Artigos
Investimentos em projeto industrial: uma análise por opções reais em tempo discreto
Investments in industrial project: an analysis by real options in discrete time
Investimentos em projeto industrial: uma análise por opções reais em tempo discreto
Exacta, vol. 17, núm. 3, pp. 121-130, 2019
Universidade Nove de Julho

Recepción: 13 Diciembre 2017
Aprobación: 19 Junio 2018
Resumo: Comumente as empresas elaboram os fluxos de caixa com projeções limitadas ao horizonte de tempo que assegurem um planejamento financeiro plausível. Contudo, estas projeções não permitem contemporizar tomadas de decisões que possam ser essenciais para a constância no mercado. Uma maneira para contornar esta deficiência, que é inerente aos projetos de investimentos em ativos reais, é a adoção de modelos dinâmicos que permitam flexibilizar o gerenciamento destes projetos. Diante disso, a Teoria das Opções Reais foi utilizada para avaliar os investimentos de capital de um projeto destinado ao processamento de laranja com a possibilidade de alteração da escala operacional. Os resultados demonstraram que a aplicação da Teoria das Opções Reais permitiu quantificar o valor adicional do projeto de investimentos aumentando o valor da indústria em 67%.
Palavras-chave: Incertezas, Avaliação de projetos, Fluxo de caixa, Volatilidade, Valor presente líquido.
Abstract: Companies commonly draw up cash flows with time-bound projections that ensure plausible financial planning. However, these projections do not allow the compromise of decision making that may be essential for market constancy. One way to overcome this shortcoming, which is inherent in real asset investment projects, is by adopting dynamic models that allow the management of these projects to be flexible. In view of this, the Real Options Theory was used to evaluate the capital investments of an orange processing project with the possibility of changing the operational scale. The results showed that the application of the Real Options Theory allowed quantifying the additional value of the investment project, increasing the industry value by 67%.
Keywords: Uncertainties, Project evaluation, Cash flow, Volatility, Net present value.
1 Introdução
O método de fluxo de caixa descontado é comumente empregado na avaliação de projetos e na tomada de decisões sobre investimentos em ativos reais. Entretanto, uma das limitações mais importantes deste método é que ele não leva em conta o valor da flexibilidade gerencial (Brandão, Dyer, & Hahn, 2005). Nessa perspectiva, como método alternativo de avaliação, tem-se a Teoria das Opções Reais, que de acordo com Pindyck (1993) ganhou espaço nas avaliações de criação de valor das empresas por complementar o fluxo de caixa descontado tradicional e permitir incluir a flexibilidade dos negócios por meio de decisões.
O conceito de uma opção real foi desenvolvido a partir da ideia de Myers (1977) de que uma empresa, ao executar uma oportunidade de investimento, estaria executando uma opção de compra sobre ativos reais. Para Copeland e Antikarov (2001), uma opção real é o direito, mas não a obrigação, de empreender uma ação a um custo predeterminado, que se denomina preço de exercício, por um período preestabelecido – a vida da opção.
Cesenã, Mutale e Rivas-Dávalos (2013) consideram que a Teoria das Opções Reais é conhecida por aumentar o valor dos projetos sob incerteza por meio da modelagem da flexibilidade que os gerentes possuem para ajustar os projetos em resposta às mudanças em seus ambientes. Esta flexibilidade aumenta o valor do projeto, melhorando seu potencial de crescimento, ao mesmo tempo em que limita as perdas negativas em relação às expectativas iniciais (Boute, Demeulemeester, & Herroelen, 2004).
No entendimento de Dias (2014) a Teoria das Opções Reais é uma metodologia moderna para a análise de investimentos em ativos reais sob condições de incerteza que enfatiza o valor da flexibilidade do tomador de decisão de poder alterar os rumos de um projeto ou a operação de um ativo real. Desta forma, a técnica supre problemas de rigidez, encontrados nas técnicas tradicionais de análise de projetos de investimento, de forma que a flexibilidade gerencial possa ser exercida em resposta a mudanças de condições futuras (Gomes & Mól, 2013).
Assim, a flexibilidade gerencial avaliada a partir da Teoria das Opções Reais, confere aos tomadores de decisões a capacidade de agir em consonância às especificidades do projeto, como exemplo, alteração de escala de produção, adiamento temporário do investimento, abandono do projeto e mudança de portfólio; contudo, essas especificidades possuem incertezas intrínsecas. Paddock, Siefel e Smith (1988) afirmam que a especificação dessas incertezas é frequentemente modelada por modelos binomiais discretos, o qual segue um Movimento Geométrico Browniano (MGB).
Samanez, Ferreira e Nascimento (2014) salientam que o MGB é o mais popular na modelagem de ativos financeiros e reais, o que pode ser explicado pela simplicidade de aplicação e principalmente pela sua fácil compreensão. Conforme Securato e Carrete (2003), o desenvolvimento do modelo binomial parte do valor inicial dos ativos da empresa, na data que se quer precificar, como sendo o valor contábil do passivo exigível somado ao valor de mercado do patrimônio líquido da empresa.
De acordo com Baidya e Castro (2001) a modelagem discreta por árvore binomial, é uma das metodologias mais utilizadas para a avaliação de opções americanas. Para Merton (1973), a opção americana de compra dá o direito para o seu proprietário de comprar um ativo por um preço de exercício estabelecido até uma data definida. Neste sentido, como estratégia de precificação da opção real, o cômputo do valor presente do projeto é atribuído a fatores multiplicativos de subida e descida, os quais são definidos a partir da volatilidade do projeto.
De acordo com Hull (2016) a volatilidade indica a movimentação dos preços do valor presente do projeto, ou da incerteza quanto aos retornos proporcionados por este ativo.
Majoritariamente, ao lidar com ativos reais, não se trabalha com dados históricos para estimar a volatilidade, por esse motivo, se o cálculo não for realizado de forma criteriosa, pode levar a uma subestimativa ou superestimava deste parâmetro, e consequentemente o valor das opções seria um valor distante do real (Oliveira & Pamplona, 2012). Krychowski (2007) completa que é difícil estimar intuitivamente esse parâmetro, pois a volatilidade resulta da combinação de diferentes fontes, normalmente correlacionadas umas com as outras.
Diante do contexto que os investimentos em ativos reais são irreversíveis e as incertezas intrínsecas às perspectivas mercadológicas possam assegurar uma opção de investimento no futuro, a aplicação da Teoria das Opções Reais se torna relevante num cenário industrial, pois possibilita ao investidor condições de adaptação às mudanças do ambiente em que está inserido, oferecendo-lhe o direito, mas não a obrigação, de investir quando lhe for conveniente. Nesse sentido, objetivou-se aplicar a Teoria das Opções Reais para incorporar a flexibilidade gerencial em uma indústria processadora de laranja, para avaliar a viabilidade econômica e mensurar o valor da opção de expansão da capacidade produtiva industrial.
2 Material e métodos
2.1 Modelo de negócio
O estudo teve natureza quantitativa, devido à realidade ser estruturada a partir de fatos mensuráveis e também por abordar um caso específico cujas fontes de informação precisam ser desenvolvidas e posteriormente descritas por meio dos modelos teóricos de análise de investimentos (Gil, 2010). Destarte, a técnica empregada para a obtenção dos dados foi a da entrevista semiestruturada em profundidade (Duarte, 2005).
Assim, o estudo foi desenvolvido com base em coeficientes técnico-econômicos de uma indústria processadora de laranja, a ser instalada na região Centro-Oeste do Estado de São Paulo, com capacidade de processamento para 20 mil toneladas de frozen concentrated orange juice – FCOJ (suco de laranja concentrado e congelado) por safra, a qual tem a opção de alterar a escala operacional durante a vida econômica.
2.2 Análise econômica
Os valores monetários foram expressos em dólar americano (USD) por ser considerada moeda internacional de referência (Simões, Ribeiro, Gouveia, & Santos, 2015). Logo, foi utilizado como taxa de câmbio o preço da moeda estrangeira oficial do Banco Central do Brasil a preço de venda, medido em unidades e frações da moeda nacional, que era R$3,1623 em 10/03/2017 conforme o Banco Central do Brasil (2017).
Como premissa, foram coletados dados que permitiram a elaboração do fluxo de Caixa empresarial. Assim sendo, foi ponderado o capital expenditure (CAPEX) para cobrir os custos de construção e implantação, receita bruta de vendas, operational expenditure (OPEX), depreciação, amortização, receita financeira, despesa financeira, tributos e impostos.
A taxa de desconto ajustada ao risco foi calculada por meio do Capital Asset Pricing Model (CAPM), pautado no custo de capital próprio (Equação 1) em consonância à proposta do modelo básico para o mercado brasileiro descrito por Assaf Neto, Lima e Araújo (2008).
(1)em que:
K é a taxa de desconto ajustada ao risco;
RF é a taxa de juros livre de risco (10 anos T- Bills rates);
β é o coeficiente sistemático da indústria de processamento de alimentos;
RM é o retorno da carteira de mercado (S&P Food & Beverage Select Industry Index);
(RM - RF) é o prêmio pelo risco;
αBR é o prêmio de risco do país.
Sob este prisma, foi ponderada a taxa de livre de risco de 2,07% emitido pelo Departamento do Tesouro dos Estados Unidos da América para uma obrigação de dez anos, o coeficiente β de 1,12 para indústrias de processamento de alimentos, o retorno esperado do mercado alimentício de 10,50% e o prêmio de risco do país de 4,90%.
2.3 Fluxo de caixa e valor inicial da empresa
A partir dos dados primários, o fluxo de caixa sem flexibilidade foi projetado para um horizonte de dez anos, período em que a empresa depreciará os ativos linearmente a uma taxa de 12,3% ao ano. Ademais, para os fluxos de caixas não contemplados neste horizonte projetado, assumiu-se a perpetuidade com taxa de crescimento nula, considerando que a empresa tem vida financeira infinita.
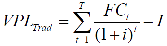
Desta forma, a partir do fluxo de caixa futuro e da taxa de desconto ajustada ao risco, foi calculado o valor presente líquido sem flexibilidade ou valor presente líquido proveniente do método tradicional (VPLTrad), por meio da Equação 2.
(2)em que:
T é o tempo de duração do projeto;
t é o instante em que os custos e as receitas ocorrem;
i é a taxa mínima de atratividade;
FCt é o fluxo de caixa para t períodos;
I é o valor do investimento inicial.
2.4 Volatilidade
A volatilidade do projeto foi calculada por meio do método proposto por Brandão, Dyer e Hahn (2012). De acordo com abordagem consolidada da incerteza, desenvolvida por Copeland e Antikarov (2001), a volatilidade do processo estocástico do preço do ativo fixo segue um MGB descrito na Equação 3.
(3)
P é o preço do ativo no instante t;
μ é a taxa de crescimento de P (drift);
σ é a volatilidade;
dz é o incremento de um processo de Wiener (incremento do caminho aleatório da variável selecionada, com distribuição normal e tempo definido).
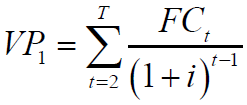
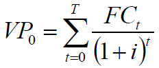
Logo, a volatilidade, isto é, o desvio padrão percentual do retorno do projeto (Equação 4), foi calculado conforme Herath e Park (2002).
(4)em que:
z é a variação percentual do valor do projeto;
ln é o logaritmo neperiano;
VP0 é o valor presente no instante t = 0;
VP1 é o valor presente do projeto no instante t = 1;
FCF1 é o fluxo de caixa livre no instante t = 1.
O valor presente do projeto no instante t = 0 e t = 1 foram calculados, concomitantemente, conforme as Equações 5 e 6.
(5)
(6)Deste modo, devido ao projeto de investimentos possuir uma única fonte de receita, a incerteza se refere ao comportamento do preço do frozen concentrated orange juice, para qual adotouse a distribuição lognormal. Destarte, a distribuição de probabilidades dos valores de . foi obtida em consonância a esta incerteza, fixando o VP0 e variando o numerador da Equação 4. A simulação pelo método de Monte Carlo foi realizada por meio do software @Risk Copyright© 2017 Palisade Corporation (Palisade, 2017), com a geração de 100.000 números pseudoaleatórios.
2.5 Aplicação da Teoria das Opções Reais
O projeto em análise possui a flexibilidade gerencial de expansão da capacidade produtiva no instante de tempo 10, isto é, no décimo ano da vida útil do projeto de investimentos, ao custo de USD1.050.170,10, o que propiciaria um aumento de 40% da capacidade produtiva em relação à capacidade determinada inicialmente.
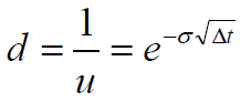
O processo dinâmico para o planejamento do projeto foi fundamentado na construção de uma árvore de decisão binomial multiplicativa em tempo discreto, na qual, em cada período, o valor presente do projeto pode assumir um valor monetário, dentre dois valores alternativos. Assim sendo, cada nó de decisão da árvore binomial apresentou movimentos ascendentes, por meio do fator multiplicativo de alta u (Equação 7) e movimentos descendentes, por meio do fator multiplicativo de baixa d (Equação 8). Logo, estes movimentos foram baseados na volatilidade e no número de intervalos em um determinado período de tempo, em consonância à Copeland e Antikarov (2001),
(7)em que:
∆t é a variação do tempo, que corresponde ao tamanho do passo entre os nós da árvore binomial; e é o número de Neper, dado por 2,71828...;
(8)com u > d.
A probabilidade neutra ao risco dos movimentos ascendentes, p, e descendentes, q = 1 - p, foram calculadas conforme preconizado por Copeland e Antikarov (2001), e expressas por:
(9)em que:
RFé taxa livre de risco, assumida como constante.
Desta forma, utilizando os parâmetros calculados, foi construída a árvore de decisão binomial em tempo discreto por meio do software de linguagem de programação dinâmica DPL 9 (Syncopation, 2018).
A árvore de decisão binomial é recombinante, ou seja, as ramificações da árvore sempre voltam ao mesmo ponto. Ela inicia-se no instante t = 0 com o valor presente do projeto, VP0, a qual pode tomar as direções ascendente ou descendente, por meio dos fatores multiplicativos (u, d). No instante t = 1 o valor presente pode assumir dois valores distintos, sendo V+= uVP0, com probabilidade neutra ao risco p, se o movimento for de subida, ou 0V-= dVP, com probabilidade q, se o movimento for de descida. Este procedimento foi repetido até t = T (Copeland & Antikarov, 2001).
Conseguinte, o valor presente em uma árvore de decisão binomial foi calculado em cada nó da árvore, tratando cada passo separadamente e analisando de forma recursiva, ou seja, de trás para frente, se é ótimo ou não exercer a opção real.
O valor obtido no primeiro nó (t = 0) da árvore binomial de avaliação da opção é o valor presente do projeto com flexibilidade. Determinado este valor, o cálculo do valor da opção real (VOR) é dado pela diferença entre o valor presente com flexibilidade e o valor presente tradicional.
Com base no valor presente líquido proveniente do método tradicional de avaliação de investimentos (VPLTrad), e conhecendo o valor da opção do respectivo projeto, obtém-se o valor presente líquido expandido (VPLExp), descrito na Equação 10.
(10)3 Resultados e discussões
3.1 Avaliação econômico-financeira
As despesas de capital (CAPEX) contabilizadas no ano inicial do investimento foi de USD5.250.850,48, que ao ponderar as despesas operacionais (OPEX), depreciação e tributos pelo método tradicional de análise de investimentos, permitiu determinar que o valor presente do projeto de investimentos foi de USD11.528.885,16. No entanto, ao aplicar a simulação pelo método de Monte Carlo, constatou-se que este resultou no valor médio de USD10.441.373,14 e desvio padrão de USD4.631.601,68, corroborando a presença de volatilidade a ser sopesada no modelo (Figura 1).

3.2 Avaliação por Teoria das Opções Reais
Ressalta-se que ao contemplar as opções reais de um projeto de investimentos, a volatilidade torna-se um parâmetro crucial para a avaliação, pois a modelagem e a previsão adequada fazem com que se torne um parâmetro determinante do nível de risco que os investidores estão dispostos a aceitar durante o período do investimento (Gutiérrez, Calisto, & Salgado, 2017; González-Echeverri, Mora- Valencia, & Solano, 2015).
Pautado nesta condição, na Tabela 1 são apresentadas as diretrizes para a construção do modelo binomial, que consentiu a determinação do valor da opção, ou seja, a quantificação da flexibilidade gerencial ponderada e a respectiva probabilidade de executar a real opção analisada no estudo.

Na Figura 2 pode ser observada a árvore binomial para a avaliação da opção real de expansão considerada uma opção financeira americana de compra (call) do projeto de investimentos. Tal modelo propõe que a opção possa ser exercida no décimo ano de vida útil do projeto, concedendo ao investidor o direito de expandir ou não a capacidade produtiva da planta industrial.

Com a valoração da opção, o valor presente do projeto apresenta-se no nó referente ao Ano 1 (Figura 3). Nesta perspectiva, o valor presente do projeto obtido a partir da opção real incorporada foi de USD15.778.498,45, com desvio padrão de USD40.457.115,60, valor mínimo de USD32.007,80 e valor máximo de USD892.686.647,00. Assim, o valor da opção de expansão foi de USD4.249.613.34. Deste modo, o VPLExp foi de USD10.527.647,97.

Contudo, ressalta-se que uma opção real propicia ao investidor o direito, mas não a obrigação de tomar uma ação, ou seja, o investidor tem o direito de resguardar-se até que as condições futuras sejam seguras, para exercer a flexibilidade gerencial e consequentemente produzir resultados satisfatórios.
Na Figura 4 pode ser observada a faixa do valor presente esperado do projeto em função da volatilidade. À vista disso, quanto maior for a volatilidade do projeto de investimentos, maior será o valor esperado, por conseguinte, menor a probabilidade de execução da opção. Ao considerar a volatilidade calculada para o projeto, isto é, o valor base de 49,50%, a probabilidade objetiva de o investidor não executar a expansão é de 22%, logo se o valor base da volatilidade do projeto diminuir 5%, a probabilidade de não ser executada a expansão é de 16%.

4 Conclusões
A aplicação da Teoria das Opções Reais demonstrou suprir deficiências apresentadas pelos métodos tradicionais, por consentir aos tomadores de decisões, quantificar o valor adicional de um projeto, não identificado pelos métodos comumente empregados para análises de investimentos.
O exercício da opção real foi considerado viável economicamente por aumentar o valor de mercado da indústria processadora de laranja em 67%.
A probabilidade de o investidor realizar expansão da escala industrial no décimo ano foi de 78%.
O nível de incerteza do preço do frozen concentrated orange juice impactou no valor do projeto de investimentos e consequentemente no valor da opção de investir no futuro. e) A análise de sensibilidade evidenciou a influência da volatilidade sobre a probabilidade de execução da flexibilidade gerencial, ou seja, a decisão ótima da oportunidade de expansão.
Referencias
Assaf Neto, A., Lima, F. G., & Araújo, A. M. P. (2008). Uma proposta metodológica para o cálculo do custo de capital no Brasil. Revista de Administração, 43 (1), 72-83.
Baidya, T. K. N., & Castro, A. L. (2001). Convergência dos Modelos de árvores binomiais para avaliação de opções. Pesquisa operacional, 21 (1), 17-30.
Banco Central do Brasil. (2017). Conversão de Moedas. Disponível: http://www4.bcb.gov.br/pec/conversao/conversao.asp.
Boute, R., Demeulemeester, E., & Herroelen, W. (2004). A real options approach to project management. International Journal of Production Research, 42 (9), 1715-1725.
Brandão, L. E. T., Dyer, J. S., & Hahn, W. J. (2005). Using binomial decision trees to solve real-option valuation problems. Decision Analysis, 22 (2), 69-88.
Brandão, L. E. T., Dyer, J. S., & Hahn, W. J. (2012). Volatility estimation for stochastic project value models. European Journal of Operational Research, 220 (3), 642-648.
Ceseña, E. A. M., Mutale, J., & Rivas-Dávalos, F. (2013). Real options theory applied to electricity generation projects: A review. Renewable and Sustainable Energy Reviews, 19, 573-58.
Copeland, T., & Antikarov, V. (2001). Real options. New York: Texere.
Dias, M. A. G. (2014). Análise de investimentos com opções reais: teoria e prática com aplicações em petróleo e em outros setores. Rio de Janeiro: Editora Interciência.
Duarte, J. (2005). Métodos e técnicas de pesquisa em comunicação. São Paulo: Atlas.
Gil, A. C. (2010). Como elaborar projetos de pesquisa. São Paulo: Atlas.
Gomes, A. C. C., & Mól, A. L. R. (2013). Opções reais como ferramenta para análise de investimentos em tecnologia da informação. Sistema & Gestão, 8 (4), 318-332.
González-Echeverri, G., Mora-Valencia, A., & Solano, J. G. (2015). Opciones reales aplicadas en redes integradas de servicios de salud empleando diferentes métodos de estimación de la volatilidad. Estudios Gerenciales, 31, 287-298.
Gutiérrez, R. J., Calisto, E. O., & Salgado, O. G. (2017). Long-term effects of the asymmetry and persistence of the prediction of volatility: Evidence for the equity markets of Latin America. Contaduría y Administración, 62, 1081-1099.
Herath, H. S. B., & Park, C. S. (2002). Multi-stage capital investment opportunities as compound real options. The Engineering Economist, 47 (1), 1-27.
Hull, J. C. (2016). Opções, futuros e outros derivativos. Porto Alegre: Bookman.
Krychowski, C. (2007). Apport et limites des options réelles à la decision d’investissement stratégique: une étude appliquée dans le secteur des télécommunications. Tese de Doutorado, Ecole Des Hautes Etudes Commerciales, Paris, França.
Merton, R. C. (1973). Theory of rational option pricing. The Bell Journal of Economics and Management Science, 4 (1), 141-183.
Myers, S. C. (1977). Determinants of corporate borrowing. Journal of Financial Economics, 5 (2), 147-175.
Oliveira, R. J., & Pamplona, E. O. (2012). A volatilidade de projetos industriais para uso em análise de risco de investimentos. Gestão & Produção, 19 (2), 337-345.
Paddock, J., Siefel, D., & Smith, J. (1988). Option valuation of claims on real assets: the case of offshore petroleum leases. Quarterly Journal of Economics, 103 (3), 479-508.
Palisade Corporation. (2017). @Risk Versão 7.5.2. Newfield: Palisade Corporation.
Pindyck, R. S. (1993). Investments of Uncertain Costs. Journal of Financial Economics, 34, 53-76.
Samanez, C. P, Ferreira, L. R, & Nascimento, C. C. (2014). Avaliação da opção de troca de combustível no carro brasileiro flex: um estudo por região geográfica usando teoria de opções reais e simulação estocástica. Production, 24 (3), 628-643.
Securato, J. R., & Carrete, L. S. (2003). Aplicação do modelo binomial na formação de preço de títulos de dívida corporativa no Brasil. Administração em Diálogo, 5 (1), 95-106.
Simões, D., Ribeiro, J. P., Gouveia, P. R., & Santos, J. C. (2015). Economical and financial analysis of aviaries for the integration of broilers under conditions of risk. Ciência e Agrotecnologia, 39 (3), 240-247.
Syncopation. (2018). DPL Decision Programming Language. Release 9.00.11. Concord: Syncopation software.
Notas de autor