Dossier
Gustavo Petro y el triunfo de la izquierda en Colombia: análisis de las preferencias de voto en la primera vuelta presidencial de 2022
Gustavo Petro and the Victory of the Left in Colombia: Analysis of Voting Preferences in the First Round of the Presidential Election of 2022
Gustavo Petro e a vitória da esquerda na Colômbia: análise das preferências de voto no primeiro turno presidencial de 2022
Gustavo Petro y el triunfo de la izquierda en Colombia: análisis de las preferencias de voto en la primera vuelta presidencial de 2022
Colombia Internacional, núm. 116, pp. 103-132, 2023
Departamento de Ciencia Política y Centro de Estudios Internacionales. Facultad de Ciencias Sociales, Universidad de los Andes
Recepción: 19 Marzo 2023
Aprobación: 10 Julio 2023
RESUMEN
Objetivo/contexto: En este artículo exploramos los determinantes de la preferencia de los votantes por Gustavo Petro en la primera vuelta de la elección presidencial de 2022 en Colombia.
Metodología: A partir de una serie de herramientas cuantitativas, exploramos las variables asociadas con una preferencia por Gustavo Petro. Establecemos dos grupos de variables: personales y de contexto, y de preferencias en temas económicos y sociales (issues), y establecemos su peso relativo como determinantes de la cercanía entre Petro y sus votantes.
Conclusiones: Encontramos que los votantes escogieron al candidato Petro con base en la satisfacción de sus preferencias más importantes, particularmente frente a temas económicos, y restaron importancia a sus diferencias con el candidato en temas relacionados con las libertades individuales.
Originalidad: Este trabajo presenta datos originales recogidos durante la campaña presidencial de 2022 y usa una combinación de herramientas cuantitativas para estimar los determinantes de las preferencias por Petro.
PALABRAS CLAVE: Colombia+ elecciones+ Gustavo Petro+ preferencias electorales.
ABSTRACT
Objective/context: In this article, we explore the determinants of voter preference for Gustavo Petro in the first round of the 2022 presidential election in Colombia.
Methodology: Using a series of quantitative tools, we explore the variables associated with a preference for Gustavo Petro. We establish two groups of variables: personal and contextual, and preferences on economic and social issues (issues), and establish their relative weight as determinants of the closeness between Petro and his voters.
Conclusions: We found that voters chose candidate Petro based on the satisfaction of their most important preferences, particularly regarding economic issues, and downplayed their differences with the candidate on issues related to individual liberties.
Originality: This work presents original data collected during the 2022 presidential campaign and uses a combination of quantitative tools to estimate the determinants of preferences for Petro.
KEYWORDS: Colombia, elections, electoral preferences, Gustavo Petro.
RESUMO
Objetivo/contexto: Neste artigo, exploramos os determinantes da preferência dos eleitores por Gustavo Petro no primeiro turno das eleições presidenciais de 2022 na Colômbia.
Metodologia: A partir de uma série de ferramentas quantitativas, exploramos as variáveis associadas à preferência por Gustavo Petro. Estabelecemos dois grupos de variáveis: pessoais e de contexto, e de preferências em questões econômicas e sociais (issues), e estabelecemos seu peso relativo como determinantes da proximidade entre Petro e seus eleitores.
Conclusões: Descobrimos que os eleitores escolheram o candidato Petro com base na satisfação de suas preferências mais importantes, particularmente em relação a questões econômicas, e deram menos importância às suas diferenças com o candidato em questões relacionadas às liberdades individuais.
Originalidade: Este trabalho apresenta dados originais coletados durante a campanha presidencial de 2022 e usa uma combinação de ferramentas quantitativas para estimar os determinantes das preferências por Petro.
PALAVRAS-CHAVE: Colômbia, eleições, Gustavo Petro, preferências eleitorais.
Introducción
En junio de 2022 Gustavo Petro fue elegido presidente de Colombia en uno de los giros más radicales de la orientación del gobierno en la historia reciente del país. A partir de una amplia coalición de izquierda, acompañada por diversos apoyos de políticos y algunos movimientos tradicionales, el candidato del Pacto Histórico logró redibujar el panorama político. Dentro de su plataforma de campaña se hacía especial énfasis en el respaldo de sectores de la población que se habían sentido excluidos de la política y de la atención del Estado, como jóvenes, minorías étnicas, movimientos sociales, ecologistas y feministas, entre otros.
El triunfo de Petro fue un fenómeno de gran importancia para Colombia, y debe serlo también para el estudio de la política en el país. Independientemente de la calidad o no de sus propuestas, es de suma relevancia para la ciencia política colombiana y latinoamericana entender las motivaciones de los votantes que llevaron a la Presidencia a ese candidato y a su movimiento de fuerzas políticas alternativas. La elección de Petro puede ser el cambio político más significativo en Colombia desde la Constitución de 1991 y nos ofrece una oportunidad de estudio de los movimientos políticos de izquierda en América Latina, las estrategias para su éxito electoral, el comportamiento de los votantes, entre muchos otros elementos.
En este artículo nos preguntamos cuáles fueron las motivaciones más importantes que se relacionan con la preferencia por el candidato Gustavo Petro en la primera vuelta de la elección presidencial de 2022. Para esto construimos un instrumento1 que fue aplicado a casi 2.000 votantes en las principales ciudades del país. Aunque no capturamos la totalidad de motivaciones de los electores, nuestro instrumento permite aproximarnos a un número significativo de variables socioeconómicas, de contexto y de preferencias políticas en temas clave para la campaña.
La información recolectada nos permitió medir la relación entre variables sociodemográficas de las personas encuestadas, como el estrato de su vivienda, su edad, su religiosidad, entre otras, y su preferencia por el candidato. A su vez, medimos preferencias sociales y económicas sobre diversos temas relevantes para la campaña y los debates políticos nacionales. Para el análisis tuvimos en cuenta variables de contexto a nivel municipal, como las tasas de desempleo, de homicidio y de hurto, el nivel de pobreza y el tamaño de la ciudad. Finalmente, aplicando análisis estadísticos sobre la información recolectada, identificamos cuáles variables estuvieron relacionadas con la preferencia por el candidato, al tiempo que estimamos el peso relativo de cada una.
Encontramos que la edad es la variable más importante para predecir la preferencia de voto por Gustavo Petro. Ser joven contribuye ampliamente a la probabilidad de apoyar al entonces candidato, al tiempo que observamos que esta preferencia disminuye rápidamente a medida que aumenta la edad. Sin embargo, esta es la única variable sociodemográfica que explica contundentemente la preferencia por este candidato, incluso más que el nivel de ingresos o de estudios de la persona.
Por su parte, en lo que respecta a temas (issues) sociales de la campaña política, encontramos un resultado paradójico. Al comparar las preferencias de quienes expresaron su predilección por Gustavo Petro con las manifestadas por el propio candidato, hallamos una distancia considerable en el agregado de los temas sociales. A este respecto, una parte importante de quienes apoyaron a Gustavo Petro no coincidían con el candidato en sus planteamientos sobre derechos individuales y, sin embargo, votaron por él. En contraste, los votantes de Petro se alineaban muy de cerca con las propuestas del candidato en temas económicos, en particular en relación con una mayor intervención del Estado en la economía y en la prestación de servicios.
En general, hay diferentes temas particulares de corte social o político que son relevantes para predecir la preferencia de los votantes. Sin embargo, cuando agregamos todos los temas en una dimensión social y otra económica, salta a la vista que en el agregado lo económico resulta mucho más significativo que lo social para identificar las coincidencias entre Petro y sus votantes.
1. Estudios sobre preferencias de voto y marco teórico
La literatura existente sobre las preferencias de los votantes es extensa. Aunque este no es un artículo de revisión de toda la literatura sobre elecciones, tomamos como punto de partida algunas de las escuelas y debates más relevantes sobre comportamiento de los votantes. Una de las corrientes principales para explicar la preferencia del voto parte de la racionalidad de los individuos y de alternativas definidas claramente por candidatos o partidos políticos (Downs 1957). Aquí el votante es entendido como un actor racional con preferencias definidas y los partidos políticos, como ofertantes de opciones que buscan capturar el voto, a partir de programas que maximizan la utilidad percibida por el mayor número de votantes. Bajo esta perspectiva, el votante escoge la alternativa que produzca el mejor resultado posible para sí mismo, de una forma análoga a la elección de un producto en un mercado (Mueller 1989).
La definición del voto desde esta perspectiva es instrumental y corresponde a la alternativa que mejor sirva al interés del votante. Por ejemplo, frente a la decisión de votar por la continuidad o el cambio de un gobierno particular, los votantes racionales decidirán su voto a partir de un análisis retrospectivo del desempeño del gobierno saliente. En un sentido económico, la percepción de mejora de la economía en el futuro (Kinder y Kiewiet 1981) o la lógica de pocketbook voting (el estado de bienestar general de los individuos y qué tan exitosos económicamente han sido durante el gobierno saliente) determinaría las preferencias de los votantes por el continuismo o el cambio (Fiorina 1981). Desafortunadamente para los proponentes de estos postulados, evaluaciones empíricas posteriores les han otorgado poco sustento (Sigelman, Sigelman y Bullock 1991).
En contraste, otras aproximaciones, también racionales, entienden al votante como alguien con ciertas preferencias, pero que sabe que su voto no tiene el poder de garantizar un resultado esperado. En cambio, este votante busca “expresar” su postura al apoyar a un candidato, de la misma manera como lo haría un hincha que grita en un estadio: el resultado del partido no está en sus manos, pero su apoyo le permite expresarse. De esta manera, el votante busca apoyar a un candidato que represente su posición, pero no vota instrumentalmente para obtener un resultado (Brennan y Hamlin 1998). En una línea similar, cuando los votantes consideran que no tienen el poder de definir el resultado, Becker (2022) argumenta que su voto refleja más una señal de sus valores sociales o de sus hábitos y no sus preferencias instrumentales. A su vez, en una revisión de argumentos anteriores (Riker y Ordeshook 1968), Fiorina (1985) incorpora consideraciones de psicología política como la identificación partidista y la solidaridad de clase, entre otras. Desde esta aproximación, el votante no escogería la opción que maximice su utilidad instrumental, sino la que le permite mostrarse como alguien que representa un conjunto de valores.
De cara a las preferencias de los votantes, es importante mencionar que estas suelen ser establecidas como posiciones sobre asuntos políticos, redistributivos o sociales, a partir de las cuales definen lo que presumen que hará el Estado en materia de política pública (Campbell et al. 1960). Bajo esta perspectiva, se espera que las preferencias de los votantes sean consistentes y que los hagan votar por el candidato que más se acerca a ellas. Sin embargo, si bien los electores racionales son concebidos como agentes motivados por sus posturas frente a los asuntos políticos que consideran importantes, no necesariamente se proyecta que le den igual peso a cada una de ellas.
Adicionalmente, dentro de una lógica de racionalidad limitada (bounded rationality) del elector (Sniderman, Brody y Tetlock 1991), los votantes hacen uso de heurísticas que les permiten tomar decisiones sin la información completa sobre las preferencias del candidato. Así, es perfectamente concebible que un elector escoja a un candidato que refleje su preferencia en el tema A y no tenga en cuenta el tema B. Por ejemplo, un elector puede optar por un candidato que se alinee muy de cerca con sus posturas en relación con el manejo de la economía, incluso si difiere radicalmente o desconoce sus propuestas frente a temas sociales como el aborto, el uso de drogas o la adopción homoparental. En este sentido, una heurística de satisfacción de mínimos en asuntos centrales, y no de maximización de sus preferencias, puede explicarse por la racionalidad limitada de los votantes. Por otra parte, la crisis de los partidos políticos ha implicado que la afiliación a estos no funcione como una heurística determinante para la elección de candidatos (Brussino, Alonso y Dreizik 2011). A este respecto, la identificación con la izquierda y la derecha, y sus partidos asociados, propuesta en los trabajos de De Souza Carreirao (2002), González y Darias (1998) y Jost (2006), tiene poco valor explicativo en diferentes estudios (Lloret et al. 2009) o no funciona consistentemente para simplificar la decisión del elector (Zechmeister 2006).
En contraste con las perspectivas racionales, otros autores resaltan las características sociológicas como motivantes para la definición del voto. En vez de priorizar una serie de preferencias o de resultados generados individualmente, los votantes son entendidos como pertenecientes a grupos sociales que al elegir a un candidato reafirman su pertenencia a tal grupo por encima de otras consideraciones. En este sentido, factores como la religión, la etnicidad, la clase, entre muchos otros, definen una “política de la identidad” que conlleva la elección del candidato que más refuerce el sentimiento de pertenencia del votante. Esta identidad puede ser el resultado de procesos de socialización desde el hogar, el vecindario y otros lugares, y de redes de formación de la identidad (Huckfeldt 1983). Frente a ello, argumentaremos que estos aspectos de identidad, como la religión, pueden estar relacionados con la preferencia de voto, pero no son suficientes para entender la elección de Petro en 2022.
En América Latina existen diversos estudios sobre las dinámicas electorales (García-Sánchez 2010), de participación (Fornos, Power y Garand 2004; Haime 2017) y el comportamiento electoral (Sánchez Parra 2012), entre otros. Algunos ejercicios buscan explicar cómo dimensiones psicosociales se relacionan con el comportamiento del voto, al tiempo que analizan las relaciones entre variables sociodemográficas e ideológicas con la intención de voto en el ámbito local (Brussino, Alonso y Dreizik 2011). No obstante, son pocos los estudios que se centran en correlaciones entre variables particulares y la intención de voto por candidatos presidenciales, y son más numerosos aquellos sobre participación electoral o la abstención. Esto podría explicarse porque, mientras en los análisis de la participación electoral se suele recurrir a los datos oficiales obtenidos tras la realización de procesos electorales, los estudios cuantitativos sobre intención de voto requieren usualmente información obtenida a través de encuestas.
Ahora bien, dos trabajos ayudan a llenar este vacío sobre los votantes en América Latina. Primero, Pérez et al. (2015) van más allá de la investigación de la participación electoral e incorporan criterios de decisión de los votantes. Los aportantes a este volumen resaltan que en el comportamiento de los votantes latinoamericanos sobresalen las preferencias basadas en temas económicos, a diferencia de países desarrollados donde otras explicaciones son más relevantes (Baker y Kenneth 2015). Adicionalmente, Zechmeister (2015) encuentra que para los votantes latinoamericanos tampoco funcionan apropiadamente las categorías de izquierda y derecha. Ambos textos nos ayudan a estructurar nuestro argumento a favor de los temas y no de las posiciones ideológicas de izquierda o derecha, y a predecir que los votantes en Colombia también favorecerán los temas económicos al tomar decisiones electorales.
Por su parte, Levitsky y Roberts (2011) buscan explicar el éxito de partidos de izquierda en América Latina en el inicio del siglo XXI, cuando los votantes latinoamericanos mostraron un giro de preferencias hacia gobiernos “progresistas” en casi todos los países de la región, con la notable excepción de Colombia. Dado que Colombia inauguró su propia versión de gobierno de izquierda en 2022, este volumen es una buena fuente de hipótesis sobre las posibles razones. A pesar de que el grueso de las explicaciones que aportan Levitsky y Roberts son estructurales y no sobre comportamientos electorales individuales, podemos generar a partir de ellas algunas ideas para guiar nuestro análisis de las preferencias de los votantes colombianos en 2022. De acuerdo con estos autores, la izquierda en América Latina pudo presentarse como una opción viable a los votantes al separarse de su compromiso férreo con el modelo socialista y en su lugar enfatizar las banderas de igualdad, justicia social y participación popular (2011, 3). Así, los partidos de izquierda pudieron responsabilizar a los gobiernos tradicionales por el avance lento en la superación de la pobreza y por la inaceptable inequidad de la región. Segundo, Levitsky y Roberts argumentan que fue la crisis económica de 1998-2002 lo que propulsó a la izquierda al poder en la región. Si bien en Colombia el resultado fue el contrario, para 2020-2021 el país experimentó al tiempo la crisis económica generalizada del Covid-19 y también protestas masivas frente a las políticas económicas del Gobierno de Iván Duque. Esta tesis nos permite anticipar la importancia de la economía en la preferencia de los votantes por Gustavo Petro.
Ahora bien, para el caso colombiano existe una literatura que analiza las dinámicas electorales a partir del estudio del sistema político, los partidos y el sistema electoral (Gaitán 1989; Gutiérrez 2001), el impacto de los contextos violentos sobre la participación electoral y las decisiones de voto de los ciudadanos (García-Sánchez 2010). También se encuentran trabajos que permiten observar y comprobar empíricamente algunas de las características del comportamiento electoral del país (Lewin 2011) y sus ciudades (Ulloa y De Lecaros 2011)
Sin embargo, para el caso de este artículo cobran relevancia las investigaciones sobre las variables explicativas de la intención de voto en las elecciones presidenciales de 2002 realizados por Hoskin, Masías y García (2011), y Hoskin, Masías y Galvis (2005). En el primero de estos artículos, los autores llevan a cabo un análisis bivariado mediante tablas de contingencia de las principales variables que explican la decisión del voto, partiendo de una muestra nacional. Con ello, establecen la existencia de un fuerte vínculo entre región y tipo de municipio con la decisión de voto de los ciudadanos, al tiempo que descartan características personales (nivel educativo, estado civil, religión, religiosidad, edad y género) por su poco peso explicativo. Adicionalmente, Hoskin, Masías y Galvis (2005) usan la misma encuesta para aplicar un modelo de regresión logística que permite trabajar con múltiples variables y concluyen que existe una fuerte incidencia de la percepción de los candidatos y la identificación de los votantes con los temas de campaña en la intención de voto.
2. Nuestro argumento
En este estudio planteamos que la identificación política, en términos de las etiquetas izquierda y derecha o la identificación tradicional con un partido, no constituye una heurística determinante para la elección de candidatos ni funciona consistentemente para simplificar la decisión del votante. Frente a ello, proponemos tener en cuenta el análisis de los temas sociales y económicos como predictores del voto. A este respecto, argumentamos que los electores pueden tener afinidades o desacuerdos con los candidatos en temas económicos, sociales o políticos, y que su cercanía con ellos explica en buena medida su intención de voto. Ahora bien, proponemos que no todos los temas son de igual importancia para los votantes. En este sentido, podemos encontrar afinidad en múltiples temas, pero, si no estudiamos su relevancia comparada para la decisión del voto, no estaremos contribuyendo lo suficiente al entendimiento de las votaciones de 2022 en Colombia y al estudio de las preferencias electorales.
A su vez, siguiendo la literatura sobre votantes latinoamericanos, argumentamos que los temas económicos, en su conjunto, son centrales para la determinación de la preferencia de voto en la primera vuelta en Colombia en 2022. Sin embargo, mostramos también que no es el nivel de ingreso del votante (factor de contexto personal), sino sus preferencias sobre cómo debe manejarse la economía lo que pesó más para determinar la intención de voto. De esta manera, sostenemos que en las elecciones presidenciales de 2022 en Colombia hubo una cercanía favorable para el candidato Petro entre sus propuestas de política económica y las preferencias de un grupo mayoritario de votantes que buscaban un mayor involucramiento del Estado en el manejo de la economía, y un discurso político que priorizara la redistribución y privilegiara las políticas de asistencia social. En contraste, muy pocos colombianos buscaban una alternativa política que diera mayor relevancia a la libertad de empresa o beneficios para el crecimiento del sector privado.
Adicionalmente, en este estudio proponemos que los temas sociales, tomados en forma agregada, no fueron determinantes para la elección de Gustavo Petro en 2022. En este sentido, encontramos que los votantes colombianos continúan siendo poco progresistas frente a las libertades individuales y que el grupo más numeroso de votantes en Colombia aboga por políticas de populismo punitivo, y no ve con buenos ojos la liberalización total del aborto, la adopción de familias homoparentales o el consumo libre de drogas. En general, los colombianos promedio prefieren el orden y la autoridad sobre la defensa de los derechos individuales.
En contraste, el candidato Petro se presentó como un defensor de las libertades individuales (al contrario de las económicas). Para él fue fácil capturar el voto de un grupo reducido de personas que coincidían con él tanto en apoyar la intervención del Estado en la economía como en la promoción de los derechos individuales. Ahora bien, la mayoría de los votantes de Petro, al igual que la mayoría de los colombianos, no coincidieron con el candidato en sus posturas frente a los derechos individuales y, aun así, votaron por él. Lo anterior resulta ser una paradoja que solo podemos resolver argumentando que los votantes de Gustavo Petro privilegiaron sus afinidades en el conjunto de los temas económicos sobre sus diferencias con el candidato en el conjunto de los temas sociales o de derechos individuales. Así pues, en línea con Feldman y Johnston (2014), argumentamos que las preferencias de los votantes no son unidimensionales, sino que incluyen valoraciones sobre asuntos sociales y económicos, que resultan contradictorias entre sí, al ser evaluadas solo dentro del espectro izquierda-derecha. Para el caso de nuestro estudio, encontramos que el grupo mayoritario de votantes por el ahora presidente usó una heurística de satisfacción de sus preferencias centrales (la intervención del Estado en la economía) y restó importancia a sus diferencias con Gustavo Petro en otros aspectos (mayor orden y autoridad).
3. Metodología
Para el desarrollo de este análisis, diseñamos una encuesta aplicada por la firma Cifras & Conceptos en trece ciudades principales de Colombia,2 entre el 30 de marzo y el 6 de abril de 2022. Dicha encuesta se aplicó a 1.843 personas, con representatividad para 8,3 millones de votantes activos, un margen de error del 3,7 % y una confiabilidad del 95 %. En primer lugar, se recolectó información sociodemográfica de los encuestados en relación con su género, edad, nivel educativo, religiosidad y ocupación. A su vez, a partir de la ciudad donde se recogieron los datos, esta información sociodemográfica se complementó con variables de nivel municipal, como las tasas de desempleo, de homicidio y de hurto, el tamaño de la población, el nivel de pobreza y el tamaño de la población migrante.
En segundo lugar, la encuesta recogió información sobre la intención de voto. A este respecto, se preguntó si el encuestado había decidido por quién votar en la primera vuelta de las elecciones presidenciales del 29 de mayo de 2022 y, a quienes respondieron afirmativamente, se preguntó por quién habían decidido votar.
En tercer lugar, la encuesta incluyó treinta preguntas sobre las preferencias de los encuestados en temas sociales y económicos. Estas preguntas fueron estructuradas como afirmaciones sobre asuntos importantes de la campaña electoral y del contexto colombiano, como por ejemplo el rol de las entidades promotoras de salud (EPS), las plataformas de transporte público, la severidad de las condenas y otras formas de populismo punitivo, los impuestos, los derechos individuales y de las minorías, las protestas sociales y la respuesta policial, el proceso de paz, la migración venezolana, la explotación de gas y petróleo, la intervención del Estado en la economía, el cuidado del medio ambiente, los aranceles, entre otros.
Es importante mencionar que, dentro de las limitaciones de la muestra, está la imposibilidad de contar el voto de las ciudades y municipios por fuera de las 13 ciudades principales y los votantes fuera del territorio colombiano. A su vez, la encuesta tampoco da cuenta de la segunda vuelta presidencial, en la cual se reconfiguraron las alianzas electorales y se redujo el número de candidatos. Para este artículo solo tuvimos en cuenta a quienes respondieron que sí pensaban votar y ya habían elegido a su candidato, para una muestra total usada de 1.269 observaciones.
Con los datos recolectados mediante la encuesta, aplicamos tres herramientas diferentes. Primero, desarrollamos un análisis bivariado, y relacionamos cada variable con la decisión de votar o no por Gustavo Petro. Para ello, seguimos una metodología similar a la aplicada por Hoskin, Masías y García (2011), con la cual buscamos determinar la asociación entre cada variable y la decisión de votar por el candidato Petro, para poner a prueba la hipótesis de independencia.3
Como segunda herramienta cuantitativa, ajustamos un modelo de regresión logística para explicar la decisión de votar por el candidato Gustavo Petro. Este modelo nos permitió hacer un análisis integral que no se limita a contrastar la asociación o no de cada variable, sino que hace posible estimar la contribución de las variables a la probabilidad de votar por el candidato. Para la construcción del modelo seleccionamos las variables explicativas utilizando el método forward stepwise y el criterio de información de Akaike (AIC), y analizamos los efectos marginales de cada variable sobre la probabilidad estimada de votar o no por el candidato. Esto posibilitó aproximarse a la importancia de cada variable en comparación con las demás.
Finalmente, con base en el conjunto de treinta preguntas sobre las preferencias de los encuestados en temas sociales y económicos, calculamos dos índices. En el primero, el eje social, buscamos ubicar la opinión de cada persona en un continuo entre quienes esperan más autoridad y orden y aquellos que privilegian más libertades individuales. En el segundo, el eje económico, buscamos ubicarlas entre los opuestos de mayor regulación estatal de la economía y mayor libertad del mercado.
Con el cálculo de estos dos índices, nos aproximamos a las posturas generales de los encuestados en temas sociales y económicos, al tiempo que los ubicamos dentro de un mapa de tendencias políticas. Adicionalmente, con el objetivo de situar al entonces candidato en los ejes económico y social de este ejercicio, durante la investigación solicitamos exitosamente a la campaña de Gustavo Petro que contestara el mismo cuestionario de acuerdo con las preferencias del candidato. De esta manera, al contrastar las respuestas entregadas por la campaña de Gustavo Petro y los encuestados, observamos la distancia entre las posiciones de los encuestados y las del candidato.
4. Resultados
a. Análisis bivariado de las variables sociodemográficas
El análisis bivariado de los datos de la encuesta revela relaciones interesantes entre las características sociodemográficas y la intención de voto por Gustavo Petro. En cuanto al género, tal y como observamos en el gráfico 1, si bien el porcentaje de hombres que prefieren a Petro es ligeramente mayor, por sí solo no muestra una asociación significativa con la intención de voto. No obstante, como veremos más adelante, el género adquiere relevancia en un modelo que integra las diferentes variables.

El gráfico 1 también permite observar una correlación significativa entre la religiosidad y la preferencia electoral, ya que quienes se identifican con alguna religión tienden a no optar por Petro.
En cuanto a la actividad de las personas, en el gráfico 2 se puede establecer una asociación significativa con la intención de voto. Los estudiantes, incluidos quienes estudian y trabajan, tienen una mayor preferencia por Petro, mientras que las personas jubiladas y las dedicadas a las labores del hogar muestran menor apoyo hacia él.

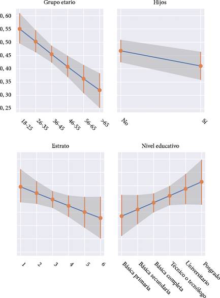
Por su parte, el gráfico 3 permite observar cómo la edad también está altamente asociada con la intención de voto por Petro. Las personas más jóvenes tienden a preferirlo, mientras que el respaldo disminuye con la edad. A este respecto, más adelante mostraremos cómo esta variable adquiere también un peso relativo muy importante para explicar la preferencia de voto por este candidato.
Por su parte, el nivel educativo resulta un buen predictor de la intención de voto por Petro. A mayor nivel educativo, mayor es la proporción de personas que lo prefieren, y aunque esta tendencia parece revertirse en el nivel de posgrado, es posible que esto se deba al número reducido de encuestados con este nivel educativo.

El análisis muestra una correlación negativa significativa entre la condición socioeconómica medida por el estrato y la intención de voto. A este respecto, los estratos 1, 2 y 3 son más propensos a votar por Petro, mientras que los estratos más altos muestran menos apoyo por el candidato. Visualmente no hay grandes diferencias entre los estratos 1 a 3, pero la preferencia baja a partir del estrato 4.
En conclusión, el análisis bivariado sugiere que las características sociodemográficas, como el género, la religiosidad, la actividad, la edad, el nivel educativo y la condición socioeconómica, están asociadas con la intención de voto por Gustavo Petro. Estas relaciones proporcionan una base para comprender mejor los factores que influenciaron la preferencia electoral hacia este candidato en las elecciones de 2022. Cabe destacar que este análisis bivariado de las variables socioeconómicas es una parte inicial del estudio y será complementado con herramientas adicionales para obtener una visión más completa y precisa.
b. Análisis bivariado en los temas económicos y sociales
En esta sección exploramos si los temas de carácter económico y social ayudan a entender la intención de voto por Gustavo Petro. En línea con la investigación de Campbell et al. (1960), buscamos indagar por la asociación entre la intención de voto y la postura frente a diferentes temas sobre los cuales los encuestados pudieran buscar un grado de sintonía entre sus posiciones personales y la postura de los candidatos en la contienda electoral. Para ello, tomamos el conjunto de treinta preguntas sobre las preferencias de los encuestados en temas sociales y económicos.
Como se muestra en la tabla 1, al analizar las preguntas sobre los temas sociales, se encuentra que once de las dieciséis guardan una asociación significativa con la intención de voto por Gustavo Petro, muchas de ellas en temas centrales de la campaña. Por otra parte, entre aquellas de carácter económico, se observa que nueve de las catorce preguntas relacionadas con este tema guardan una correlación significativa con la intención de voto por el candidato.
Entre las variables de carácter social, cruciales en la campaña política, que están significativamente asociadas con favorecer al candidato Petro, resaltamos la de aceptar la legitimidad del bloqueo de vías por parte de manifestantes, la eliminación del Escuadrón Móvil Antidisturbios (Esmad), la implementación del acuerdo de paz, el restablecimiento de relaciones con el Gobierno de Nicolás Maduro, el derecho al aborto, la cadena perpetua, y permitir el uso, la producción y la venta de sustancias psicoactivas.

La única variable significativa en temas sociales que no es progresista en materia de derechos es la cadena perpetua. A este respecto, la preferencia de votar por Petro está curiosamente correlacionada con la preferencia de sus electores por la existencia de la cadena perpetua. Aquí, hay que tener en cuenta que este tema fue muy discutido entre 2018 y 2022, gracias a la insistencia del Gobierno de Duque de adoptar esta medida, la cual fue aprobada por el Congreso, pero finalmente declarada inconstitucional por la Corte Constitucional. Llama mucho la atención que haya una asociación positiva entre la intención de voto por Petro y el apoyo a la cadena perpetua, que el mismo candidato públicamente rechaza y que fue una de las promesas de campaña de su contendor en 2018, Iván Duque. En general, encontramos que los colombianos apoyan ampliamente la cadena perpetua, tanto los seguidores de Petro como los de otros candidatos, pero es sorpresivo que sea precisamente Petro el que atraiga más a quienes apoyan esta opción.
Ahora bien, a pesar de que el análisis no nos permite dar cuenta de todos los factores que llevaron a Gustavo Petro a ganar las elecciones, encontramos que el candidato fue muy efectivo en sintonizarse con las preferencias de los electores más liberales en algunos temas sociales, aspecto en el que se diferenciaba de otros candidatos, incluyendo temas relacionados con la protesta social y el rechazo al abuso policial, la legalización de las drogas, el aborto libre, entre otros.
Por otra parte, encontramos un número amplio de temas de carácter económico relacionados significativamente con la intención de votar por Petro. En este caso, el resultado nos indica que aquellas posturas a favor de una economía regulada por el Estado tienden a coincidir con una preferencia por el entonces candidato. Entre los temas económicos de campaña más importantes, se hallan la prohibición del fracking, quitar la administración de recursos de la salud a las EPS, la obligación de la consulta previa para la explotación de petróleo y carbón, el aumento de aranceles para productos importados, la preferencia por que el Estado sea dueño de empresas y la igualdad de condiciones económicas.
Sorprende que en dos temas no hay una asociación significativa con la intención de voto por Petro. El primero es aquel relacionado con la progresividad de la oferta de programas sociales por parte del Estado, que divide las opiniones entre quienes prefieren que, a medida que aumentan los ingresos personales, se paguen más impuestos y quienes creen que todas las personas deben pagar igual, independientemente de su nivel de ingresos. Frente a ello, es sorprendente que la preferencia por Petro no esté correlacionada significativamente con favorecer la progresividad en el recaudo de impuestos.
El segundo tema que no guarda una correlación significativa con la intención de votar por el entonces candidato es la conveniencia de un ingreso universal subsidiado. Aquí, la no significancia de la correlación podría explicarse por el consenso social que se alcanzó en torno a los subsidios de emergencia en el contexto de la pandemia del Covid-19, provistos por el Gobierno de Iván Duque, claro contradictor de Petro.
Sorpresivamente, la intención de voto por Gustavo Petro aumenta entre las personas que prefieren pagar menos impuestos y tener un gobierno menos costoso. Si bien esto no es compatible con el plan de gobierno del candidato y el aumento de gasto que este implica, es de resaltar que durante la campaña Petro insistió en que no sería necesario un aumento general de impuestos, sino solo entre muy pocas personas.
c. Modelo de regresión logística
En esta sección introducimos un modelo de regresión logística que permite analizar las variables en conjunto y determinar el impacto relativo de cada una de ellas al mantener constantes los demás factores. Para ajustar el modelo optamos por codificar cada variable entre 0 y 1, con el fin de hacerlas comparables, y seleccionamos las variables a incluir siguiendo el método forward stepwise con el AIC.5 La tabla 2 muestra los coeficientes estimados para cada variable ordenados por la magnitud del coeficiente.

El análisis mostró que, entre las variables relacionadas con los temas, la afinidad con la implementación del proceso de paz de La Habana es la que tiene el mayor peso relativo. A su vez, la edad es la variable personal más importante. Por su parte, aunque su peso relativo es leve, entre las variables de contexto solo resulta significativa la tasa de homicidio de la ciudad del votante.

En el gráfico 4 vemos que, de acuerdo con el modelo, una persona que es promedio en todas las demás opiniones y manifiesta oponerse completamente a la implementación del acuerdo de paz tendría una probabilidad de apoyar a Petro de aproximadamente el 35 %; mientras que, si respalda completamente el acuerdo, la probabilidad aumenta hasta el 55 %. Una diferencia similar, en medida un poco menor, se observa también frente a la eliminación de las EPS como administradoras de los recursos de la salud y la eliminación del Esmad.

Como lo indica el gráfico 5, frente a las características sociales y personales, observamos que la intención de voto por Petro cae fuertemente al incrementarse la edad de los votantes y también a medida que sube el estrato, aunque no de manera tan pronunciada como pasa con la edad. Asimismo, observamos que también se incrementa la probabilidad de votar por Petro si aumenta el nivel educativo.
En resumen, observamos que, entre los temas sociales y económicos de campaña, la intención de voto por Petro aumenta fuertemente a medida que aumenta el apoyo por la eliminación del Esmad, por disminuir el papel de las EPS, por la implementación del proceso de paz, por la legitimidad de los bloqueos durante las protestas, por la inclusión de cuotas de género en las empresas y por el derecho al aborto. Al mismo tiempo, la intención de voto disminuye ampliamente al aumentar el apoyo a la criminalización de las drogas, el rechazo a los desmovilizados y el rechazo a los beneficios a las grandes corporaciones, y al disminuir el apoyo por aranceles altos. En contraste, se observa gráficamente que la intención de voto por Petro cambia solo levemente en algunos temas centrales del discurso tradicional del candidato, como por ejemplo la desigualdad y el papel de la élite económica en el desarrollo. Sorprendentemente, continuar la explotación de petróleo y carbón no provoca una diferencia importante de intención de voto por el candidato.
d. Distancia en los temas entre Gustavo Petro y sus votantes
El último análisis que realizamos nos muestra la distancia entre los votantes encuestados que prefirieron a Petro en la primera vuelta presidencial y el candidato, en los temas contenidos en el instrumento que diseñamos para el análisis.
En el gráfico 6 es posible observar que los votantes del país se distribuyen ampliamente entre los cuadrantes 3 y 4 (autoridad-regulación y autoridad-libre mercado). Frente a ello, el grupo más significativo prefiere la intervención del Estado en la economía al tiempo que busca orden y autoridad (cuadrante 3). Paralelamente, el cuadrante 1 se encuentra relativamente menos poblado y contiene a las personas que apoyan la intervención del Estado en la economía, al tiempo que defienden los derechos individuales. Finalmente, el cuadrante 2 resulta ser el menos poblado y es el que contiene a aquellos votantes que prefieren tanto las libertades individuales como las económicas.

Así pues, con la visualización de los resultados de la encuesta, hallamos que el grueso de los votantes en Colombia tiene, en promedio, una preferencia hacia el orden y la autoridad, y hacia la intervención del Estado en la economía. Sin embargo, como se observa en la parte derecha del gráfico 6, cuando segmentamos los resultados para incluir solo a los votantes que prefieren a Gustavo Petro, en promedio, estos se encuentran más inclinados hacia la intervención del Estado y ligeramente más hacia las libertades individuales, aunque todavía dentro del cuadrante de autoridad.
Con el resultado obtenido de las respuestas del cuestionario enviadas por la campaña de Gustavo Petro, ubicamos la posición del candidato en el cuadrante 1, lo cual se interpreta como una preferencia por la intervención del Estado en la economía y la defensa de los derechos individuales por encima del orden y la autoridad, tal y como se observa en el gráfico 6. Resulta muy interesante que el candidato se encuentre alineado con las preferencias económicas del promedio de sus votantes, pero alejado frente a las libertades individuales.
Hay que resaltar que la distancia entre la posición de Petro y su electorado en temas de carácter social, que se aprecia en el gráfico 6, pareció no afectar fuertemente al candidato. De hecho, si dividimos a los votantes en quintiles,6 de acuerdo con su ubicación en los ejes económico y social, tal y como se presenta en el gráfico 7, encontramos que el porcentaje de personas que votarían por Petro disminuye marcadamente a medida que disminuye la preferencia por la intervención del Estado en la economía. También que, a medida que disminuye la preferencia por el orden y la autoridad, aumenta la preferencia por Petro. Es importante señalar que los votantes promedio de Petro prefieren el orden y la autoridad, como la mayoría de los colombianos, pero lo hacen en una medida menor a los votantes de otros candidatos. Esto se observa en el gráfico 7, en una diferencia muy marcada entre el quintil 1 y el 5 del eje social: aquellos que están en el quintil que más busca la autoridad y el orden son los votantes que más se alejan de Petro, mientras que los que están en el quintil de los que menos apoyan el orden y la autoridad son los que más se acercan a él.

¿Cómo podemos explicar que muchos de los votantes de Petro estén tan alejados de él en temas sociales como el aborto, la adopción homopartental o la cadena perpetua? Como lo indicamos en nuestro marco conceptual, los electores no tienen en cuenta todas las preferencias del candidato por el que votan, sino que usan heurísticas en las que prima un tema clave o una lista corta de temas centrales donde sí están alineados con él. De acuerdo con los datos analizados, muchos votantes de Gustavo Petro no están de acuerdo con sus posturas en temas de libertades individuales, pero encuentran en él respuesta a sus prioridades sobre intervención del Estado en la economía u otros temas que para ellos son más importantes.
Conclusiones
En este artículo usamos diferentes herramientas de análisis para establecer relaciones significativas que nos permitan entender mejor la preferencia de voto por Gustavo Petro y su victoria presidencial. A partir del análisis de una muestra representativa de los votantes colombianos de las principales ciudades en primera vuelta, pudimos establecer la relevancia relativa de variables asociadas a las características de las personas, al contexto donde viven y, principalmente, a los temas que les importan. A partir de estas herramientas se determinó que la edad es un predictor muy relevante de la preferencia de voto por Petro, mientras que el estrato y el género lo son en menor medida. Los jóvenes fueron determinantes en la victoria de este candidato y se distanciaron de personas mayores en su elección. Hallamos que la preferencia de voto por Petro decrece drásticamente a medida que aumenta la edad, disminuye a medida que aumenta el estrato de la vivienda y se incrementa entre las personas con un mayor nivel educativo. Petro pudo conectarse con éxito con los jóvenes del país y con las personas de ingresos menores, pero al tiempo logró conseguir apoyo de personas privilegiadas en su nivel educativo que creyeron en su proyecto.
Entre los temas más importantes encontramos aquellos clave en la campaña que diferencian a los votantes de Petro de otros votantes. Primero, el apoyo a la implementación de los acuerdos de paz con las Fuerzas Armadas Revolucionarias de Colombia (FARC) aparece como uno de los mayores predictores. Segundo, temas de campaña como retirar a las EPS la posibilidad de administrar los recursos de la salud, la eliminación del Esmad y la legitimidad de los bloqueos en el contexto de protestas sociales resultan cruciales para entender al votante medio que apoyó a Petro en las elecciones.
El análisis de los datos de la encuesta nos permitió determinar que, aunque algunos aspectos sociodemográficos y de contexto pueden estar correlacionados con las preferencias de voto, el nivel de ingreso o el lugar de residencia no son tan centrales como los temas que le importan al elector. Hallamos también que aspectos de identidad, como la religión, pueden estar relacionados con la preferencia de voto, pero no son suficientes para entender la elección de Petro en 2022. Adicionalmente, establecimos que, en promedio, los votantes de Petro se acercan bastante a las preferencias de ese candidato sobre la intervención del Estado en la economía, pero se alejan de él en temas sociales como las libertades individuales y el populismo punitivo. Tomados individualmente, los temas sociales o económicos aparecen con mayor o menor peso, como mostramos en la tabla 2, pero considerados en conjunto vemos que los votantes de Petro, en promedio, únicamente son muy cercanos a él en el eje económico.
Los votantes de Petro aprecian sus posturas frente a la mayoría de los temas económicos, como subir los aranceles, limitar el papel del sector privado y cambiar el papel de las EPS en el sistema de salud. En este último punto, observamos opiniones muy divididas entre los colombianos, pero una tendencia muy marcada al aumento de la preferencia por Petro a medida que se incrementa el rechazo a las EPS. En contraste, no hallamos esta tendencia tan marcada frente a la suspensión de la explotación de petróleo y carbón.
En relación con los temas sociales, observamos que los votantes se acercan bastante a Gustavo Petro en temas relacionados con la protesta social, pero se alejan del candidato porque, como el resto de los colombianos, en promedio favorecen posturas tendientes al orden y la autoridad, como la instauración de la cadena perpetua. Sin embargo, a pesar de la distancia entre Petro y sus votantes en temas de libertades individuales, quienes eligieron votar por él parecen haber asumido una heurística de satisfacción para escogerlo. En este sentido, una vez satisfecha su preferencia por temas de intervención del Estado en la economía, los votantes promedio de Petro no habrían tenido problema con tolerar posturas en temas sociales que podrían ser contrarias a su visión.
Finalmente, tras el análisis concluimos que la dicotomía izquierda-derecha no resulta muy útil para entender las elecciones presidenciales de 2022. A este respecto, es importante observar que, si bien los votantes promedio de Petro prefieren una mayor intervención del Estado en la economía, en general estos mismos votantes resultan conservadores en temas sociales. Adicionalmente, las personas que rechazan a Petro no necesariamente buscan un Estado pequeño o menores subsidios, ni se diferencian plenamente en temas sociales, por ejemplo, en asuntos como el populismo punitivo y el rechazo de libertades individuales que predominan entre los votantes promedio en Colombia.
Referencias
Baker, Andy y Kenneth F. Green. 2015. “Positional Issue Voting in Latin America”. En The Latin American Voter: Pursuing Representation and Accountability in Challenging Contexts, editado por Ryan E. Carlin, Matthew M. Singer y Elizabeth J. Zechmeister, 173-194. Ann Arbor: University of Michigan Press. http://www.jstor.org/stable/10.3998/mpub.8402589.12
Becker, Rolf. 2022. “Voting Behavior as Social Action: Habits, Norms, Values, and Rationality in Electoral Participation”. Rationality and Society 35 (1): 81-109. https://doi.org/10.1177/10434631221142733
Brennan, Geoffrey y Alan Hamlin. 1998. “Expressive Voting and Electoral Equilibrium”. Public Choice 95 (1/2): 149-175. https://doi.org/10.1023/A:1004936203144
Brussino, Silvina, Daniela Alonso y Matías Dreizik. 2011. “Política del comportamiento de voto: la elección presidencial 2011 en Argentina”. Psicología Política 13 (28): 453-470. http://hdl.handle.net/11336/2803
Campbell, Angus, Philip E. Converse, Warren E. Miller y Donald E. Stokes. 1960. The American Voter. Chicago: University of Chicago Press.
DANE (Departamento Administrativo Nacional de Estadística) 2021. “Proyecciones de población”. Consultado el 7 de septiembre de 2023. https://www.dane.gov.co/index.php/estadisticas-por-tema/demografia-y-poblacion/proyecciones-de-poblacion
De Souza Carreirao, Yan. 2002. “Identificação ideologica e voto para presidente”. Opiniao Pública 8 (1): 54-79. https://doi.org/10.1590/S0104-62762002000100004
Downs, Anthony. 1957. An Economic Theory of Democracy. Nueva York: Harper and Row.
Feldman, Stanley y Christopher Johnston. 2014. “Understanding the Determinants of Political Ideology: Implications of Structural Complexity”. Political Psychology 35 (3): 337-358. https://doi.org/10.1111/pops.12055
Fiorina, Morris P. 1981. Retrospective Voting in American Elections. New Haven: Yale University Press.
Fornos, Carolina A., Timothy J. Power y J. Craig Garand. 2004. “Explaining Voter Turnout in Latin America, 1980 to 2000”. Comparative Political Studies 37 (8): 909-940. https://doi.org/10.1177/0010414004267981
Gaitán, Pilar. 1989. “La elección popular de alcaldes: un desafío para la democracia”. Análisis Político 3: 94-102. https://revistas.unal.edu.co/index.php/anpol/article/view/73994
García-Sánchez, Miguel. 2010. “Bajo la mira de los actores armados: contextos violentos, participación política e intención de voto en Colombia”. En Conflicto armado: seguridad y construcción de paz en Colombia, editado por Angelika Rettberg, 159-202. Bogotá: Ediciones Uniandes.
González, Manuel y Maximina Darias. 1998. “Predicción de la conducta de voto. Personalidad y factores sociopolíticos”. Psicología Política 17: 45-78.
Gutiérrez, Francisco. 2001. Agregando votos en un sistema político altamente desinstitucionalizado. Bogotá: Departamento Nacional de Planeación.
Haime, Agustina. 2017. “What Explains Voter Turnout in Latin America? A Test of the Effect of Citizens’ Attitudes towards the Electoral Process”. Revista de Ciencia Política 37 (1): 69-93. http://dx.doi.org/10.4067/S0718-090X2017000100004
Hoskin, Gary, Rodolfo Masías y Marcela Galvis. 2005. “Modelos de decisión electoral y perfiles de votante en Colombia: elecciones presidenciales 2002”. Análisis Político 18 (55): 60-74. https://revistas.unal.edu.co/index.php/anpol/article/view/46585
Hoskin, Gary, Rodolfo Masías Núñez y Miguel García Sánchez. 2011. “La decisión de voto en las elecciones presidenciales del 2002”. En Partidos y elecciones en Colombia, editado por Felipe Botero, 385-446. Bogotá: Ediciones Uniandes .
Huckfeldt, Robert. 1983. “Social Contexts, Social Networks, and Urban Neighborhoods”. American Journal of Sociology 89 (3): 651-669. https://doi.org/10.1086/227908
Jost, Jhon T. 2006. “The End of the End of Ideology”. American Psychologist 61 (7): 651-670. https://doi.org/10.1037/0003-066X.61.7.651
Kendall, Maurice George. 1938. “A New Measure of Rank Correlation”. Biometrika 30 (1-2): 81-89. https://doi.org/10.2307/2332226
Kinder, Donald y Roderick Kiewiet. 1981. “Sociotropic Politics: The American Case”. British Journal of Political Science 11: 129-161. https://doi.org/10.1017/S0007123400002544
Levitsky, Steven y Kenneth M. Roberts, eds. 2011. The Resurgence of the Latin American Left. Baltimore: JHU Press.
Lewin, Patricia P. 2011. “Características generales del comportamiento local y regionalización electoral”. En Partidos y elecciones en Colombia, editado por Felipe Botero, 227-254. Bogotá: Ediciones Uniandes .
Liao, Dan y Richard Valliant. 2012. “Condition Indexes and Variance Decompositions for Diagnosing Collinearity in Linear Model Analysis of Survey Data”. Survey Methodology 38 (2): 189-202.
Lloret, Irles D., Boyer A. Lledó, Maximiliano F. Nieto y Bernabé Aldeguer. 2009. “Coherencia entre identificación partidista e ideología política en un contexto electoral”. Psicología Política 38: 75-95.
Mueller, Dennis. 1989. Public Choice II. Cambridge: Cambridge University Press.
Pérez, Orlando, Ryan E. Carlin, Matthew M. Singer y Elizabeth J. Zechmeister. 2015. Conclusión de The Latin American Voter: Pursuing Representation and Accountability in Challenging Contexts, editado por Ryan E. Carlin, Matthew M. Singer y Elizabeth J. Zechmeister, 324-345. Ann Arbor: University of Michigan Press .
Riker, William H. y Peter C. Ordeshook. 1968. “A Theory of the Calculus of Voting”. The American Political Science Review 62 (1): 25-42. https://doi.org/10.2307/1953324
Sánchez Parra, José Domingo. 2012. “Factores que intervinieron en la determinación del comportamiento electoral de los habitantes del Municipio Libertador del estado Mérida entre los años 2008 y 2010”. Provincia 27: 165-190. http://www.saber.ula.ve/handle/123456789/37092
Senaviratna, N. A. M. R. y T. M. J. A. Cooray. 2019. “Diagnosing Multicollinearity of Logistic Regression Model”. Asian Journal of Probability and Statistics 5 (2): 1-9. https://doi.org/10.9734/ajpas/2019/v5i230132
Sigelman, Lee, Carol K. Sigelman y David Bullock. 1991. “Reconsidering Pocketbook Voting: An Experimental Approach”. Political Behavior 13 (2): 129-149. https://doi.org/10.1007/BF00992293
Sniderman, Paul M., Richard A. Brody y Philip E. Tetlock. 1991. Reasoning and Choice: Explorations in Political Psychology. Cambridge: Cambridge University Press .
Ulloa, Fernando C. y Claudia G. de Lecaros. 2011. “Comportamiento del voto urbano en Colombia: una aproximación”. En Partidos y elecciones en Colombia, editado por Felipe Botero, 147-172. Bogotá: Ediciones Uniandes .
Zechmeister, Elizabeth. 2006. “What’s Left and Who’s Right? A Q-method Study of Individual and Contextual Influences on the Meaning of Ideological Labels”. Political Behavior 28 (2): 151-173. https://doi.org/10.1007/s11109-006-9006-5
Zechmeister, Elizabeth. 2015. “Left-Right Identifications and the Latin American Voter”. En The Latin American Voter: Pursuing Representation and Accountability in Challenging Contexts, editado por Ryan E. Carlin, Matthew M. Singer y Elizabeth J. Zechmeister, 195-225. Ann Arbor: University of Michigan Press . http://www.jstor.org/stable/10.3998/mpub.8402589.13
Notas