Dossier
Recepción: 01 Octubre 2019
Aprobación: 28 Octubre 2019
DOI: https://doi.org/10.7440/colombiaint103.2020.02
RESUMEN
Objetivo/contexto: este artículo estima el efecto de la diferenciación ideológica sobre el nivel de coordinación electoral en elecciones presidenciales en América Latina. La fragmentación de los sistemas de partidos depende en buena medida del nivel de coordinación electoral, la cual es afectada, de acuerdo con la literatura, por las reglas electorales y la heterogeneidad social. El artículo sostiene que es necesario considerar el impacto de factores políticos, como la diferenciación ideológica, sobre la coordinación electoral. Se argumenta que la diferenciación ideológica, en tanto atributo de la competencia programática, aumenta la capacidad de las élites políticas y de los votantes para coordinar sus decisiones de entrada y de voto, respectivamente.
Metodología: mediante modelos estadísticos, se muestra que aquellos sistemas que exhiben una mayor diferenciación ideológica, medida como polarización ponderada entre los agentes del sistema, presentan niveles más altos de coordinación electoral, lo que redunda en una menor fragmentación absoluta y efectiva, una mayor concentración del voto en los candidatos más fuertes y un menor nivel de votos desperdiciados.
Conclusiones: la diferenciación ideológica entre los partidos en competencia afecta significativamente los niveles de coordinación electoral, y este efecto es estable y robusto a controles institucionales y socioestructurales. Los sistemas de partidos programáticamente estructurados, y por tanto ideológicamente diferenciados, presentan mayor nivel de coordinación electoral que aquellos estructurados sobre apelaciones no programáticas (clientelares, personalistas).
Originalidad: La fragmentación ha sido abordada principalmente como el producto de los sistemas electorales y de la heterogeneidad social, o como una combinación de ambos. Sin embargo, este artículo muestra que, dado que la fragmentación depende de la capacidad de élites y votantes para coordinar sus decisiones de entrada y voto, esta también es afectada por factores estrictamente políticos, como el grado de diferenciación ideológica existente.
PALABRAS CLAVE: Diferenciación ideológica, coordinación electoral, elecciones presidenciales, América Latina, competencia programática.
ABSTRACT
Objective/context: This article estimates the effect of ideological differentiation on the level of electoral coordination in presidential elections in Latin America. The fragmentation of party systems depends largely on the level of electoral coordination, which is affected, according to the literature, by electoral rules and social heterogeneity. The article argues that it is necessary to consider the impact of political factors, such as ideological differentiation, on electoral coordination. It is argued that ideological differentiation, as an attribute of programmatic competence, increases the ability of political elites and voters to coordinate their entry and voting decisions, respectively.
Methodology: Through statistical models, it is shown that those systems that exhibit a greater ideological differentiation, measured as weighted polarization among the agents of the system, have higher levels of electoral coordination, resulting in a lower absolute and effective fragmentation, a greater concentration of the vote in the strongest candidates, and a lower level of wasted votes.
Conclusions: Ideological differentiation between competing parties significantly affects electoral coordination, and this effect is stable and robust to institutional and socio-structural controls. Programmatically structured party systems, and therefore ideologically differentiated, exhibits higher levels of electoral coordination than those structured on non-programmatic appeals (clientelism, personalism).
Originality: Fragmentation has been addressed primarily as the product of electoral systems and social heterogeneity, or a combination of both. However, this article shows that, since fragmentation depends on the ability of elites and voters to coordinate their entry and voting decisions, it is also affected by strictly political factors, such as the degree of existing ideological differentiation.
KEYWORDS: Ideological differentiation, electoral coordination, presidential elections, Latin America, programmatic competition.
RESUMO
Objetivo/contexto: este artigo estima o efeito da diferença ideológica sobre o nível de coordenação eleitoral em eleições presidenciais na América Latina. A fragmentação dos sistemas de partidos depende, em boa medida, do nível de coordenação eleitoral, a qual é afetada, de acordo com a literatura, pelas regras eleitorais e pela heterogeneidade social. Neste artigo, defende-se a necessidade de considerar o impacto de fatores políticos, como a diferença ideológica, sobre a coordenação eleitoral. Argumenta-se que a diferença ideológica, enquanto atributo da competição programática, aumenta a capacidade das elites políticas e dos votantes para coordenar suas decisões de entrada e de voto, respectivamente.
Metodologia: mediante modelos estatísticos, mostra-se que os sistemas que apresentam maior diferença ideológica, medida como polarização ponderada entre os agentes do sistema, demonstram níveis mais altos de coordenação eleitoral, o que redunda em menor fragmentação absoluta e efetiva, maior concentração do voto nos candidatos mais fortes e menor nível de votos desperdiçados.
Conclusões: a diferença ideológica entre os partidos em competição afeta significativamente os níveis de coordenação eleitoral, e esse efeito é estável e robusto a controles institucionais e socioestruturais. Os sistemas de partidos estruturados de forma programática e, portanto, ideologicamente diferenciados apresentam maior nível de coordenação eleitoral do que os estruturados sobre apelações não programáticas (clientelistas, personalistas).
Originalidade: a fragmentação vem sendo abordada principalmente como o produto dos sistemas eleitorais e da heterogeneidade social, ou como uma combinação de ambos. Contudo, este artigo mostra que, tendo em vista que a fragmentação depende da capacidade de elites e votantes para coordenar suas decisões de entrada e de voto, também é afetada por fatores estritamente políticos, como o grau de diferença ideológica existente.
PALAVRAS-CHAVE: Diferença ideológica, coordenação eleitoral, eleições presidenciais, América Latina, competição programática.
Introducción
¿Es posible que la forma en la que los partidos y candidatos se diferencian mutuamente incida en la capacidad de las élites políticas y los votantes para coordinar sus decisiones de entrada y de voto? Teniendo cuenta que los políticos pueden diferenciarse con base en distintos atributos, ¿es dado esperar un efecto sistemático cuando la diferenciación es de tipo ideológico? Este artículo analiza cómo la diferenciación ideológica, uno de los principales rasgos de la competencia programática, afecta los niveles de coordinación en elecciones presidenciales en América Latina entre 1993 y 2015. Se argumenta que la diferenciación ideológica, en contraposición a formas alternativas de diferenciación, facilita la coordinación electoral, tanto entre élites como entre votantes, a través de dos mecanismos. Por un lado, permite a las élites políticas coordinar sus decisiones de entrada (y de salida), conformando candidaturas focales a partir de retiros estratégicos. Por otro lado, permite a los votantes concentrar sus votos en los candidatos fuertes, ya que hace más visible las diferencias entre ellos. Como resultado, ambos mecanismos generan condiciones favorables para la coordinación electoral, dando lugar a mercados electorales menos fragmentados, más concentrados y con una menor cantidad de votos desperdiciados en candidaturas inviables.
Desde luego, el nivel de coordinación electoral no depende únicamente del nivel de diferenciación ideológica, sino de algunos otros factores adicionales. El más estudiado de todos es el sistema electoral. Las teorías institucionalistas explican el nivel de fragmentación a partir de los incentivos que las reglas electorales ejercen sobre los individuos (Cox 1997; Duverger 1954 [2002]; Rae 1967; Sartori 1986, 1997; Shugart y Carey 1992; Taagepera y Shugart 1989). Otros estudios, de tradición socioestructuralista, sostienen que la fragmentación depende decisivamente de la heterogeneidad social, de modo que sociedades más heterogéneas tendrán una mayor fragmentación política (Bartolini 2000; Bartolini y Mair 1990; Lipset y Rokkan 1967; Rokkan 1970 [2009]; Stoll 2013). Más recientemente, otros enfoques han consignado el carácter interactivo de las reglas electorales y la estructura social, de modo que, en última instancia, la capacidad de coordinación electoral de élites y votantes depende del nivel de heterogeneidad social (Amorim Neto y Cox 1997; Clark y Golder 2006; Jones 2004; Moser, Scheiner y Stoll 2018; Ordeshook y Shvetsova 1994; Stoll 2013). En esta línea, este artículo pretende contribuir a esta discusión al estudiar un factor que incide en el nivel de coordinación electoral y que no ha sido tenido en cuenta hasta aquí. La consideración de factores políticos, como el tipo de atributo que diferencia a las distintas opciones políticas, puede contribuir a explicar la variación sincrónica y diacrónica en aquellos casos en los cuales ambos factores parecen ser insuficientes. Por un lado, las instituciones, y en particular las reglas electorales, varían entre países, pero presentan pocos cambios dentro de un mismo país. Por otro lado, las características de la estructura social (como el nivel de heterogeneidad étnica o racial) son casi inelásticas dentro de un mismo país, pues su transformación se produce muy lentamente. Por tanto, es difícil explicar la variación en los niveles de coordinación electoral a partir de los dos factores canónicos que presenta la literatura.
Aun cuando la competencia programática no es omnipresente en América Latina, a partir del denominado “giro a la izquierda” no han sido pocos los países en donde el nivel de diferenciación ideológica ha aumentado considerablemente (como Venezuela, Bolivia, El Salvador y, más recientemente, Brasil) y en otros presenta niveles intermedios pero estables (los casos de Chile y Uruguay). En este contexto, la importancia de la ideología como estructuradora del voto ha tenido variación entre los países y a través del tiempo. La mirada convencional sobre América Latina muestra una región en la que la competencia programática, y por tanto la importancia de las señales ideológicas, se encuentran fuertemente limitadas por mecanismos de vinculación no programáticos, como el personalismo y el clientelismo. Sin embargo, más recientemente la literatura ha puesto en evidencia que dicho saber convencional necesita ser matizado, ya que la utilidad de la ideología y de la distinción izquierda-derecha se encuentra presente en varios sistemas latinoamericanos y, de hecho, constituye una fuente de información que los votantes crecientemente utilizan como un elemento de decisión del voto (Ruth 2016; Singer 2016; Zechmeister 2010).1 Este artículo pretende contribuir también a esclarecer qué efectos sistémicos cabe esperar de incrementos en los niveles de diferenciación ideológica.
El texto se organiza del siguiente modo. La primera sección presenta el argumento teórico, que relaciona el nivel de diferenciación ideológica, propio de la competencia programática, con el nivel de coordinación electoral. La segunda sección expone los datos utilizados en las pruebas de hipótesis, en particular la operacionalización de la variable independiente, y de los indicadores de las distintas manifestaciones empíricas de la coordinación electoral, entre ellos uno original para medir la eficiencia del mercado electoral a partir del nivel de votos desperdiciados. La tercera sección presenta los modelos estadísticos estimados para la prueba de las hipótesis explicitadas y una discusión de los resultados reportados. Las conclusiones resumen los principales hallazgos de la investigación y sitúan el aporte que pretende realizar este trabajo a la discusión sobre la fragmentación de los sistemas de partidos, dejando algunas consideraciones para futuras investigaciones en la materia.
1. Competencia Programática, Diferenciación Ideológica y Coordinación Electoral
De acuerdo con la literatura, existen básicamente tres tipos ideales de vínculos (linkages) que relacionan a los partidos con el electorado: clientelar, personalista y programático (Kitschelt 2000; Kitschelt y Wilkinson 2007). Pese a que la elaboración teórica de Kitschelt parte de la construcción de tipos ideales, en la práctica la literatura admite que se presentan distintas combinaciones de vínculos clientelares, programáticos y personalistas (Kitschelt 2000; Kitschelt et al. 2010; Luna 2014). Como en toda combinación, resulta importante poder identificar en qué magnitud se encuentra presente cada tipo de vínculo, pues si bien los tres están en un portafolio que los políticos utilizan para movilizar y persuadir al electorado, no es menos cierto que alguno puede predominar sobre el resto, según el caso. En este sentido, la existencia de vínculos mixtos no excluye la prevalencia de un cierto tipo sobre los otros, lo que da lugar a sistemas más programáticos, o más clientelares o personalistas, aun habiendo elementos comunes a los tres tipos ideales. En línea con la literatura, este artículo pretende avanzar en la identificación y medición del efecto de un componente básico de los vínculos programáticos, que es la diferenciación ideológica, sobre el nivel de coordinación electoral.
Una forma de entender los linkages es concebirlos como formas alternativas de diferenciación (figura 1). Los actores políticos necesitan diferenciarse cuando compiten electoralmente, y pueden hacerlo apelando a alguna de estas tres modalidades o a una combinación de estas. La competencia programática requiere la prevalencia de diferenciación de tipo ideológica por sobre otras formas alternativas y eso conllevará necesariamente distancia entre los competidores relevantes en el eje izquierda-derecha, la cual es capturada mediante indicadores de polarización ideológica ampliamente utilizados en la literatura (Dalton 2008; para América Latina, ver Moraes 2015; Ruth 2016; Singer 2016). En ese sentido, cuando prevalece la competencia programática, es esperable que la localización de los partidos y candidatos en el espacio ideológico sea también diferenciable, lo cual redunda en una distancia entre los competidores. Por ello mismo, la modalidad programática de competencia supone polarización ideológica a nivel del sistema (Dalton 2008).2 Pese a que en regímenes democráticos la rendición de cuentas electoral supone que los partidos se diferencian por sus posicionamientos programáticos (traducibles en posiciones ideológicas), no siempre tal diferenciación se da sobre la base de apelaciones programáticas o ideológicas, sino que en ocasiones ocurre a partir de atributos no programáticos, como se ha señalado en el caso de los vínculos mixtos.3 Según señala la figura 1, la diferenciación no programática supone la apelación a elementos no programáticos, ya sean atributos personales de los líderes y candidatos o bien la utilización de redes territoriales para la distribución de recursos a cambio de apoyo político. En el caso de que los vínculos no programáticos prevalezcan, los partidos y candidatos presentan posiciones ambiguas o no conocidas por los votantes, por lo que estos no tendrán suficiente información para votar con base en sus preferencias de política pública, lo que genera racionalidades alternativas de decisión (Ruth 2016; Singer 2016). En estos casos, los votantes seleccionarán gobernantes a partir de consideraciones no programáticas, tales como la personalidad de los líderes o los bienes y servicios particularistas que estos sean capaces de distribuir, o distintas combinaciones de ambas (Kitschelt 2000).
Las diversas modalidades de competencia o mecanismos de vinculación comparten la necesidad de diferenciación, pero se distinguen en función de su tipo. La relación que propone este trabajo entre tipos de diferenciación y modalidades de competencia se encuentra resumida en la figura 1. En presencia de vínculos personalistas, los partidos se diferencian por el carisma de sus líderes y candidatos (o según su trayectoria o capacidad). Mientras que bajo vínculos particularistas lo hacen en función de su capacidad para acceder a recursos públicos, y de la densidad y alcance de sus redes territoriales. Finalmente, la modalidad de competencia programática implica que los partidos se diferencian en función de sus posicionamientos ideológicos, que resumen coherentemente las preferencias en materia de políticas públicas.

Tal como es entendida en este trabajo, la diferenciación ideológica puede definirse como la medida en la que los competidores relevantes en un sistema político se distinguen mutuamente a partir de sus decisiones de localización en el espacio ideológico. El concepto constituye un atributo sistémico, ya que es el resultado agregado de decisiones competitivas descentralizadas que los partidos llevan a cabo cuando elaboran sus estrategias de movilización y persuasión del electorado (Kitschelt et al. 2010). Los partidos políticos (y los candidatos) toman decisiones de localización en un espacio político que, a los efectos prácticos, puede ser condensado en una única dimensión, que es la ideológica. Estas decisiones de localización funcionan como dispositivos de señalización que los políticos utilizan para informar al electorado acerca de sus preferencias de políticas públicas (Kitschelt y Kselman 2012), y a su vez reducen el costo de la información para los electores (Downs 1957).
La diferenciación ideológica facilita la coordinación tanto del lado de la oferta como del de la demanda. En primer lugar, reduce el número de candidatos que compiten en el mercado electoral, ya sea porque están ideológicamente motivados, en cuyo caso el retiro de uno puede favorecer el triunfo de otro similar (Fey 2007), o bien porque las condiciones de diferenciación ideológica hacen que exista espacio para una transacción de retiros a cambio de compensaciones (Luján 2017). En segundo lugar, favorece la coordinación de las decisiones de voto, permitiendo a los votantes concentrar sus votos en unos pocos candidatos, ya que ayuda a atenuar el dilema de acción colectiva en el que se encuentran mediante la lógica de un punto focal (Schelling 1980), que permite coordinar a los electores de similar preferencia ideológica en uno de los candidatos afines a dicha preferencia. La atenuación del dilema de acción colectiva de los votantes (o de una parte de ellos) contribuye a que estos concentren sus votos en unos pocos candidatos viables, de modo que la fragmentación efectiva puede ser considerablemente menor a la fragmentación absoluta en el caso de que muchos candidatos hubiesen entrado en la competencia. Por ejemplo, si varios candidatos izquierdistas decidieron su entrada, un votante de izquierda se encuentra en un dilema de acción colectiva al tener que decidir a cuál de ellos apoyar y a cuáles abandonar. En ese caso, un mercado electoral programáticamente estructurado contribuirá a reducir la magnitud del dilema, pues hará posible identificar las candidaturas focales, y de ese modo volverá más fácil para los votantes saber cuál es el candidato ideológicamente afín al cual apoyar y a cuáles abandonar. En ese sentido, la diferenciación ideológica funciona como un dispositivo externo al juego de coordinación, que permite resolverlo al facilitar a los votantes coordinar alrededor de los candidatos focales. Presumiblemente, los electores de izquierda coordinarán en el candidato focal de izquierda con más chances y los de derecha harán lo propio. La focalidad puede estar dada tanto por el conocimiento común (common knowledge) de cuáles candidaturas son viables y cuáles no, o bien (y adicionalmente) por la claridad de las señales ideológicas que emiten los competidores. Al igual que en otros modelos de coordinación, el requisito informacional para que se produzca el resultado es alto.4 En efecto, si los votantes no tuviesen información acerca de cuál de los candidatos izquierdistas tiene más chances de ganar, el efecto se producirá solo parcialmente. Sin embargo, aun frente a esta situación, las condiciones de competencia programática suponen que los candidatos utilizan las señales ideológicas como principal estrategia de persuasión y movilización, por lo que aquellos cuyas señales sean más salientes podrán lograr con mayor probabilidad convertirse en focales. Como sostenía Downs (1957), el rol de la ideología es particularmente importante en un contexto de información incompleta.
Tomando en conjunto los efectos sobre la coordinación de las decisiones de entrada y voto, es posible derivar las siguientes hipótesis, que serán puestas a prueba en el tercer apartado. Cada una plantea el efecto esperado de la diferenciación ideológica sobre distintos aspectos de la coordinación electoral, que son desarrollados en mayor profundidad en la siguiente sección.
Hipótesis 1: cuanto mayor sea la diferenciación ideológica, menor será la entrada de candidatos a la competencia presidencial.
Hipótesis 2: mayores niveles de diferenciación ideológica estarán asociados a un menor número efectivo de candidatos presidenciales.
Hipótesis 3: dado un nivel de entrada de candidatos, la capacidad de los votantes para coordinar sus votos es facilitada por la competencia programática, de modo que cuanto mayor sea la diferenciación ideológica, mayor será la concentración del voto en pocos candidatos viables.
Hipótesis 4: mayores niveles de diferenciación ideológica estarán asociados a mercados electorales más eficientes y, por tanto, a una menor cantidad de votos desperdiciados.
2. Métodos y Datos
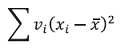
Para las pruebas de hipótesis que se presentan en este artículo, se han utilizado datos de distintas fuentes y se han elaborado series originales de aquellas variables para las cuales no existían datos disponibles, o bien estos eran incompletos (ver tabla 1).5 Como ya fue señalado, el nivel de diferenciación ideológica entre los actores del sistema se refleja en distancia o polarización, en la medida en que los partidos y candidatos se diferencian recíprocamente a partir de sus ubicaciones en el espacio político6 (Dalton 2008; Sani y Sartori 1983). Cuando los partidos compiten sobre la base de vínculos clientelares o personalistas, la diferenciación ideológica debería ser menor, y entonces tendrían que existir bajos niveles de polarización ideológica (Kitschelt 2000; Ruth 2016). Desde el punto de vista empírico, el indicador más preciso y confiable para establecer comparaciones válidas entre países es un índice ponderado de polarización ideológica como el elaborado por Taylor y Herman (1971), en el cual las distancias entre los partidos del sistema se ponderan en función de su peso electoral. Este índice ha sido utilizado en buena parte de la literatura sobre sistemas de partidos, incluida América Latina (Moraes 2015; Ruth 2016; Singer 2016). El índice se calcula del siguiente modo:

donde v i es la proporción de votos obtenida por el partido iésimo, 𝑥 𝑖 es la ubicación del partido iésimo en el eje ideológico y 𝑥 es la media general. De este modo, valores mayores en el índice denotan una mayor distancia promedio ponderada entre los partidos que conforman el sistema. Para realizar el cálculo, se tomó la ubicación ideológica de los legisladores encuestados por la Encuesta de Élites Parlamentarias (Observatorio de Élites Parlamentarias en América Latina) y se ponderó a cada partido por su desempeño en la elección legislativa correspondiente al periodo legislativo en que fue llevada a cabo la encuesta.

En relación con la variable dependiente, existen distintas formas de estimar el nivel de coordinación electoral. Desde la aparición del indicador creado por Laakso y Taagepera (1979), el número efectivo de partidos es considerado la medida apropiada para medir la fragmentación de los sistemas de partidos, al ponderar a las unidades partidarias por su peso electoral o legislativo. Sin embargo, la fragmentación efectiva está afectada tanto por las decisiones de entrada como por las decisiones de voto, y por ello no es una buena medida de fragmentación de la oferta. En consecuencia, a los efectos de evaluar empíricamente nuestro argumento, utilizaremos tanto la fragmentación absoluta (número de candidatos que compiten por la presidencia) como efectiva (número efectivo de candidatos presidenciales).
El número de candidatos presidenciales (NTCp) es una muestra del nivel de entrada en cada uno de los mercados electorales analizados (Luján 2017). En este caso también existe una importante variación entre los países y, dentro de estos, a través del periodo analizado, en el que han presentado, en promedio, nueve candidatos presidenciales (tabla 1). Una vez que se han tomado las decisiones de entrada, los votantes pueden convalidar esa fragmentación dispersando sus votos entre todos los candidatos o bien pueden concentrar sus votos en unos pocos candidatos viables. Para medir la fragmentación efectiva de la competencia presidencial, se utilizará el número efectivo de candidatos presidenciales (NECp).
Alternativamente, para medir únicamente la capacidad de los votantes de coordinar sus decisiones de voto se puede utilizar el cociente entre los votos obtenidos por el candidato que terminó en tercer lugar (segundo perdedor) y el que finalizó segundo (primer perdedor) en la elección presidencial. Este indicador es propuesto por Cox (1997) y lo denomina second/first ratio:

El SF ratio varía entre 0 y 1. En el valor 0, la concentración del voto en los dos candidatos principales es total, mientras que a medida que el SF ratio se acerca a 1, la concentración del voto en los dos candidatos principales se vuelve cada vez menor. Como puede observarse en el tabla 1, el SF ratio adquiere una media cercana a 0,5, lo cual implica que los terceros tuvieron, en promedio, votaciones de aproximadamente la mitad que los segundos.7
A partir del trabajo seminal de Duverger (1954[2002]), muchos investigadores han abordado la temática de los votos desperdiciados, lo que ha dado lugar a algunas definiciones y conceptualizaciones. Fisher (1973) examina evidencia sobre la “tesis” de los votos desperdiciados y sostiene que el concepto tiene rigor lógico y amplia aceptación, aunque muy poca evidencia empírica que lo respalde. Asimismo, Tavits y Annus (2006) estudian cómo afecta la experiencia democrática previa de los ciudadanos la probabilidad de que emitan un voto desperdiciado. Algunos estudios han analizado los determinantes de los votos desperdiciados (Anckar 1997; Hall y Snyder 2015). Anckar (1997) define un voto desperdiciado como todo aquel que sea emitido en favor de un partido que no accede a ninguna banca, con lo cual el concepto queda acotado a elecciones legislativas. Endersby y Towle (2014) estudian la forma en la que sistemas electorales preferenciales afectan el nivel de votos desperdiciados en una elección. Por su parte, Cox (1997) considera que también son votos desperdiciados aquellos que son emitidos en favor de un candidato que no los necesita para obtener el cargo. Esto implica que, si un candidato resultó electo por una diferencia mayor a la que hubiese necesitado, los votos que le “sobran” también son desperdiciados. Bajo esta óptica, habría dos maneras de emitir un voto desperdiciado: votar por un perdedor seguro y votar por un ganador seguro (Cox 1997; Endersby y Towle 2014), razón por la cual los votantes racionales buscarán evitar emitir un voto desperdiciado apoyando a aquellos candidatos que dependan de cambios marginales para resultar electos.
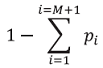
Dado que el nivel de votos desperdiciados puede variar de elección a elección y de sistema a sistema, se procedió a elaborar un indicador que estima la proporción de votos que recae sobre candidatos no viables, es decir, aquellos que superan el límite superior de capacidad de carga (carrying capacity) del sistema, formalizado por la regla de M + 1 (Cox 1997). El índice de votos desperdiciados (IVD) mide la proporción de votos que obtienen los candidatos que exceden el equilibrio duvergeriano -es decir, aquellos que sobrepasan el límite superior de candidatos viables, M + 1-. El IVD se calcula como

donde M es el tamaño de la circunscripción,8 y p es la proporción de votos que obtiene el iésimo candidato. El índice varía entre 0, cuando no existen votos desperdiciados, y 1, cuando todos los votos son desperdiciados, lo cual obviamente es solo una situación teórica. En los hechos, el nivel de votos desperdiciados variará entre 0 y 1, existiendo en valores cercanos a 0 pocos votos desperdiciados y, por ende, mercados electorales eficientes.
Como puede observarse en el figura 2, existe una importante variación en los cuatro indicadores utilizados para medir el nivel de coordinación electoral en elecciones presidenciales en América Latina. Esta variación, a su vez, no sigue el mismo patrón entre los cuatro indicadores, lo que muestra que, si bien están relacionados con distintos aspectos de la coordinación electoral, miden distintos fenómenos, según se mire el lado de la oferta o de la demanda del mercado electoral.
Como se señaló en la introducción, existen otros factores que pueden afectar la coordinación, por lo que es necesario tomarlos en cuenta en los modelos estimados. En primer lugar, de la tradición explicativa institucionalista es posible derivar una hipótesis que relacione el nivel de permisividad de la regla de elección y el nivel de coordinación electoral. En términos generales, bajo la regla de mayoría simple los incentivos para la coordinación son más altos que bajo sistemas de mayoría absoluta o mayoría calificada que pueden requerir de una segunda vuelta entre los candidatos más votados, pues hay dos ganadores en la primera vuelta, y por tanto es esperable un mayor nivel de fragmentación (Cox 1997; Jones 1994, 1999). La variable regla electoral está codificada como 1 para mayoría simple en la elección presidencial, 2 para mayoría calificada o con umbral reducido y 3 para mayoría absoluta. En segundo lugar, la tradición socioestructuralista observa el efecto causal de la estructura social sobre la fragmentación. A partir del índice de fraccionalización social desarrollado por Alesina et al. (2003), se espera que esta variable esté negativamente asociada con el nivel de coordinación electoral, pues a mayor heterogeneidad social debería esperarse una mayor fragmentación, absoluta y efectiva, y mayores SF ratio e IVD.
Una serie de estudios han avanzado en la integración de las explicaciones institucionalistas y socioestructuralistas (Amorim Neto y Cox 1997; Clark y Golder 2006; Jones 2004; Moser, Scheiner y Stoll 2018; Ordeshook y Shvetsova 1994; Stoll 2013), para lo cual se incluirá como control la interacción entre la regla electoral y la heterogeneidad social. Esta variable de control solo será considerada para el modelo con variable dependiente NECp, en línea con la literatura que plantea la hipótesis interactiva.
Además de los controles anteriores, los modelos estimados en la siguiente sección reportarán otros controles cuyo efecto ha sido teorizado o logra inferirse de forma razonable. En primer lugar, algunos autores han sostenido que el grado de federalismo puede afectar el nivel de coordinación, en la medida en que es posible que partidos regionales fuertes lancen candidaturas presidenciales solo para mantener a sus votantes en sus distritos (Cox 1997; Hicken 2002; Johnston y Cutler 2009). Se espera entonces una asociación positiva entre el grado de federalismo, medido a partir del indicador ordinal desarrollado por Gerring y Thacker (2004), que va de 1 a 5 de menor a mayor grado de federalismo y la fragmentación. Por otra parte, la fragmentación legislativa y la concurrencia con elecciones presidenciales afectarían la fragmentación en elecciones presidenciales, pues algunos partidos podrían presentar candidaturas presidenciales persiguiendo el objetivo de maximizar el número de escaños legislativos obtenidos (Cox 1997; Golder 2006; Mainwaring y Shugart 1997; Shugart y Carey 1992). El número efectivo de partidos legislativos debería estar positivamente asociado con la fragmentación a nivel presidencial. Finalmente, la presencia de incumbents que buscan su reelección ha sido postulada como un factor reductor de la fragmentación en la competencia presidencial (Jones 1999, 2018), por lo cual la variable dummy reelección debería estar negativamente asociada a la fragmentación. Por último, cabe esperar que la existencia de elecciones primarias mandatadas por ley para definir las candidaturas presidenciales también reduzca la fragmentación, en la medida en que podría poner límites a la nominación de candidatos presidenciales débiles que no logren sobrepasar dicha instancia. Para estimar este efecto, se incluye la variable dummy primarias que toma el valor 1 cuando existen elecciones primarias mandatadas por ley y 0 en caso contrario (ver tabla 1).

3. Resultados y Discusión
En función de la estructura de los datos (sección cruzada en series de tiempo) y de los distintos indicadores utilizados como variable dependiente en los modelos, se han estimado modelos de datos agrupados, de regresión binomial negativa truncada en 0 en el caso del modelo 1, por tratarse de una variable de conteo (enteros positivos). Para el resto de los modelos, se estimaron regresiones lineales de mínimos cuadrados.9

La primera hipótesis propuesta relaciona la diferenciación ideológica con la conformación de la oferta electoral, esto es, con la cantidad de partidos o candidatos que ingresan en la competencia. El modelo 1 del tabla 2 muestra que el efecto de la polarización ideológica, medida a través de indicador de Taylor y Herman (1971), resulta significativo y el signo es el esperado en la hipótesis 1: cuanto mayor es la diferenciación ideológica en el mercado electoral, menor es la entrada de candidatos presidenciales. Asimismo, la incidencia de la regla electoral y la heterogeneidad social presentan efectos estadísticamente significativos (aunque a un menor nivel de confianza) y signos también consistentes con la expectativa de las hipótesis de control propuestas. A mayor heterogeneidad social, es esperable un mayor número de candidatos que compiten por la presidencia y lo mismo sucede con una mayor permisividad de la regla de elección presidencial. Para interpretar los resultados de manera apropiada, y al tratarse de una regresión no lineal, se puede acudir a la tasa de incidencia (incidence rate ratio), mediante la cual se observa que, manteniendo constantes el resto de las variables del modelo, un aumento en el nivel de polarización ideológica de un punto en el índice de Taylor y Herman (1971) se asocia en promedio a una reducción en el número de candidatos presidenciales de un 11 % (una tasa de incidencia de 0,89). Asimismo, teniendo en cuenta los valores predichos (predicted values), se observa que, para un nivel de polarización ideológica en el mínimo de nuestros datos (0,032 en el índice de Taylor y Herman, correspondiente a República Dominicana en 2004), se asocia en promedio a 11,10 candidatos presidenciales; mientras que en el máximo de diferenciación ideológica (10,998 en el índice de Taylor y Herman, correspondiente a El Salvador 2009) se asocia a 1,62 candidatos presidenciales. Si consideramos el recorrido completo de la polarización ideológica, manteniendo constantes el resto de las variables del modelo, la reducción es de más de 9 candidatos presidenciales en promedio. Entre el resto de las variables de control incluidas en el modelo 1, solo la existencia de elecciones primarias para la selección de candidatos presidenciales tiene un efecto estadísticamente significativo, con el signo esperado, lo cual señala que la existencia de primarias contribuye a reducir el número de candidatos presidenciales.
Los resultados reportados por el modelo 1 permiten respaldar la primera hipótesis de este trabajo: los mercados electorales programáticamente estructurados (y por tanto ideológicamente diferenciados) están asociados a una menor entrada de candidatos presidenciales. La evidencia muestra que esta asociación es robusta a la inclusión de múltiples controles, en particular aquellos derivados de explicaciones institucionalistas y socioestructuralistas.
Ahora bien, dado un nivel de fragmentación de la entrada, los votantes pueden validarla o no, lo cual dará como resultado distintos niveles de fragmentación efectiva. A los efectos de evaluar la hipótesis 2, se procedió a estimar el modelo 2, en el cual la variable dependiente es el número efectivo de candidatos presidenciales (NECp), el indicador más utilizado en los estudios sobre coordinación electoral y fragmentación. Como se observa, la diferenciación ideológica presenta también un coeficiente negativo con el NECp y estadísticamente significativo. En concreto, por cada punto adicional en el índice de polarización ideológica ponderada, el número efectivo de candidatos presidenciales disminuye en promedio en 0,10 unidades, manteniendo constantes en su media al resto de las variables. Mientras, la heterogeneidad social tiene un impacto positivo sobre la fragmentación efectiva y también estadísticamente significativa. Sociedades más heterogéneas tienden a presentar un mayor número efectivo de candidatos presidenciales, a razón de 1,85 candidatos efectivos en promedio por cada punto adicional en el índice de fraccionalización social de Alesina et al. (2003). A su vez, y a diferencia de una gran cantidad de estudios que muestran una asociación entre la regla electoral y la fragmentación efectiva, nuestros resultados no reportan en este caso efectos significativos. Del resto de los controles incluidos en el modelo 2, se puede observar que la fragmentación legislativa está positivamente asociada al número efectivo de candidatos presidenciales y que la presencia de presidentes en busca de la reelección tiene un efecto estadísticamente significativo, en línea con lo reportado por estudios previos (Jones 1999 y 2018).
El modelo 2a busca determinar el impacto de la interacción entre la heterogeneidad social y la regla electoral, como sugiere una parte de la literatura señalada. Según puede observarse, el término de interacción no alcanza significación estadística.10 Este resultado permite cuestionar la hipótesis interactiva, al menos para el conjunto de elecciones aquí consideradas, al tiempo que es consistente con otros estudios que no encuentran evidencia que respalde dicha hipótesis en elecciones presidenciales (Jones 2004). Adicionalmente, la inclusión de la interacción conlleva que la heterogeneidad social como término independiente pierda significación estadística. Mientras, la diferenciación ideológica conserva, en comparación con el modelo 2, tanto el nivel de significación como el signo y el tamaño del coeficiente. Esto implica que, aun controlando por las tres hipótesis alternativas al mismo tiempo (regla electoral, heterogeneidad social y la interacción entre ambas), la relación entre la diferenciación ideológica y la fragmentación efectiva es robusta y estable.
El modelo 3 de la tabla 2 estima el efecto de la diferenciación ideológica sobre la capacidad de los votantes de concentrar sus decisiones de voto a partir del SF ratio. Como puede observarse, la diferenciación ideológica tiene un efecto negativo y estadísticamente significativo sobre el SF ratio y, por ende, un efecto positivo sobre la concentración del voto, tal como postula la hipótesis 3. Específicamente, un incremento de un punto en el índice de polarización ideológica ponderada se asocia con una reducción de 3,7% en el SF ratio. Por otra parte, la heterogeneidad social muestra un efecto positivo y estadísticamente significativo, lo que indica una menor concentración del voto en aquellas sociedades más heterogéneas, lo cual es consistente con la expectativa teórica sobre esta variable. Entre las variables de control, solo la fragmentación legislativa adquiere significación estadística en este modelo.
Por último, para evaluar la hipótesis 4 se estimó el modelo 4 utilizando el índice de votos desperdiciados (IVD) como variable dependiente. Se observa que la diferenciación ideológica está asociada a un menor nivel de votos desperdiciados y esta asociación es estadísticamente significativa. Un aumento de un punto en el índice de polarización ideológica se asocia a una reducción de algo más del 1,3 % en el IVD. Asimismo, la heterogeneidad social también alcanza significación estadística, con el signo esperado. Específicamente, un aumento de un punto en el índice de fraccionalización social implica en promedio un aumento de casi un 17 % en el IVD. Esto quiere decir que sociedades más heterogéneas tienen mercados electorales más ineficientes, precisamente porque la presencia de grupos sociales diferenciados (clivajes) vuelve inelástico el mercado electoral. En otros términos, en sociedades heterogéneas entrarán más candidatos presidenciales que los que entrarían en condiciones de homogeneidad social, y esto vuelve particularmente difícil que la concentración del voto sea suficiente para eliminar o reducir sustancialmente el nivel de votos desperdiciados. De los controles adicionales, la fragmentación legislativa tiene un efecto estadísticamente significativo y positivo, lo cual es perfectamente razonable, pues implica que una mayor fragmentación legislativa introduce una ineficiencia en el mercado electoral presidencial. Lo anterior ofrece respaldo empírico a la idea de que algunos partidos presentan candidatos presidenciales no viables (lo cual incrementa la posibilidad de votos desperdiciados en dicho nivel) solo para mejorar las oportunidades de obtener representación legislativa (Jones 1999).
El figura 3 muestra los coeficientes estandarizados de los modelos básicos presentados en el tabla 2. Se observa que el impacto de la diferenciación ideológica es el esperado en las hipótesis propuestas, en la medida en que mayores niveles de diferenciación están asociados a mercados electorales con un nivel más alto de coordinación electoral, es decir, menos fragmentados, más concentrados y eficientes. Este efecto se refleja en que los intervalos de confianza (95 %) del estimador puntual de los distintos modelos nunca presentan valores positivos.


El figura 4 muestra los efectos marginales de la diferenciación ideológica sobre la coordinación electoral, medida de acuerdo con las cuatro variables dependientes utilizadas. Como se observa, el efecto de la diferenciación ideológica sobre la coordinación electoral es apreciable, independientemente del indicador que se considere. La diferenciación ideológica reporta información sobre un rasgo sistémico que mejora las perspectivas de coordinación electoral. Dicho de otro modo, los mercados electorales programáticamente estructurados, y por tanto ideológicamente diferenciados, presentan un mayor nivel de coordinación electoral y son, entonces, menos fragmentados, más concentrados y más eficientes. Del figura 4 se deriva que el efecto sobre la coordinación de la oferta electoral, es decir, sobre el número de candidatos presidenciales, implica pasar de una oferta de más de 10 candidatos, para el mínimo de diferenciación ideológica, a apenas 2, en el máximo. El efecto sobre el lado de la demanda, esto es, sobre la fragmentación efectiva, implica una reducción de la magnitud de un candidato efectivo entre el máximo y el mínimo de diferenciación ideológica. Esto significa que, dada una fragmentación de la oferta, los votantes son capaces de coordinar sus decisiones de voto con mayor facilidad en mercados electorales programáticamente estructurados. El efecto sobre la concentración del voto sigue un patrón similar: el SF ratio es en promedio de 0,55 para el mínimo de diferenciación ideológica, mientras que es menor a 0,2 en el máximo. Esto implica que los mercados electorales no programáticos suelen presentar fallos de coordinación en mayor medida que los programáticos, y por ello suelen encontrarse con equilibrios no duvergerianos. Finalmente, el efecto de la diferenciación ideológica sobre el nivel de votos desperdiciados también es considerable. En el mínimo de diferenciación ideológica, más del 15 % de los votos son desperdiciados en candidaturas inviables, mientras que en el máximo apenas un 2 % de los votos son desperdiciados en promedio. Esto quiere decir que los mercados electorales programáticamente estructurados son más eficientes que aquellos estructurados con base en otros mecanismos, como el personalismo o el particularismo.
En conjunto, los resultados reportados permiten sostener que, más allá del efecto de las reglas electorales y de la estructura social, el nivel de coordinación electoral de un sistema de partidos depende en alguna medida de rasgos específicamente políticos, como es el tipo de competencia que predomina en el sistema. Dado que el tipo de competencia es un rasgo sistémico que depende de decisiones descentralizadas de los agentes, las condiciones pueden variar de un país a otro, y de un periodo a otro. Por esa razón, complementar los enfoques institucionales y socioestructurales constituye el propósito de esta investigación.
Conclusiones
Desde la consolidación de las democracias de la tercera ola, los sistemas políticos latinoamericanos se han estructurado en función de la competencia por la presidencia. Durante el periodo analizado en este trabajo, países como Ecuador, Perú, Guatemala o Bolivia (hasta el año 2005) han exhibido sistemáticamente altos niveles de fragmentación en la competencia por el principal cargo de gobierno. En estos casos, los mercados electorales presidenciales han presentado una gran cantidad de votos desperdiciados en candidaturas inviables, que superan la capacidad de carga del sistema y que, por lo tanto, reflejan la incapacidad de las élites partidarias y de los ciudadanos para coordinar sus decisiones de entrada y de voto. Este fenómeno ha dado lugar a una serie de problemas que afectan el desempeño de democracias presidencialistas: la existencia de presidentes débiles políticamente o que no gozan de un respaldo popular suficiente para sostener su gestión de gobierno, la irrupción de outsiders, la falta de identificabilidad y la afectación del proceso de rendición de cuentas. Este artículo se ha abocado a poner a prueba el argumento teórico propuesto a partir de una serie de hipótesis que vinculan el nivel de diferenciación ideológica con las distintas dimensiones de la coordinación en los mercados electorales presidenciales. Los resultados presentados permiten arribar a algunas conclusiones que pretenden hacer un aporte al estudio comparado de esta temática.
En primer lugar, la asociación entre el nivel de diferenciación ideológica y coordinación electoral recibe respaldo empírico, tanto sobre el lado de la oferta como sobre el lado de la demanda del mercado electoral. En ese sentido, la incorporación de la diferenciación ideológica como variable explicativa permite complementar las explicaciones disponibles. La diferenciación ideológica ejerce un efecto significativo sobre la coordinación electoral, y por tanto sobre la fragmentación de los sistemas de partidos en democracias presidencialistas. Esta asociación es robusta a distintas formas de medir la coordinación, sea a través de la fragmentación de la oferta, de la fragmentación efectiva, de la concentración del voto y del nivel de votos desperdiciados.
En segundo lugar, y en línea con estudios recientes, este trabajo aporta evidencia acerca de la relevancia de la polarización ideológica como variable sistémica que afecta el comportamiento tanto de los partidos como de los votantes (Moraes 2015; Ruth 2016; Singer 2016). Dentro de ciertos niveles, la polarización ideológica tiene efectos positivos sobre los sistemas de partidos. A su vez, la evidencia muestra la importancia de la diferenciación programática para la estructuración de los sistemas de partidos y para la propia supervivencia de los partidos políticos, en línea con los trabajos de Lupu (2014, 2016). Los mercados electorales programáticamente estructurados son más eficientes que aquellos en los que predominan los vínculos no programáticos cuando consideramos el nivel de votos desperdiciados. Este efecto de la polarización ideológica tendría consecuencias positivas sobre la identificabilidad de los agentes políticos y, así, sobre la rendición de cuentas y la calidad de la representación. Pese a esto, también es cierto que una excesiva polarización ideológica puede inducir a conflictos sociales y políticos, y eventualmente a quiebres democráticos, como señaló oportunamente Linz (1978). En todo caso, el propósito de este trabajo fue hallar los efectos de la diferenciación ideológica sobre la coordinación electoral, antes que enfocarse en sus consecuencias sobre la agitación social y la estabilidad de la democracia.
En tercer lugar, la consideración de la diferenciación ideológica como factor explicativo permite dar una respuesta a la intrigante cuestión de la variación en los niveles de fragmentación y eficiencia en presencia de reglas electorales y estructuras sociales constantes, tal como fue planteado al inicio. La heterogeneidad social es por definición una variable inelástica dentro de un país, al menos en el corto plazo. Algo similar puede decirse de las reglas electorales, si bien han existido importantes reformas institucionales durante el periodo bajo análisis. En cambio, los niveles de diferenciación ideológica pueden variar no solo entre países (como lo hace la heterogeneidad social), sino también dentro de los países y en periodos relativamente cortos, pues constituye un resultado agregado de decisiones descentralizadas que se derivan de la agencia política. Es por esa razón que la variación diacrónica no se explica por la variación de factores que son relativamente constantes, sino por los cambios en los niveles de diferenciación ideológica y, más genéricamente, de las modalidades de competencia que prevalezcan en el sistema.
Finalmente, los resultados presentados deben ser interpretados con algunas precauciones. Por un lado, las elecciones presidenciales no ocurren en el vacío, sino que se encuentran conectadas tanto horizontal como verticalmente a elecciones para otros órganos y niveles de gobierno. Pese al esfuerzo por controlar la contaminación entre niveles, no es posible hablar de mercados electorales presidenciales sin tomar en cuenta otros mercados potencialmente interrelacionados. Por otro lado, los resultados presentados en este trabajo no pretenden rechazar la validez de teorías que han mostrado robustez teórica y empírica. Numerosos estudios han dado cuenta de la relevancia explicativa de las instituciones y de la estructura social sobre la fragmentación de los sistemas de partidos. Futuras investigaciones deberán estudiar estas variaciones, así como considerar otros factores que pueden tener efectos sobre la coordinación en elecciones presidenciales.
Referencias
Alesina, Alberto, Arnaud Devleeschauwer, William Easterly, Sergio Kurlat y Romain Wacziarg. 2003. “Fractionalization”. Journal of Economic Growth 8 (2): 155-194.
Amorim Neto, Octavio y Gary Cox. 1997. “Electoral Institutions, Cleavage Structures, and the Number of Parties”. American Journal of Political Science 41 (1): 149-174.
Anckar, Carsten. 1997. “Determinants of Disproportionality and Wasted Votes”. Electoral Studies 16 (4): 501-515. https://doi.org/10.1016/S0261-3794(97)00038-3
Bartolini, Stefano. 2000. The Class Cleavage. The Electoral Mobilisation of the European Left 1880-1980. Cambridge: Cambridge University Press.
Bartolini, Stefano y Peter Mair. 1990. Identity, Competition, and Electoral Availability: The Stabilization of European Electorates: 1885-1985. Cambridge: Cambridge University Press.
Bormann, Nils-Christian y Matt Golder. 2013. “Democratic Electoral Systems Around the World, 1946-2011”. Electoral Studies 32 (2): 360-369. https://doi.org/10.1016/j.electstud.2013.01.005
Clark, William y Matt Golder. 2006. “Rehabilitating Duverger’s Theory Testing the Mechanical and Strategic Modifying Effects of Electoral Laws”. Comparative Political Studies 39 (6): 679-708. https://doi.org/10.1177/0010414005278420
Cox, Gary. 1997. Making Votes Count: Strategic Coordination in the World’s Electoral Systems. Cambridge: Cambridge University Press.
Dalton, Russell. 2008. “The Quantity and the Quality of Party Systems: Party System Polarization, Its Measurement, and Its Consequences”. Comparative Political Studies 41 (7): 899-920. https://doi.org/10.1177/0010414008315860
Downs, Anthony. 1957. An Economic Theory of Democracy. Nueva York: Harper.
Duverger, Maurice. 1954 (2002). Los partidos políticos. Ciudad de México: Fondo de Cultura Económica.
Endersby, James y Michael Towle. 2014. “Making Wasted Votes Count: Turnout, Transfers, and Preferential Voting in Practice”. Electoral Studies 33: 144-152. https://doi.org/10.1016/j.electstud.2013.07.001
Fey, Mark. 2007. “Duverger’s Law without Strategic Voting”. Working Paper, Department of Political Science, University of Rochester.
Fisher, Stephen. 1973. “The Wasted Vote Thesis: West German Evidence”. Comparative Politics 5 (2): 293-299. https://doi.org/10.2307/421245
Gerring, John y Strom Thacker. 2004. “Political Institutions and Corruption: The Role of Unitarism and Parliamentarism”. British Journal of Political Science 34 (2): 295-330. https://doi.org/10.1017/S0007123404000067
Golder, Matt. 2006. “Presidential Coattails and Legislative Fragmentation”. American Journal of Political Science 50 (1): 34-48.
Hall, Andrew y James Snyder. 2015. “Information and Wasted Votes: A Study of U.S. Primary Elections”. Quarterly Journal of Political Science 10 (4): 433-459.
Hicken, Allen. 2002. “Party Systems, Political Institutions and Policy: Policymaking in Developing Democracies”. Tesis de doctorado, University of California, San Diego.
Hinich, Melvin y Michael Munger. 1997. Analytical Politics. Cambridge: Cambridge University Press.
Johnston, Richard y Fred Cutler. 2009. “Canada: The Puzzle of Local Three-Party Competition”. En Duverger’s Law of Plurality Voting. The Logic of Party Competition in Canada, India, the United Kingdom and the United States, editado por Bernard Grofman, Andre Blais y Shawn Bowler, 83-96. Nueva York: Springer.
Jones, Mark. 1994. “Presidential Election Laws and Multipartism in Latin America”. Political Research Quarterly 47 (1): 41-57. https://doi.org/10.1177/106591299404700103
Jones, Mark. 1999. “Electoral Laws and the Effective Number of Candidates in Presidential Elections”. The Journal of Politics 61 (1): 171-184. https://doi.org/10.2307/2647780
Jones, Mark. 2004. “Electoral Institutions, Social Cleavages, and Candidate Competition in Presidential Elections”. Electoral Studies 23 (1): 73-106. https://doi.org/10.1016/S0261-3794(02)00056-2
Jones, Mark. 2018. “Presidential and Legislative Elections”. En The Oxford Handbook of Electoral Systems, editado por Erik Herron, Robert Pekkanen y Matthew Shugart, 282-302. Oxford: Oxford University Press. https://doi.org/10.1093/oxfordhb/9780190258658.013.23
Kitschelt, Herbert. 2000. “Linkages Between Citizens and Politicians in Democratic Polities”. Comparative Political Studies 33 (6-7): 845-879. https://doi.org/10.1177/001041400003300607
Kitschelt, Herbert y Daniel Kselman. 2012. “Economic Development, Democratic Experience, and Political Parties’ Linkage Strategies”. Comparative Political Studies 46 (11): 1453-1484. https://doi.org/10.1177/0010414012453450
Kitschelt, Herbert y Steven Wilkinson. 2007. Patrons, Clients and Policies: Patterns of Democratic Accountability and Political Competition. Cambridge: Cambridge University Press.
Kitschelt, Herbert , Kirk Hawkins, Guillermo Rosas y Elizabeth Zechmeister. 2010. “Patterns of Programmatic Party Competition in Latin America”. En Latin American Party Systems, editado por Herbert Kitschelt, Kirk Hawkins , Juan Pablo Luna, Guillermo Rosas yElizabeth Zechmeister , 14-58. Cambridge: Cambridge University Press.
Laakso, Markku y Rein Taagepera. 1979. “‘Effective’ Number of Parties: A Measure with Application to West Europe”. Comparative Political Studies 12 (1): 3-27. https://doi.org/10.1177/001041407901200101
Linz, Juan. 1978. “The Breakdown of Democratic Regimes: Crisis, Breakdown, and Reequilibration”. En The Breakdown of Democratic Regimes, editado por Juan Linz y Alfred Stepan, 3-124. Baltimore: Johns Hopkins University Press.
Lipset, Seymour y Stein Rokkan. 1967. Party Systems and Voter Alignments: Cross-national Perspectives. Nueva York: Free Press.
Luján, Diego. 2017. “El costo de coordinar: número de candidatos presidenciales en América Latina”. Revista de Ciencia Política (Santiago) 37 (1): 25-46. http://dx.doi.org/10.4067/S0718-090X2017000100002
Luna, Juan Pablo. 2014. Segmented Representation: Political Party Strategies in Unequal Democracies. Oxford; Nueva York: Oxford University Press.
Lupu, Noam. 2014. “Brand Dilution and the Breakdown of Political Parties in Latin America”. World Politics 66 (4): 561-602.
Lupu, Noam. 2016. Party Brands in Crisis: Partisanship, Brand Dilution, and the Breakdown of Political Parties in Latin America. Nueva York: Cambridge University Press.
Mainwaring, Scott yMatthew Shugart . 1997. Presidentialism and Democracy in Latin America. Cambridge; Nueva York: Cambridge University Press.
Moraes, Juan Andrés. 2015. “The Electoral Basis of Ideological Polarization in Latin America”. Working Paper n.º 403, Helen Kellogg Institute for International Studies, Notre Dame.
Moser, Robert, Ethan Scheiner y Heather Stoll. 2018. “Social Diversity, Electoral Systems, and the Party System”. En The Oxford Handbook of Electoral Systems, editado porErik Herron , Robert Pekkanen yMatthew Shugart , 135-158. Oxford: Oxford University Press.
Observatorio de Élites Parlamentarias en América Latina. M. Alcántara, dir. Proyecto Élites Latinoamericanas (PELA-USAL). Universidad de Salamanca (1994-2018). https://oir.org.es/pela/
Ordeshook, Peter y Olga Shvetsova. 1994. “Ethnic Heterogeneity, District Magnitude, and the Number of Parties”. American Journal of Political Science 38 (1): 100-123.
Rae, Douglas. 1967. The Political Consequences of Electoral Laws. New Haven: Yale University Press.
Rokkan, Stein. 1970 (2009). Citizens, Elections, Parties: Approaches to the Comparative Study of the Processes of Development. Oslo: ECPR Press.
Ruth, Saskia 2016. “Clientelism and the Utility of the Left-Right Dimension in Latin America”. Latin American Politics and Society 58 (1): 72-97. https://doi.org/10.1111/j.1548-2456.2016.00300.x
Sani, Giacomo y Giovanni Sartori. 1983. “Polarization, Fragmentation and Competition in Western Democracies”. En Western European Party Systems: Continuity and Change, editado por Hans Daadler yPeter Mair , 307-340. Londres: Sage.
Sartori, Giovanni. 1986. “The Influence of Electoral Systems: Faulty Laws or Faulty Method?”. En Electoral Laws and Their Political Consequences, editado por Bernard Grofman y Arend Lijphart, 43-68. Nueva York: Agathon Press.
Sartori, Giovanni. 1997. Comparative Constitutional Engineering: An Inquiry into Structures, Incentives, and Outcomes. Nueva York: New York University Press.
Schelling, Thomas. 1980. The Strategy of Conflict. Harvard: Harvard University Press.
Shugart, Matthew y John Carey. 1992. Presidents and Assemblies: Constitutional Design and Electoral Dynamics. Nueva York: Cambridge University Press.
Singer, Matthew. 2016. “Elite Polarization and the Electoral Impact of Left-Right Placements: Evidence from Latin America, 1995-2009”. Latin American Research Review 51 (2): 174-194. https://doi.org/10.1353/lar.2016.0022
Slough, Tara, Erin York y Michael Ting. En prensa. “A Dynamic Model of Primaries”. Journal of Politics.
Stoll, Heather. 2013. Changing Societies, Changing Party Systems. Cambridge: Cambridge University Press.
Taagepera, Rein yMatthew Shugart . 1989. Seats and Votes: The Effects and Determinants of Electoral Systems. New Haven: Yale University Press.
Tavits, Margit y Taavi Annus. 2006. “Learning to Make Votes Count: The Role of Democratic Experience”. Electoral Studies 25 (1): 72-90. https://doi.org/10.1016/j.electstud.2005.02.003
Taylor, Michael y Valentine Herman. 1971. “Party Systems and Government Stability”. American Political Science Review 65 (1): 28-37. https://doi.org/10.2307/1955041
Zechmeister, Elizabeth. 2010. “Left-right Semantics as a Facilitator of Programmatic Structuration”. En Latin American Party Systems, editado por Herbert Kitschelt, Kirk Hawkins , Juan Pablo Luna, Guillermo Rosas yElizabeth Zechmeister , 96-118. Cambridge: Cambridge University Press.
Notas
Notas de autor