (e.g., transtornos de aprendizagem), de que um ou mais comportamentos necessários para “contar”, não foram adquiridos. Mas, quais seriam esses comportamentos? Poderia ser avaliado se a criança consegue recitar adequadamente os nomes dos números na ordem crescente, se consegue, ao contar, relacionar cada número recitado com apenas um elemento do conjunto a ser contado, se sabe identificar que o último número recitado corresponde ao total de elementos do conjunto e assim por diante.
Cortegoso e Coser (2013) denominam de decomposição a esse processo de descrição dos comportamentos mais básicos e constituintes ou necessários para outro comportamento mais abrangente. Parte-se de um verbo mais geral, que designa o comportamento-objetivo a ser ensinado, que neste caso seria contar, e por meio de perguntas como “o que é preciso ser capaz de fazer para...?” são identificadas classes de comportamentos mais específicas, tais como recitar nomes dos números. Diante desses elementos teóricos, surge a questão sobre quais são os comportamentos matemáticos em relação aos quais estudantes brasileiros têm apresentado maior dificuldade e quais são os comportamentos mais específicos que os constituem?
Os dados apresentados do pisa e do saeb indicam que os alunos brasileiros não conseguem resolver problemas aritméticos elementares. Historicamente, o ensino desse repertório tem representado um desafio para os educadores matemáticos (Haydu et al., 2010). Fica evidente, portanto, a necessidade de decomposição do comportamento de resolver problemas aritméticos como condição para que a avaliação e o ensino sejam mais eficazes.
Considerando essa necessidade, o estudo de Resnick et al. (1973) é considerado clássico justamente por ter sido um dos primeiros a examinar sistematicamente os componentes comportamentais de classes mais gerais de comportamento como “somar” e “subtrair”, que são classes constituintes importantes do comportamento de resolver problemas aritméticos. Os autores identificaram, por exemplo, que o comportamento de somar mais básico, envolve unir dois conjuntos e contar o total de elementos, e que o comportamento de subtrair implica em retirar um conjunto menor de um conjunto maior e contar os elementos remanescentes do conjunto maior. Para exibir esses comportamentos era preciso que o aprendiz tivesse adquirido um repertório prévio, tais como comportamento conceitual numérico, contar, comparar conjuntos, ordenar valores, etc. A análise dos pesquisadores foi ainda mais específica, pois envolveu comportamentos básicos como “diante de três objetos identificar maior e menor”, “ordenar objetos de acordo com o tamanho”, “recitar numerais em ordem crescente”, “diante de um numeral, selecionar a representação correspondente do numeral”, entre outros.
Existem contribuições na literatura analíticocomportamental posteriores ao trabalho de Resnick et al. (1973) que ajudam a identificar os componentes da soma e da subtração. O estudo conduzido por Donini (2005), por exemplo, representa um avanço no exame dos comportamentos de somar e de subtrair, pois a autora considerou diversas fontes de informação para construir um instrumento que permitisse avaliar esse repertório. Ela analisou o Referencial Curricular Nacional para a Educação Infantil (1998), os Parâmetros Curriculares Nacionais para o Ensino Fundamental (2000), livros didáticos e programas de ensino desenvolvidos por analistas do comportamento. Ao final do seu trabalho, a autora identificou cerca de 124 classes de comportamento que deveriam ser garantidas para que o aprendiz fosse capaz de somar e subtrair. Essas classes envolvem comportamentos descritos por Resnick et al. (1973), e outros descobertos como “identificar, em uma sequência de numerais, o numeral correspondente a um número ditado”, “localizar, em uma sequência de numerais, os numerais que estão ausentes em uma outra sequência de numerais” e “recitar os números de um a nove em sequência decrescente, sem quaisquer dicas fornecidas por outra pessoa”.
Outro estudo importante para o ensino de aritmética, incluindo desta vez pessoas com deficiência, foi conduzido por Araújo e Ferreira (2008). Eles trouxeram a inovação de tentar descrever o comportamento de subtrair como uma rede de relações equivalentes. Araújo e Ferreira (2008) testaram o efeito do ensino de um conjunto de relações entre estímulos sobre o desempenho de três pessoas com transtorno do desenvolvimento intelectual. Foram ensinadas as relações entre “numeral falado” (A, e.g., “dois”) e “conjunto” (B, e.g., “**”), “numeral falado” (A) e “algarismo impresso” (C, e.g., “2”) e, então, foi testada a formação da classe abc, bem como o comportamento de nomear os estímulos das classes B e C. Na sequência foram ensinadas e testadas relações envolvendo os seguintes estímulos: “operador falado” (e.g., “menos”), “operador impresso” (e.g., “-”), “palavra impressa” (e.g., “menos”), “sentença falada” (e.g., “dois menos um é igual a”), “sentença com conjuntos” (“** - * =”), “sentença com algarismos” (e.g., “2–1=”). Os resultados encontrados mostraram melhora clara de um dos participantes e ganhos de repertório para os outros dois, o que revela a possibilidade de se ensinar matemática para pessoas com transtorno do desenvolvimento intelectual. Basta, para isso, clareza sobre o que deve ser ensinado, conhecimento do repertório do aprendiz e arranjo adequado de contingências.
Apesar do avanço promovido pelos três estudos descritos, ainda não se pode afirmar que todos os componentes do repertório de somar e subtrair estejam claros. Um dos motivos é que os estudos empíricos analítico-comportamentais, que adotam tais descrições como objetivos de ensino, são escassos (Henklain et al., 2017). Esses estudos são necessários porque é o sucesso do ensino que permite inferir que a descrição comportamental seja adequada. Além disso, estudos conduzidos desde a década de 80 (e.g., Hiebert, 1982; Carpenter et al., 1988) revelam outros comportamentos que não foram identificados nas pesquisas supracitadas, indicando, portanto, a necessidade de complementação do que foi descrito. Portanto, ainda não existe uma descrição consensual dos comportamentos de somar e subtrair suficiente para garantir um ensino eficaz a pessoas com diferentes repertórios e necessidades, o que impacta negativamente sobre o aprendizado do comportamento de resolver problemas aritméticos. Por esse motivo é preciso continuar investigando.
Os comportamentos descobertos a partir da década de 80 estão relacionados com as habilidades de discriminar como resolver problemas em diferentes formatos de apresentação, discriminar como resolvê-los quando a posição da incógnita varia e, ainda, discriminar como resolver problemas quando ele é apresentado no formato de sentença em diferentes estruturas semânticas (e.g., transformação e comparação). Esse repertório começou a ser investigado por analistas do comportamento a partir do paradigma de equivalência de estímulos. Os resultados encontrados indicam que são comportamentos que, quando aprendidos, melhoram o desempenho da pessoa na resolução de problemas. Os estudos a seguir mostram evidências disso.
Haydu et al. (2006) investigaram o efeito do ensino de classes de equivalência com três formas de apresentação de problemas de adição sobre o comportamento de resolver problemas aritméticos. Participaram sete alunos da primeira série do Ensino Fundamental, que realizaram um pré-teste e, após a intervenção, um pós-teste com problemas de adição impressos nas formas de balança, operação e sentença linguística. A maioria dos participantes apresentou aumento, superior a 20 %, nas porcentagens médias de acerto entre as situações de pré e pós-teste.
A partir do sucesso obtido por Haydu et al. (2006), Henklain e Carmo (2013a) decidiram investigar se a formação de classes de equivalência entre quatro tipos de apresentação de problemas de adição aumentava a porcentagem de acertos em problemas (de adição e subtração) com diferentes formas de apresentação, posições da incógnita e estruturas semânticas de problemas escritos. Participaram oito estudantes do 2° ao 5° ano do Ensino Fundamental. Foram aplicados um pré-teste e um pós-teste. A porcentagem média geral dos participantes no pré-teste foi de 54% de acertos. Após a intervenção, a porcentagem média no pós-teste foi de 75%, indicando aumento de 21%. Os dados obtidos corroboraram os de Haydu et al. (2006), inclusive, em termos de ganhos com o procedimiento.
Henklain e Carmo (2013b) decidiram, então, avaliar se a formação de dois conjuntos de classes equivalentes de adição e subtração promoveria aumento de acertos na resolução de problemas aritméticos de adição e de subtração. Participaram oito estudantes do 2º ao 5º ano do Ensino Fundamental. No pré-teste, a média do resultado dos participantes foi de 41.5 %. Os resultados mostraram que após a formação das classes, todos os participantes apresentaram crescimento médio de 25 % no pós-teste.
Foi, então, levantada a questão sobre se esse procedimento poderia também melhorar o desempenho de adultos na resolução de problemas aritméticos. Haydu et al. (2015) coletaram dados com quatro mulheres, em fase de alfabetização, com idades entre 37 e 71 anos. Após os treinos, todas as participantes apresentaram melhora nos resultados do pós-teste (média de 98.8%) em comparação ao pré-teste (média por volta de 50%).
De acordo com Haydu et al. (2006), o que é endossado por Henklain e Carmo (2013a, 2013b), a formação de classes de equivalência entre diferentes formas de apresentação de problemas favorece a melhora no desempenho por, pelo menos, dois motivos: (a) a pessoa aprende a usar estratégias de solução de problemas que aplica para as formas com as quais possui facilidade em relação àquelas com as quais possui dificuldade; (b) a pessoa aprende a ficar sob controle dos aspectos de um problema necessários para resolvê-lo, independente do formato, isto é, os valores envolvidos, como estão relacionados e a operação que deve ser executada.
Com base nos resultados promissores descritos, nota-se que a formação de classes de equivalência entre diferentes formas de apresentação de problemas, posições de incógnita e estruturas semânticas de problemas escritos compõe o repertório a ser aprendido sobre resolução de problemas e, por ser de fácil ensino, tem potencial para que seja aperfeiçoado e utilizado por professores de matemática. Antes que isso ocorra, porém, é preciso ampliar a diversidade das amostras que foram expostas a esses procedimentos e a qualidade do delineamento empregado. Nos estudos anteriores, os participantes foram, predominantemente, crianças das Regiões Sul e Sudeste realizando tarefas em um delineamento A-B no qual o grau de confiança de que a mudança comportamental se deu em função do procedimento é menor. Também não foram consideradas as práticas de estudo dos participantes, a presença de ansiedade à matemática e a aplicação de testes padronizados relacionados a habilidades de leitura e escrita ou matemática como formas de controlar variáveis intervenientes em relação ao desempenho dos participantes.
Considerando as lacunas existentes na literatura, esta pesquisa foi conduzida com amostras de crianças da Região Norte do Brasil. O objetivo geral foi investigar o efeito da formação de classes de equivalência entre diferentes formas de apresentação de problemas, envolvendo diferentes posições da incógnita e estruturas semânticas dos problemas escritos sobre o desempenho na resolução de problemas de adição e de subtração. O delineamento adotado foi o de linha de base múltipla. Além disso, foram aplicados instrumentos para avaliar hábitos de estudo, nível de ansiedade à matemática e o repertório de leitura e escrita.
Método
Visão geral
Foi adotado o delineamento de linha de base múltipla (lbm) entre participantes, composto pelas seguintes fases: (a) medida da vd na linha de base (pré-teste) para todos os participantes; (b) inserção da vi para um participante, X, e aplicação do pré-teste para os demais, Y e Z; (c) medida da vd (pós-teste) para X e aplicação do pré-teste para Y e Z; (d) inserção da vi para Y, aplicação do pós-teste para X e do pré-teste para Z; (e) aplicação do pós- -teste para X e Y e aplicação do pré-teste para Z; (f) inserção da vi para Z e aplicação do pós-teste para X e Y; (g) aplicação do pós-teste para todos. A vd foi a resposta-solução aos problemas aritméticos. A vi foi o ensino de uma dentre duas classes de equivalência possíveis (adição ou subtração).
Participantes
Participaram do estudo seis alunos que cursavam o 4º e 5º ano do Ensino Fundamental de uma escola pública, com idades entre 10 e 13 anos, que obtiveram mais de 70% de acerto no Teste de Desempenho Escolar (tde) na prova de leitura e, pelo menos, mais de 60% na prova de escrita, que já haviam aprendido na escola a somar e subtrair e com porcentagem de acertos na primeira aplicação do pré-teste inferior ou igual a 65%. Os participantes P1, P2 e P3 foram designados para o procedimento de adição e P4, P5 e P6 para o de subtração. A tabela 1 exibe os dados dos participantes e resultados de medidas que foram realizadas para avaliar seu repertório de entrada, práticas de estudo de matemática e presença ou não de ansiedade à matemática.
Verifica-se na tabela 1 que, no subteste de aritmética do tde, P2, P3, P4 e P5 obtiveram classificação inferior. Apenas P1 obteve desempenho médio. Em relação à escrita e leitura, embora P1 e P3 tenham ficado na classificação inferior, segundo grupo normativo do tde, todos atingiram os critérios definidos para este estudo. Em relação à Escala de Ansiedade à Matemática (eam), os participantes demonstraram ter baixa ou moderada ansiedade. Portanto, desempenhos ruins em matemática não devem estar associados com uma função aversiva dos estímulos matemáticos. Quanto aos hábitos de estudo, a média dos resultados foi de 1,6. Logo, os hábitos de estudo, a exceção de P2, não parecem ser uma variável, nessa amostra, que justifique eventuais dificuldades em matemática.
Local e Materiais
As coletas foram realizadas na brinquedoteca ou na sala de música da escola na qual os participantes estudavam. As sessões foram desenvolvidas no computador, em um programa criado no Excel 2010 com o Visual Basic for Applications (vba), que permitia realizar o procedimento de mts (Matching to Sample ou, em português, Escolha de Acordo com o Modelo). A criança se sentava diante de uma mesa que continha um notebook de 14 polegadas. Durante a aplicação dos testes, havia sobre a mesa apenas o caderno de questões, lápis, borracha e o teste a ser respondido.

Instrumentos
a. Teste de Desempenho Escolar I (tde): instrumento de aplicação individual que avalia três áreas específicas: leitura (reconhecimento de palavras isoladas do contexto) com 70 itens, escrita (escrita do nome próprio e de palavras contextualizadas, apresentadas sob a forma de ditado) com 35 itens e aritmética (solução oral de problemas e cálculo de operações aritméticas por escrito) com 38 itens. Foi desenvolvido para 1ª a 6ª séries do Ensino Fundamental. O Alpha da escala total foi de 0.95 (Stein, 1994).
b. Escala de Ansiedade à Matemática (eam): avalia o nível de ansiedade à matemática por meio de escala Likert, que varia de “1 = Nenhuma ansiedade” a “5 = Extrema ansiedade”. A escala contém 25 itens. O Alpha da eam foi 0.90 (Mendes, 2016) e nesta amostra 0.92.
c. Inventário de Hábitos de Estudo de Matemática (ihem, medida em construção disponibilizada para pesquisa pelo autor, Prof. Dr. João dos Santos Carmo): avalia práticas de estudos. Possui 34 itens, no qual os escores variam de zero a três, e um questionário complementar com sete itens. O Alpha nesta amostra foi de 0.63.
d. Teste de Matemática (usado como pré e pós-teste): avalia desempenho na solução de problemas de adição ou subtração. Possui 24 itens, divididos nos três tipos de apresentações de problemas: 12 itens escritos (6 itens na estrutura semântica de transformação e 6 itens na estrutura de comparação); 6 itens na forma de algarismos e 6 itens na forma de conjunto (representados com círculos e triângulos). Para cada forma de apresentação, a incógnita poderia estar em a, b ou c (e.g., ?+b=c, a+?=c e a+b=?). Foram utilizadas nas diferentes formas as seguintes operações: ?+5=9; 2+?=8; 2+4=?; ?+13=28; 19+?=30; 13+10=?; ?+3=8; 2+?=9; 2+8=?; ?+16=27; 20+?=30; 11+10=?; ?+3=10; 3+?=8; 4+3=?; ?+14=26; 11+?=24; 10+15=?; ?+6=10; 6+?=9; 2+5=?; ?+12=22; 11+?=25; 12+17=?; ?-4=5; 8-?=5; 6-2=?; ?-11=14; 27-?=15; 29- 18=?; ?-5=2; 5-?=3; 10-6=?; ?-12=16; 27-?=13; 25-15=?; ?-3=6; 7-?=5; 8-5=?; ?-11=15; 25- ?=12; 29-16=?; ?-2=7; 8-?=6; 6-4=?; ?-10=20; 29-?=17; 27-16=?.
Estímulos
Os participantes foram expostos a três tipos de apresentação de problemas: (a) problemas na forma de algarismos; (b) problemas escritos, com uma de duas estruturas semânticas, transformação (quando um valor inicial é modificado por acréscimo ou retirada) e comparação (quando é realizada uma comparação entre dois valores); (c) problemas na forma de conjuntos. Os problemas poderiam ter uma de três posições de incógnita: a, b e c. Optou-se por trabalhar apenas com números inteiros com até dois dígitos e com resultado máximo igual a trinta, sendo que os problemas com números de dois dígitos mais difíceis ficaram nos testes. A figura 1 exibe todos os estímulos usados nas sessões para a formação das classes de equivalência de adição e de subtração.

Nota: E = estímulo; Letras ao lado dos números = posição da incógnita; números sublinhados = sonda.

Nota: E = estímulo; Letras ao lado dos números = posição da incógnita; números sublinhados = sonda.
Nas sessões de treino e teste no computador, o estímulo-modelo ficava na parte superior da tela e três estímulos-comparação eram apresentados na parte inferior. Nas tentativas de treino, a consequência para acertos era o som “Muito bem!” e para erro “Não, não é!”. Nas tentativas de teste, não havia feedback sobre acerto ou erro.
Procedimento de coleta de dados
A direção da escola foi consultada e, mediante autorização, as pesquisadoras visitaram as salas de aula para explicar os objetivos do estudo e perguntar quais crianças gostariam de participar. Aquelas que manifestaram interesse levaram o Termo de Consentimento Livre e Esclarecido (tcle) para que os pais ou responsáveis assinassem. As crianças levaram também o Termo de Assentimento Livre e Esclarecido (tale), que precisava ser assinado pela criança. As coletas foram realizadas em horário oposto ao das aulas.
As crianças autorizadas a participar, após assinatura dos termos, foram conduzidas a um auditório onde foi aplicado o pré-teste. Aquelas que obtiveram porcentagem de acertos menor ou igual a 60% foram selecionadas para continuar no estudo. Em seguida, o tde foi aplicado individualmente. Para cada subteste, a pesquisadora orientava como a criança deveria proceder. Não havia limite de tempo e era informado que a criança só precisava responder aquilo que já sabia. Após isso, foram aplicadas em grupo, no mesmo local, as escalas eam e ihem.
Terminada essa etapa, foi iniciado o delineamento de lbm. O planejamento foi que todos os participantes deveriam realizar, pelo menos, três vezes o pré-teste para que se tentasse verificar estabilidade no desempenho. Depois disso, um participante de cada grupo iniciava o treino de discriminações condicionais, adição ou subtração, a depender do seu grupo, enquanto os demais continuavam respondendo ao pré-teste. Quando um participante finalizava a intervenção, ele passava a responder ao pós-teste, enquanto o participante subsequente começava a intervenção e o último permanecia respondendo ao pré-teste. Somente quando o segundo participante finalizava a intervenção, e iniciava o pós-teste, é que o terceiro começava o treino. A figura 2 exibe as relações ensinadas e testadas.

Nota: S = estímulo; tts = número de tentativas.
Nas tentativas de mts foi usado o modelo de mts simultâneo. Antes de iniciar o bloco, a pesquisadora apontava para o estímulo na tela do computador e dizia: “você está vendo este estímulo aqui em cima? Você terá de encontrar entre esses abaixo qual é igual ao de cima. Só um desses abaixo é igual ao de cima”. Caso o participante acertasse menos que 75% das relações ensinadas, ele tinha que repetir o bloco. Eram permitidas até três repetições. Se esse critério não fosse atingido, o participante era excluído do experimento. Conforme pode ser observado na figura 2, os blocos das relações ab e ba eram compostos por 12 estímulos, e cada estímulo podia ser repetido até três vezes, resultando em um total de 36 tentativas. No terceiro erro, o programa seguia em frente. Enquanto os blocos das relações ac, ca, bc e cb, que continham dois tipos de sentença (C), eram compostos cada um por 24 estímulos, e cada estímulo podia ser repetido até três vezes, resultando em um total de 72 tentativas. A consequência das tentativas era um som emitido pelo computador. Por exemplo, quando o participante acertava, ouvia: “Muito bem!”. Quando errava, ouvia: “Não, não é”. Entre as tentativas aparecia uma tela preta com um botão que o participante deveria pressionar para seguir adiante.
Além dos treinos, também eram feitos testes, durante os quais não havia feedback de acerto ou erro. Nos testes, eram avaliadas as relações emergentes. Foram testadas as relações de simetria, transitividade e simetria da transitividade. O critério de aprovação nos testes era de, no mínimo, 70% de acertos, sendo permitidas até três repetições do bloco. Caso esse critério não fosse atingido, a criança era excluída do experimento. Antes dos testes começarem, a pesquisadora dizia ao participante: “agora, você vai escolher qual é igual ao de cima, mas o computador não vai te dizer se está correto ou não. Por isso, você precisa dar o seu melhor”. Foi planejado que as crianças responderiam três blocos de mts por dia. Porém, devido a faltas e a proximidade de encerramento do período letivo, foram realizados mais de três blocos diários com algumas crianças, mediante a sua concordância para que a tarefa não ficasse cansativa.
Procedimento de análise de dados
Foram calculadas as porcentagens de acerto em cada fase de ensino, bem como no pré e no pós-teste. Os instrumentos selecionados foram corrigidos e interpretados conforme as informações do manual ou de artigo, que descrevia o modo adequado de correção e interpretação.
Cuidados éticos
Este estudo foi composto por duas pesquisas aprovadas pelo Comitê de Ética em Pesquisa com Seres Humanos da Universidade Federal de Roraima (Parecer: 3.512.194 e 3.443.211). De todos os participantes foi obtida assinatura do tcle pelos pais e do tale pelas crianças.
Resultados
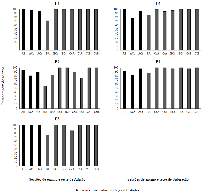
Verificou-se nesta amostra que foi difícil conduzir o experimento até o final, pois as crianças reclamavam da duração das sessões de treino e, principalmente, de precisarem repetir várias vezes os testes de matemática. Próximo do final da pesquisa, P6 possivelmente desistiu por essa razão. Assim, na amostra final, permaneceram P1, P2 e P3 do grupo de adição, e P4 e P5 do grupo de subtração. A figura 3 exibe o desempenho dos participantes nas sessões para formação das classes de equivalência.
Nota-se na figura 3 que P3 apresentou 100 % de acertos nos blocos de treino, P1 obteve desempenho acima de 90% e os outros três participantes tiveram desempenho satisfatório acima de 75%. Nos testes de equivalência, P1 obteve desempenho satisfatório no teste ba e atingiu 100 % de acertos nos demais. P4 e P5 apresentaram desempenho próximo a 100 % em quase todos os testes, e P3 teve um desempenho similar, tendo apresentado menor porcentagem de acertos no teste ba. P2, por fim, apresentou desempenho satisfatório, com 100 % de acertos em quatro testes, mas precisou repetir um bloco, no teste ba, que foi a sessão na qual os participantes de adição pontuaram menos.
A figura 4, por sua vez, exibe a porcentagem de acertos de cada participante ao longo das aplicações do teste com problemas de matemática. Os testes que foram realizados antes da intervenção foram chamados de pré-teste, e aqueles realizados após foram denominados de pós-teste. A figura 4 exibe os resultados dos participantes expostos ao procedimento de adição (P1, P2 e P3, na porção esquerda da figura) e ao procedimento de subtração (P4 e P5, na porção direita da figura).

Nota: c = problema no formato de sentença com estrutura semântica de comparação; t = problema no formato de sentença com estrutura semântica de transformação; * = bloco repetido.
Na figura 4, o traço horizontal de cor vermelha permite comparar se o desempenho no pós-teste foi superior ao que as crianças já haviam alcançado antes da intervenção. Nota-se que P1 apresentou baixo desempenho no primeiro pré-teste e melhora de mais de 30% no segundo pré-teste, tendo reduzido um pouco no último. Após a intervenção, P1 apresentou uma melhora de 20% em relação ao pré-teste de maior pontuação, e uma diferença média entre pré e pós-teste de 29.17%. Nos quatro pós-testes que realizou, o seu desempenho foi estável, variando entre, aproximadamente, 70% a 80% de acertos.
P2 faltou em duas sessões. Seu desempenho nos pré-testes ficou entre 25% a 37.5% de acertos. Embora estivesse com tendência de crescimento, por razões de cansaço das crianças, foi preciso iniciar a intervenção mesmo sem um critério claro de estabilidade. A diferença de desempenho entre o pré-teste de maior pontuação e o primeiro pós-teste foi de 45.83 %. Esse dado sugere que P2 se beneficiou da intervenção. Nos dois pós-testes seguintes, o seu desempenho caiu para 50 % e voltou a subir para 87.5%. Em média, P2 teve um ganho de 32.29 %.

Nota: As linhas verticais tracejadas indicam o momento de realização do treino para formação das classes de equivalência e, portanto, demarcam a separação dos testes realizados antes (pré-teste) e após (pós-teste) a intervenção; a linha vermelha horizontal indica o maior valor de pré-teste obtido por cada participante, servindo ao propósito de facilitar a identificação de se houve ou não melhora de desempenho.
P3 também faltou em duas sessões, e seu desempenho oscilou ao longo do experimento. No seu primeiro pré-teste ele apresentou 33.33 % de acertos, tendo obtido em um dos pré-testes 75 % de acertos. Em um dos pós-testes obteve 87.5% de acerto, mas nos demais o desempenho foi igual ou inferior ao pré-teste de maior pontuação. Em média, P3 teve um ganho de 5.56 % com a intervenção. Considerando todos os ganhos, verificou-se que, em média, o aumento de desempenho no grupo de adição foi de 22.34 % (dp = 14.62).
P4 obteve pontuação de 33.33 % no primeiro pré-teste, sendo que deixou em branco 45.83% da prova. Quando fez o segundo pré-teste, obteve 66.67 % de acertos, tendo alcançado no terceiro pré-teste 75 %. Não foi alcançada estabilidade de desempenho, mas, para evitar desistência, decidiu-se iniciar a intervenção. O resultado no primeiro pós-teste foi 75%. Depois, P4 apresentou resultados superiores à maior pontuação do pré- -teste durante todo o experimento. O seu ganho médio foi de 27.78 %.
P5, por fim, apresentou 45.83 % de acertos no primeiro pré-teste, mas deixou em branco 29.16% da prova. Nos demais pré-testes apresentou desempenho elevado, tendo atingido pontuação de 87.50 %, com média, nos pré-testes, de 71.43%. Após a intervenção, o seu desempenho foi igual ou inferior à sua pontuação máxima no pré-teste. A sua média nos dois pós-testes foi 83.34%, sendo possível apontar que houve ganho de 11.90% com a intervenção, embora mais medidas de pós-teste fossem necessárias. A média de ganho de P4 e P5, grupo de subtração, foi de 19.84 % (dp = 11.22).
Discussão
O objetivo deste estudo foi, por meio de um delineamento lbm entre participantes, investigar efeitos da formação de classes de equivalência entre problemas com diferentes formas de apresentação, envolvendo diferentes posições da incógnita e estruturas semânticas dos problemas escritos sobre a resolução de problemas de adição e subtração. Foi observado que todos os participantes formaram as classes de equivalência planejadas. Ao examinar os resultados gerais, verificou-se um padrão semelhante ao de outros estudos da área, inclusive, com médias de ganhos entre pré-testes e pós-testes próximas a 20 %, tanto para o grupo de adição quanto de subtração (Haydu et al., 2006; Henklain & Carmo, 2013a,b). Esse dado sugere que o procedimento foi eficaz para melhorar o desempenho de crianças.
Apesar dos resultados positivos gerais, cumpre examinar também o desempenho dos participantes ao longo do experimento. A figura 4 evidenciou como o comportamento pode variar para um mesmo participante e entre participantes. Assim, com relação aos dados da literatura revisada, o delineamento de lbm mostrou de que forma a comparação entre um pré-teste e um pós-teste, no delineamento a-b, pode ser, eventualmente, enviesada. Verificou-se, por exemplo, que todos os participantes deste estudo apresentaram melhora de desempenho entre os pré-testes 1 e 2. Variáveis intervenientes podem ter interferido com o desempenho no pré-teste 1. Um exemplo disso foi o fato de que, nesse teste, as crianças estavam preocupadas com quanto tempo ele iria demorar, pois isso poderia afetar o horário do lanche – P4 e P5, inclusive, deixaram vários itens em branco. Nas sessões subsequentes, as crianças já conheciam o procedimento e sabiam que podiam ficar tranquilas.
Essas variáveis da familiaridade com o procedimento e do efeito de atividades concorrentes poderiam explicar parte da diferença de desempenho nos pré-testes 1 e 2, sugerindo que o repertório das crianças era melhor do que de fato foi observado inicialmente. Outra variável que pode ter afetado o desempenho foram conversas entre os participantes sobre respostas corretas —uma estratégia para aprender como terminar a tarefa rapidamente e acertar mais. Essa variável também poderia explicar o aumento de desempenho no pré-teste 2.
Independentemente da variável que controlou o responder, se fosse um delineamento a-b, conclusões favoráveis à intervenção poderiam, então, ser formuladas, mesmo que parte do ganho encontrado não fosse um produto dela. São por casos como esse que Sampaio et al. (2008) defendem que os dados produzidos em delineamentos de lbm são mais robustos.
Destaca-se, também, que o desempenho dos participantes foi afetado pela motivação com a tarefa, tendo sido difícil lidar com a perda de engajamento à medida que precisavam repetir os testes. Foram observadas respostas ao longo da pesquisa com provável função de esquiva (e.g., faltas e atrasos) e de fuga (e.g., conversas na hora da aplicação e repetidas verificações de quantas folhas faltavam para finalizar o instrumento) em relação às tarefas do experimento. Possivelmente, variações de desempenho mesmo após a intervenção, observadas, por exemplo, em P2, P3 e P5, podem estar relacionadas com esse padrão de fuga e esquiva, o que aumenta as chances de erros por não atentar adequadamente aos problemas. Essa relação entre desempenho e motivação já foi evidenciada em estudos que reforçam respostas corretas e observam melhora de desempenho em testes de qi (e.g., Edlung, 1972).
Essas observações sugerem que em estudos futuros dois cuidados metodológicos precisam ser tomados: (1) utilizar um delineamento de lbm com sondas, o que permite reduzir a quantidade de repetições dos testes (ver Benitez et al., 2019) e, assim, diminuir o cansaço das crianças; (2) desenvolver testes paralelos, que mensurem os mesmos comportamentos, mas com itens diferentes em cada uma das versões (Primi, 2012). Isso permitiria reduzir o efeito aversivo das repetições de testes, pois seriam diferentes, bem como diminuiria o impacto de conversas entre os participantes sobre como responder ao teste. Adicionalmente, o uso de jogos educativos pode consistir em uma estratégia para ensinar e gerar engajamento (Panosso et al., 2015).
Uma limitação importante deste estudo foi a retirada do procedimento de pré-teste das relações de equivalência —decisão tomada para reduzir o número de testes. Ele tinha o propósito de assegurar que as crianças ainda não haviam formado a classe de equivalência, e que a adquiriram após passar pelo procedimento. Sem esse teste, não é possível afirmar que os participantes já não tivessem formado a classe de equivalência antes mesmo deste estudo.
De fato, as pequenas quantidades de erros nos treinos e testes das relações de discriminação condicional sugerem que as classes já haviam sido aprendidas, sendo que poderiam, por exemplo, estar enfraquecidas apenas. A intervenção, nessa hipótese, teria ajudado a restabelecê-las. Entender o papel que a intervenção teve sobre o desempenho é crucial porque as evidências sugerem que ela foi eficaz. Apesar das limitações do estudo, para P1, P2 e P4, ficou claro como o desempenho melhorou após a intervenção. Um estudo sobre os comportamentos de lembrar e esquecer, conduzido por Haydu et al. (2009), pode ajudar a entender a função da intervenção. Nessa pesquisa, verificou-se que classes de equivalência podem ser aprendidas e esquecidas após algum tempo e, sobretudo, que classes compostas por mais estímulos tendem a permanecer por mais tempo no repertório ou ser restabelecidas mais rapidamente do que classes com menos membros. Considere, então, que no ensino de matemática professores provavelmente trabalhem com poucas formas de apresentação de problemas, sendo ainda menos frequente as variações de estrutura semântica em problemas escritos e posições da incógnita. Isso levaria à formação de classes de equivalência entre poucas formas de apresentação de problemas, o que facilitaria o esquecimento ou enfraquecimento da classe.
Nesse estudo, com treino sistemático para formação dessas classes de equivalência, mediante feedback explícito e imediato ao longo de diversas tentativas, bem como o aumento de estímulos em cada classe, provavelmente houve aquisição das classes ou, no mínimo, aperfeiçoamento de classes já aprendidas. Os termos “aquisição” e “aperfeiçoamento” remetem a mudanças comportamentais que caracterizam o núcleo do que analistas do comportamento definem como aprendizado (ver Goulart et al., 2012), sendo aperfeiçoamento usado no sentido de fortalecimento de relações entre estímulos enfraquecidas, como também aumento do número de estímulos compondo a classe.
Com base nessas considerações e nos dados deste estudo, é possível afirmar que as evidências sustentam que a formação de classes de equivalência entre diferentes formas de apresentação de problemas, posições da incógnita e estruturas semânticas de problemas escritos é importante e compõe os repertórios de somar e subtrair, que integram um repertório ainda mais amplo de resolução de problemas aritméticos. Além disso, as evidências fornecem suporte acerca da relevância de treinos de discriminação condicional para promover expansão dessas classes ou o restabelecimento delas, caso tenham sido enfraquecidas pela passagem do tempo.
Outra limitação a ser considerada foi a ausência de um teste de generalização, conforme conduzido em outros estudos (e.g., Henklain & Carmo, 2013a,b). Esse dado teria sido importante uma vez que foi selecionado um pequeno conjunto de números (entre 1 e 20) para uso nos testes e treino. É importante lembrar que a educação visa a produção de efeitos para além dos exemplos ou estímulos utilizados nas condições de ensino (Cortegoso & Coser, 2013). Nesse sentido, seria útil também a realização de uma avaliação de follow-up.
Em síntese, este estudo, com um delineamento mais robusto do que pesquisas prévias e uma amostra do extremo norte do Brasil, apresentou evidências favoráveis sobre a eficácia da intervenção. Apesar disso, o estudo possui limitações, como a ausência de estratégias para lidar com o baixo engajamento dos participantes e a ausência de testes de (a) repertório em relação às classes de equivalência ensinadas, (b) de generalização e, (c) de follow-up. É imprescindível, portanto, que estudos futuros sejam conduzidos de modo a sanar tais limitações.
Além disso, em função dos resultados promissores de múltiplos estudos (Haydu et al., 2006; Henklain & Carmo, 2013a, b; Haydu et al., 2015), considera-se que trabalhos futuros possam também adaptar este procedimento de ensino para o contexto de sala de aula. Assim, professores poderiam se beneficiar dos achados da pesquisa básica. Pensando nisso, ao final desta pesquisa, foi conduzido estudo-piloto que ilustra como essa adaptação poderia ser implementada.
A ideia foi simular uma aula. Os materiais utilizados foram notebook e datashow, manejados pelo pesquisador, e um caderno de respostas para o estudante. A coleta ocorreu na mesma escola deste estudo. Havia dois tipos de atividade: associação e ditado. Participaram duas alunas de 10 anos, P7 e P8, autorizadas pelos pais via tcle e que assinaram o tale. Nas atividades de associação era apresentado um problema escrito no slide e, no caderno de respostas, elas tinham três problemas no formato de algarismo relativos ao slide, mas apenas um correspondia ao problema do slide, e deveria ser assinalado. No ditado, era exibido no slide um problema escrito e, no papel, a criança deveria escrever o problema correspondente em formato de algarismo. Após as crianças responderem, era apresentada no slide a opção correta. Foram criadas 54 tarefas (36 de associação e 18 de ditado), a partir dos problemas usados neste estudo.
Para avaliar o aprendizado, foi utilizado um pré-teste seguido pelo pós-teste. Apenas P7 pareceu se beneficiar com o procedimento, sendo que P8 teve desempenho um pouco pior no pósteste. Os resultados foram inconclusivos. Não obstante, com a continuidade dos estudos será possível avançar nessa adaptação. Espera-se que pesquisadores continuem investigando os componentes do comportamento de resolver problemas e propondo pesquisas metodologicamente robustas e que contribuam com o aperfeiçoamento dos processos de ensinar e aprender.
Referências
Araújo, P. M. D., & Ferreira, P. R. Dos S. (2008). Ensinando subtração para pessoas com deficiência mental com base em relações de equivalência de estímulos. Psicologia: Teoria e Pesquisa, 24(3), 313–322. https://doi.org/10.1590/s0102-37722008000300007
Benitez, P., Domeniconi, C., & Bondioli, R. M. (2019). Delineamento experimental em Análise do Comportamento: discussão sobre o seu uso em intervenções educacionais inclusivas. Psicologia usp, 30, 1–10. https://doi.org/10.1590/0103-6564e190003
Brasil. (2019a). Relatório Brasil No pisa2018. inep/ mec. https://bit.ly/3c4mWaG
Brasil. (2019b). Relatório técnico do Sistema Nacional de Avaliação Básica (saeb 2017). inep/ mec. https://bit.ly/39Rxqc1
Carpenter, T. P., Moser, J. M., & Bebout, H. C. (1988). Representation of Addition and Subtraction Word Problems. Journalfor Research in Mathematics Education, 19(4), 345–357. https://doi.org/10.2307/749545
Cortegoso, A. L., & Coser, D. S. (2013). Elaboraçãode programas de ensino: material autoinstrutivo. Edufscar.
Donini, R. (2005). Identificando comportamentos pré-requisito para o ensino da adição e subtração [Dissertação de Mestrado, Pontifícia Universidade Católica de São Paulo]. https://bit.ly/3aXmnPV
Edlung, C. V. (1972). The effect on the behavior of children, as reflected in the iq scores, when reinforced after each correct response. Journal of Applied Behavior Analysis, 5, 317–319. https://doi.org/10.1901/jaba.1972.5-317
Goulart, P. R. K., Delage, P. E. G. A., Rico, V. V., & Brino, A. L. de F. (2012). Aprendizagem. In M. M. C. Hübner & M. B. Moreira (Eds.), Temas clássicos da Psicologia sob a ótica da Análise do Comportamento (pp. 20–41). Editora Guanabara Koogan.
Haydu, V. B., Costa, L. P., & Pullin, E. M. M. P. (2006). Resolução de Problemas Aritméticos: efeito de relações de equivalência entre três diferentes formas de apresentação dos problemas. Psicologia: Reflexão & Crítica, 19(1), 44–52. https://doi.org/10.1590/s0102-79722006000100007
Haydu, V. B., Laronceti, C. M., & Eccheli, S. D. (2015). Equivalência de Estímulos entre Três Formas de Apresentação de Problemas Aritméticos: um Estudo com Adultos e Idosos. Temas em Psicologia, 23(1), 49–67. https://doi.org/10.9788/tp2015.1-04
Haydu, V. B., Omote, L. C. F., Vicente, P., Aggio, N. M., & de Paula, J. B. C. (2009). Efeitos do tamanho da classe na manutenção de relações de equivalência em um delineamento intra-grupo. Interação em Psicologia, 13(2), 179–193. https://bit.ly/34otoqz
Haydu, V. B., Pullin, E. M. M. P., Iégas, A. L., & Costa, L. P. da. (2010). Solucionar problemas aritméticos: contribuições da análise do comportamento. Em P. S. T. Prado & J. S. Carmo (Orgs.), Relações simbólicas e aprendizagem da Matemática (pp. 197–220). esetec.
Haydu, V. B., Souza, S. R., Carmo, J. S., Gris, G., & Henklain, M. H. O. (2019). Análise do Comportamento aplicada e tecnologias educacionais para o ensino de matemática e comportamento musical. Em J. C. Luzia, J. Gamba, N. Kienen & S. R. A. Gil (Orgs.), Psicologiae Análise do Comportamento: Pesquisa e Intervenção (pp. 91–105). uel.
Henklain, M. O., & Carmo J. S. (2013a). Equivalência de Estímulos e Redução de Dificuldades na Solução de Problemas de Adição e Subtração. Psicologia: Teoria e Pesquisa, 29(3), 341–350. https://doi.org/10.1590/s0102-37722013000300012
Henklain, M. O., & Carmo J. S. (2013b). Stimulus Equivalence and Increase of Correct Responses in Addition and Subtraction Problems. Paidéia, 23(56), 349–358. https://doi.org/10.1590/1982-43272356201309
Henklain, M. O., Carmo, J. B., & Haydu, V. B. (2017). Produção Analítico-Comportamental Brasileira sobre Comportamento Matemático e de Ensinar Matemática: dados de 1970 a 2015. Temas em Psicologia, 25(3), 1453–1466. https://doi.org/10.9788/tp2017.3-24
Hiebert, J. (1982). The position of the unknown set and children’s solutions of verbal arithmetic. Journal for Research in Mathematics Education, 13(5), 341–349. https://doi.org/10.2307/749008
Kubo, O. M., & Botomé, S. P. (2001). Ensino-aprendizagem: uma interação entre dois processos comportamentais. Interaçãoem Psicologia, 5, 123–132. https://doi.org/10.5380/psi.v5i1.3321
Mendes, A. C. (2016). Ansiedade à matemática: evidências de validade de ferramentas de avaliação e intervenção [Tese de Doutorado, Universidade Federal de São Carlos]. https://bit.ly/2Ron2Cf
Neef, N. A., Nelles, D. E., Iwata, B. A., & Page, T. J. (2003). Analysis of precurrent skills in solving mathematics story problems. Journal of Applied Behavior Analysis, 36(1), 21–33. https://doi.org/10.1901/jaba.2003.36-21
Panosso, M. G., Souza, S. R., & Haydu, V. B. (2015). Características atribuídas a jogos educativos: uma interpretação Analítico-Comportamental. Revista Quadrimestral da Associação Brasileira de Psicologia Escolar e Educacional, 19(2), 233–241. https://doi.org/10.1590/2175-3539/2015/0192821
Primi, R. (2012). Psicometria: fundamentos matemáticos da Teoria Clássica dos Testes. Avaliação Psicológica, 11(2), 297–307. https://bit.ly/3e11Zzr
Resnick, L. B., Wang, M. C., & Kaplan, J. (1973). Task analysis in curriculum design: A hierarchically sequenced introductory mathematics curriculum. Journal of Applied Behavior Analysis, 6(4), 679–710. https://doi.org/10.1901/jaba.1973.6-679
Sampaio, A. A. S., Azevedo, F. H. B., Cardoso, L. R. D., Lima, C., Pereira, M. B. R., & Andery, M. A. P. A. (2008). Uma introdução aos delineamentos experimentais de sujeito único. Interação em Psicologia, 12(1), 151–164. https://doi.org/10.5380/psi.v12i1.9537
Stein, L. M. (1994). Teste de Desempenho Escolar: manual para aplicação e interpretação. Casa do Psicólogo.
Notas de autor
Dirigir correspondência à Yasmim Nascimento Oliveira. Endereço: Rua São José, n. 269, Bairro Cinturão Verde, cep: 69312-339, Brasil. Correio eletrônico: yasmimoliveira3107@gmail.com
Información adicional
Para citar este artigo:: Ribeiro, K. L., Oliveira, Y. N., & Henklain, M.H.O. (2021). Treinar a correspondência entre diferentes formas de apresentar problemas melhora o desempenho matemático. Avances en Psicología Latinoamericana, 39(1), 1-18. https://doi.org/10.12804/revistas.urosario.edu.co/apl/a.8931