VITAMINA C Y PERFIL FENÓLICO DE BRÓCOLI CONVENCIONAL E HÍBRIDO MÍNIMAMENTE PROCESADO, TRATADO CON AGUA ELECTROLIZADA Y RECUBRIMIENTOS COMESTIBLES
VITAMIN C AND PHENOLICS CONTENT IN TWO TYPES OF FRESH-CUT BROCCOLI TREATED WITH ELECTROLYZED WATER AND EDIBLE COATINGS
VITAMINA C Y PERFIL FENÓLICO DE BRÓCOLI CONVENCIONAL E HÍBRIDO MÍNIMAMENTE PROCESADO, TRATADO CON AGUA ELECTROLIZADA Y RECUBRIMIENTOS COMESTIBLES
Revista Iberoamericana de Tecnología Postcosecha, vol. 17, núm. 1, pp. 106-111, 2016
Asociación Iberoamericana de Tecnología Postcosecha, S.C.
Resumen: Se ha estudiado el efecto de la desinfección con agua electrolizada neutra (AEN) y la aplicación de dos recubrimientos comestibles sobre el contenido de vitamina C y el perfil fenólico durante la vida comercial de dos variedades de brócoli mínimamente procesadas en fresco (MPF), la convencional Parthenon y el nuevo híbrido Bimi. El brócoli se desinfectó con AEN (ORP= 830 mV; 5 ºC; pH=7; tiempo de contacto= 2 min). Posteriormente, se aplicaron dos recubrimientos comestibles: Naturcover® (5% de sucroesteres) o alginato de sodio (2 g/100 mL), empleando glicerol como plastificante (1,5 g/100 mL) y aceite de girasol como emulsionante. El brócoli MPF se almacenó en atmósfera modificada (AM) durante 15 días a 5 ºC. Como control se usó brócoli lavado con agua corriente a 5ºC. Se establecieron 3 tratamientos, NEW (desinfección con AEN), Naturcover® y alginato. Se estudió el contenido de vit C (ácido ascórbico y dehidroascórbico) y el perfil fenólico (derivados de los ácidos cafeoílquínico, sinápico y ferúlico) de los floretes de ambas variedades. La AM de equilibrio se alcanzó a los 3-4 días a 5ºC y fue de 5-12 kPa O2 y 10-12 kPa CO2 para ambas variedades. Tanto en Parthenon como en Bimi se mantuvieron los niveles de vit C tras 15 días a 5ºC, con valores que oscilaron entre 722,1-872,5 mg kg-1 pf y 582,8-823,1 mg kg-1 pf respectivamente. Los compuestos fenólicos más abundantes fueron los derivados del ácido cafeoilquínico (ac. clorogénico y neoclorogénico). Los valores máximos del ac. neoclorogénico se encontraron en Bimi del tratamiento control con 384,5 mg kg-1 pf tras 15 días a 5 ºC.
Palabras clave: Brassica oleracea Grupo Itálica, IV Gama, desinfección, vida comercial, ácido ascórbico, ácidos fenólicos.
Abstract: Traditionally, edible coatings have been used as a barrier to minimize water loss and retard the natural senescence of horticultural products through selective permeability to gases. In this work, the effect of two edible coatings on quality of fresh-cut ‘Bimi’ broccoli during shelf life was studied. The broccoli was sanitized under neutral electrolyzed water (NEW) (ORP = 900 mV; 5 ºC; pH = 7; contact time = 2 min). Two edible coatings were applied: Naturcover® (5 % of sucroesters) and sodium alginate (2 g/100 mL) using glycerol as plasticizer and sunflower oil as emulsifier (contact time: 1 min; drying time: 1min). The product was then stored under modified atmosphere packaging throughout 15 days at 5ºC. As control, washing with cold tap water and no coating was used. 3 treatments were applied, NEW (NEW disinfection), NATURCOVER and ALGINATE. Vitamin C content, expressed as ascorbic acid, dehydroascorbic acid and total vitamin C and phenolics, expressed as caffeoyl-quinic derivatives, sinapic acid derivatives and ferulic acid derivatives, were analyzed for the two types of broccoli. The equilibrium gas partial pressure within the packages was 10-12 kPa CO2 and 5-12 kPa O2 and was reached after 3-4 days. Both varieties, `Parthenon´ and Bimi kept vitamin C during a cold storage (5ºC) of 15 days, at the end of this period the content was between 582.8-823.1 mg kg-1 fw for Bimi and 722.05-872.5 mg kg-1 fw for ´Parthenon´. The phenolics founded in larger quantities were caffeoyl-quinic acid derivatives (chlorogenic and neochlorogenic acid), Bimi showed the highest content of neochlorogenic acid of 384.5 mg kg-1 for control treatment at the end of the conservation.
Keywords: Brassica oleracea Italica Group, Brassica oleracea Italica Group x Alboglabra Group, minimal fresh processing, disinfection, shelf life, ascorbic acid, fenolics acids.
INTRODUCCIÓN
Los hábitos saludables de vida que se están consolidando en la población, han provocado una creciente demanda de productos frescos, de gran calidad y listos para consumir, como los mínimamente procesados en fresco (PMPF) (Artés et al., 2009). Para garantizar la seguridad alimentaria de los PMPF es esencial una buena desinfección, pues todas las operaciones del procesado aumentan la carga microbiana. Se ha demostrado que el agua electrolizada neutra (AEN) es un desinfectante barato, eficaz y con resultados similares a los del NaClO (Navarro-Rico et al., 2014), ampliamente utilizado por la industria de PMPF (o de la “IV Gama” de la alimentación), pero cuyo uso está prohibido en varios países europeos debido a que posibilita la formación de compuestos potencialmente perjudiciales para el hombre y el medio ambiente (Rico et al., 2008). Los recubrimientos comestibles se pueden emplear en la industria de PMPF ya que proveen una protección natural que retrasa la senescencia del producto y le permite mantener una calidad óptima durante más tiempo. El brócoli (Brassica oleracea Grupo Itálica) contiene gran cantidad de compuestos bioactivos, como vitaminas C y E, flavonoles, carotenoides y glucosinolatos (Podsedek, 2007). La empresa Sakata Seed ha desarrollado un nuevo brócoli híbrido (Brassica oleracea Grupo Itálica x Grupo Alboglabra), llamado Bimi, con una morfología ideal para el procesado mínimo y sabor más suave que el de numerosas variedades convencionales (Martínez-Hernández et al., 2012).
En este trabajo se estudia el efecto de la desinfección con AEN y la aplicación de dos recubrimientos comestibles sobre el contenido de vitamina C y el perfil fenólico de la variedad convencional de brócoli Parthenon y del Bimi.
MATERIALES Y MÉTODOS
Las dos variedades de brócoli se cultivaron al aire libre bajo el clima mediterráneo del sureste español, por la Cooperativa Agrícola de Producción SACOJE (La Hoya, Lorca, Murcia). Una vez recolectadas a mano, se trasladaron en envases de poliestireno de unos 10 kg con hielo picado alrededor del producto a la Planta Piloto del GPR de la UPCT, donde se almacenaron a 0ºC hasta el día siguiente en que se efectuó el procesado.
El procesado mínimo se llevó a cabo en una sala desinfectada y a 8ºC. El material vegetal se seleccionó en un estado de madurez uniforme. Las hojas se eliminaron con un cuchillo afilado, las cabezas de Parthenon se cortaron dejando sólo los floretes, mientras que se seleccionaron los floretes de Bimi con 16 a 18 cm de longitud, recortando los tallos que superaban estos valores.
Los tratamientos aplicados fueron: Control: El brócoli se lavó 2 min con agua corriente a 5ºC; AEN: El brócoli se desinfectó con AEN (100 ppm Cl2 libre; pH: 7; 5ºC; ORP: 830 mV) durante 2 min, seguido de enjuagado (1 min) con agua corriente a 5ºC; Naturcover®: se desinfectó de igual modo que en el tratamiento NEW, seguido de la aplicación del recubrimiento comestible Naturcover® (5% sucroesteres) (Decco, Valencia, España) durante 1 min, seguido de un secado de 1 min; Alginato: desinfección de igual modo que en el tratamiento AEN, seguida de la aplicación de un recubrimiento comestible elaborado a partir de alginato de sodio (2 g 100 mL-1) + glicerol (1,5 g 100 mL-1), aplicando aceite de girasol como emulsionante, durante 1 min, seguido de un secado de 1 min.
Una vez aplicados los tratamientos, se dispusieron 200 g de cada brócoli en barquetas de polipropileno rígido (PP) de 2 L de capacidad para Parthenon y de 1,5 L para Bimi. Las barquetas se termosellaron con film de PP biorientado de 30 µm de espesor. Una vez envasado, se conservaron a 5ºC en oscuridad. Los análisis se llevaron a cabo el día de procesado y en los días 5, 9 y 15 de conservación a 5ºC.
Composición gaseosa en los envases
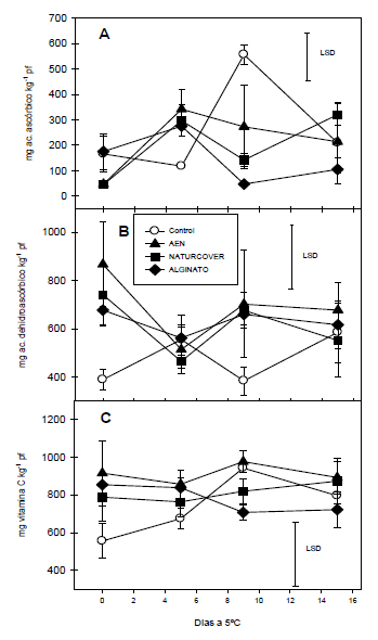
Control y Alginato con 166,1 y 175,7 mg kg-1 PF, respectivamente (Figura 2), mostraron en Parthenon mayores niveles de AA que los AEN y Naturcover, con 47,2 y 45,6 mg kg-1 pf respectivamente.
Contenido de vitamina C
Los análisis de ácido ascórbico (AA) y dehidroascórbico (ADHA) se efectuaron por el método de Zapata y Dufour (1992) con ligeras modificaciones introducidas por Martínez-Hernández et al. (2013b).
Contenido de fenoles individuales
Los análisis del perfil fenólico se realizaron según el método seguido por Martínez-Hernández et al. (2011). Para identificar los compuestos se recurrió a patrones de concentración conocida.
RESULTADOS Y DISCUSIÓN
Composición gaseosa en los envases
No se apreciaron diferencias entre los tratamientos sobre las presiones parciales de CO2 y O2 en el interior de los envases en ambas variedades (Figura 1). El equilibrio para Parthenon se alcanzó tras 4 días a 5ºC y hasta el día 15 se mantuvieron en 5-11 kPa O2 y 10-12 kPa CO2. En los envases de Bimi, la atmosfera de equilibrio se alcanzó a partir del día 4 y las presiones parciales oscilaron entre 5-12 kPa O2 y 8-15 kPa CO2. Estos valores son ligeramente superiores para el O2 e inferiores para el CO2 a los reportados por Martínez- Hernández et al. (2013a) para ambas variedades MPF.
Contenido de vitamina C
En el día de procesado los tratamientos Control y Alginato con 166,1 y 175,7 mg kg-1 PF, respectivamente (Figura 2), mostraron en Parthenon mayores niveles de AA que los AEN y Naturcover, con 47,2 y 45,6 mg kg-1 pf respectivamente.

El Control presentó un contenido de ADHA de 389,8 mg kg-1 pf, significativamente menor que en los tratamientos AEN, Naturcover y Alginato, 867,5, 741,8, 677,9 mg kg-1 pf, respectivamente (Figura 3). Esta diferencia se pudo deber al estrés sufrido por el brócoli durante la aplicación de los tratamientos desinfectante y/o de los recubrimientos comestibles (Figura 2).
Los valores de vitamina C (AA + ADHA) en el día inicial variaron desde 555,9 mg kg-1 pf del Control hasta los 914,7 mg kg-1 pf del tratamiento AEN, con niveles dentro del rango de 0,4-1,2 g kg-1 pf para brócoli convencional (Galgano et al., 2007; Munyaka et al., 2010). Tras 15 días a 5 ºC., no se observaron diferencias y los valores de vit C oscilaron entre 872,5 mg kg-1 pf del AEN y 722,0 mg kg-1 pf del Alginato.

El Bimi (Figura 3) tratado con Alginato presentó un nivel superior de AA en el día de procesado con 236 mg kg-1 pf a la de los demás tratamientos. Durante la conservación el contenido de AA de tratamiento Alginato sufrió un descenso, mientras que los demás tratamientos mantuvieron el contenido tras 15 días a 5ºC. Tras 15 días a 5 ºC, los tratamientos con mayor AA fueron Control y Naturcover con 159,3 y 124,1 mg kg-1, respectivamente.
No se observaron diferencias en el contenido de ADHA entre tratamientos ni en el día de procesado ni durante la conservación. Al final de la conservación se hallaron valores para ADHA entre 535,1 mg kg-1 del tratamiento Alginato y 663,3 mg kg-1 del Control (Figura 3).

La vitamina C, siguió la misma tendencia mostrada tanto por el AA como por el ADHA. Al final de la conservación los tratamientos Control y Naturcover presentaron los mayores niveles de vitamina C con 823,1 y 741,6 mg kg- 1, respectivamente (Figura 3).
Estos valores para Bimi son ligeramente superiores en ADHA e inferiores en AA y vitamina C, a los obtenidos por Martínez- Hernández et al. (2013b) en este híbrido tras 14 días a 4ºC.
Los valores de AA, ADHA y Vitamina C fueron muy similares para Bimi y Parthenon.
Contenido en fenoles individuales
Los derivados de los ácidos cafeoilquínico, clorogénico y neoclorogénico, se encontraron en niveles superiores que el de los ácidos sinápico y ferúlico (Tabla 1). Así, en Bimi, en el día de procesado las cantidades máximas de clorogénico y neoclorogénico fueron para el Control con 117,9 mg kg-1 pf y para el tratado con Alginato con 478,2 mg kg-1 peso fresco. Estos niveles son superiores a los reportados por Martínez-Hernández et al. (2011). Parthenon presentó cantidades inferiores, siendo la máxima la del tratamiento Alginato tanto para el ácido clorogénico con 77,4 mg kg-1 pf como para el neoclorogénico con 235 mg kg-1 pf (Tabla 1).

fSE = 5,2 LSD (P≤0,05) = 15,1; gSE = 3,3 LSD (P≤0,05) = 9,7; hSE = 10,7 LSD (P≤0,05) = 30,8; iSE = 63,6 LSD (P≤0,05) = 183,4; jSE = 48,3 LSD (P≤0,05) = 139,26
Al efectuar la suma de todos los polifenoles individuales analizados, se obtiene que la variedad Bimi presenta mayor cantidad de ácidos fenólicos que la Parthenon.
CONCLUSIONES
La desinfección con AEN combinada con un envasado en AM fue eficaz para mantener durante 15 días a 5ºC el contenido de vitamin C en las dos variedades de brócoli. Del mismo modo sucedió trasla aplicación de Naturcover.
Todos los tratamientos mantuvieron durante 15 días a 5ºC el nivel de polifenoles de ambas variedades, si bien el de ácidos fenólicos de Bimi fue más elevado que el de Parthenon.
Agradecimientos
Se agradece a Sakata Seed Ibérica S.L.U. la financiación y a SACOJE la cesión del material vegetal.
REFERENCIAS BIBLIOGRÁFICAS
Artés F., Gómez P., Aguayo E., Escalona V., Artés-Hernández F. 2009. Sustainable sanitation techniques for keeping quality and safety of fresh-cut plant commodities. Postharvest Biology and Technology, 51, 287-296.
Galgano F., Favati F., Caruso M., Pietrafesa A., Natella S. 2007. The influence of processing and preservation on the retention of health-promoting compounds in broccoli. Journal of Food Science, 72, 130–135.
Martínez-Hernández G.B., Gómez, P., Pradas, I., Artés, F., Artés-Hernández, P. 2011. Moderate UV-C pretreatment as a quality enhancement tool in fresh-cut Bimi® broccoli. Postharvest Biology and Technology, 62, 327-337.
Martínez-Hernández G.B., Artés-Hernández F., Gómez P., Artés F. 2013a. Comparative behaviour between kailan-hybrid and conventional fresh-cut broccoli throughout shelf-life. LWT-Food Science and Technology, 50, 298-305.
Martínez-Hernández G.B., Artés-Hernández F., Gómez P., Artés F. 2013b. Induced changes in bioactive compounds of kalian-hybrid broccoli after innovative processing and storage. Journal of Functional Foods, 5, 133-143.
Munyaka A.W., Oey I., Van Loey A., Hendrickx M. 2010. Application of thermal inactivation of enzymes during vitamin C analysis to study the influence of acidification, crushing and blanching on vitamin C stability in broccoli (Brassica oleracea L. var. italica). Food Chemistry, 120, 591–598.
Navarro-Rico J., Artés-Hernández F., Gómez P., Nuñez-Sánchez M.A., Artés F., Martínez- Hernández G.B. 2014. Neutral and acidic electrolysed water kept microbial quality and health promoting compounds of fresh-cut broccoli throughout shelf life. Innovative Food Science and Emerging Technologies, 21, 74-81.
Podsedek A. 2007. Natural antioxidants and antioxidant capacity of Brassica vegetables: a review. LWT-Food Science and Technology, 40, 1-11.
Rico D., Martín-Diana A.B., Barry-Ryan C., Frías J.M., Henehan G.T.M., y Barat J.M. 2008. Use of neutral electrolysed water (EW) for quality maintenance and shelf-life extension of minimally processed lettuce. Innovative Food Science and Emerging Technologies, 9, 37-48.
Zapata S., Dufour, J. P. 1992. Ascorbic, dehydroascorbic and isoascorbic and simultaneous determinations by reverse phase ion interaction HPLC. Journal of Food Science, 57, 506–511.
Notas de autor