Articles
Received: 07 January 2017
Accepted: 12 June 2017
DOI: https://doi.org/10.14349/rlp.2018.v50.n1.3
Abstract: Romantic jealousy is one of the most complex emotions people experience in their relationships; people may reach high levels of violence as a result of pathological jealousy. This paper sought to adapt to Spanish language use and examine the psychometric properties of the Interpersonal Jealousy Scale (IJS). This scale evaluates the negative emotion resulting from actual or threatened loss of a loved one to a rival. We used a Colombian sample of 603 Colombian adults (59,03% women). Factor models were tested by Confirmatory Factor Analysis (CFA), in order to confirm the stability of the internal structure of the scale. The CFA supported the robustness of a one-dimensional structure with 18 items. Good internal consistency and evidence of external validity were found, as well as adequate adjustment parameters under the item response theory. In the analysis of the differential functioning of the items by sex, five items measured the different latent trait in men and women. The data indicate that the revised Spanish version of the IJS is a useful instrument to assess romantic jealousy.
Keywords: Romantic jealousy, Interpersonal Jealousy Scale, psychometric properties, evaluation.
Resumen: Los celos románticos son una de las emociones más complejas de las personas en sus relaciones de pareja, que se asocian a altos niveles de violencia cuando se vuelven patológicos. El objetivo del estudio fue adaptar al español y examinar las propiedades psicométricas de la Interpersonal Jealousy Scale (IJS), la cual evalúa la emoción negativa resultante de una actual o amenazante pérdida del amado por un rival. Se empleó una muestra colombiana de 603 adultos colombianos (59,03% mujeres). Se sometieron a prueba mediante Análisis Factorial Confirmatorio (AFC) tres modelos factoriales con el fin de corroborar la estructura interna de la escala. El AFC apoyó la robustez de una estructura unidimensional con 18 ítems. Se obtuvieron adecuados índices de consistencia interna y evidencias externas de validez, al igual que adecuados parámetros de ajuste bajo la teoría de respuesta al ítem. En el análisis del funcionamiento diferencial de los ítems por sexo, cinco ítems midieron el rasgo latente diferente en hombres y mujeres. Los resultados indican que la IJS es un instrumento útil para evaluar celos románticos.
Palabras clave: Celos románticos, Interpersonal Jealousy Scale, propiedades psicométricas, evaluación.
Romantic jealousy is defined as a set of thoughts, feelings and actions that follow a threat to the existence or quality of a relationship, generated by the perception of a potential romantic attraction between the partner and a real or imaginary rival (Salovey, 1991; White, 1981). Ben-Ze'ev (2013) describes them as a cluster of emotions whose adaptive value is to counteract the breakdown of existing social ties (Panksepp, 2013). Constitutes a sociocultural phenomenon present in varying degrees in all societies (Schmitt, 1988). However, when control is lost, intense and constant jealousy can become pathological (Mathes, 1992). The Diagnostic and Statistical Manual of Mental Disorders (DSM-5; American Psychiatric Association, 2013) classifies jealousy in two diagnostic categories: (a) other obsessive-compulsive disorders and specified related disorders (Obsessive Jealousy) and (b) delusional disorder (Jealous Type).
Romantic jealousy at the pathological level generates high levels of violence (López-Ossorio, González Álvarez, Buquerín-Pascual, García-Rodríguez, & Buela-Casal, 2017; Rodríguez, DiBello, Overup, & Neighbors, 2015; Ureña, Romera, Casas, Viejo, & Ortega-Ruiz, 2015) which may be present since as early into the relationship as the courtship stage (Pazos, Oliva, & Gómez, 2014; Penado-Abilleira & Rodicio-García, 2017). According to the National Institute of Legal Medicine and Forensic Sciences, there were 47,248 cases of intimate partner violence in Colombia during the year 2015. This trend has been stable since 2005, and it indicated that 34.89% of the aforesaid cases were triggered by "jealousy, distrust and infidelity" (Forensis, 2016). In other countries, jealousy has also been the cause of intimate partner violence (Belus et al, 2014; Harris, 2003). Jealousy is also associated with various psychopathologies, including possible comorbidity with suicidal behavior, substance abuse, psychosis and emotional disorders (Costa, Sophia, Sanches, Tavares, & Zilberman, 2015).
The greatest interest in research on romantic jealousy dates back to the mid-1990s (Hart & Legerstee, 2013), despite the fact that specific symposia have been held since 1977 by a panel presentation at the Convention of the American Psychological Association (Salovey, 1991). Interest in this study has been growing. The most studies have focused on corroborating the evolutionary hypothesis of sex differences in emotional vs. sexual jealousy (Buss, Larsen, Westen, & Semmelroth, 1992; Fernández, Vera-Villarroel, Sierra, & Zubeidat, 2007; Sagarin et al., 2012). The characteristics of the rival that incites this emotion have also been studied (Buunk & Dijkstra, 2015), type of attachment (Miller, Denes, Díaz, & Buck, 2014), satisfaction and commitment to the relationship (Dandurand & Lafontaine, 2014), self-esteem (DiBello, Rodríguez, Hadden, & Neighbors, 2015), its association with alcohol abuse problems (Rodríguez, DiBello, & Neighbors, 2015) and the use of social networks in the increase of this emotion (Utz, Muscanell, & Khalid, 2015).
There has also been interest in Latin America in the cross-cultural study of romantic jealousy in the Mexican population (Hupka, Zaleski, Otto, Reidl, & Tarabrina, 1997), in the Chilean population (Fernández, Sierra, Zubeidar, & Vera-Villaroel, 2006) and in the Argentinian population (Bu-unk, Castro, Zurriaga, & Gonzáles, 2011). Sexual differences have been examined in Brazil (Carvalho, & Ambiel, 2016). In Colombia, sexual differences were addressed in relation to infidelity (Portilla, Henao, & Isaza, 2010) and a preliminary intervention study was also carried out (Martínez-León et al., 2016).
In terms of measurement of romantic jealousy, about 40 self-report instruments have been reported since the creation of the Self-Report and Projective Jealousy Scales (Bringle, Roach, Andler, & Evenbeck, 1979). Many instruments were used only once. The most used scales (Martínez-León, Peña, Salazar, García, & Sierra, 2017) are the Infidelity Dilemmas Questionnaire (IDQ; Buss et al., 1992) created to assess gender differences; the Multidimensional Jealousy Scale (Pfeiffer & Wong, 1989) developed to evaluate the three dimensions of jealousy (cognitive, emotional and behavioral dimensions); the Facebook Jealousy Scale (Muise, Christofides, & Desmarais, 2009) aimed at evaluating the probability of an event that causes feelings of jealousy participants related to their activity on Facebook; the Jealousy Scale (Buunk, 1997), used to evaluate three types of jealousy (reactive, anxious and preventive) and the Interpersonal Jealousy Scale (IJS; Mathes, & Severa 1981), which evaluates the negative emotion resulting from actual or threatened loss of a loved person to a rival. All of the instruments listed above have shown adequate levels of validity and reliability.
In the Latin American context, there is an adaptation in Chile of the Inventory of Behaviors of the Couple That Cause Jealousy (Fernández, Pavez, & Dufey, 2014). In Mexico, a Multidimensional Measure of Jealousy (Díaz-Loving, Rivera, & Flores, 1989) has been elaborated and a preliminary study was carried out with the Multidimensional Inventory of Romantic Jealousy (Mota, González-Arratia, Valdez, González, & Hernández, 2016). In Brazil, the Romantic Jealousy Inventory was revised (Bueno & Carvalho, 2012) As for Colombia, there are no psychometric studies of a specific measure on romantic jealousy. In addition, previous studies did not perform Factorial Confirmatory Analysis (CFA) so as to corroborate the factor structure found, and low reliability levels were found in their factors (Bueno & Carvalho, 2012) or small samples were used (Mota et al., 2016).
The IJS developed for Mathes and Severa (1981) is one of the most used scales for evaluating romantic jealousy, they found six factors that evaluate the susceptibility to threats related to: (a) Partner's infidelity and dating others (items 1, 3, 12, 14, 15, 16, 20, 22, 23, and 25); (b) Partner's popularity (items 2, 3, 4, 7, 10, 13, 17, 20, and 23); (c) An untrustworthy partner (items 1, 4, 6, 19, and 21); (d) Partner's old dates (items 11, 24, 26, 27, and 28); (e) Partner's indifference (items 8, 9 and 24); and (f) Partner's remaining friends with old dates and sex differences (items 5 and 18).
There are four studies that have examined in terms of their reliability and validity. Mathes and Severa (1981) present two studies, and the first study performed the construction of the scale with 39 items, which was reduced to 28 items after statistical analysis. Subsequently, in a second study, IJS was applied alongside other scales that evaluated romantic love-links, insecurity, self-esteem and an ad hoc questionnaire of separate identities, confirming, according to theory, that the higher level of jealousy, the higher the level of Romantic love and the lesser the separate identity of the couple. In this study, we report a coefficient of reliability of .92 for the total scale. In a third study, Mathes, Phillips, Skowran and Dick (1982), in order to extend the indications of validity, used the IJS and two behavioral measures: (a) threat when confronted by a rival and (b) expressions of possessiveness towards the partner, through a telephone call that they made to the person who participated in the study. The expected correlations were obtained, which again supported the validity of the scale. Finally, in a fourth study, Mathes, Roter and Joerger (1982) corroborated the convergent validity of IJS with other scales that evaluated romantic jealousy.
In this research, and in order to have external evidences of validity, we used the Self-Rating Jealousy Scale which had a correlation of .82 with the IJS (Hawkins, 1987). In addition, we included questions about the frequency and severity of jealousy displeasures and the person's control thereof, based on the association between jealousy and aggression (Kar & O'Leary, 2013; Llor-Esteban, García-Jiménez, Ruiz-Hernández, & Godoy-Fernández, 2016).
The evaluation of romantic jealousy is of great relevance both at scientific level and at the level of public health; for this reason, valid and reliable instruments are required which should be adapted to the population under study, in this case Colombia. This study sought to adapt to the Spanish language and examine the psychometric properties of the IJS. For this, the factor structure was tested by Factorial Confirmatory Analysis (CFA) and reliability indices were obtained. In addition, the analysis was enriched by the Item Response Theory (IRT), the differential function analysis (DIF) of the items by sex and, obtaining external evidence of validity.
Method
Participants
A sample of 603 people from three cities in Colombia was used (31% professionals, 56% postgraduate and 69% undergraduate students), aged 18 to 45, and obtained by quota sampling in nine private universities, a public university and health centers; 40,8% were men and 59,3% women, with an average age of 26 (SD = 7.51).
Instruments
Interpersonal Jealousy Scale (IJS; Mathes & Severa, 1981). Consists of 28 items answered on a 1-9 Likert scale, wherein 1 = strongly disagree and 9 = strongly agree.
Self-Rating Jealousy Scale (Hawkins, 1987). Self-rating jealousy scale, composed by a single-item: "How jealous do you consider yourself to be?" (5 = Very jealous and 1 = Not jealous).
Ad Hoc Jealousy Items. This questionnaire includes three Likert-type (from 1 to 5/7) questions about romantic jealousy: "How often do you have troubles because of your jealousy?" (7 = Daily and 1 = Never); "What is the severity of these troubles?" (5 = Too severe and 1 = Not severe at all); and "To what extent can you control your jealousy?" (5 = All times and 1 = Not once).
Procedure
Translation into Spanish and localization were done using the technique back translation (Muñiz, Elosua & Hambleton, 2013), with the collaboration of three bilingual professionals. Both the English version and the Spanish version were administered to bilingual students - with an interval of 15 days - and significant correlations were found. Calls were made in the schools of Psychology at different universities in Bogotá, as well as graduate programs in the area of Health Management and Health Centers, in order to recruit participants. Subsequently the main ethical aspects were laid down in terms of ensuring voluntary and informed participation, data confidentiality and the information to be given to the participants in the study. Administration for students was done in groups; professionals were contacted at health centers and several universities.
Statistical Analysis
Three factorial models were tested through CFA: (a) the original six-factor model proposed by Mathes and Severa; (b) the one-dimensional model, taking into account that the original authors had reported that the first factor explained 62.2% of the variance; and (c) a modified, one-dimensional model, based on descriptive statistics, discrimination indexes, Cronbach's alpha if the item was removed, adjustment parameters of each item (under the item response theory -IRT), according to the recommendations for the selection of Items (Lloret-Segura, Ferreres-Traver, Hernández-Baeza, & Tomás-Marco, 2014). We used the X2 for purposes of evaluating the fit of the models. However, because this is a conservative statistics measurement and it is unlikely to achieve a good fit through this measure (Byrne, 2012), we used a combination of incremental adjustment rates as criteria for the evaluation of all the models proposed. We took into account the X2 /df ≤ 3 index; GFI (Goodness of Fit Index); CFI (Comparative Fit Index), and the TLI (Tucker-Lewis Index). In general, the values for CFI, GFI and TLI ≤ .90 indicate a proper fit (Bentler, 1992). The Root Mean Square Error of Approximation (RMSEA between .05 and .08) was evaluated with a criterion of .05; a value less than this criterion indicates a good model fit (Byrne & Campbell, 1999) and is highly recommended for its sensitivity in identifying poor model specification (Hu & Bentler, 1999).
In addition, low-level analysis was performed with IRT, which is an excellent complement since both technologies coexist perfectly in the construction and analysis of the tests (Muñiz, 2010). Adjustment parameters were analyzed for each item of the instrument, considering that the item is calibrated when its Infit and Oufit adjustment parameters are between 0.40 and 1.40 logits (Bond & Fox, 2007).
In order to achieve the descriptive analysis, the correlation coefficients, and the obtaining of the reliability index, the SPSS program (V.22) was used. In addition, Mplus (v. 7.31) were employed to evaluate the construct validity through a confirmatory factor analysis. Moreover, Rasch model was applied using the program Winsteps (v. 3.69.1.13).
Results
CFA was performed in order to establish construct validity. First, the six-factor model proposed by Mathes and Severa (1981) was tested, but some indicators were not adequate. We then tested a unidimensional model including all the items, which also did not show a good fit. Therefore, the IRT analysis for the 28 items was performed, evaluating the Infit and Outfit parameters, which indicated that the items 5, 6, 9, 11, 15 y 16 do not conform to the model, since their Outfit values (1.56, 1.62, 1.45, 1.55, 2.36 y 1.87) were outside the accepted range (Bond & Fox, 2007). Subsequently, corrected item-test correlations were performed. The previous six items, together with items 12, 18, 19 and 21, obtained the lowest correlations with values under .20. Taking into account the analyses above, these ten items were debugged. Table 1 presents the indices of goodness of fit of each model. The one-dimensional model with 18 items showed an adequate fit (see Appendix).
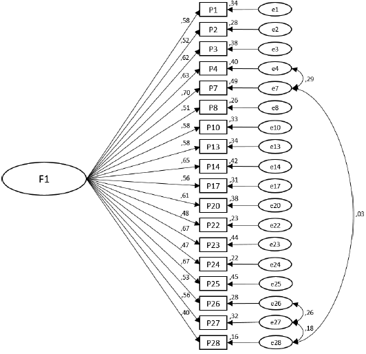
Figure 1 shows the one-dimensional structure of the IJS. Standardized loadings ranged from .40 (item 28) to .70 (item 7).


Item Analysis and Reliability
Table 2 shows the descriptive statistical elements (mean, standard deviation, skewness and kurtosis), as well as the corrected item correlation and Cronbach's alpha of the 18 items analyzed. All of them were within the accepted range in asymmetry and kurtosis. The corrected item-total correlations exceeded the value of .30 in all cases. Likewise, the elimination of some items did not increase the reliability index. The reliability for the full scale was .90.

Limitation
The sample of participants was a convenience sample of adults contacted in the streets of the main town of the country, and this sample was of moderate size. The present study was not epidemiological in character; that is, it was not intended to estimate precisely the proportion of people expressing each of the positions that were found. Such studies would require very large, representative sets of participants. The present study was instead a psychological study; its aim was to delineate the way in which participants utilized the information provided in realistic scenarios. For such studies, community samples of participants are sufficient because the different possible positions are limited in number and rough estimates of the percentage of participants who endorse each position are usually sufficient. The main interest of the study was to demonstrate that, in addition to total agreement or total rejection of forgiveness, alternative, more complex and more circumstances-determined positions can exist among Colombians.
Psychometric Analysis of the Scale Under IRT and DIF by Sex
The Infit / Outfit adjustment data showed that all items in the Spanish version of the IJS were calibrated (Infit ranged from 0.79 to 1.25 and Outfit from 0.78 to 1.44). Analysis of the differential functioning (DIF) of the items by sex indicated significant differences in the items 2 (x2 = 1.26, p <.026), 4 fe2 = 1.02, p <.031), 13 (x2 = 1.39, p <.023), 23 (x2 = 4. 27, p <.038), 25 (x2 = 1.64, p <.019) y 27 (x2 = 1.17, p <.0278) Therefore, it can be affirmed that these items measure the latent trait differently in men and women.
Evidence of Validity
As expected, the correlations between total and factor scores with the Ad Hoc Jealousy Items and Self-Ratig Jealousy Scale were statistically significant (Table 3).

Discussion
This study provides the first Spanish version and psychometric analysis of the Interpersonal Jealousy Scale, using EFA and CFA. The results obtained provide a one-dimensional instrument that evaluates romantic jealousy as a negative emotion resulting from an actual or threatened loss of the person loved to a rival. This version made up of 18 of the original 28 items showed an adequate construct validity, good reliability (α = .90) and evidence of convergent validity. Six of its items measure latent trait differently in men and women.
The original version by Mathes and Severa (1981), made up of six dimensions, did not show a good fit, possibly because three of its factors (3, 5 and 6) consisted only of two and three items (Lloret-Segura et al., 2014). And in addition, seven of its factors (5, 6, 11, 16, 18, 19 and 21) had a negative syntax in their wording, which could increase their difficulty (Moreno, Martínez & Muñiz, 2004). The one-dimensional model - proposed because the first dimension of the original model already explained 62.2% of the variance - and the factors whose composition exceeded the three items (two and four) explained 12.9% and 7.2% of the variance respectively, was adjusted when the items with negative syntax were eliminated. However, this did not have a good fit in the IRT or in the corrected item-total correlations, which were also part of the factors with a very low number of items.
It is also noteworthy that some of the items deleted, such as item 5 "When___likes some of my friends, I am pleased" and item 11 "I want____to continue to maintain the friendship with the people with whom he used to go out" alluded to the subject of friendship, which is probably not generating romantic jealousy, unlike questions that indicate communication with ex-partners (Knox, Zusman, Mabon, & Shriver, 1999). Items such as 12 and 15, which had no negative syntax but which included very general statements such as "I would like____to be faithful to me", to which most people responded positively, failed to discriminate the construct being measured. Thus, the IJS, composed of its 18 items, evaluates jealousy in a single dimension understood as sensitivity to the threats of the rival a concept according to the essence of the construct (Salovey, 1991).
The analysis of differential functioning (DIF) of the items by sex indicated that six of their items measure romantic jealousy differently according to men and women, all of them refer to the threat to the relationship in a more Emotional type, which is in line with the evolutionary theory of jealousy (Bendixen, Kennair, & Buss, 2015; Buss et al., 1992). However, it is suggested to use the same two types of scenarios of possible infidelity (sexual and emotional), given the multiple studies that confirm the importance of the two scenarios.
As to external evidence of validity, positive and significant relationships were found - as expected - which support the relationships already demonstrated by Mathes (1992). The correlation of the results of the total score of the IJS with the Self-Rating Jealousy Scale was equally significant, as in the case of the evidence obtained by Hawkins (1987). The relationship between the score of the IJS and the number and severity of arguments due to jealousy - and the control the person has over their jealousy - are consistent with the indications given by Dutton, Ginkel and Landolt (1996). The latter demonstrated a significant relationship between the IJS and self -reported scores of anger. All the evidence above supports the findings of DeSteno, Valdesolo & Barlett (2006), who reported a relationship between jealousy and aggressive behavior. However, it is advisable to make comparisons with a similar instrument so as to ensure concurrent validity and determine overall construct validity (Messick, 1994). These studies will allot to reject or confirm the common variation of the items that make up the test with stronger supporting foundations.
Some limitations of the study should be noted. It is necessary to take into account the fact that most of the subjects were in early and middle adulthood, were highly educated, which does not make it possible to generalize the results to the entire adult population or to other sexual orientations; This required, as Hawkins (1987) points out, revise the wording of several of the items.
The results of this study provide opportunities for future lines of research, including the generalization of the IJS' one-dimensional structure to other samples and cultures, which has not been done as yet. It would be interesting to examine the cultural equivalence of the scale, both in collectivist and individualist cultures. Only one adaptation of the IJS in Hungary is currently reported (Orosz, Zoltán, Kiss, Farkas & Roland-Lévy 2015). Moreover, further research should include several questions related to the use of social networks such as Facebook or Snapchat, given the current importance of these communication media and the evocation of romantic jealousy (Dainton & Stokes, 2015; Utz et al, 2015) or to use parallel scales that evaluate them. In addition, it is necessary to confirm the relationships found in non-Colombian population with personal, interpersonal and sociocultural variables (Martínez-León et al., 2017) thereby continuing with the study of this important and complex human emotion
Acknowledge
The authors would like to acknowledge the members of the research project, "Multidimensional analysis of the conduct of jealousy," of the El Bosque University and the Psychologists Myriam Rodríguez, Leonardo García, María Fernanda Reyes, Francisco Cardozo and Hernán Salazar, for their contributions
References
American Psychiatric Association. (2013). Diagnostic and statistical manual of mental disorders (5° ed.). Washington D.C.: American Psychiatric Publishing.
Belus, J. M., Wanklyn, S. G., Iverson, K. M., Pukay-Martin, N. D., Langhinrichsen-Rohling, J., & Monson, C. (2014). Do anger and jealousy mediate the relationship between adult attachment styles and intimate violence perpetration? Partner Abuse, 5(4), 388-406. http://dx.doi.org/10.1891/1946-6580.5.4.388.
Bendixen, M., Kennair, L. E., & Buss, D. M. (2015). Jealousy: Evidence of strong sex differences using both forced choice and continuous measure paradigms. Personality and Individual Differences, 86, 212-216.
Ben-Ze'ev, A. (2013). Jealousy and romantic love. In Hart, S.L. (Eds.), Handbook of jealousy: Theory, research and multidisciplinary approaches (pp. 40-54). Malasia: Wiley-Blackwell.
Bentler, P. M. (1992). On the fit of models to covariances and methodology to the Bulletin. Psychological Bulletin, 112(3), 400-404. http://dx.doi.org/10.1037/0033-2909.112.3.400.
Bond, T., & Fox, C. (2007). Applying the Rasch Model. Fundamental measurement in the human sciences. Toledo, España: Routledge.
Bringle, R. B., Roach, S., Andler, A., & Evenbeck, S. (1979) Measuring the intensity of jealous reactions. JSAS: Catalog of Selected Documents in Psychology, 9, 23-24.
Bueno, J.M.H. & Carvalho, L.F. (2012) Um estudo de revisão do inventário de ciúme romántico (ICR). Psicologia: Reflexão e Crítica,25(3), 435-444
Buss,D., Larsen, R., Westen, D., & Semmelroth, J. (1992). Sex differences in jealousy: evolution, physiology, and psychology. Psychological Science, 3(4), 251-255. http://dx.doi.org/10.1016Aj.paid. 2015.05.035.
Buunk, A. (1997). Personality, birth order and attachment styles as related to various types of jealousy. Personality and Individual Differences, 22, 997-1006. http://dx.doi.org/10.1016/S0191-8869(97)00136-0.
Buunk, A., Castro, A., Zurriaga, R., & González, P. (2011). Gender differences in the jealousy-evoking effect of rival characteristics: A study in Spain and Argentina. Journal of Cross-Cultural Psychology, 42(3), 323-339. http://dx.doi.org/10.1177/0022022111403664
Buunk, A., & Dijkstra, P. (2015). Rival characteristics that provoke jealousy: A study in Iraqi Kurdistan. Evolutionary Behavioral Sciences, 9(2), 116-127. http://dx.doi.org/10.1037/ebs0000030.
Byrne, B. M. (2012). Structural equation modeling with Mplus: Basic concepts, applications, and programming. New York, NY: Rout-ledge Academic.
Byrne, B. M., & Campbell, T. L. (1999). Cross-cultural comparisons and the presumption of equivalent measurement and theoretical structure: A look beneath the surface. Journal of Cross-Cultural Psychology, 30(5), 555-574. http://dx.doi.org/10.1177/0022022199030005001.
Carvalho, L. de F., & Ambiel, R.A.M. (2016). Diferenças entre os sexos no ciúme romântico: um estudo brasileiro. Avances en Psicologia Latinoamericana, 34(1), 143-155. http://dx.doi.org/10.12804/ap134.1.2016.10.
Costa, A., Sophia, E., Sanches, C.,Tavares , & Zilberman , M . (2015). Pathological jealousy: Romantic relationship characteristics, emotional and personality aspects, and social adjustment. Journal of Affective Disorders, 174, 38-44. http://dx.doi.org/10.1016/j.jad.2014.11.017.
Dainton, M., & Stokes, A. (2015). College students' romantic relationships on Facebook: Linking the gratification for maintenance to Facebook maintenance activity and the experience of jealousy. Communication Quarterly, 63(4), 365. http://dx.doi.org/10.1080/01463373.2015.1058283.
Dandurand, C., & Lafontaine, M. (2014). Jealousy and couple satisfaction: a romantic attachment perspective. Marriage & Family Review, 50(2), 154. http://dx.doi.org/10.1080/01494929.2013.879549.
DeSteno, D., Barlett, M., Braverman, J., & Salovey, P. (2002). Sex differences in jealousy: Evolutionary mechanism or artifact of measurement? Journal of Personality and Social Psychology, 83, 1103-1116. http://dx.doi.org/10.1037/0022-3514.83.5.1103.
DeSteno, D., Valdesolo, P., & Barlett, M. (2006). Jealousy and the threatened self: getting to the heart of the green-eyed monster. Journal of Personality and Social Psychology, 91, 626-641. http://dx.doi.org/10.1037/0022-3514.9L4.626.
Díaz-Loving, R., Rivera, S., & Flores, M. (1989). Desarrollo y análisis Psicométrico de una medida multidimensional de celos. Revista Mexicana de Psicologia, 8(2), 111-119.
DiBello, A., Rodríguez, L., Hadden, B. & Neighbors, C. (2015). The green eyed monster in the bottler: relationship contingent self-esteem, romantic jealousy, and alcohol-related problems. Addictive Behaviors, 49, 52-48. http://dx.doi.org/10.1016/j.addbeh.2015.05.008.
Dutton, D. G., Ginkel, C., & Landolt, M. A. (1996). Jealousy, intimate abusiveness, and intrusiveness. Journal of Family Violence, 11(4), 411-423. http://dx.doi.org/10.1007/BF02333425
Fernández, A. M., Sierra, J. C., Zubeidat, I., & Vera-Villarroel P . (2006) . Sex differences in response to sexual and emotional infidelity among Spanish and Chilean students. Journal of Cross-Cultural Psychology, 37, 359-365.
Fernández, A. M., Vera-Villarroel, P., Sierra, J. C., & Zubeidat, I. (2007) . Distress in response to emotional and sexual infidelity: Evidence of evolved gender differences in Spanish students. The Journal of Psychology, 14, 17-24.
Fernández, A. M., Pavez, P., & Dufey, M. (2014) Evaluación chilena del inventario de comportamientos de la pareja que provocan celos. Revista de Psicología, 23(2) 45-55. http://dx.doi.org/10.5354/0719-0581.2014.36147.
Hart, S. L., & Legerstee, M. (2013). Handbook of jealousy: Theory, research, and multidisciplinary approaches. UK: Wiley-Blackell
Harris, C. (2003). A review of sex differences in sexual jealousy, including self-report data, psychophysiological responses, interpersonal violence, and morbid jealousy. Personality and Social Psychology Review, 7(2), 102-128. http://dx.doi.org/10.1207/S15327957PSPR0702_102-128.
Hawkins, R.O. Jr (1987) Comparative study of three measures of sexual jealousy. Psychological Reports, 61(2), 539-544. http://dx.doi.org/10.2466/pr0.1987.61.2.539.
Hu, L., & Bentler, P. M. (1999). Cut-off criteria for fit indexes in covariance structure analysis: Conventional criteria versus new alternatives. Structural Equation Modelling, 6(1), 1-55. http://dx.doi.org/10.1080/10705519909540118.
Hupka, R. B., Zaleski, Z., Otto, J., Reidl, L., & Tarabrina, N. V. (1997). The colors of anger, envy, fear, and jealousy: A cross-cultural study. Journal of Cross-Cultural Psychology, 28(2), 156-171.
Instituto Nacional de Medicina Legal y Ciencias Forenses (Forensis). (2016). Forensis: Datos para la vida. Forensis, 17(1). ISSN 2145-0250.
Kar, H., & O'Leary, D. (2013). Patterns of psychological aggression, dominance, and jealousy within marriage. Journal of Family Violence, 28, 109-119. http://dx.doi.org/10.1007/s10896-012-9492-7.
Knox, D., Zusman, M., Mabon, L., & Shriver, L. (1999). Jealousy in college student relationships. College Student Journal, 33(1), 155.
Llor-Esteban, B., García-Jiménez, J. J., Ruiz-Hernández, J. A., & Godoy-Fernández, C. (2016). Profile of partner aggressors as a function of risk of recidivism. International Journal of Clinical and Health Psychology, 16, 39-46. http://dx.doi.org/10.1016/j.ijchp.2015.05.004.
Lloret-Segura, S., Ferreres-Traver, A., Hernández-Baeza, A., & Tomás-Marco, I. (2014). El análisis factorial exploratorio de los ítems: una guía práctica revisada y actualizada. Anales de Psicología, 30(3), 1151-1169. http://dx.doi.org/10.6018/analesps.30.3.199361.
López-Ossorio, J. J., González-Álvarez, J. L., Buquerín-Pascual, S., García-Rodríguez, L. F., & Buela-Casal, G. (2017). Risk factors related to intimate partner violence police recidivism in Spain. International Journal of Clinical and Health Psychology, 17, 107-119. http://dx.doi.org/10.1016/j.ijchp.2016.12.001.
Martínez-León, N. C., Peña, J. J., Salazar, H., García, A., & Sierra, J.C (2017). A systematic review of romantic jealousy in relationships. Terapia Psicológica, 35(2), 203-212. http://dx.doi.org/10.4067/s0718-48082017000200203.
Martínez-León, N., García-Rincón, L., Valencia, D., Barreto, S., Alfonso, A., Quintero, C., & Parra., A. (2016). Efecto de una intervención cognoscitivo conductual para el manejo de los celos en la relación de pareja. Psychologia: Avances de la Disciplina, 10(1), 113-123
Mathes, E. W., Phillips, Skowran., & Dick (1982) Behavioral correlates of the Interpersonal Jealousy Scale. Educational and Psychological Measurement, 42, 1227-1231 http://dx.doi.org/10.1177/001316448204200432.
Mathes, E.W., Roter, P.M., & Joerger, S. (1982). A convergent validity study of six jealousy scales. Psychological Reports, 50, 1143-1147.
Mathes, E. W. (1992). Jealousy: the psychological data. New York, NY: University Press of America.
Mathes, E.W., & Severa, N. (1981). Jealousy, romantic love, and liking: Theoretical considerations and preliminary scale development. Psychological Reports, 49, 23-31. http://dx.doi.org/10.2466/pr0.1981.49.1.23.
Messick, S. (1994). Validity of psychological assesment: Validation of inferences from persons, responses and performances as scientific inquiry into score meaning. ETS Research ReportSeries, 2, 1-28. http://dx.doi.org/10.1002/j.2333-8504.1994.tb01618.x.
Miller, M., Denes, A., Díaz, B., & Buck, R. (2014). Attachment style predicts jealous reactions to viewing touch between a Romantic Partner and close friend: implications for internet social communication. Journal of Nonverbal Behavior, 38(4), 451-476. http://dx.doi.org/10.1007/s10919-014-0196-y.
Moreno, R., Martínez, R., & Muñiz, J. (2004). Directrices para la construcción de ítems de elección múltiple. Psicothema, 16(3), 490-497.
Mota, J., González-Arratia, N. I., Valdez, J. L., González, S., & Hernández, G. (2016) Construcción y análisis estadístico del Inventario Multidimensional de celos románticos: Estudio preliminar. Actualidades en Psicología, 30(120), 31-45. http://dx.doi.org/10.15517/ap.v30i120.18977.
Muise, A., Christofides, E., & Desmarais, S. (2009). More information than you wanted: Does Facebook bring out the green-eyed monster of jealousy?. CyberPsychology â Behavior, 13(4), 441-444. http://dx.doi.org/10.1089/cpb.2008.0263.
Muñiz, J. (2010). Las teorías de los test: Teoría clásica y teoría de respuesta a los ítems. Papeles del Psicólogo, 31(1), 57-66.
Muñiz, J., Elosua, P., & Hambleton, R. K. (2013) Directrices para la traducción y adaptación de los test: segunda edición. Psicothema, 25(2) 151-157. http://dx.doi.org/10.7334/psicothema2013.24.
Orosz, G., Zoltán, G., Kiss, Z. G., Farkas, P., & Roland-Lévy, K. (2015). Elevated romantic love and jealousy if relationship status is declared on Facebook. Frontiers in Psychology, 6, 1-6. http://dx.doi.org/10.3389/fpsyg.2015.00214.
Panksepp, J. (2013). The evolutionary sources of jealousy: Cross-species approaches to fundamental issues. In Hart, S. L. & Legerstee, M. (Eds.). Handbook of jealousy: Theory, research, and multidisciplinary approaches (pp. 101-120). UK: Wiley-Blackell .
Pazos, M., Oliva, A., & Gómez, A.H. (2014). Violencia en relaciones de pareja de jóvenes y adolescentes. Revista Latinoamericana de Psicologia, 46(3). 148-159. https://doi.org/10.1016/S0120-0534(14)70018-4.
Penado-Abillerira, M., & Rodicio-García, M. (2017). Análisis del autoconcepto en las víctimas de violencia de género entre adolescentes. Suma Psicologica, 24(2), 107-114. https://doi.org/10.1016/j.sumpsi.2017.08.001.
Pfeiffer, S. M., & Wong, P. T. (1989). Multidimensional jealousy. Journal of Social and Personal Relationships, 6(2), 181-196. http://dx.doi.org/10.1177/026540758900600203.
Portilla, L., Henao, G., & Isaza, L. (2010). Diferencias sexuales en la experiencia subjetiva de los celos: Una mirada desde la psicología evolucionista. Pensamiento Psicológico, 6(15), 53-62.
Rodríguez, L., DiBello, A., Neighbors, C. (2015). Positive and negative jealousy in the association between problem drinking and IPV perpetration. Journal of Family Violence, 30, 987-997. http://dx.doi.org/10.1007/s10896-015-9736-4.
Rodríguez, L., DiBello, A., Overup, C., & Neighbors, C. (2015). The Price of distrust: trust, anxious attachment, jealousy, and partner abuse. Partner Abuse, 6(3), 298-319.
Sagarin, B. J., Martin, A. L., Coutinho, S. A., Edlund, J. E., Patel, L., Skowronski, J. J., & Zengel, B. (2012). Sex differences in jealousy: A meta-analytic examination. Evolution and Human Behavior, 33(6), 595-614. http://dx.doi.org/10.1016/j.evolhumbehav.2012.02.006.
Salovey, P. (1991). The psychology of jealousy and envy. NewYork, NY: The Gilford Press.
Schmitt, B. H. (1988). Social comparison in romantic jealousy. Personality & Social Psychology Bulletin, 14(2), 374-387. http://dx.doi.org/10.1177/0146167288142015.
Ureña, J., Romera, E. M., Casas, J. A., Viejo, C., & Ortega-Ruiz, R. (2015). Psychometric properties of Psychological Dating Violence Questionnaire: A study with young couples. International Journal of Clinical and Health Psychology,15, 52-60. http://dx.doi.org/10.1016/j.ijchp.2014.07.002.
Utz, S., Muscanell, N., & Khalid, C. (2015). Snapchat elicits more jealousy than Facebook: a comparison of Snapchat and Face-book use. Cyberpsychology, Behavior, and Social Networking, 18(3), 141-146. http://dx.doi.org/10.1089/cyber.2014.0479.
White, G. L. (1981). A model of romantic jealousy. Motivation â Emotion, 5(4), 295-310. http://dx.doi.org/10.1007/BF0099254.
Appendix

Author notes
* Corresponding author. E-mail address:martineznancy@unbosque.edu.co