EFECTO DEL ESTADO DE MADUREZ SOBRE LA CALIDAD DE TRES VARIEDADES DE NARANJILLA (Solanum quitoense Lam)
EFFECT OF MATURITY STAGE ON QUALITY OF THREE VARIETIES OF NARANJILLA (Solanum quitoense Lam.)
EFECTO DEL ESTADO DE MADUREZ SOBRE LA CALIDAD DE TRES VARIEDADES DE NARANJILLA (Solanum quitoense Lam)
Revista Iberoamericana de Tecnología Postcosecha, vol. 17, núm. 2, pp. 217-230, 2016
Asociación Iberoamericana de Tecnología Postcosecha, S.C.
Resumen: Se realizó la caracterización de tres variedades de naranjilla (Solanum quitoense): Iniap-Quitoense 2009, Baeza y Agria, en dos estados de madurez y durante el almacenamiento. Se cosecharon frutos con 50% de color amarillo (estado 3) y 100% de color amarillo (estado 5), estos últimos se almacenaron a temperatura ambiente durante 14 días y humedad de 70%. Se determinaron características físicas (peso, perímetro, longitud, volumen, densidad, rendimiento de pulpa, color –L* y b*–, tasa de respiración y firmeza), químicas (pH, sólidos solubles, acidez y ratio) y antioxidantes (contenido de fenoles totales –FT– y capacidad antioxidante –CA–). Entre los estados de madurez 3 y 5, en las tres variedades se vieron afectadas las características físicas: volumen, densidad, perímetro, longitud y rendimiento de pulpa; en cuanto a las características químicas se produjo disminución de la acidez e incremento de pH, sólidos solubles y ratio) por lo que se establece como momento óptimo de cosecha el estado de madurez 5, esto a su vez favorece la aceptabilidad del consumidor. El mayor contenido de FT y CA se encontró luego del almacenamiento a temperatura ambiente. Por otro lado, la zona de cultivo y el volumen de producción de la variedad Agria limitan su comercialización, a pesar de presentar un alto contenido de FT y CA. Iniap se caracteriza por su mayor tamaño y rendimiento de pulpa, por ende mayor volumen de producción, que favorece su industrialización (procesado como pulpa). Baeza se caracteriza por su tamaño intermedio y firmeza (ideal para manipulación y transporte) y por su elevado contenido de FT y CA, por ello se recomienda su comercialización en fresco. Es necesario el desarrollo de tecnologías comercialmente factibles para mantener y/o mejorar la calidad organoléptica, nutricional y funcional de cultivos con potencial industrial, como la naranjilla, para incentivar su producción y consumo.
Palabras clave: naranjilla, variedades, estados de madurez.
Abstract: The present work evaluated three varieties of naranjilla (Solanum quitoense): Iniap-Quitoense 2009, Baeza and Agria, in two maturity stages and during storage. Fruits were harvested with 50% yellow color (state 3) and 100% yellow color (state 5), the latter were stored at room temperature for 14 days and humidity at 70%. It was determinated physical measurements (weight, perimeter, length, volume, density, pulp yield, color -L* and b*-, respiration rate and firmness), chemical (pH, soluble solids, acidity and ratio) and antioxidants (total phenolics - FT- and antioxidant capacity -CA-). Among the maturity stages 3 and 5, physical characteristics of the three varieties were affected: volume, density, perimeter, length and yield of pulp; in terms of chemical characteristics, acidity decreased and pH increased, soluble solids and ratio), so that the maturity stage 5 is established as the optimal moment of harvest, which in turn favors the consumer's acceptability. The highest FT and CA content was found after storage at room temperature. On the other hand, the area of cultivation and the volume of production of the Agria variety limit its commercialization, despite presenting a high content of FT and CA. Iniap is characterized by its larger size and pulp yield, hence higher production volume, which favors its industrialization (processed as pulp). Baeza is characterized by its intermediate size and firmness (ideal for handling and transport) and its high content of FT and CA, therefore it is recommended to market fresh. It is necessary to develop commercially viable technologies to maintain and / or improve the organoleptic, nutritional and functional quality of crops with industrial potential, such as naranjilla, to encourage their production and consumption.
Keywords: naranjilla, varieties, maturity stage.
INTRODUCCIÓN
La naranjilla (Solanum quitoense) es un fruto que pertenece la familia de las solanáceas. Es originaria de los sotobosques subtropicales de los Andes de Ecuador, crece principalmente en los flancos de la cordillera andina en sitios con buena humedad, regiones frescas y sombreadas en torno a los 800 y 1400 m.s.n.m. Se cultiva en también en Perú, Colombia, México y Costa Rica. Es una fruta climatérica de exquisito sabor y aroma (Pastrana, 1998; Franco et al., 2002; Valverde et al., 2010; Gómez-Merino, et al., 2014).
En el Ecuador se cultivan y comercializan diferentes variedades e híbridos de naranjilla (Revelo et al., 2010; Vásquez et al., 2011; Brito et al., 2011). La variedad "Agria" presenta el fruto esférico, ligeramente achatado, de color amarillo rojizo con un diámetro de 5 a 7 cm, se caracteriza por una piel fina, pulpa verde y sabor agridulce (figura 1A). Es utilizado para la elaboración de refrescos, helados y alimentos preparados. Se cultiva poco debido a su alta susceptibilidad a perforadores del tallo y fruto, al nematodo del nudo de la raíz y a la marchitez vascular producida por Fusarium oxysporum. La variedad Baeza "dulce" presenta características similares a la variedad "Agria" diferenciándose por tener frutos más grandes con diámetro mayor a 7cm. La piel de esta variedad es más gruesa, tiene una pulpa verdosa y sabor dulce (figura 1B). La susceptibilidad a perforadores del tallo y fruto y al nematodo del nudo de raíz es similar a la variedad "Agria". Es utilizada para la preparación de dulces, refrescos y gelatinas. La variedad INIAP-Quitoense 2009 es una naranjilla de jugo que proviene de la variedad Baeza desarrollada por el Programa de Fruticultura del Instituto Nacional Autónomo de Investigaciones Agropecuarias (INIAP - Ecuador) entre los años 2005 y 2007, y purificada a través de diferentes ensayos entre los años 2008 y 2009. Las plantas presentan una altura cercana a los 2m; los tallos y hojas carecen de espinas. Los frutos son redondos de diámetros mayores a 7 cm, tiene la pulpa verde y presenta menor oxidación que las variedades anteriores (figura 1C). Presenta alta productividad y buenas características para el consumo en fresco e industrial.

Los frutos de naranjilla presentan 90% de humedad, 2.5% de acidez titulable (ácido cítrico), 10°Brix y un aporte de 8% de carbohidratos totales, se destacan por una concentración de magnesio de 124 µg/g, un alto nivel de vitaminas principalmente ácido ascórbico (incluso mayor al de los cítricos) y carotenoides, así como también gran cantidad de antioxidantes (Acosta et al., 2009; Brito et al., 2011).
En el mercado interno la naranjilla se comercializa para su consumo en fresco principalmente para la elaboración de jugos y otras preparaciones culinarias como salsas, postres y helados. Es un ingrediente exótico para salsas de platos gourmet, “chutneys”, ensaladas de frutas y vegetales. En los comercios populares se mantiene a temperatura ambiente volviéndose altamente perecible debido a la mala manipulación. En los supermercados se expende almacenada a temperatura ambiente y también en refrigeración, en los últimos años se encuentran en el mercado nuevas presentaciones, mientras que procesada se consume principalmente como pulpa refrigerada y congelada.
La recolección del fruto debe realizarse en un grado de madurez entre 3-4 con un desarrollo de color amarillo en el 75% de su superficie. La naranjilla almacenada en gavetas plásticas tiene una conservación de 15 días cuando se cosecha en el grado 2 y 3 de madurez mantenida a 17°C y 59% humedad relativa; se conserva hasta 30 días al cosecharse en estado 2 y hasta 20 días cuando es cosechada en estado 3 de madurez si es almacenada a 8°C con 80% de humedad relativa (Brito et al., 2011). Los frutos cosechados con estado de madurez 5 pueden conservarse a temperatura ambiente por 8 días (García y García, 2001). Durante la poscosecha se presentan intensos daños físicos debido a la mala manipulación o a la delicadeza de la fruta madura ocasionando pérdidas durante toda la cadena de comercialización con un costo económico y social importante (Muñoz et al., 1999; IICA-PROCIANDINO, 1996).
El objetivo del presente trabajo de investigación fue determinar las diferencias físicas, químicas, bioquímicas y fisiológicas de tres variedades de naranjilla cosechadas en dos estados de madurez y luego de su almacenamiento a temperatura ambiente.
MATERIALES Y MÉTODOS
Material vegetal y diseño del experimento
Las variedades de naranjilla (Solanum quitoense) utilizadas en este estudio fueron:
Variedad Agria.- cosechada en la zona del Puyo (provincia de Pastaza), ubicado a 245 km de la ciudad de Quito. Se realizaron 3 cosechas en los meses de octubre y noviembre de 2014.
Variedad Baeza.- cosechada en la zona de Baeza (provincia de Napo), ubicada a 105 km de la ciudad de Quito. Se realizaron 3 cosechas en los meses de mayo y junio de 2015.
Variedad INIAP-Quitoense 2009.- cosechada en San Miguel de Los Bancos (noroccidente de la provincia de Pichincha) ubicado a 94 km de la ciudad de Quito. Se realizaron 3 cosechas en los meses de febrero y marzo de 2015.
Los frutos se cosecharon en dos grados de madurez según la norma técnica ecuatoriana NTE INEN 2 303, (2009): frutos con un desarrollo de color amarillo menor al 50% (grado de madurez 3) y frutos con un 75 al 100% de desarrollo de color amarillo (grado de madurez entre 4 y 5); estos últimos se dividieron en dos grupos: el primero que fue analizado inmediatamente (grado de madurez 5) y el segundo que se mantuvo en almacenamiento a temperatura ambiente durante 14 días con una humedad del 70% (denominado estado 5+alm.).
Se realizaron las siguientes determinaciones: peso, volumen, densidad, perímetro, longitud, rendimiento de pulpa, color de piel, pH, acidez total titulable (AT), sólidos solubles (SS) y ratio (relación entre AT/SS), firmeza y tasa respiratoria (TR). Seguidamente se congelaron muestras de los tejidos (piel y pulpa) en N2 líquido y se almacenaron a -20°C para realizar el análisis de fenoles totales (FT) y capacidad antioxidante. El experimento se realizó por triplicado.
Peso, volumen y densidad.- Los frutos se pesaron (P) individualmente usando una balanza electrónica marca Ohaus Modelo TAJ602 (sensiblidad 0.1g). El volumen (V) se determinó por desplazamiento de agua empleando una probeta de 250 mL (o volumen según el tamaño del fruto); y la densidad (δ) se calculó como δ = P V-1.
Perímetro y longitud.- Se utilizó una cinta métrica flexible. Los resultados se expresaron en cm. La longitud se midió perpendicularmente al eje ecuatorial del fruto usando una escala en cm.
Rendimiento de pulpa.- Se pesó la fruta entera, se retiró y descartó la piel y se volvió a pesar. Se presionó manualmente cada fruto en un tamiz para separar la pulpa de las semillas. Se pesó la cantidad de pulpa obtenida y se expresó como porcentaje (%) respecto al peso de la fruta entera.
Color.- Se midió en 30 frutas de cada variedad, grado de madurez y tiempo de almacenamiento. Se utilizó un colorímetro Kónica Minolta CR400. Usando la escala Cie L*a*b* se midieron dos parámetros: L* y b*, según la metodología de Oz y Ulukanli (2013).
pH, AT, SS y ratio.- Se tomó 50 g de fruta y se homogenizó con un trituradora marca Oster, se filtró usando un lienzo. El filtrado se utilizó para la medición del pH (por inmersión de electrodo en el extracto previamente filtrado), AT (por neutralización de 5 ml del filtrado con NaOH 0.1N, los resultados fueron expresados como % de ácido cítrico) y SS (se usó un refractómetro digital (marca Boeco BOE 32195), los resultados se expresaron como % p/p). El ratio se calculó mediante la relación entre SS/AT.
Firmeza.- Se retiró la piel en la zona ecuatorial del fruto y se tomaron cuatro medidas en diferentes zonas. Se utilizó un penetrómetro o durómetro de frutas Penetrometer Firmness Tester; los resultados obtenidos fueron registrados en Newtons (N).
Tasa respiratoria (TR).- Se utilizó la técnica de atmósfera confinada (Bartz y Brecht, 2003), se tomaron 4 frutos previamente pesados y se colocaron en un sistema de respiración previamente adaptado. El reporte de resultados se realizó como ppm de CO2 producido durante una hora de reposo de los frutos. Se utilizó un analizador de gases (CO2 Meter Vitro GC-2028). Los resultados se expresaron en mg de CO2 Kg-1·h-1
FT y capacidad antioxidante - Preparación de extractos.- 6 g de tejido congelado y triturado se colocaron en 12mL de etanol, la mezcla se agitó y centrifugó a 6000 rpm en una centrífuga Hermle Labnet Z323K, durante 15 min. El sobrenadante se utilizó para la determinación de FT y actividad antioxidante. Todas las operaciones se realizaron a 4°C.
Determinación de FT.- Se realizó según la metodología de Singleton y Rossi (1965) con ligeras modificaciones. Se tomaron alícuotas entre 40 y 50 µL de extracto y se transfirieron a un tubo que contenía 1750 µL de agua destilada, luego se agregó 200 µL de reactivo Folin Ciocalteau (1N), se homogenizó y luego de 3 minutos a temperatura ambiente se añadió 400 µL de Na2CO3 al 20 % P/V en NaOH 0,1N completando un volumen final de 2400 µL con agua destilada. La mezcla de reacción se incubó durante una hora a temperatura ambiente. Se midió la absorbancia de la solución a 760 nm en un espectrofotómetro Thermo Spectronic Modelo Genesys 20. La concentración de FT fue calculada empleando una curva de calibración con ácido gálico de 3,4 a 17 µg en el volumen final de reacción. Las medidas se realizaron por triplicado y los resultados se expresaron como mg de ácido gálico por gramo de tejido seco.
Determinación de la capacidad antioxidante por el radical ABTS.- Se realizó de acuerdo a la metodología de Re et al. (1999). Se colocaron 1000 μL de la dilución del radical ABTS·+ en tubos de ensayo, se añadió 20 μL de extracto etanólico y se homogenizó en un agitador vortex y se dejó reposar por 6 minutos cubiertos con Parafilm® a temperatura ambiente. Transcurrido el tiempo se procedió a medir la absorbancia a 734 nm. Para la muestra blanco se sustituyó el extracto por etanol. Se realizó una curva de calibración usando trolox (6-hidroxi-2,5,7,8 tetrametilcromo-2 ácido carboxílico) 0.5 mM como antioxidante sintético de referencia. Se tomaron volúmenes de 10 μL a 45 μL (cada 5 μL) de solución de trolox y los resultados se expresaron como μmol de trolox por gramo de tejido seco. El ensayo se realizó por triplicado.
Determinación de la capacidad antioxidante por el radical DPPH.- Se realizó de acuerdo a la metodología Brand-Williams et al. (1995), a partir de una solución de concentración 40mg/L de DPPH• disuelto en etanol. Se tomaron 40µL de extracto etanólico y se completó un volumen de 1000µL con la solución de DPPH•; la mezcla se homogenizó cuidadosamente y se mantuvo en oscuridad durante 30 minutos. El antioxidante sintético de referencia, Trolox, se ensayó a una concentración de 0,2mM en etanol, en las mismas condiciones (de 20 a 160 µL). Los resultados se expresaron como µmol Trolox/g tej. El ensayo se realizó por triplicado.
Análisis estadístico.- Se utilizó un diseño factorial A x B. Los resultados se analizaron utilizando el paquete informático InfoStat versión 2010 (Grupo Infostat, FCA, Universidad Nacional de Córdoba, Argentina) con una análisis de varianza (ANAVA). Las medias fueron comparadas mediante la prueba de LSD con un nivel de confianza de 0.05.
RESULTADOS Y DISCUSIÓN
La naranjilla es un fruto que se caracteriza por su sabor agridulce y aroma con notas de piña, kiwi, maracuyá, banana (Acosta et al., 2009) siendo un fruto muy apetecido; sin embargo, es un producto perecible lo que limita sus posibilidades de exportación, por ello es importante conocer el comportamiento del fruto y mejorar las prácticas de recolección, evaluar la aplicación de tratamientos poscosecha así como alternativas de uso y comercialización. En la figura 2 se observa la apariencia de los frutos de naranjilla de las variedades Iniap-Quitoense 2009, Baeza y Agria en sus estados de madurez 3, 5 y luego de 14 días de almacenamiento a temperatura ambiente.

Caracterización de frutos frescos cosechados en estados de madurez 4 y 5
La variedad Iniap-Quitoense 2009 presentó mayores valores de peso, volumen y densidad que las variedades Baeza y Agria. No se encontró diferencia significativa en el peso de los frutos en los estados de madurez 3 y 5 para las tres variedades a diferencia de González-Loaiza et al (2013) quienes reportan una disminución del peso con el avance del grado de madurez de naranjilla; la variedad Iniap- Quitoense 2009 presentó 50 y 40% mayor peso que las variedades Baeza y Agria, respectivamente. En cuanto al volumen únicamente la variedad Iniap presentó un incremento del 10% entre el estado 3 y 5, mientras que en las otras dos variedades disminuyó a medida que avanzó el estado de madurez, al igual que los reportado por González-Loaiza et al (2013). La variedad Iniap presentó 58 y 65% mayor volumen que las variedades Baeza y Agria, respectivamente (Tabla 1).

Los mayores valores de perímetro y longitud se encontraron en la variedad Iniap. No se presentaron cambios significativos entre los estados 3 y 5 para las variedades Baeza y Agria mientras que la variedad Iniap presentó un ligero incremento (tabla 1); resultados similares se reportan en mirtilo (Eugenia gracillima Kiaersk) y en mora (Rubus glaucus) donde se observan ligeras variaciones del diámetro del fruto durante la maduración (Ribeiro de Araujo et al., 2016; Carvalho y Betancur, 2015). Según la norma técnica ecuatoriana (NTE INEN 2303:2009) la variedad INIAP presenta un calibre grande y las variedades Baeza y la variedad Agria presenta un calibre pequeño. La legislación nacional presenta como estándar técnico características de la variedad Puyo por lo que es precisa la revisión y adaptación a las necesidades actuales del país ya que en el mercado nacional se comercializan diferentes variedades de naranjilla tomando en cuenta que características físicas como el tamaño, peso, longitud y diámetro son variables que influyen en la discriminación de la calidad de los frutos (Carvalho y Betancur, 2015).
El análisis del rendimiento de pulpa se realiza con el fin de potenciar el uso industrial de diferentes variedades de frutos. En este sentido, la variedad Iniap presentó 5 y 20% mayor rendimiento de pulpa que las variedades Baeza y Agria, respectivamente (tabla 1), al igual que los resultados reportados por Quast et al. (2013) en frutos de durazno cultivados en diferentes zonas. A medida que avanzó la madurez, no se encontraron diferencias significativas en el rendimiento de pulpa, a diferencia de González-Loiza et al. (2013) y Salazar et al. (2007).
El color es un atributo de calidad tomado en cuenta por el consumidor en el momento de la decisión de compra y constituye además un índice de madurez de las frutas (Álvarez- Herrera et al 2009; Knee, 2002). La determinación de los parámetros de color de la naranjilla complementa la información presentada en la normativa nacional en la que se presentan 5 estados de madurez usando una escala subjetiva para clasificar a los frutos por su color externo. Los valores de L* y b* se incrementaron entre 20 y 30% entre los estados 3 y 5 para las tres variedades, en contraste a lo observado en cactus (Myrtillocactus geometrizans) durante la maduración (Herrera-Hernández et al., 2011).
La variedad Iniap presentó mayores valores de L* y b* que Baeza y Agria (tabla 1), estas diferencias pueden darse en respuesta a la localización del cultivo debido a la diferencia de intensidad de radiación y horas de exposición a la luz solar (Ali et al., 2011). Por otro lado, el desarrollo de color durante la maduración se asocia con la acumulación de compuestos bioactivos como antocianinas, licopeno o carotenos en reemplazo de la clorofila por acción enzimática de clorofilasa y clorofila oxidasa (Arteaga-Dalgo et al., 2014, Pinheiro et al., 2015).
Como parte de la caracterización de calidad de los frutos y del comportamiento fisiológico durante la maduración se realiza la determinación de pH, AT, SS y ratio. Los frutos de naranjilla variedad Iniap presentaron menor pH, AT y mayor cantidad de SS que Baeza y Agria, mientras que la variedad Agria se destacó por altos valores de pH (2.78) y la variedad Baeza presentó valores intermedios entre las otras dos variedades para estos tres parámetros (pH=3.18; AT=2.5 y SS=6.0); valores similares fueron encontrados en naranjilla cultivada en Colombia (González-Loiza et al 2013). Durante el proceso de maduración comúnmente se observa el incremento de SS debido a la degradación del almidón y acumulación de azúcares como glucosa o fructosa, existe una disminución del pH dada por la acumulación de ácidos orgánicos, se produce disminución de la AT por degradación de la ácidos que son sustrato en los procesos de respiración y en consecuencia existe un aumento del ratio que se toma como un índice de calidad organoléptica (Gonzalez-Loaiza et al 2013; Fawole y Opara, 2013; Alvarez-Herrera et al 2009, Casasierra y Aguilar, 2008; Aubert y Chanforan, 2007). Entre los estados de madurez 3 y 5 se observaron estas variaciones que si bien no fueron consistentes se encontró diferencia significativa en las variedades Iniap y Baeza, a excepción de la variedad Agria que no presentó variación. En general, se produjo un sutil incremento de pH y SS, disminución de AT y en consecuencia el ratio aumentó ligeramente (tabla 1). Este último parámetro es uno de los índices más utilizados para la determinación del tiempo de cosecha por ser un indicador de palatabilidad y normalmente se observa un incremento en el ratio durante la maduración en muchas especies (Ribeiro de Araujo et al 2016), sin embargo la variabilidad genética y la adaptación a las condiciones de cultivo puede provocar diferencia entre variedades de una misma especie.
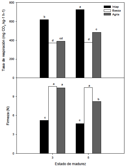
En cuanto a la firmeza las variedades Agria y Baeza presentaron valores aproximadamente 50% mayores a Iniap. Mientras que durante la maduración (relación entre estados de madurez 3 y 5) no se encontraron cambios en las variedades Iniap y Baeza mientras que la variedad Agria disminuyó 30% con valores iniciales de 10.3N en el estado 3 a valores de 8.2N en el estado 5 (figura 3). Los cambios en la firmeza se producen básicamente por cambios en la estructura de las paredes celulares por acción enzimas degradativas como poligalacturonasa, celulasa y pectinmetilesterasa; esta medida determina la calidad del producto e influye en su manejo y empaque (Alvarez-Herrera et al 2009; Aubert y Chanforan, 2007).
Entre otros parámetros, la TR es función del estado de madurez (Pérez-López et al 2014); durante la maduración de la naranjilla se produjo un incremento del 15 y 18 % de la TR en la variedad INIAP y Agria, respectivamente; mientras que en la variedad Baeza no se encontró diferencia entre los dos estados de madurez. Como se observa en la figura 3, la mayor TR presentó la variedad INIAP (620 y 726 mg de CO2 Kg-1·h-1 estados de madurez 3 y 5, respectivamente), con valores superiores en 40% a las otras dos variedades (Baeza: 369 y 377 mg de CO2 Kg-1·h-1 y Agria: 391 y 428 mg de CO2 Kg-1·h-1 estados de madurez 3 y 5, respectivamente). Estos cambios se relacionan con la disminución de la acidez ya que los ácidos orgánicos son utilizados como sustrato en los procesos de respiración (Kader, 2007).
Debido a la importancia de las frutas y hortalizas como fuente de compuestos bioactivos, numerosos estudios determinan el efecto de las variedades y del estado de madurez sobre el contenido de estos compuestos y sus características funcionales (Ryan et al., 2003; Ha et al., 2007). Como se observa en la figura 4, el mayor contenido de FT presentó la variedad Baeza, 22 y 13% más en relación a las variedades Agria e Iniap, respectivamente. Las frutas maduras (estado 5) de las tres variedades presentaron mayor contenido de FT que el estado 3 de madurez; la variedad Iniap presentó un incremento de 745 (estado 3) a 850 (estado 5) μg ác. gálico/g tej. seco. Resultados similares, en cuanto al incremento del contenido de FT durante la maduración se reportaron en mirtilo (Ribeiro de Araujo et al., 2016) y durazno (Dabbou et al., 2016) en contraste a lo ocurrido en cactus donde el contenido de FT disminuyó durante la maduración (Pinelli et al., 2011). Factores como el estado de desarrollo del fruto, prácticas de cultivo, condiciones ambientales precosecha, tratamientos poscosecha y tipo de procesamiento influyen sobre el contenido de compuestos fenólicos en productos frutihortícolas. En cuanto a la CA, la variedad Baeza presentó mayores valores que Iniap y Agria en el estado de madurez 3, mientras que en el estado de madurez 5 la CA se incrementó en las tres variedades, los valores de CA de Baeza y Agria fueron similares (aproximadamente 3 μmol TEAC/g tej. seco, para los radicales DPPH y ABTS) siendo ambas superiores a Iniap entre 40 y 50%, respectivamente. La variación de la CA durante la maduración de frutas y hortalizas es diversa, en ciruela china (Quast et al 2013) mora, maracuyá y guayaba (Rodríguez et al 2010) reportan incremento de FT y CA, mientras que a diferencia de los resultados obtenidos en el presente estudio, Herrera-Hernández et al. (2011) y Pinelli et al. (2011) reportan disminución de la CA durante la maduración de cactus y fresas. La actividad antioxidante de un alimento está dada por la capacidad que tengan todos los compuestos antioxidantes como vitaminas, carotenoides y polifenoles, que pueden actuar simultáneamente para capturar radicales libres por lo que es importante determinar el contenido específico o aquellos que son predominantes en un alimento (Kevers et al., 2007; Prior et al., 2005). Como se mencionó anteriormente la naranjilla contiene altas concentraciones de vitaminas (A y C) y polifenoles por lo que puede considerarse como una buena fuente de compuestos bioactivos.

Caracterización de frutos en estado de madurez 5 almacenados a temperatura ambiente por 14 días
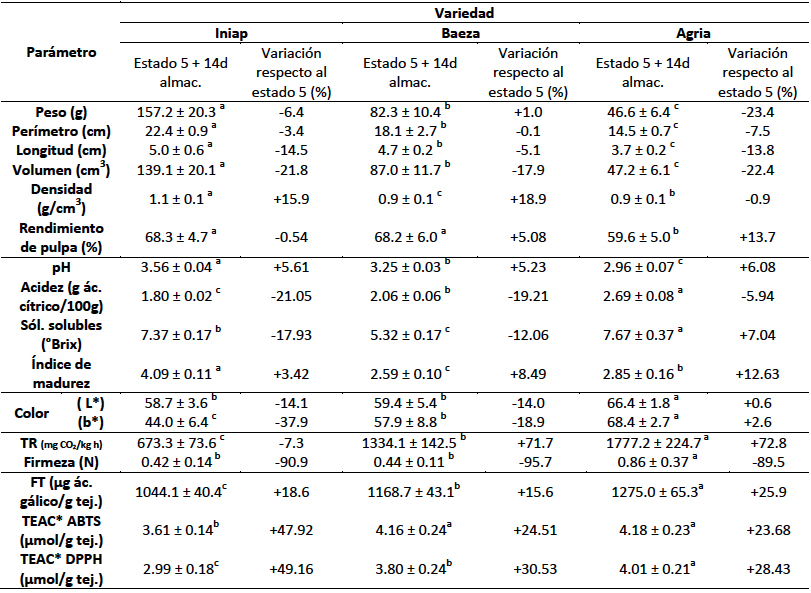
Los frutos de naranjilla mayoritariamente se comercializan en mercados populares y son mantenidos a temperatura ambiente entre 7 y 15 días. En general los parámetros calidad de los frutos frescos varían durante al almacenamiento. Las variaciones encontradas en las tres variedades luego de 14 días de almacenamiento respecto al estado 5 de madurez se muestran en la tabla 2. La variedad Agria presentó una pérdida de peso del 23%; Ribeiro de Araujo et al. (2016) y Menezes et al. (2015) reportan el incremento y posterior reducción del peso de frutos de mirtilo, asociando estos cambios a la deshidratación del fruto debido su estados de madurez avanzado. Por otro lado, el perímetro y la longitud de los frutos de la variedad Iniap se redujo en 7.5 y 14.5%, respectivamente; en cuanto al volumen las variedades Iniap y Agria se redujo aproximadamente en 22% y Baeza en 18%, en consecuencia la densidad presentó un incremento entre el 16 y 19% para las tres variedades. En general el rendimiento de pulpa se mantuvo constante luego del almacenamiento a temperatura ambiente, únicamente se encontró un incremento del 13.7% en el rendimiento de pulpa en la variedad Agria.

En los parámetros de color analizados se encontró una reducción del 14% en los valores de L* de las variedades Baeza e Iniap mientras que el parámetro b* disminuyó en 19 y 38% para estas dos variedades, respectivamente; resultados similares se encontraron luego del almacenamiento de frutos de cactus (Herrera- Hernández et al., 2011) y litchi (Huang et al., 1990); en estados avanzados de madurez los cambios de color son prácticamente imperceptibles como en la naranjilla donde por la variación observada en el valor de b* se estaría produciendo un aumento de intensidad del color naranja, a diferencia de productos en los que el cambio de color va de verde (en inmadurez) a amarillo (en madurez) como ocurre en bananas almacenadas a 20ºC (Salvador et al., 2007).

Luego del almacenamiento a temperatura ambiente se presentó un incremento del 5% en el valor de pH de las tres variedades; la acidez disminuyó aproximadamente 20% en las variedades Iniap y Baeza y el contenido de SS se incrementó en 7% en la variedad Agria y se redujo 12% en la variedad Iniap y 18%; por lo tanto el ratio se incrementó en las tres variedades: Agria 12%, Baeza 8% e Iniap 3%. Resultados similares fueron reportados por del Pilar-Pinzón et al. (2012), quienes destacan el incremento del ratio como una medida de calidad organoléptica de los frutos y se explica que el aumento de SS va acompañado de valores altos de AT que satisfacen los requerimientos del consumidor.
El principal cambio encontrado luego del periodo de almacenamiento fue una reducción drástica aproximadamente del 90% de la firmeza de los frutos de las tres variedades. Resultados similares fueron reportados por Álvarez-Herrera et al (2009) y Carvalho y Betancur (2015). La firmeza forma parte de los atributos de textura que determinan la calidad de un producto (Knee, 2002); la pérdida de firmeza reduce la vida de anaquel de los productos provocando el rechazo por el consumidor.
En relación a la TR se presentó una reducción del 7% en la variedad INIAP a diferencia de las variedades Baeza y Agria en las que se produjo un incremento del 70%. La TR se ve afectada por factores intrínsecos (del producto) como: tipo de producto, genotipo, estado de madurez y composición química; y factores extrínsecos (externos al productos) como: temperatura, concentración de oxígeno, CO2, CO y etileno (Kader, 2007; Bartz y Brecht, 2003; Wills et al., 1999).
Se produjo un incremento en el contenido de FT y la CA de las tres variedades luego del periodo de almacenamiento a temperatura ambiente. Las variedades Agria, INIAP y Baeza presentaron un aumento del 25, 18 y 16% de FT respectivamente en relación al estado 5 de madurez, con valores de 1044 (Iniap), 1168 (Baeza) y 1275 (Agria) μg ác.gálico/g tej. seco; mientras que la CA se incrementó en 48% en la variedad INIAP y alrededor del 25% para las variedades Baeza y Agria, con valores promedio entre 3 y 4 μmol Trolox/g tej. seco (para los métodos ABTS y DPPH), sugiriendo una correlación entre el contenido de FT y la CA, como indican estudios realizados en guaba (Patthamaknokporn et al., 2008), uvas (Gorinstein et al 2004) y arándanos (Sellappan et al., 2002). Resultados similares a los obtenidos en el presente estudio fueron reportados en tuna roja (Ochoa y Guerrero, 2012) y en fresas, uvas negras, durazno, naranja, entre otras (Kevers et al., 2007) indicando que no se produjo un efecto negativo en la capacidad antioxidante durante el almacenamiento a temperatura ambiente.
CONCLUSIONES
Entre los estados de madurez 3 y 5, en las tres variedades se vieron afectadas las características físicas: volumen, densidad, perímetro, longitud y rendimiento de pulpa; en cuanto a las características químicas se produjo disminución de la acidez e incremento de pH, sólidos solubles y ratio) por lo que se establece como momento óptimo de cosecha el estado de madurez que corresponde a 100% de desarrollo de color amarillo, favoreciendo además la aceptabilidad del consumidor debido principalmente a sus características organolépticas (sabor, dulzor, acidez y aroma). El mayor contenido de FT y CA se encontró en los frutos almacenados a temperatura ambiente durante 14 días. Por otro lado, la zona de cultivo y el volumen de producción de la variedad Agria limitan su comercialización siendo utilizada únicamente para el consumo local, a pesar de presentar un alto contenido de FT y CA respecto a Iniap y Baeza. La variedad Iniap se caracteriza por su mayor tamaño y rendimiento de pulpa, y por ende mayor volumen de producción en relación a Baeza y Agria, lo que favorece su uso a nivel industrial para la obtención, por ejemplo, de pulpa de naranjilla para su comercialización a nivel nacional e internacional. La variedad Baeza se caracteriza por su tamaño intermedio y firmeza (favorables para su manipulación y transporte) y por su elevado contenido de FT y CA se recomienda su comercialización en fresco.
Es necesario entonces el desarrollo de tecnologías comercialmente factibles para mantener y/o mejorar la calidad organoléptica, nutricional y funcional de cultivos con potencial industrial, como la naranjilla, para incentivar su producción y consumo.
Referencias
Acosta, O.; Pérez, A. M. y Vaillant, F. (2009) Chemical characterization, antioxidant properties, and volatile constituents of naranjilla (Solanum quitoense Lam.) cultivated in Costa Rica. Archivos Latinoamericanos de Nutrición, 59(1):88-94
Ali, L.; Svensson, B.; Alsanius, B.W. y Olsson, M.E. (2011) Late season harvest and storage of Rubus berries-Major antioxidant and sugar levels. Sci. Hortic. 129, 376-381.
Álvarez-Herrera, J.G.; Galvis, J.A. y Balaguera-López, H.E. (2009) Determinación de cambios físicos y químicos durante la maduración de frutos de champa (Campomanesia lineatifolia R. & P.). Agronomía Colombiana 27(2) 253-259
Arteaga-Dalgo, M.; Andrade-Cuvi, MJ.; Moreno-Guerrero, C.M. (2014) Relación del desarrollo del color con el contenido de antocianinas y clorofila en diferentes grados de madurez de mortiño (Vaccinium floribundum). Revista Enfoque UTE. Vol.5 (2)
Aubert, C. y Chanforan, C. (2007) Postharvest changes in physicochemical properties and volatile constituents of apricot (Prunus armeniaca L.). Characterization of 28 cultivars. Journal of agricultural and food chemistry, 55(8), 3074-3082.
Bartz, J.A. y Brecht, J.K. (2003) Postharvest physiology and pathology of vegetables. Ed. Marcel Dekker
Brand, W.; Cuvelier, M. y Berset, C. (1995). Use of a free radical method to evaluate antioxidant activity. LWT - Food Science and Technology, 28(1), 25-30.
Brito, B.; Espín, S.; Vásquez, W.; Viteri, P. López, P. y Jara, J. (2011) Manejo poscosecha, características nutricionales de la naranjilla para el desarrollo de pulpas y deshidratados. INIAP. Plegable No. 386. Quito, Ecuador
Carvalho, C. P. y Betancur, J. A. (2015) Quality characterization of Andean blackberry fruits (Rubus glaucus Benth.) in different maturity stages in Antioquia, Colombia. Agronomía Colombiana, 33(1), 74-83
Casierra-Posada, F. y Aguilar-Avendaño, Ó. E. (2008) Calidad en frutos de tomate (Solanum lycopersicum L.) cosechados en diferentes estados de madurez. Agronomía Colombiana, 26(2), 300-307.
Dabbou, S.; Lussiana, C.; Maatallah, S.; Gasco, L.; Hajlaoui, H. y Flamini, G. (2016) Changes in biochemical compounds in flesh and peel from Prunus persica fruits grown in Tunisia during two maturation stages. Plant Physiology and Biochemistry, 100, 1-11.
del Pilar Pinzón, I. M., Fischer, G. y Corredor, G. (2007) Determinación de los estados de madurez del fruto de la gulupa (Passiflora edulis Sims.). Agro Colombiana, 25(1), 83-95.
Fawole, O. A. y Opara, U. L. (2013) Effects of maturity status on biochemical content, polyphenol composition and antioxidant capacity of pomegranate fruit arils (cv.‘Bhagwa’). South African Journal of Botany, 85, 23-31.
Franco, G.; Bernal, J.; Giraldo, M.J.; Tamayo, P.J.; Castaño, O.; Tamayo, A.; Gallego, J.L.; Botero, M.J.; Rodríguez, J.E.; Guevara, N.J.; Morales, J.E.; Londoño, M.; Ríos, G.; Rodríguez, J.L.; Cardona, J.H.; Zuleta, J.; Castaño, J. y Ramírez, M.C. (2002) El cultivo del lulo. Manual técnico. CORPOICA, Regionales cuatro y nueve Fondo Nacional Hortifrutícola - Asohofrucol. Manizales. 103 p.
García, M. y García, H. (2001) Manejo Poscosecha de Mora, Lulo y Tomate de Arbol. Bogotá, Colombia: CORPOICA.
Goméz-Merino, F.C.; Trejo-Téllez, L.I.; García-Alvarado, J.C. y Cadena-Iñiguez, J. (2014) Lulo (Solanum quitoense [Lamarck.]) como cultivo novedoso en el paisaje agroecosistémico mexicano. Revista Mexicana de Ciencias Agrícolas Pub. Esp., 9, 1741-1753
González-Loiza, D.I.; Ordóñez-Santo, L.E.; Vanegas-Mahecha, P. y Vásquez-Amariles, H.D. (2013) Cambios en las propiedades fisicoquímicas de frutos de lulo (Solanum quitoense Lam.) cosechados en tres grados de madurez. Acta Agronómica 63 (1) 11-17
Gorinstein, S.; Zachwieja, Z.; Katrich, E.; Pawelzik, E.; Haruenkit, R.; Trakhtenberg, S. y Martin-Belloso, O. (2004) Comparison of the contents of the main antioxidant compounds and the antioxidant activity of white grapefruit and his new hybrid. LebensmittelWissenschaft und Technologie 37, 337–343.
Ha, S. H.; Kim, J. B.; Park, J. S.; Lee, S. W. y Cho, K. J. (2007) A comparison of the carotenoid accumulation in Capsicum varieties that show different ripening colours: deletion of the capsanthin-capsorubin synthase gene is not a prerequisite for the formation of a yellow pepper. Journal of Experimental Botany, 58(12), 3135-3144
Herrera-Hernández, M. G.; Guevara-Lara, F.; Reynoso-Camacho, R. y Guzmán-Maldonado, S. H. (2011) Effects of maturity stage and storage on cactus berry (Myrtillocactus geometrizans) phenolics, vitamin C, betalains and their antioxidant properties. Food chemistry, 129(4):1744
Huang, S.; Hart, H.; Lee, H. y Wicker, L. (1990) Enzymatic and Color Changes During Post-harvest Storage of Lychee Fruit. Journal of Food Science, 55(6), 1762-1763.
IICA-PROCIANDINO (1996) Manejo pre y postcosecha de frutales y hortalizas para exportación. Ed. PROCIANDINO. Quito, p97
Kader, A. (2007) Tecnología Postcosecha de Cultivos Hortofruticolas 3 ed. Vol. 24
Kevers, C.; Falkowski, M.; Tabart, J.; Defraigne, J. O.; Dommes, J. y Pincemail, J. (2007) Evolution of antioxidant capacity during storage of selected fruits and vegetables. Journal of agricultural and food chemistry, 55(21), 8596-8603.
Knee, M. (2002) Bases biológicas de la calidad de la fruta. Ed. Acribia. Zaragoza-España. Cap. 1, 2 y 3
Menezes, T.P.; Ramos, J.D.; Lima, L.C.O.; Costa, A.C.; Nassur, R.C.M.R. y Rufini, L.C.M. (2015) Características físicas e físico-químicas de pitaia vermelha durante a maturação. semina: Ciências agrárias, Londrina, v.36, n.2, p.631-644
Muñoz, J.C.; Puentes, A. y Villamizar, F. (1999) Evaluación de pérdidas poscosecha del lulo (Solanum quitoense Lam.), comercializado en un empaque tradicional. Revista Ingeniería e Investigación No. 43
NTE INEN 2 303 (2009) Norma Técnica Ecuatoriana. Frutas frescas. Naranjilla. Requisitos.
Ochoa, C. E. y Guerrero, J. A. (2012) Efecto del almacenamiento a diferentes temperaturas sobre la calidad de tuna roja (Opuntia ficus indica (L.) Miller). Información tecnológica, 23(1), 117-128.
Oz, A., y Ulukanli, Z. (2013) The effects of calcium chloride and 1- Metylcyclopropene (1-MCP) on the shelf life of mulberries (Morus alba L.). Journal of Food Processing and Preservation, 38, 1279-1288.
Pastrana E. (1998) Manejo postcosecha y comercialización de Lulo (Solanum quitoense Lam.). Serie de paquetes de capacitación sobre manejo post-cosecha de frutas y hortalizas No.11. Programa Nacional del SENA de Capacitación en Manejo Post- Cosecha y Comercialización de Frutas y Hortalizas, Convenio SENA - Reino Unido, Centro Agroindustrial del SENA
Patthamakanokporn, O.; Puwastien, P.; Nitithamyong, A. y Sirichakwal, P. P. (2008) Changes of antioxidant activity and total phenolic compounds during storage of selected fruits. Journal of Food Composition and Analysis, 21(3), 241-248.
Pineli, L. D. L. D. O.; Moretti, C. L.; dos Santos, M. S.; Campos, A. B.; Brasileiro, A. V.; Córdova, A. C. y Chiarello, M. D. (2011) Antioxidants and other chemical and physical characteristics of two strawberry cultivars at different ripeness stages. Journal of Food Composition and Analysis, 24(1), 11-16.
Pinheiro, J.; Alegria, C.; Abreu, M.; Sol, M.; Gonçalves, E. M. y Silva, C. L. (2015) Postharvest quality of refrigerated tomato fruit (Solanum lycopersicum, cv. Zinac) at two maturity stages following heat treatment. Journal of Food Processing and Preservation, 39(6), 697-709
Prior, R.L.; Wu, X. y Schaich, X. (2005) Standardized methods for the determination of antioxidant capacity and phenolics in foods and dietary supplements. J Agric Food Chem. 53(10):4290-302
Quast, E.; Vieira, I.; Nogueira, A. y Schmidt, F. K. (2013) Chemical and physical characterization of mume fruit collected from different locations and at different maturity stages in São Paulo State. Food Science and Technology 33(3), 441-445.
Re, R.; Pellegrini, N.; Proteggente, A.; Pannala, A.; Yang, M. y Rice-Evans, C. (1999) Antioxidant activity applying an improved ABTS radical cation decolorization assay, Free Radicals in Biology and Medicine: 26 (9/10), 1231– 1237
Revelo, J.; Viteri, P.; Vásquez, W.; Valverde, F.; León, J. y Gallegos, P. (2010) Manual del cultivo ecológico de la naranjilla. Manual Técnico No. 77. INIAP. Quito, Ecuador. 120p.
Ribeiro de Araujo, D.; Pereira de Lucena, E.M.; Palmeira Gomes, J.; Feitosa de Figueredo, R.M. y Pontes da Silva, C. (2016) Characterization of ripening stages of myrtile fruit. Rev. Bras. Frutic., Jaboticabal - SP, v. 38, n. 2 : e-712
Rodríguez, L.; López, L. y García, M. (2010) Determinación de la composición química y actividad antioxidante en distintos estados de madurez de frutas de consumo habitual en Colombia, mora (Rubus glaucus B.), maracuyá (Passiflora edulis S.), guayaba (Psidium guajava l.) y papayuela (Carica cundinam) Alimentos Hoy. Revista de la Asociación Colombiana de Ciencia y Tecnología de Alimentos. Vol 19, No 21
Ryan, J. M. y Revilla, E. (2003). Anthocyanin composition of Cabernet Sauvignon and Tempranillo grapes at different stages of ripening. Journal of Agricultural and Food Chemistry, 51(11), 3372-3378.
Salazar, R.; Piedra D.; y Escarabay, P. (2007) Propiedades físico-químicas de cinco frutas de la zona sur del Ecuador para su industrialización. Alimentos, Ciencia e Ingeniería 16 (2):20 - 24.
Salvador, A.; Sanz, T. y Fiszman, S. M. (2007). Changes in colour and texture and their relationship with eating quality during storage of two different dessert bananas. Postharvest biology and technology, 43(3), 319-325.
Sellappan, S.; Akoh, C.C. y Krewer, G. (2002) Phenolic compounds and antioxidant capacity of georgia-grown blueberries and blackberries. Journal of Agricultural and Food Chemistry 50, 2432–2438
Singleton, V.L. y Rossi, Jr. J.A. (1965) Colorimetry of total phenolics with phosphomolybidic-phosphotungstic acid reagents. Am. J.Enol.Vitic., 16, 144-158.
Valverde, F.; Espinosa, J. y Bastidas, F. (2010) Manejo de la nutrición del cultivo de naranjilla (Solanum quitoense Lam.) en las zonas de producción de la región amazónica y noroccidente de Pichincha. Informaciones agronómicas, 79, 8-14
Vásquez, W.; Viteri, P.; Martínez, A.; Villares, M.; Ayala, G. y Jácome, R. (2011) Naranjilla (Solanum quitoense Lam): tecnologías para mejorar la productividad y la calidad de la fruta. Plegable No. 275-1. INIAP. Ecuador
Wills, R.; McGlasson, B.; Graham, D. y Joyce, D. (1999) Introducción a la fisiología y manipulación poscosecha de frutas, hortalizas y plantas ornamentales. Editorial Acribia. 2da Edición. España.
Notas de autor
Autor de correspondencia. E-mail: mjandradecuvi@ute.edu.ec